A Clinical Study of Urine Amino Acids in Children with Autism Spectrum Disorder
Abstract
1. Introduction
2. Materials and Methods
2.1. The Purpose of the Study
2.2. The Type of the Study
2.3. Informed Consent
2.4. Statistical Analysis
2.5. Study Groups
2.6. Study Cohort—Descriptive Analysis
2.7. Collection and Testing of Laboratory Samples
3. Results
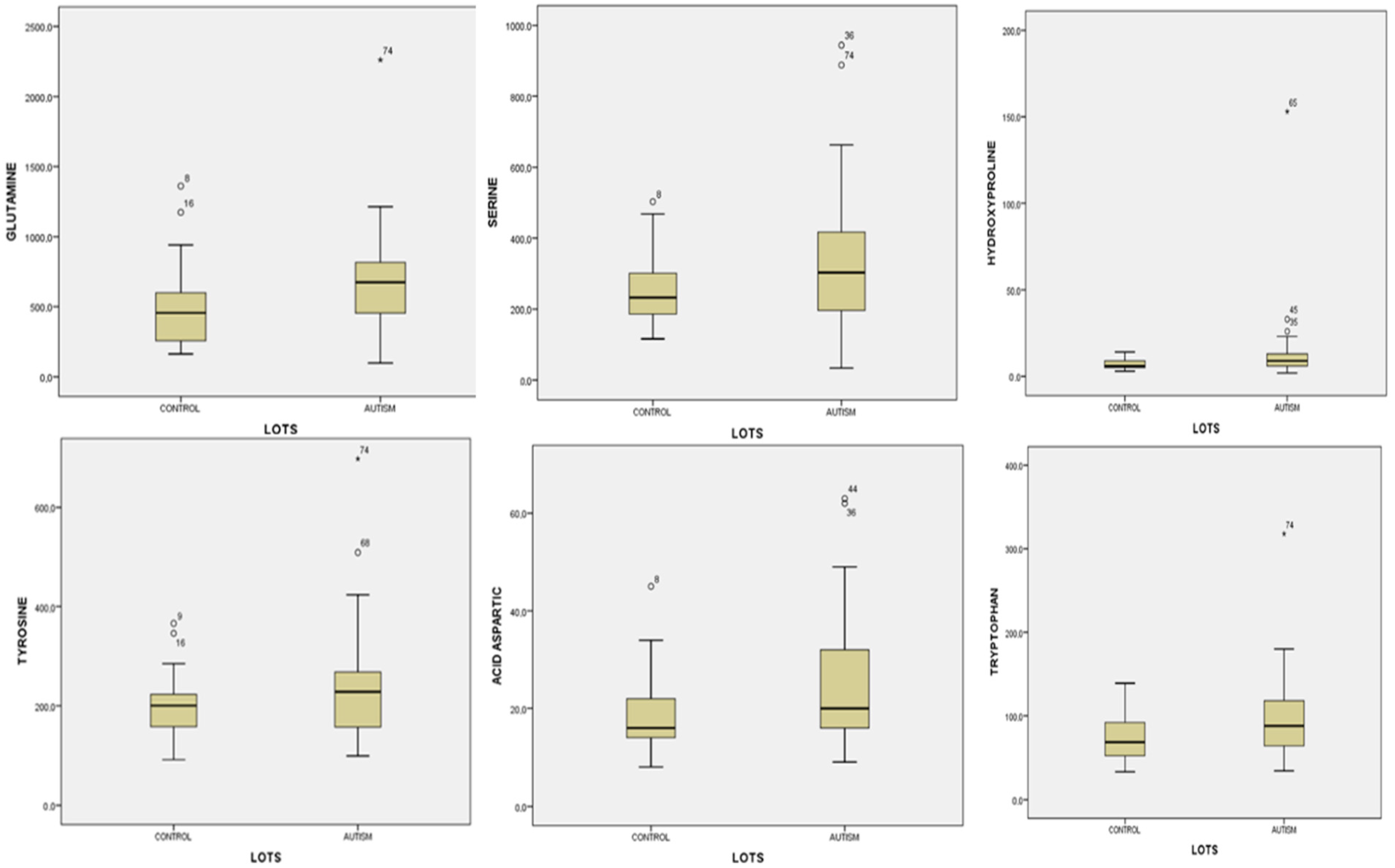
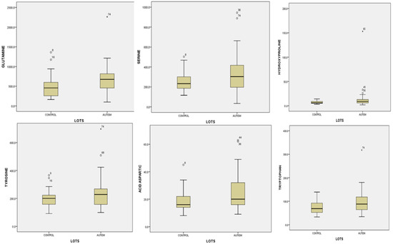
3.1. Analysis of Amino Acids in Urine in the Study Group Compared to the Control Group
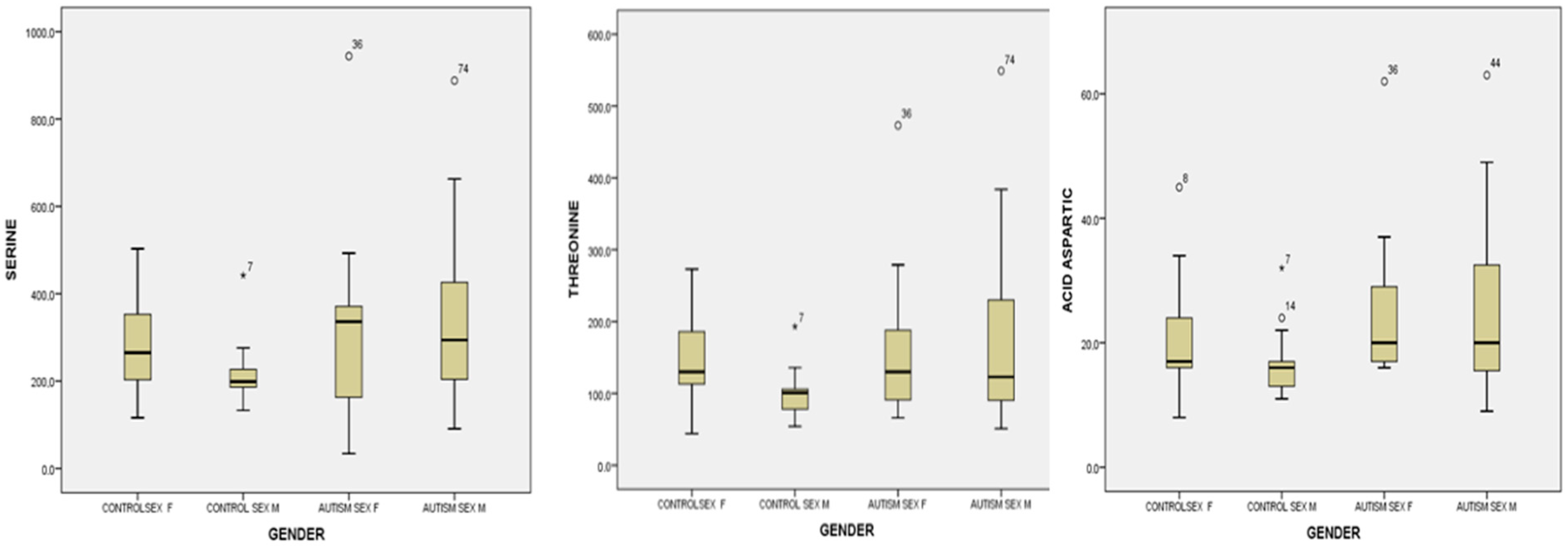
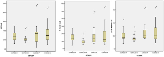
3.2. Statistical Analysis of Amino Acids in Urine According to Sex for the Study Group and the Control Group
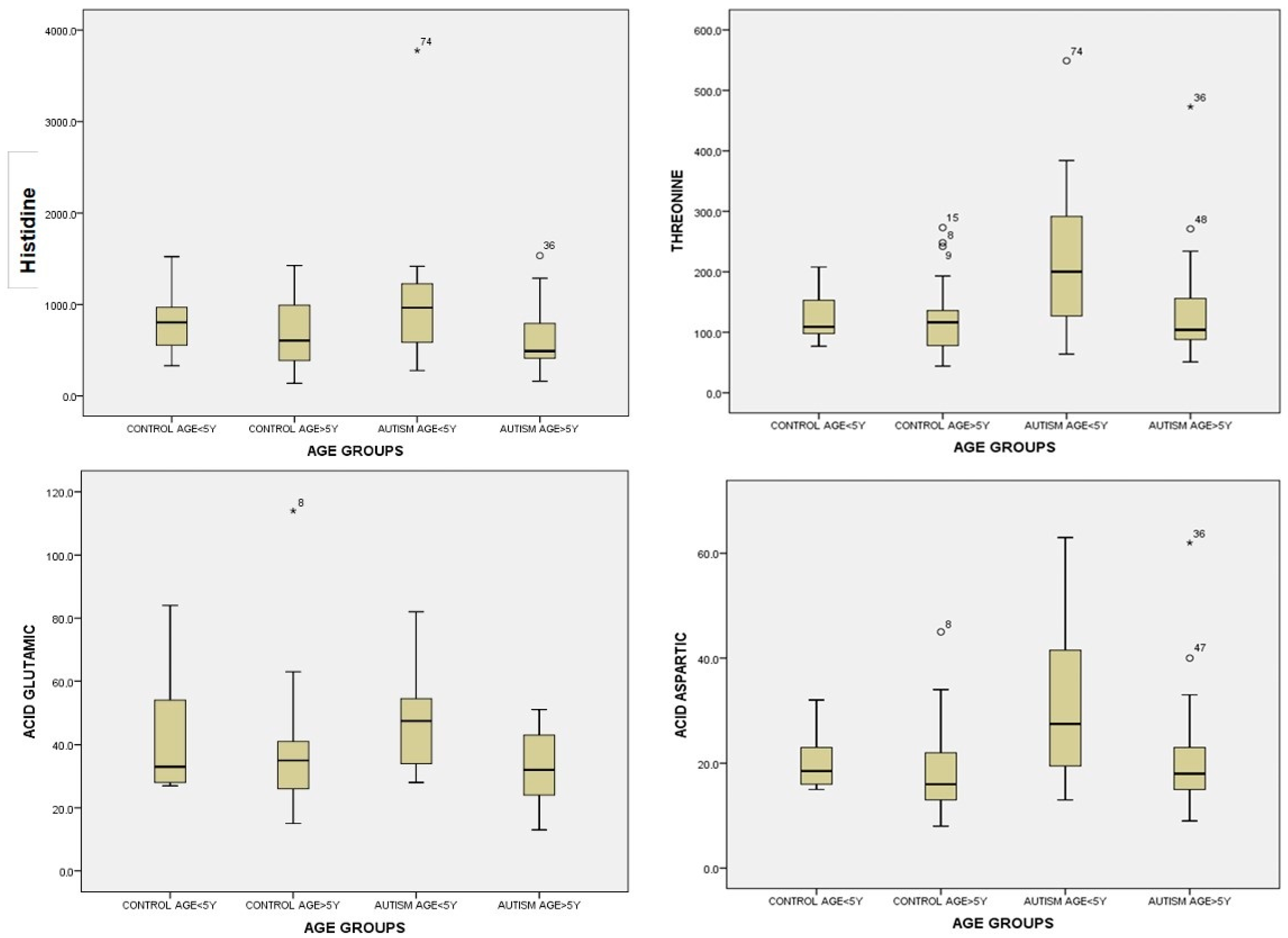
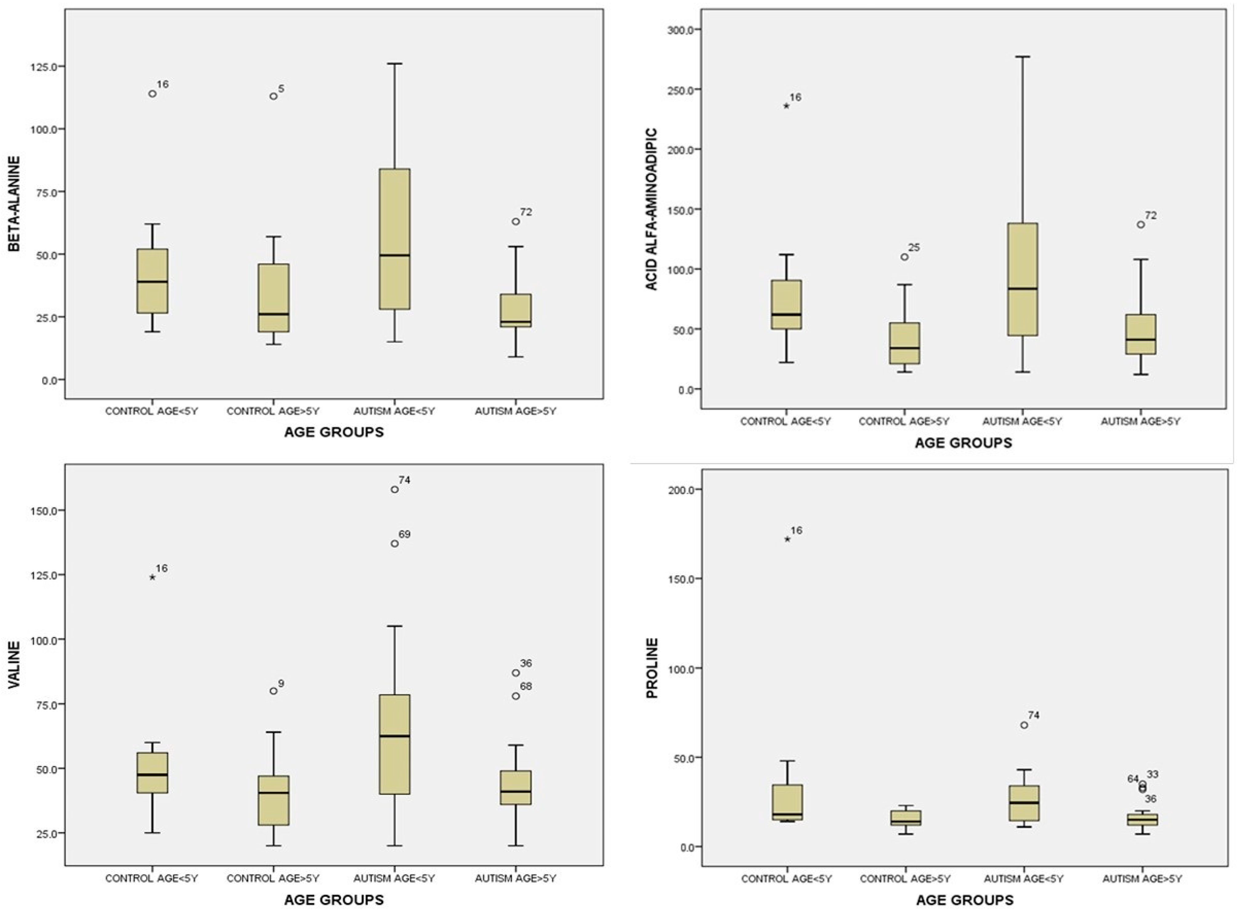
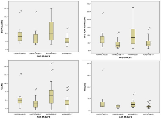
3.3. Analysis of Amino Acids in Urine According to Age for the Study Group and the Control Group
4. Discussion
5. Limitations of the Study
6. Conclusions
Supplementary Materials
Author Contributions
Funding
Institutional Review Board Statement
Informed Consent Statement
Data Availability Statement
Acknowledgments
Conflicts of Interest
References
- Takanaga, H.; Frommer, W.B. Facilitative plasma membrane transporters function during ER-to-Golgi traffic of a neurotransmitter GABA in neuronal cells. Proc. Natl. Acad. Sci. USA 2020, 117, 11283–11291. [Google Scholar]
