The Impact of Birth Season and Sex on Motor Skills in 2-Year-Old Children: A Study in Jinhua, Eastern China
Abstract
1. Introduction
2. Materials and Methods
2.1. Recruitment Strategy and Participants
2.2. Assessment of Children’s Basic Characteristics
2.3. Evaluation of Children’s Motor Skills
2.4. Statistical Analysis
3. Results
3.1. Characteristics of Children
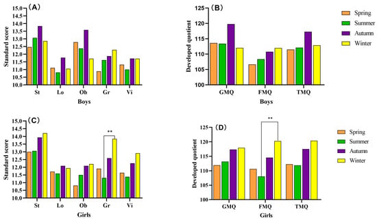
3.2. Effects of Sex and Season of Birth on GMQ, FMQ, and TMQ
3.3. Effects of Sex and Season of Birth on Gross and Fine Motor Subskills
3.4. The Motor Skills Scores of Girls Born in Winter Compared to Those Born in the Summer
4. Discussion
5. Conclusions
Supplementary Materials
Author Contributions
Funding
Institutional Review Board Statement
Informed Consent Statement
Data Availability Statement
Acknowledgments
Conflicts of Interest
References
- Karakochuk, C.D.; Whitfield, K.C.; Green, T.J.; Kraemer, K. The Biology of the First 1000 Days; Taylor & Francis: Boca Raton, FL, USA, 2018. [Google Scholar] [CrossRef][Green Version]
- Alves, J.; Alves, L.V. Early-life nutrition and adult-life outcomes. J. Pediatr. 2024, 100 (Suppl. 1), S4–S9. [Google Scholar] [CrossRef] [PubMed]
- Ulferts, H.; Wolf, K.M.; Anders, Y. Impact of Process Quality in Early Childhood Education and Care on Academic Outcomes: Longitudinal Meta-Analysis. Child Dev. 2019, 90, 1474–1489. [Google Scholar] [CrossRef] [PubMed]
- Zwicker, J.G.; Harris, S.R.; Klassen, A.F. Quality of life domains affected in children with developmental coordination disorder: A systematic review. Child Care Health Dev. 2013, 39, 562–580. [Google Scholar] [CrossRef] [PubMed]
- Thompson, A.; Steinbeis, N. Sensitive periods in executive function development. Curr. Opin. Behav. Sci. 2020, 36, 98–105. [Google Scholar] [CrossRef] [PubMed]
- Garcia, J.L.; Heckman, J.J.; Ziff, A.L. Early childhood education and crime. Infant Ment. Health J. 2019, 40, 141–151. [Google Scholar] [CrossRef] [PubMed]
- Clark, H.; Coll-Seck, A.M.; Banerjee, A.; Peterson, S.; Dalglish, S.L.; Ameratunga, S.; Balabanova, D.; Bhan, M.K.; Bhutta, Z.A.; Borrazzo, J.; et al. A future for the world’s children? A WHO-UNICEF-Lancet Commission. Lancet 2020, 395, 605–658. [Google Scholar] [CrossRef] [PubMed]
- Wang, D.; Jiang, Q.; Yang, Z.; Choi, J.K. The longitudinal influences of adverse childhood experiences and positive childhood experiences at family, school, and neighborhood on adolescent depression and anxiety. J. Affect. Disord. 2021, 292, 542–551. [Google Scholar] [CrossRef] [PubMed]
- De Wolf, A.; Nauwynck, E.; Vanbesien, J.; Staels, W.; De Schepper, J.; Gies, I. Optimizing Childhood Obesity Management: The Role of Edmonton Obesity Staging System in Personalized Care Pathways. Life 2024, 14, 319. [Google Scholar] [CrossRef] [PubMed]
- Rahman, F.; Tuli, S.N.; Mondal, P.; Sultana, S.; Hossain, A.; Kundu, S.; Clara, A.A.; Hossain, A. Home environment factors associated with early childhood development in rural areas of Bangladesh: Evidence from a national survey. Front. Public Health 2023, 11, 1209068. [Google Scholar] [CrossRef] [PubMed]
