Temperature-Dependent Regulation of Co-Occurring Toxins, Odor Compounds, and Disinfection By-Product Precursors in Two Bloom-Forming Species
Abstract
1. Introduction
2. Materials and Methods
2.1. Laboratory Cultivation, Density and DOC Determination of Cyanobacteria
2.2. Determination of Microcystins
2.3. Determination of Taste and Odor Compounds
2.4. Formation and Determination of Disinfection By-Products
2.5. Data Processing
3. Results
3.1. Variation in Growth Curve and DOC Concentration
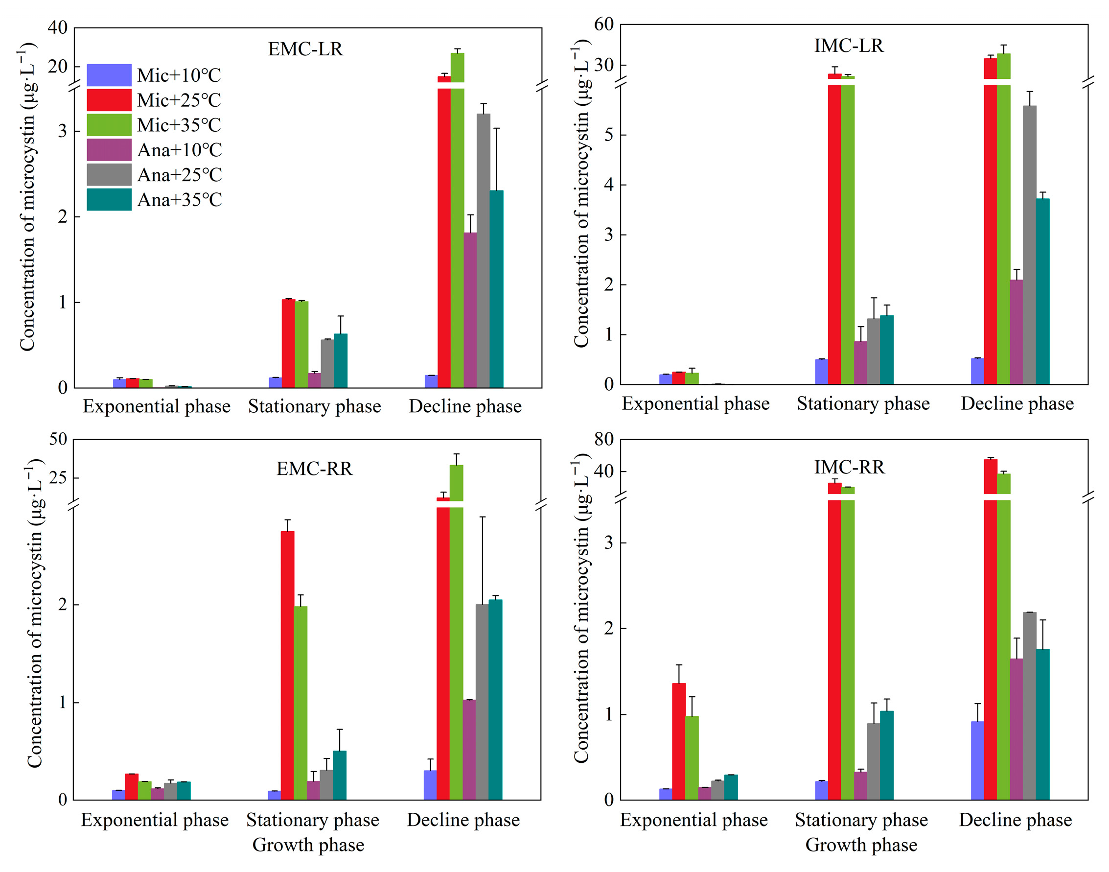
3.2. Microcystin Concentration Variations in Microcystis aeruginosa and Anabaena sp.
3.3. Dynamics of T/O Compounds in Microcystis aeruginosa and Anabaena sp.
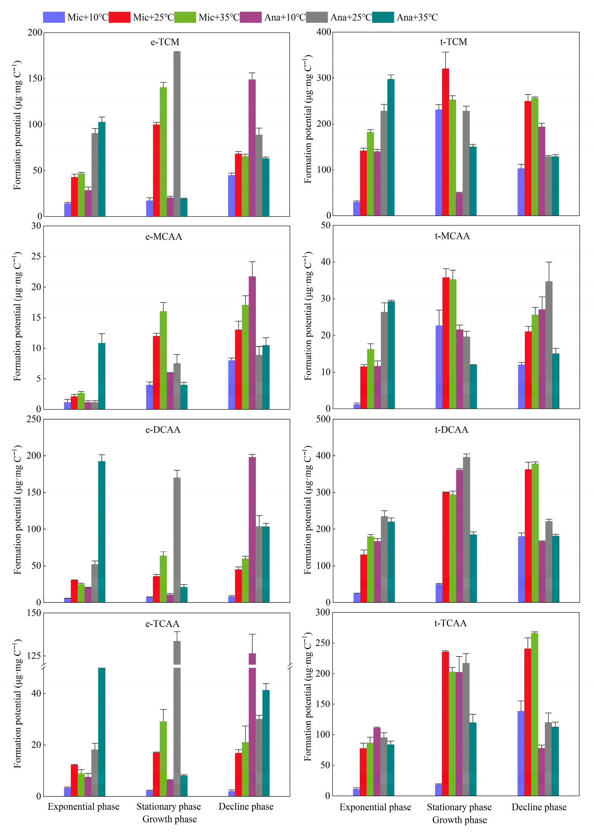
3.4. Dynamics of Formation Potential of DBPs for Microcystis aeruginosa and Anabaena sp.
4. Discussion
4.1. Regulatory Mechanisms of Metabolites: Synergistic Effects of Growth Phase, Temperature, and Interspecific Specificity
4.2. Ecological Risk Assessment: Combined Hazards of Metabolites and Challenges to Drinking Water Safety
4.3. Management Strategies and Prospects: Precision Prevention Based on Metabolic Laws
5. Conclusions
Author Contributions
Funding
Institutional Review Board Statement
Informed Consent Statement
Data Availability Statement
Conflicts of Interest
Abbreviations
| MCs | Microcystins |
| T/O | Taste and odor |
| DBPs | Disinfection by-products |
| DOC | Dissolved organic carbon |
| MC-LR | Microcystin-LR |
| MC-RR | Microcystin-RR |
| MC-YR | Microcystin-YR |
| EMC-LR | Extracellular microcystin-LR |
| IMC-LR | Intracellular microcystin-LR |
| EMC-RR | Extracellular microcystin-RR |
| IMC-RR | Intracellular microcystin-RR |
| EMC-YR | Extracellular microcystin-YR |
| IMC-YR | Intracellular microcystin-YR |
| THMs | Trihalomethanes |
| HAAs | Haloacetic acids |
| TCM | Chloroform |
| MCAA | Monochloroacetic acid |
| DCAA | Dichloroacetic acid |
| TCAA | Trichloroacetic acid |
| SPE | Solid-phase extraction |
| PTFE | polytetrafluoroethylene |
| GC-MS | Gas chromatography-mass spectrometry |
| HPLC | High-performance liquid chromatography |
| DAD | Diode array detector |
| GC/ECD | Gas chromatography-electron capture detector |
| MTBE | Methyl tert-butyl ether |
| AOM | Algogenic organic matter |
| IOM | Intracellular organic matter |
| EOM | Extracellular organic matter |
| WHO | World Health Organization |
| USEPA | United States Environmental Protection Agency |
References
- Lakshmikandan, M.; Li, M.; Pan, B. Cyanobacterial blooms in environmental water: Causes and solutions. Curr. Pollut. Rep. 2024, 10, 606–627. [Google Scholar] [CrossRef]