- Müller, R.A.; Amaral, D.G. Autism spectrum disorder: Neurobiology and theories of neuropathological mechanisms. Handb. Clin. Neurol. 2020, 175, 145–156. [Google Scholar]
- Saghazadeh, A.; Rezaei, N. Systematic review and meta-analysis links autism and toxic metals and highlights the impact of country development status: Higher blood and erythrocyte levels for mercury and lead, and higher hair antimony, cadmium, lead, and mercury. Prog. Neuro-Psychopharmacol. Biol. Psychiatry 2017, 79, 340–368. [Google Scholar] [CrossRef]
- Zarkesh, M.R.; Sedghi, M.; Pazhoomand, R.; Mozaffari, S. Clinical study on the efficacy of therapeutic approach with omega-3 fatty acids in autism spectrum disorders. Asian J. Psychiatry 2020, 48, 101873. [Google Scholar]
- Zheng, H.F.; Wang, W.Q.; Li, X.M.; Rauw, G.; Baker, G.B. Body fluid levels of neuroactive amino acids in autism spectrum disorders: A review of the literature. Amino Acids. 2017, 49, 57–65. [Google Scholar] [CrossRef] [PubMed] [PubMed Central]
- Randazzo, M.; Prato, A.; Messina, M.; Meli, C.; Casabona, A.; Rizzo, R.; Barone, R. Neuroactive Amino Acid Profile in Autism Spectrum Disorder: Results from a Clinical Sample. Children 2023, 10, 412. [Google Scholar] [CrossRef] [PubMed] [PubMed Central]