- Connery, A.K.; Raghunathan, R.S.; Colbert, A.M.; Erdodi, L.; Warschausky, S.; Huth-Bocks, A.; Gerry, T.H.; Raghunathan, T.; Berglund, P.; Staples, A.D.; et al. The influence of sociodemographic factors and response style on caregiver report of infant developmental status. Front. Pediatr. 2022, 10, 1080163. [Google Scholar] [CrossRef] [PubMed]
- Alderton, A.; Villanueva, K.; Connor, M.O.; Boulangé, C.; Badland, H. Reducing inequities in early childhood mental health: How might the neighborhood built environment help close the gap? A systematic search and critical review. Int. J. Environ. Res. Public Health 2019, 16, 1516. [Google Scholar] [CrossRef] [PubMed]
- Escolano-Perez, E.; Sanchez-Lopez, C.R.; Herrero-Nivela, M.L. Early Environmental and Biological Influences on Preschool Motor Skills: Implications for Early Childhood Care and Education. Front. Psychol. 2021, 12, 725832. [Google Scholar] [CrossRef] [PubMed]
- Yasumitsu-Lovell, K.; Thompson, L.; Fernell, E.; Eitoku, M.; Suganuma, N.; Gillberg, C.; Group, J.E.A.C. Birth month and infant gross motor development: Results from the Japan Environment and Children’s Study (JECS). PLoS ONE 2021, 16, e0251581. [Google Scholar] [CrossRef] [PubMed]
- Asano, R.; Tsuchiya, K.J.; Harada, T.; Kugizaki, Y.; Nakahara, R.; Nakayasu, C.; Okumura, A.; Suzuki, Y.; Takagai, S.; Mori, N.; et al. Season of Birth Predicts Emotional and Behavioral Regulation in 18-Month-Old Infants: Hamamatsu Birth Cohort for Mothers and Children (HBC Study). Front. Public Health 2016, 4, 152. [Google Scholar] [CrossRef] [PubMed]
- Linger, E.M.; Diress, G.; Linger, E.B.; Wagaye, B.; Almaw, H. Does birth season correlate with childhood stunting? An input for astrological nutrition. BMC Pediatr. 2022, 22, 306. [Google Scholar] [CrossRef]
- Bai, Y.; Shang, G.; Wang, L.; Sun, Y.; Osborn, A.; Rozelle, S. The relationship between birth season and early childhood development: Evidence from northwest rural China. PLoS ONE 2018, 13, e0205281. [Google Scholar] [CrossRef] [PubMed]
- Sutapa, P.; Pratama, K.W.; Rosly, M.M.; Ali, S.; Karakauki, M. Improving Motor Skills in Early Childhood through Goal-Oriented Play Activity. Children 2021, 8, 994. [Google Scholar] [CrossRef] [PubMed]
- Leo, I.; Leone, S.; Dicataldo, R.; Vivenzio, C.; Cavallin, N.; Taglioni, C.; Roch, M. A Non-Randomized Pilot Study on the Benefits of Baby Swimming on Motor Development. Int. J. Environ. Res. Public Health 2022, 19, 9262. [Google Scholar] [CrossRef]
- Hermes, L.; Martins, F.K.; Righi, N.C.; Böck, T.H.O.; Trevisan, C.M.; Weinmann, A.R.M.; Valentini, N.C. Seasonality and risk factors associated with motor development of full-term infants. Cad. Bras. Ter. Ocup. 2021, 29, e2811. [Google Scholar] [CrossRef]
- Bodensteiner, E.G. The Correlation between the Season of Birth and Early Child Development in Healthy Children: Evidence from the Midwestern Region of the United States: A Pilot Study; Physical Therapy Scholarly Projects 762; University of North Dakota: Grand Forks, ND, USA, 2023. [Google Scholar]
- Gil, J. Factors Association with Motor Milestone Development in Infants and Young Children. Master’s Thesis, Emory University, Atlanta, GA, USA, 2014. Available online: https://etd.library.emory.edu/concern/etds/2r36tx747?locale=es (accessed on 15 November 2023).