- Thawabteh, A.M.; Naseef, H.A.; Karaman, D.; Bufo, S.A.; Scrano, L.; Karaman, R. Understanding the risks of diffusion of cyanobacteria toxins in rivers, lakes, and potable water. Toxins 2023, 15, 582. [Google Scholar] [CrossRef] [PubMed]
- Huisman, J.; Codd, G.A.; Paerl, H.W.; Ibelings, B.W.; Verspagen, J.M.H.; Visser, P.M. Cyanobacterial blooms. Nat. Rev. Microbiol. 2018, 16, 471–483. [Google Scholar] [CrossRef]
- Paerl, H.W.; Huisman, J. Climate change: A catalyst for global expansion of harmful cyanobacterial blooms. Environ. Microbiol. Rep. 2009, 1, 27–37. [Google Scholar] [CrossRef] [PubMed]
- Dong, D.; Jeong, H.; Lee, J.W. Influence of nitrogen on the growth and morphology of cyanobacteria, Anabaena sp. Membr. Water Treat. 2025, 16, 133–141. [Google Scholar] [CrossRef]
- Ju, Z.; Xiang, Q.; Xia, T.; Harshaw, K.; Rooney, N.; Zi, J.; Hong, Z.; Chang, X. Microcystis aeruginosa decreased fish appetite via inducing intestinal inflammation. Fish Shellfish Immunol. 2025, 164, 110428. [Google Scholar] [CrossRef]
- Huang, X.; Zhang, W.; Wu, H.; Zheng, Z.; Gu, P. Microbial regulation of Microcystis colony formation: Mechanisms driving bloom persistence and toxicity. J. Hazard. Mater. 2025, 496, 139251. [Google Scholar] [CrossRef]
- Wu, L.; Zhang, L.; Yuan, L.; Liao, Q.; Xiang, J.; Zhang, D.; Qiu, T.; Liu, J.; Guo, J. Spatio-temporal variation of toxin-producing gene abundance in Microcystis aeruginosa from Poyang Lake. Environ. Sci. Pollut. Res. 2024, 31, 2930–2943. [Google Scholar] [CrossRef]
- Massey, I.Y.; Al Osman, M.; Yang, F. An overview on cyanobacterial blooms and toxins production: Their occurrence and influencing factors. Toxin Rev. 2022, 41, 326–346. [Google Scholar] [CrossRef]
- Wu, M.; Su, Y.; Chen, Z.; Zhao, W.-W.; Song, N.; Hu, B.; Chen, G. Online monitoring of odor compounds in drinking water sources by an integrated robotic sample preparation platform coupled with a gas chromatography-mass spectrometry system. Talanta 2026, 297, 128529. [Google Scholar] [CrossRef]
- Watson, S.B.; Monis, P.; Baker, P.; Giglio, S. Biochemistry and genetics of taste- and odor-producing cyanobacteria. Harmful Algae 2016, 54, 112–127. [Google Scholar] [CrossRef]
- Graham, J.L.; Loftin, K.A.; Meyer, M.T.; Ziegler, A.C. Cyanotoxin mixtures and taste-and-odor compounds in cyanobacterial blooms from the Midwestern United States. Environ. Sci. Technol. 2010, 44, 7361–7368. [Google Scholar] [CrossRef] [PubMed]
- Zhang, H. Harmful Algae, Algal Toxin, Taste and Odor Control and Mitigation in Public Water System. Ph.D. Dissertation, Missouri University of Science and Technology, Rolla, MO, USA, 2018. Available online: https://scholarsmine.mst.edu/doctoral_dissertations/3119 (accessed on 30 October 2025).