- Meguid, N.A.; Hashem, H.S.; Ghanem, M.H.; Helal, S.A.; Semenova, Y.; Hashem, S.; Hashish, A.; Chirumbolo, S.; Elwan, A.M.; Bjørklund, G. Evaluation of Branched-Chain Amino Acids in Children with Autism Spectrum Disorder and Epilepsy. Mol. Neurobiol. 2023, 60, 1997–2004. [Google Scholar] [CrossRef] [PubMed]
- Gao, S.; Wang, L.; Zheng, X. Alterations of GABA and glutamate in autism upon reflexology stimulation: A potential mechanism revealed by 1H-magnetic resonance spectroscopy. Front. Neurosci. 2021, 15, 612026. [Google Scholar]
- Jennings, L.; Basiri, R. Amino Acids, B Vitamins, and Choline May Independently and Collaboratively Influence the Incidence and Core Symptoms of Autism Spectrum Disorder. Nutrients 2022, 14, 2896. [Google Scholar] [CrossRef]
- Kohlmeier, M. Chapter 8—Amino Acids and Nitrogen, Compounds. In Nutrient Metabolism, 2nd ed.; Academic Press: Cambridge, MA, USA, 2015; pp. 265–477. [Google Scholar]
- Kałużna-Czaplińska, J.; Jóźwik-Pruska, J.; Chirumbolo, S.; Bjørklund, G. Tryptophan status in autism spectrum disorder and the influence of supplementation on its level. Metab. Brain Dis. 2017, 32, 1585–1593. [Google Scholar] [CrossRef]
- Rossignol, D.A.; Frye, R.E. A review of research trends in physiological abnormalities in autism spectrum disorders: Immune dysregulation, inflammation, oxidative stress, mitochondrial dysfunction and environmental toxicant exposures. Mol. Psychiatry 2012, 17, 389–401. [Google Scholar] [CrossRef] [PubMed]