- Weiler, H.A.; Hazell, T.J.; Majnemer, A.; Vanstone, C.A.; Gallo, S.; Rodd, C.J. Vitamin D supplementation and gross motor development: A 3-year follow-up of a randomized trial. Early Hum. Dev. 2022, 171, 105615. [Google Scholar] [CrossRef]
- Tsuchiya, K.J.; Tsutsumi, H.; Matsumoto, K.; Takei, N.; Narumiya, M.; Honda, M.; Thanseem, I.; Anitha, A.; Suzuki, K.; Matsuzaki, H.; et al. Seasonal variations of neuromotor development by 14 months of age: Hamamatsu Birth Cohort for mothers and children (HBC Study). PLoS ONE 2012, 7, e52057. [Google Scholar] [CrossRef] [PubMed]
- Dinkel, D.; Snyder, K. Exploring gender differences in infant motor development related to parent’s promotion of play. Infant Behav. Dev. 2020, 59, 101440. [Google Scholar] [CrossRef] [PubMed]
- Navarro-Patón, R.; Arufe-Giráldez, V.; Sanmiguel-Rodríguez, A.; Mecías-Calvo, M. Differences on motor competence in 4-year-old boys and girls regarding the quarter of birth: Is there a relative age effect? Children 2021, 8, 141. [Google Scholar] [CrossRef] [PubMed]
- Li, K.; Chen, S.; Ma, J.; Martins, C.; Duncan, M.; Sheng, X.; Liu, S.; Cai, Y. The relative age effect on fundamental movement skills in Chinese children aged 3–5 years. BMC Pediatr. 2023, 23, 150. [Google Scholar] [CrossRef] [PubMed]
- Lee, E.J.; Zwicker, J.G. Early identification of children with/at risk of developmental coordination disorder: A scoping review. Dev. Med. Child Neurol. 2021, 63, 649–658. [Google Scholar] [CrossRef] [PubMed]
- Zhu, Y.; Hu, J.; Ye, W.; Korivi, M.; Qian, Y. Assessment of the measurement properties of the Peabody Developmental Motor Scales-2 by applying the COSMIN methodology. Ital. J. Pediatr. 2024, 50, 87. [Google Scholar] [CrossRef] [PubMed]
- Folio, M.; Fewell, R. Peabody Developmental Motor Scales, 2nd ed.; Pearson: London, UK, 2000. [Google Scholar]
- Alvarez-Gonzalo, V.; Pandiella-Dominique, A.; Kurlander-Arigon, G.; Simo-Segovia, R.; Caballero, F.F.; Miret, M. Validation of the PDMS-2 scale in the Spanish population. Evaluation of physiotherapy intervention and parental involvement in the treatment of children with neurodevelopmental disorders. Rev. Neurol. 2021, 73, 81–88. [Google Scholar] [CrossRef] [PubMed]
- Zanella, L.W.; Valentini, N.C.; Copetti, F.; Nobre, G.C. Peabody Developmental Motor Scales—Second Edition (PDMS-2): Reliability, content and construct validity evidence for Brazilian children. Res. Dev. Disabil. 2021, 111, 103871. [Google Scholar] [CrossRef] [PubMed]
- Alsakhawi, R.; Aleidi, J.; Almutairi, R.; Alrifaei, S.; Alnutifi, A.; Almutiri, R. The Difference in Fine Motor Performance between Saudi Boys and Girls in Preschool Age: A Pilot Study; Research Square Platform LLC: Durham, NC, USA, 2023. [Google Scholar]
- Vlachos, F.; Papadimitriou, A.; Bonoti, F. An investigation of age and gender differences in preschool children’s specific motor skills. Eur. Psychomot. J. 2014, 6, 12–21. [Google Scholar]
- Pahlevanian, A.A.; Ahmadizadeh, Z. Relationship between gender and motor skills in preschoolers. Middle East J. Rehabil. Health 2014, 1, e20843. [Google Scholar] [CrossRef]
- Manna, S.; Pal, A.; Dhara, P.C. Fine motor skills and its growth pattern in variation to age and gender on Bengali (Indian) primary school children: A cross sectional study. Age 2018, 5, 10–11. [Google Scholar]
- Kendić, K.; Šarić, E.; Džananović, D. Gender Differences In Fundamental Motor Skills of Preschool Children from Bosnia and Herzegovina and Germany. Res. Educ. Rehabil. 2023, 6, 70–75. [Google Scholar] [CrossRef]