- Cen, C.; Zhang, K.; Zhang, T.; Wu, J.; Zhou, P.; Mao, X. Algal odorous risk assessments in pilot-scale drinking water distribution system (DWDS): Risk occurrence, influencing factors and degradation patterns. J. Clean. Prod. 2024, 469, 143155. [Google Scholar] [CrossRef]
- Villanueva, C.M.; Cordier, S.; Font-Ribera, L.; Salas, L.A.; Levallois, P. Overview of disinfection by-products and associated health effects. Curr. Environ. Health Rep. 2015, 2, 107–115. [Google Scholar] [CrossRef]
- Shang, L.; Feng, M.; Xu, X.; Liu, F.; Ke, F.; Li, W. Co-occurrence of microcystins and taste-and-odor compounds in drinking water source and their removal in a full-scale drinking water treatment plant. Toxins 2018, 10, 26. [Google Scholar] [CrossRef] [PubMed]
- Codd, G.A. Cyanobacterial toxins: Occurrence, properties and biological significance. Water Sci. Technol. 1995, 32, 149–156. [Google Scholar] [CrossRef]
- Chen, W.; Song, L.; Gan, N.; Li, L. Sorption, degradation and mobility of microcystins in Chinese agriculture soils: Risk assessment for groundwater protection. Environ. Pollut. 2006, 144, 752–758. [Google Scholar] [CrossRef]
- Song, L.; Chen, W.; Peng, L.; Wan, N.; Gan, N.; Zhang, X. Distribution and bioaccumulation of microcystins in water columns: A systematic investigation into the environmental fate and the risks associated with microcystins in Meiliang Bay, Lake Taihu. Water Res. 2007, 41, 2853–2864. [Google Scholar] [CrossRef]
- Zamyadi, A.; MacLeod, S.L.; Fan, Y.; McQuaid, N.; Dorner, S.; Sauve, S.; Prevost, M. Toxic cyanobacterial breakthrough and accumulation in a drinking water plant: A monitoring and treatment challenge. Water Res. 2012, 46, 1511–1523. [Google Scholar] [CrossRef]
- Díez-Quijada, L.; Prieto, A.I.; Guzmán-Guillén, R.; Jos, A.; Cameán, A.M. Occurrence and toxicity of microcystin congeners other than MC-LR and MC-RR: A review. Food Chem. Toxicol. 2019, 125, 106–132. [Google Scholar] [CrossRef]
- Wang, X.L.; Zhang, J.Y.; Cao, Z.X.; Dai, L.L.; Zhao, Q.; Du, H. Multigenerational toxicity and transcriptomic changes induced by environmentally relevant concentrations of microcystin-LR and-RR in Caenorhabditis elegans. Toxicol. Lett. 2025, 410, 58–66. [Google Scholar] [CrossRef]
- WHO. Guidelines for Drinking Water Quality, Incorporating First Addendum; WHO: Geneva, Switzerland, 2006. [Google Scholar]
- Carmichael, W.W. Cyanobacteria secondary metabolites—The cyanotoxins. J. Appl. Bacteriol. 1992, 72, 445–459. [Google Scholar] [CrossRef]
- Falconer, I.R. Toxic cyanobacterial bloom problems in Australian waters: Risks and impacts on human health. Phycologia 2001, 40, 228–233. [Google Scholar] [CrossRef]
- Azevedo, S.M.F.O.; Carmichael, W.W.; Jochimsen, E.M.; Rinehart, K.L.; Lau, S.; Shaw, G.R.; Eaglesham, G.K. Human intoxication by microcystins during renal dialysis treatment in Caruaru—Brazil. Toxicology 2002, 181–182, 441–446. [Google Scholar] [CrossRef] [PubMed]
- Watson, S.B. Cyanobacterial and eukaryotic algal odour compounds: Signals or by-products? A review of their biological activity. Phycologia 2003, 42, 332–350. [Google Scholar] [CrossRef]
- Ma, Z.; Xie, P.; Chen, J.; Niu, Y.; Tao, M.; Qi, M.; Zhang, W.; Xuwei, D. Microcystis blooms influencing volatile organic compounds concentrations in Lake Taihu. Fresenius Environ. Bull. 2013, 22, 95–102. [Google Scholar]
- Qi, M.; Chen, J.; Sun, X.; Deng, X.; Niu, Y.; Xie, P. Development of models for predicting the predominant taste and odor compounds in Taihu Lake, China. PLoS ONE 2012, 7, e51976. [Google Scholar] [CrossRef] [PubMed]
- Watson, S.B.; Ridal, J.; Boyer, G.L. Taste and odour and cyanobacterial toxins: Impairment, prediction, and management in the Great Lakes. Can. J. Fish. Aquat. Sci. 2008, 65, 1779–1796. [Google Scholar] [CrossRef]