- Xu, X.J.; Cai, X.E.; Meng, F.C.; Song, T.J.; Wang, X.X.; Wei, Y.Z.; Zhai, F.J.; Long, B.; Wang, J.; You, X.; et al. Comparison of the Metabolic Profiles in the Plasma and Urine Samples Between Autistic and Typically Developing Boys: A Preliminary Study. Front. Psychiatry 2021, 12, 657105. [Google Scholar] [CrossRef] [PubMed] [PubMed Central]
- D’Aniello, A. d-Aspartic acid: An endogenous amino acid with an important neuroendocrine role. Brain Res. Rev. 2007, 53, 215–234. [Google Scholar] [CrossRef] [PubMed]
- Lomelino, C.; Andring, J.T.; McKenna, R.; Kilberg, M.S. Asparagine synthetase: Function, structure, and role in disease. J. Biochem. Mol. Biol. 2017, 292, 19952–19958. [Google Scholar] [CrossRef]
- Britannica, The Editors of Encyclopaedia. “Glutamine”. Encyclopedia Britannica. 2023. Available online: https://www.britannica.com/science/glutamine (accessed on 31 July 2023).
- Bent, S.; Lawton, B.; Warren, T.; Widjaja, F.; Dang, K.; Fahey, J.W.; Cornblatt, B.; Kinchen, J.M.; Delucchi, K.; Hendren, R. Identification of urinary metabolites that correlate with clinical improvements in children with autism treated with sulforaphane from broccoli. Mol. Autism 2018, 9, 35. [Google Scholar] [CrossRef] [PubMed]