- Kokstejn, J.; Musalek, M.; Tufano, J.J. Are sex differences in fundamental motor skills uniform throughout the entire preschool period? PLoS ONE 2017, 12, e0176556. [Google Scholar] [CrossRef] [PubMed]
- Hu, J.; Zhang, S.; Ye, W.; Zhu, Y.; Zhou, H.; Lu, L.; Chen, Q.; Korivi, M. Influence of different caregiving styles on fundamental movement skills among children. Front. Public Health 2023, 11, 1232551. [Google Scholar] [CrossRef] [PubMed]
- Robinson, L.E. The relationship between perceived physical competence and fundamental motor skills in preschool children. Child Care Health Dev. 2011, 37, 589–596. [Google Scholar] [CrossRef] [PubMed]
- Honrubia-Montesinos, C.; Gil-Madrona, P.; Losada-Puente, L. Motor Development among Spanish Preschool Children. Children 2021, 8, 41. [Google Scholar] [CrossRef] [PubMed]
- Bolger, L.E.; Bolger, L.A.; O’Neill, C.; Coughlan, E.; O’Brien, W.; Lacey, S.; Burns, C.; Bardid, F. Global levels of fundamental motor skills in children: A systematic review. J. Sports Sci. 2021, 39, 717–753. [Google Scholar] [CrossRef]
- Young, R.W. The ontogeny of throwing and striking. Human_Ontogenetics 2009, 3, 19–31. [Google Scholar] [CrossRef]
- Zheng, Y.; Ye, W.; Korivi, M.; Liu, Y.; Hong, F. Gender Differences in Fundamental Motor Skills Proficiency in Children Aged 3–6 Years: A Systematic Review and Meta-Analysis. Int. J. Environ. Res. Public Health 2022, 19, 8318. [Google Scholar] [CrossRef] [PubMed]
- Atun-Einy, O.; Cohen, D.; Samuel, M.; Scher, A. Season of birth, crawling onset, and motor development in 7-month-old infants. J. Reprod. Infant Psychol. 2013, 31, 342–351. [Google Scholar] [CrossRef]
- McGrath, J.J.; Saha, S.; Lieberman, D.E.; Buka, S. Season of birth is associated with anthropometric and neurocognitive outcomes during infancy and childhood in a general population birth cohort. Schizophr. Res. 2006, 81, 91–100. [Google Scholar] [CrossRef] [PubMed]
- Benson, J.B. Season of birth and onset of locomotion: Theoretical and methodological implications. Infant Behav. Dev. 1993, 16, 69–81. [Google Scholar] [CrossRef]
- Barreca, A.; Schaller, J. The impact of high ambient temperatures on delivery timing and gestational lengths. Nat. Clim. Chang. 2020, 10, 77–82. [Google Scholar] [CrossRef]
- de Kieviet, J.F.; Piek, J.P.; Aarnoudse-Moens, C.S.; Oosterlaan, J. Motor development in very preterm and very low-birth-weight children from birth to adolescence: A meta-analysis. JAMA 2009, 302, 2235–2242. [Google Scholar] [CrossRef] [PubMed]
- Matarma, T.; Lagstrom, H.; Loyttyniemi, E.; Koski, P. Motor Skills of 5-Year-Old Children: Gender Differences and Activity and Family Correlates. Percept. Mot. Ski. 2020, 127, 367–385. [Google Scholar] [CrossRef] [PubMed]

| Variables | Boys (n = 114) | Girls (n = 111) | Total (n = 225) |
|---|---|---|---|
| Spring | 19 (16.7%) | 11 (9.9%) | 30 (13.3%) |
| Summer | 42 (36.8%) | 32 (28.8%) | 74 (32.9%) |
| Autumn | 32 (28.1%) | 34 (30.6%) | 66 (29.3%) |
| Winter | 21 (18.4%) | 34 (30.6%) | 55 (24.4%) |
| Variables | GMQ | FMQ | TMQ | St | Lo | Ob | Gr | Vi |
|---|---|---|---|---|---|---|---|---|
| Boys (M ± SE) | ||||||||
| Spring | 113.63 ± 3.05 | 106.63 ± 3.20 | 111.47 ± 3.03 | 12.47 ± 0.62 | 11.11 ± 0.51 | 12.79 ± 0.62 | 10.89 ± 0.67 | 11.32 ± 0.55 |
| Summer | 113.40 ± 2.05 | 108.36 ± 2.15 | 112.14 ± 2.04 | 13.07 ± 0.42 | 10.81 ± 0.35 | 12.38 ± 0.42 | 11.62 ± 0.45 | 11.00 ± 0.37 |