- Shang, L.; Ke, F.; Xu, X.; Feng, M.; Li, W. Temporal dynamics and influential factors of taste and odor compounds in the eastern drinking water source of Chaohu Lake, China: A comparative analysis of global freshwaters. Toxins 2024, 16, 264. [Google Scholar] [CrossRef]
- Lin, J.-H.; Kao, W.-C.; Tsai, K.-P.; Chen, C.-Y. A novel algal toxicity testing technique for assessing the toxicity of both metallic and organic toxicants. Water Res. 2005, 39, 1869–1877. [Google Scholar] [CrossRef]
- Nalewajko, C.; Lean, D.R.S. Growth and excretion in planktonic algae and bacteria. J. Phycol. 1972, 8, 361–366. [Google Scholar] [CrossRef]
- Hu, Y.; Wang, Z.; Li, B.; Cheng, S.; Yang, P.; Zhang, H.; Li, S.; Zhang, X. Unraveling the mechanistic role of algogenic organic matter (AOM) in coagulation efficiency: How interspecific variations in AOM govern coagulant dosage, floc characteristics, and settling dynamics. Sep. Purif. Technol. 2025, 373, 133625. [Google Scholar] [CrossRef]
- Aji, A.; Sidik, F.; Lin, J.-L. Molecular-level insights into the degradation of dissolved organic matter from cyanobacteria-impacted water by electro-oxidation and electro-Fenton with carbon-based electrodes. J. Environ. Manag. 2025, 373, 123539. [Google Scholar] [CrossRef] [PubMed]
- Ghernaout, B.; Ghernaout, D.; Saiba, A. Algae and cyanotoxins removal by coagulation/flocculation: A review. Desalin. Water Treat. 2010, 20, 133–143. [Google Scholar] [CrossRef]
- Henderson, R.K.; Parsons, S.A.; Jefferson, B. The impact of differing cell and algogenic organic matter (AOM) characteristics on the coagulation and flotation of algae. Water Res. 2010, 44, 3617–3624. [Google Scholar] [CrossRef]
- Sahu, N.; Maldhure, A.; Labhasetwar, P. Management of cyanobacteria and cyanotoxins in drinking water: A comprehensive review on occurrence, toxicity, challenges and treatment approaches. Sci. Total Environ. 2025, 976, 179260. [Google Scholar] [CrossRef]
- Fang, J.; Ma, J.; Yang, X.; Shang, C. Formation of carbonaceous and nitrogenous disinfection by-products from the chlorination of Microcystis aeruginosa. Water Res. 2010, 44, 1934–1940. [Google Scholar] [CrossRef]
- Chu, W.-H.; Gao, N.-Y.; Deng, Y.; Krasner, S.W. Precursors of Dichloroacetamide, an Emerging Nitrogenous DBP Formed during Chlorination or Chloramination. Environ. Sci. Technol. 2010, 44, 3908–3912. [Google Scholar] [CrossRef]
- Fang, J.; Yang, X.; Ma, J.; Shang, C.; Zhao, Q. Characterization of algal organic matter and formation of DBPs from chlor(am)ination. Water Res. 2010, 44, 5897–5906. [Google Scholar] [CrossRef]
- Huang, J.; Graham, N.; Templeton, M.; Zhang, Y.; Collins, C.; Nieuwenhuijsen, M. A comparison of the role of two blue–green algae in THM and HAA formation. Water Res. 2009, 43, 3009–3018. [Google Scholar] [CrossRef] [PubMed]
- Hong, H.C.; Mazumder, A.; Wong, M.H.; Liang, Y. Yield of trihalomethanes and haloacetic acids upon chlorinating algal cells, and its prediction via algal cellular biochemical composition. Water Res. 2008, 42, 4941–4948. [Google Scholar] [CrossRef]
- Wiedner, C.; Visser, P.M.; Fastner, J.; Metcalf, J.S.; Codd, G.A.; Mur, L.R. Effects of light on the microcystin content of Microcystis strain PCC 7806. Appl. Environ. Microbiol. 2003, 69, 1475–1481. [Google Scholar] [CrossRef]
- Giannuzzi, L. Cyanobacteria Growth Kinetics. In Algae; Wong, Y.K., Ed.; IntechOpen: Rijeka, Croatia, 2018. [Google Scholar]
- Kratz, J.C.; Banerjee, S. Dynamic proteome trade-offs regulate bacterial cell size and growth in fluctuating nutrient environments. Commun. Biol. 2023, 6, 486. [Google Scholar] [CrossRef]
- Chen, B.; Feng, M.; Shang, L.; Ke, F.; Wu, X.; Li, Y. Effects on cyanobacterial growth and water quality after harvesting accumulated cyanobacteria in autumn: An in-situ experiment in Lake Chaohu. J. Lake Sci. 2016, 28, 253–262. [Google Scholar] [CrossRef]
- Yang, Y.; Chen, J.; Chen, X.; Jiang, Q.; Liu, Y.; Xie, S. Cyanobacterial bloom induces structural and functional succession of microbial communities in eutrophic lake sediments. Environ. Pollut. 2021, 284, 117157. [Google Scholar] [CrossRef]