- Holeček, M. Serine Metabolism in Health and Disease and as a Conditionally Essential Amino Acid. Nutrients 2022, 14, 1987. [Google Scholar] [CrossRef] [PubMed]
- Lisha, Y.; Yechao, S.; Zhenglin, J.; Guohua, W. L-Serine, an Endogenous Amino Acid, Is a Potential Neuroprotective Agent for Neurological Disease and Injury. Front. Mol. Neurosci. 2021, 14, 726665. [Google Scholar]
- Hubbard, S.R.; Till, J.H. Protein Tyrosine Kinase Structure and Function. Annu. Rev. Biochem. 2000, 69, 373–398. [Google Scholar] [CrossRef]
- Hunter, T. Tyrosine phosphorylation: Thirty years and counting. Curr. Opin. Cell Biol. 2009, 21, 140–146. [Google Scholar] [CrossRef]
- Li, C.; Shen, K.; Chu, L.; Liu, P.; Song, Y.; Kang, X. Decreased levels of urinary free amino acids in children with autism spectrum disorder. J. Clin. Neurosci. 2018, 54, 45–49. [Google Scholar] [CrossRef]
- Timperio, A.M.; Gevi, F.; Cucinotta, F.; Ricciardello, A.; Turriziani, L.; Scattoni, M.L.; Persico, A.M. Urinary Untargeted Metabolic Profile Differentiates Children with Autism from Their Unaffected Siblings. Metabolites 2022, 12, 797. [Google Scholar] [CrossRef] [PubMed]
- National Center for Biotechnology Information. PubChem Compound Summary for CID 6288, Threonine. Available online: https://pubchem.ncbi.nlm.nih.gov/compound/Threonine (accessed on 30 July 2023).