| Autumn | 119.81 ± 2.35 | 110.78 ± 2.47 | 117.28 ± 2.33 | 13.84 ± 0.48 | 11.78 ± 0.40 | 13.59 ± 0.48 | 11.88 ± 0.52 | 11.72 ± 0.43 |
| Winter | 112.05 ± 2.90 | 112.00 ± 3.05 | 112.86 ± 2.88 | 12.86 ± 0.59 | 11.05 ± 0.49 | 11.71 ± 0.59 | 12.29 ± 0.64 | 11.71 ± 0.53 |
| Total | 114.72 ± 1.31 | 109.44 ± 1.38 | 113.44 ± 1.30 | 13.06 ± 0.27 | 11.19 ± 0.22 | 12.62 ± 0.27 | 11.67 ± 0.29 | 11.44 ± 0.24 |
| Girls (M ± SE) | ||||||||
| Spring | 111.91 ± 4.00 | 110.64 ± 4.21 | 112.27 ± 3.98 | 13.00 ± 0.81 | 11.73 ± 0.68 | 10.82 ± 0.82 | 11.91 ± 0.67 | 11.64 ± 0.73 |
| Summer | 113.16 ± 2.35 | 108.06 ± 2.47 | 111.88 ± 2.33 | 13.06 ± 0.48 | 11.59 ± 0.40 | 11.50 ± 0.48 | 11.31 ± 0.51 | 11.38 ± 0.43 |
| Autumn | 117.32 ± 2.28 | 114.56 ± 2.39 | 117.50 ± 2.26 | 13.94 ± 0.46 | 12.09 ± 0.39 | 12.09 ± 0.47 | 12.59 ± 0.50 | 12.26 ± 0.41 |
| Winter | 117.94 ± 2.28 | 120.29 ± 2.39 | 120.41 ± 2.26 | 14.21 ± 0.46 | 11.94 ± 0.39 | 12.21 ± 0.47 | 13.85 ± 0.50 | 12.91 ± 0.41 |
| Total | 115.08 ± 1.41 | 113.39 ± 1.48 | 115.51 ± 1.40 | 13.55 ± 0.29 | 11.84 ± 0.24 # | 11.65 ± 0.29 # | 12.42 ± 0.31 | 12.05 ± 0.26 |
| Effect | ||||||||
| Sex | ||||||||
| F | 0.035 | 3.799 | 1.177 | 1.583 | 4.018 | 6.032 | 3.085 | 3.027 |
| p | 0.852 | 0.053 | 0.279 | 0.21 | 0.046 * | 0.015 * | 0.080 | 0.083 |
| η2 | 0.000 | 0.017 | 0.005 | 0.007 | 0.018 | 0.027 | 0.014 | 0.014 |
| Season | ||||||||
| F | 2.236 | 3.808 | 2.717 | 1.710 | 1.262 | 1.78 | 3.584 | 2.586 |
| p | 0.085 | 0.011 * | 0.046 * | 0.166 | 0.288 | 0.152 | 0.015 * | 0.054 |
| η2 | 0.030 | 0.050 | 0.036 | 0.023 | 0.017 | 0.024 | 0.047 | 0.035 |
| Sex × Season | ||||||||
| F | 1.075 | 0.963 | 1.062 | 0.752 | 0.202 | 1.772 | 1.102 | 0.35 |
| p | 0.361 | 0.411 | 0.366 | 0.522 | 0.895 | 0.153 | 0.349 | 0.789 |
| η2 | 0.015 | 0.013 | 0.014 | 0.01 | 0.003 | 0.024 | 0.015 | 0.005 |
Disclaimer/Publisher’s Note: The statements, opinions and data contained in all publications are solely those of the individual author(s) and contributor(s) and not of MDPI and/or the editor(s). MDPI and/or the editor(s) disclaim responsibility for any injury to people or property resulting from any ideas, methods, instructions or products referred to in the content. |
© 2024 by the authors. Licensee MDPI, Basel, Switzerland. This article is an open access article distributed under the terms and conditions of the Creative Commons Attribution (CC BY) license (https://creativecommons.org/licenses/by/4.0/).
Share and Cite
Zhu, Y.; Wang, S.; Qian, Y.; Hu, J.; Zhou, H.; Korivi, M.; Ye, W.; Zhu, R. The Impact of Birth Season and Sex on Motor Skills in 2-Year-Old Children: A Study in Jinhua, Eastern China. Life 2024, 14, 836. https://doi.org/10.3390/life14070836
Zhu Y, Wang S, Qian Y, Hu J, Zhou H, Korivi M, Ye W, Zhu R. The Impact of Birth Season and Sex on Motor Skills in 2-Year-Old Children: A Study in Jinhua, Eastern China. Life. 2024; 14(7):836. https://doi.org/10.3390/life14070836
Chicago/Turabian StyleZhu, Yuanye, Shuying Wang, Yongdong Qian, Jiahui Hu, Huiling Zhou, Mallikarjuna Korivi, Weibing Ye, and Rong Zhu. 2024. "The Impact of Birth Season and Sex on Motor Skills in 2-Year-Old Children: A Study in Jinhua, Eastern China" Life 14, no. 7: 836. https://doi.org/10.3390/life14070836
APA StyleZhu, Y., Wang, S., Qian, Y., Hu, J., Zhou, H., Korivi, M., Ye, W., & Zhu, R. (2024). The Impact of Birth Season and Sex on Motor Skills in 2-Year-Old Children: A Study in Jinhua, Eastern China. Life, 14(7), 836. https://doi.org/10.3390/life14070836