- Kosten, S.; Huszar, V.L.M.; Bécares, E.; Costa, L.S.; van Donk, E.; Hansson, L.-A.; Jeppesen, E.; Kruk, C.; Lacerot, G.; Mazzeo, N.; et al. Warmer climates boost cyanobacterial dominance in shallow lakes. Glob. Change Biol. 2012, 18, 118–126. [Google Scholar] [CrossRef]
- Urrutia-Cordero, P.; Zhang, H.; Chaguaceda, F.; Geng, H.; Hansson, L.-A. Climate warming and heat waves alter harmful cyanobacterial blooms along the benthic–pelagic interface. Ecology 2020, 101, e03025. [Google Scholar] [CrossRef] [PubMed]
- Jöhnk, K.D.; Huisman, J.; Sharples, J.; Sommeijer, B.; Visser, P.M.; Stroom, J.M. Summer heatwaves promote blooms of harmful cyanobacteria. Glob. Change Biol. 2008, 14, 495–512. [Google Scholar] [CrossRef]
- Golden, J.W.; Yoon, H.-S. Heterocyst development in Anabaena. Curr. Opin. Microbiol. 2003, 6, 557–563. [Google Scholar] [CrossRef]
- Qian, Z.-Y.; Chen, X.; Zhu, H.-T.; Shi, J.-z.; Gong, T.-T.; Xian, Q.-M. Study on the cyanobacterial toxin metabolism of Microcystis aeruginosa in nitrogen-starved conditions by a stable isotope labelling method. J. Hazard. Mater. 2019, 373, 558–564. [Google Scholar] [CrossRef]
- Cui, H.; Zhu, X.; Zhu, Y.; Huang, Y.; Chen, B. Ecotoxicological effects of DBPs on freshwater phytoplankton communities in co-culture systems. J. Hazard. Mater. 2022, 421, 126679. [Google Scholar] [CrossRef]
- Fang, J. Formation and Control of Disinfection By-Products in Chlorination of B-G Algae and Algal Organic Matter (AOM). Ph.D. Dissertation, Harbin Institute of Technology, Harbin, China, 2010. (In Chinese). [Google Scholar]
- Brierley, B.; Carvalho, L.; Davies, S.; Krokowski, J. Guidance on the Quantitative Analysis of Phytoplankton in Freshwater Samples. 2007. Available online: https://nora.nerc.ac.uk/id/eprint/5654/1/Phytoplankton_Counting_Guidance_v1_2007_12_05.pdf (accessed on 30 October 2025).
- Barco, M.; Lawton, L.A.; Rivera, J.; Caixach, J. Optimization of intracellular microcystin extraction for their subsequent analysis by high-performance liquid chromatography. J. Chromatogr. A 2005, 1074, 23–30. [Google Scholar] [CrossRef]
- Watson, S.B.; Brownlee, B.; Satchwill, T.; Hargesheimer, E.E. Quantitative analysis of trace levels of geosmin and MIB in source and drinking water using headspace SPME. Water Res. 2000, 34, 2818–2828. [Google Scholar] [CrossRef]
- APHA. Standard Methods for the Examination of Water and Wastewater, 22nd ed.; Rice, W., Baird, R.B., Eaton, A.D., Clesceri, L.S., Eds.; American Public Health Association (APHA): Washington, DC, USA; American Water Works Association (AWWA): Washington, DC, USA; Water Environment Federation (WEF): Washington, DC, USA, 2012. [Google Scholar]
- USEPA. U.S.EPA Method 551.1. Determination of Chlorination Disinfection By-Products, Chlorinated Solvents, and Halogenated Pesticides/Herbicides in Drinking Water by Liquid–Liquid Extraction and Gas Chromatography with Electron-Capture Detection (Revision 1.0); Much, J.W., Hautman, D.P., Eds.; Office of Research and Development: Washington, DC, USA, 1995. [Google Scholar]
- USEPA. U.S.EPA Method 552.3. Determination of Haloacetic Acids and Dalapon in Drinking Water by Liquid–Liquid Microextraction, Derivatization, and Gas Chromatography with Electron Capture Detection (Revision 1.0); Domino, M.M., Pepich, B.V., Munch, D.J., Fair, P.S., Xie, Y., Eds.; Office of Ground Water and Drinking Water: Cincinnati, OH, USA, 2003. [Google Scholar]
- Zehr, J.P.; Turner, P.J. Nitrogen fixation: Nitrogenase genes and gene expression. In Methods in Microbiology; Academic Press: Cambridge, MA, USA, 2001; Volume 30, pp. 271–286. [Google Scholar]
- Golden, J.W.; Robinson, S.J.; Haselkorn, R. Rearrangement of nitrogen fixation genes during heterocyst differentiation in the cyanobacterium Anabaena. Nature 1985, 314, 419–423. [Google Scholar] [CrossRef]
- Feng, L.-J.; Sun, X.-D.; Zhu, F.-P.; Feng, Y.; Duan, J.-L.; Xiao, F.; Li, X.-Y.; Shi, Y.; Wang, Q.; Sun, J.-W.; et al. Nanoplastics promote microcystin synthesis and release from cyanobacterial Microcystis aeruginosa. Environ. Sci. Technol. 2020, 54, 3386–3394. [Google Scholar] [CrossRef] [PubMed]
- Walls, J.T.; Wyatt, K.H.; Doll, J.C.; Rubenstein, E.M.; Rober, A.R. Hot and toxic: Temperature regulates microcystin release from cyanobacteria. Sci. Total Environ. 2018, 610–611, 786–795. [Google Scholar] [CrossRef] [PubMed]
- Kuijpers, M.C.M.; Quigley, C.V.; Bray, N.C.; Ding, W.; White, J.D.; Jackrel, S.L. Intraspecific divergence within Microcystis aeruginosa mediates the dynamics of freshwater harmful algal blooms under climate warming scenarios. Proc. R. Soc. B Biol. Sci. 2025, 292, 20242520. [Google Scholar] [CrossRef]
- Heathcote, A.J.; Taranu, Z.E.; Tromas, N.; MacIntyre-Newell, M.; Leavitt, P.R.; Pick, F.R. Sedimentary DNA and pigments show increasing abundance and toxicity of cyanoHABs during the Anthropocene. Freshw. Biol. 2023, 68, 1859–1874. [Google Scholar] [CrossRef]
- Chamot, D.; Magee, W.C.; Yu, E.; Owttrim, G.W. A cold shock-induced cyanobacterial RNA helicase. J. Bacteriol. 1999, 181, 1728–1732. [Google Scholar] [CrossRef]
- Sato, N. A family of cold-regulated RNA-binding protein genes in the cyanobacterium Anabaena variabilis M3. Nucleic Acids Res. 1995, 23, 2161–2167. [Google Scholar] [CrossRef]
- Wejnerowski, L.; Dulic, T.; Akter, S.; Font-Nájera, A.; Rybak, M.; Kaminski, O.; Czerepska, A.; Dziuba, M.K.; Jurczak, T.; Meriluoto, J.; et al. Community structure and toxicity potential of cyanobacteria during summer and winter in a temperate-zone lake susceptible to phytoplankton blooms. Toxins 2024, 16, 357. [Google Scholar] [CrossRef]
- Xiao, M.; Li, M.; Reynolds, C.S. Colony formation in the cyanobacterium Microcystis. Biol. Rev. 2018, 93, 1399–1420. [Google Scholar] [CrossRef]
- Watson, S.B. Outbreaks of Taste/Odour Causing Algal Species: Theoretical, Mechanistic and Applied Approaches. Ph.D. Thesis, University of Calgary, Calgary, AB, Canada, 1999. Available online: https://ucalgary.scholaris.ca (accessed on 30 October 2025). [CrossRef]
- Chen, M.; Xu, C.; Wang, X.; Wu, Y.; Li, L. Nonribosomal peptide synthetases and nonribosomal cyanopeptides synthesis in Microcystis: A comparative genomics study. Algal Res. 2021, 59, 102432. [Google Scholar] [CrossRef]
- Zhang, H.; Zhao, X.; Li, Y.; Xie, P. A meta-analysis on the toxicity of microcystin-LR to fish and mammals. Environ. Pollut. 2023, 330, 121780. [Google Scholar] [CrossRef] [PubMed]
- Hirota, F.; Masami, S. Tumor promoters--microcystin-LR, nodularin and TNF-α and human cancer development. Anti-Cancer Agents Med. Chem. 2011, 11, 4–18. [Google Scholar] [CrossRef]
- Nwaji, A.R.; Arieri, O.; Anyang, A.S.; Nguedia, K.; Abiade, E.B.; Forcados, G.E.; Oladipo, O.O.; Makama, S.; Elisha, I.L.; Ozele, N.; et al. Natural toxins and One Health: A review. Sci. One Health 2022, 1, 100013. [Google Scholar] [CrossRef]
- Zhang, K.; Pan, R.; Luo, Z.; Zhang, T.; Fan, J. Interspecific competition between Microcystis aeruginosa and Pseudanadaena and their production of T&O compounds. Chemosphere 2020, 252, 126509. [Google Scholar] [CrossRef]
- Lin, Y.; Cheng, C.; Dai, Y.; Li, W.; Chen, J.; Chen, M.; Xie, P.; Gao, Q.; Fan, X.; Deng, X. The origins of odor (β-cyclocitral) under different water nutrient conditions: Algae or submerged plants? Sci. Total Environ. 2024, 931, 173024. [Google Scholar] [CrossRef] [PubMed]
- Patriarca, C.; Sedano-Núñez, V.T.; Garcia, S.L.; Bergquist, J.; Bertilsson, S.; Sjöberg, P.J.R.; Tranvik, L.J.; Hawkes, J.A. Character and environmental lability of cyanobacteria-derived dissolved organic matter. Limnol. Oceanogr. 2021, 66, 496–509. [Google Scholar] [CrossRef]
- Xiao, R.; Zheng, Y. Overview of microalgal extracellular polymeric substances (EPS) and their applications. Biotechnol. Adv. 2016, 34, 1225–1244. [Google Scholar] [CrossRef]
- Kłodawska, K.; Bujas, A.; Turos-Cabal, M.; Żbik, P.; Fu, P.; Malec, P. Effect of growth temperature on biosynthesis and accumulation of carotenoids in cyanobacterium Anabaena sp. PCC 7120 under diazotrophic conditions. Microbiol. Res. 2019, 226, 34–40. [Google Scholar] [CrossRef]
- Baghel, R.S. Spatiotemporal dynamics of toxin producing phytoplankton–zooplankton interactions with Holling Type II functional responses. Results Control Optim. 2024, 17, 100478. [Google Scholar] [CrossRef]
- Song, B.; Sun, X.; Zhang, S.; Jiang, Y.; Liu, J. Formation of disinfection by-products during the monochloramination of co-existing Microcystis aeruginosa and Cyclops metabolites. J. Water Supply Res. Technol.-Aqua 2017, 66, 229–238. [Google Scholar] [CrossRef]
- Ren, B.; Weitzel, K.A.; Duan, X.; Nadagouda, M.N.; Dionysiou, D.D. A comprehensive review on algae removal and control by coagulation-based processes: Mechanism, material, and application. Sep. Purif. Technol. 2022, 293, 121106. [Google Scholar] [CrossRef]
- Zong, W.; Sun, F.; Pei, H.; Hu, W.; Pei, R. Microcystin-associated disinfection by-products: The real and non-negligible risk to drinking water subject to chlorination. Chem. Eng. J. 2015, 279, 498–506. [Google Scholar] [CrossRef]
- Wert, E.C.; Rosario-Ortiz, F.L. Intracellular organic matter from cyanobacteria as a precursor for carbonaceous and nitrogenous disinfection byproducts. Environ. Sci. Technol. 2013, 47, 6332–6340. [Google Scholar] [CrossRef]
- Kim, T.; Kim, T.-K.; Zoh, K.-D. Degradation kinetics and pathways of β-cyclocitral and β-ionone during UV photolysis and UV/chlorination reactions. J. Environ. Manag. 2019, 239, 8–16. [Google Scholar] [CrossRef]
- Harke, M.J.; Gobler, C.J. Daily transcriptome changes reveal the role of nitrogen in controlling microcystin synthesis and nutrient transport in the toxic cyanobacterium, Microcystis aeruginosa. BMC Genom. 2015, 16, 1068. [Google Scholar] [CrossRef]
- Qi, J.; Ma, B.; Miao, S.; Liu, R.; Hu, C.; Qu, J. Pre-oxidation enhanced cyanobacteria removal in drinking water treatment: A review. J. Environ. Sci. 2021, 110, 160–168. [Google Scholar] [CrossRef]
- Yang, M.; Li, K.; Wang, T.; Liu, R.; Hu, C. Al and Mn speciation changes during the pre-oxidation with potassium permanganate and coagulation removing natural organic matter and its membrane fouling behavior. Chemosphere 2024, 346, 140641. [Google Scholar] [CrossRef]






| Parameter | Species | Optimal Temperature for Production/Release | Key Growth Phase Dynamics | Notable Interspecific Differences |
|---|---|---|---|---|
| Cell density | M. aeruginosa | 25 °C (peak: 3.1 × 107 cells·mL−1); 35 °C retains ~80% of peak | Lag → Exponential (rapid growth) → Stationary (plateau) → Decline (lysis) | Higher heat tolerance (maintains growth at 35 °C); negligible growth at 10 °C |
| Anabaena sp. | 25 °C (peak: 2.0 × 107 cells·mL−1); 35 °C retains ~50% of peak | Slow but continuous growth at 10 °C; growth inhibited at 35 °C | Higher cold tolerance (grows at 10 °C); lower heat tolerance than M. aeruginosa | |
| Dissolved organic carbon (DOC) | M. aeruginosa | 25 °C (peak: 49.3 mg·L−1 in decline phase) | Exponential (low: <10 mg·L−1) → Stationary (10–20 mg·L−1) → Decline (peak: >40 mg·L−1) | Higher DOC production overall; peak at 25 °C (decline phase) |
| Anabaena sp. | 35 °C (consistently higher than 25 °C/10 °C) | Similar phase trend; DOC at 35 °C exceeds M. aeruginosa across all phases | Lower peak DOC (28.1 mg·L−1 at 25 °C, decline phase); enhanced release at 35 °C due to cell lysis | |
| Microcystins (MCs) | M. aeruginosa | 35 °C (extracellular MCs); 25 °C (intracellular MCs except IMC-RR) | Exponential (low: <0.3 μg·L−1) → Stationary → Decline (peak: EMC-LR = 27.0 μg·L−1; IMC-RR = 55.0 μg·L−1) | Dominant MC producer; MC cell quota increases with growth phase; higher yields at 25–35 °C |
| Anabaena sp. | 10 °C (stationary/decline phases); 25 °C (IMC-LR/IMC-RR) | Exponential (low) → Stationary → Decline (peak: EMC-LR = 3.2 μg·L−1; IMC-LR = 5.6 μg·L−1) | Low MC production; higher MC cell quota at 10 °C/35 °C than 25 °C; MC concentrations < 5% of M. aeruginosa | |
| Taste & odor (T/O) compounds | M. aeruginosa | 35 °C (dissolved β-cyclocitral); 25 °C (particulate β-cyclocitral) | Exponential (low) → Stationary → Decline (peak: dissolved β-cyclocitral = 3529.3 ng·L−1; particulate β-cyclocitral = 33,457.6 ng·L−1) | Dominant β-cyclocitral producer; β-ionone peak at 25 °C (decline phase: 227.6 ng·L−1) |
| Anabaena sp. | 25 °C (both β-cyclocitral and β-ionone) | Gradual increase with growth phase; peak β-cyclocitral (dissolved = 42.7 ng·L−1; particulate = 120.5 ng·L−1) | Higher β-ionone production (peak: 419.7 ng·L−1 at 25 °C, decline phase); low β-cyclocitral yields | |
| Trihalomethanes (THMs) formation potential | M. aeruginosa | 25 °C (stationary phase: total TCM = 320.6 μg·mg C−1); 35 °C (extracellular TCM = 140.4 μg·mg C−1) | Exponential (low) → Stationary (peak) → Decline (sustained high) | Higher total THM potential at 25–35 °C; extracellular THM peak in stationary phase |
| Anabaena sp. | 25 °C (stationary phase: total TCM = 228.1 μg·mg C−1); 35 °C (exponential phase: extracellular TCM = 102.8 μg·mg C−1) | “Early accumulation” (exponential phase) → Stationary (peak) → Decline (high at 10 °C) | Lower total THM potential but earlier accumulation; THM risk scattered across phases/temperatures | |
| Haloacetic acids (HAAs) formation potential | M. aeruginosa | 35 °C (MCAA/DCAA); 25 °C (TCAA) | Exponential (low) → Stationary → Decline (peak: total DCAA = 378.5 μg·mg C−1; total TCAA = 265.8 μg·mg C−1) | HAAs increase with growth phase; high-temperature (25–35 °C) dominance; peak in decline phase |
| Anabaena sp. | 25 °C (stationary phase: total DCAA = 396.3 μg·mg C−1; total TCAA = 217.0 μg·mg C−1); 10 °C (MCAA) | Broad temperature adaptability; MCAA peak at 10 °C (decline phase: 21.7 μg·mg C−1); DCAA peak at 35 °C (exponential phase: 198.2 μg·mg C−1) | HAAs risk scattered across phases/temperatures; higher MCAA at low temperatures; peak TCAA at 25 °C |
Disclaimer/Publisher’s Note: The statements, opinions and data contained in all publications are solely those of the individual author(s) and contributor(s) and not of MDPI and/or the editor(s). MDPI and/or the editor(s) disclaim responsibility for any injury to people or property resulting from any ideas, methods, instructions or products referred to in the content. |
© 2025 by the authors. Licensee MDPI, Basel, Switzerland. This article is an open access article distributed under the terms and conditions of the Creative Commons Attribution (CC BY) license (https://creativecommons.org/licenses/by/4.0/).
Share and Cite
Shang, L.; Deng, Y.; Bai, X.; Feng, M. Temperature-Dependent Regulation of Co-Occurring Toxins, Odor Compounds, and Disinfection By-Product Precursors in Two Bloom-Forming Species. Life 2025, 15, 1933. https://doi.org/10.3390/life15121933
Shang L, Deng Y, Bai X, Feng M. Temperature-Dependent Regulation of Co-Occurring Toxins, Odor Compounds, and Disinfection By-Product Precursors in Two Bloom-Forming Species. Life. 2025; 15(12):1933. https://doi.org/10.3390/life15121933
Chicago/Turabian StyleShang, Lixia, Yunyan Deng, Xiang Bai, and Muhua Feng. 2025. "Temperature-Dependent Regulation of Co-Occurring Toxins, Odor Compounds, and Disinfection By-Product Precursors in Two Bloom-Forming Species" Life 15, no. 12: 1933. https://doi.org/10.3390/life15121933
APA StyleShang, L., Deng, Y., Bai, X., & Feng, M. (2025). Temperature-Dependent Regulation of Co-Occurring Toxins, Odor Compounds, and Disinfection By-Product Precursors in Two Bloom-Forming Species. Life, 15(12), 1933. https://doi.org/10.3390/life15121933