- Liu, A.; Zhou, W.; Qu, L.; He, F.; Wang, H.; Wang, Y.; Cai, C.; Li, X.; Zhou, W.; Wang, M. Altered Urinary Amino Acids in Children With Autism Spectrum Disorders. Front. Cell. Neurosci. 2019, 13, 7. [Google Scholar] [CrossRef] [PubMed]
- Kohlmeier, M. Threonine. In Food Science and Technology, Nutrient Metabolism; Academic Press: Cambridge, MA, USA, 2003; pp. 295–300. [Google Scholar]
- Hidding, E.; Swaab, H.; de Sonneville, L.M.; van Engeland, H.; Vorstman, J.A. The role of COMT and plasma proline in the variable penetrance of autistic spectrum symptoms in 22q11.2 deletion syndrome. Clin. Genet. 2016, 90, 420–427. [Google Scholar] [CrossRef] [PubMed]
- Britannica, The Editors of Encyclopaedia. “Valine”. Encyclopedia Britannica. 2009. Available online: https://www.britannica.com/science/valine (accessed on 31 July 2023).
- Rucker, R.B.; Morris, J.; Fascetti, A.J. Chapter 23—Vitamins. In Clinical Biochemistry of Domestic Animals, 6th ed.; Academic Press: Cambridge, MA, USA, 2008; pp. 695–730. [Google Scholar]
- Britannica, The Editors of Encyclopaedia. “Methionine”. Encyclopedia Britannica. 2022. Available online: https://www.britannica.com/science/methionine (accessed on 31 July 2023).
- Kosuge, T.; Hoshino, T. The α-aminoadipate pathway for lysine biosynthesis is widely distributed among Thermus strains. J. Biosci. Bioeng. 1999, 88, 672–675. [Google Scholar] [CrossRef] [PubMed]
- National Center for Biotechnology Information. “PubChem Compound Summary for CID 1088, Sarcosine” PubChem. Available online: https://pubchem.ncbi.nlm.nih.gov/compound/Sarcosine (accessed on 30 July 2023).
- Chen, Q.; Qiao, Y.; Xu, X.J.; You, X.; Tao, Y. Urine Organic Acids as Potential Biomarkers for Autism-Spectrum Disorder in Chinese Children. Front. Cell Neurosci. 2019, 13, 150. [Google Scholar] [CrossRef] [PubMed]
- Saleem, T.H.; Shehata, G.A.; Toghan, R.; Sakhr, H.M.; Bakri, A.H.; Desoky, T.; Hamdan, F.R.A.; Mohamed, N.F.; Hassan, M.H. Assessments of Amino Acids, Ammonia and Oxidative Stress Among Cohort of Egyptian Autistic Children: Correlations with Electroencephalogram and Disease Severity. Neuropsychiatr. Dis. Treat. 2020, 16, 11–24. [Google Scholar] [CrossRef]
- Kałużna-Czaplińska, J. Noninvasive urinary organic acids test to assess biochemical and nutritional individuality in autistic children. Clin. Biochem. 2011, 44, 686–691. [Google Scholar] [CrossRef]







| Urine Amino Acids | Autism Group (n = 45) Mean ± SD | Control Group (n = 30) Mean ± SD | p-Value |
|---|---|---|---|
| Alpha amino butyric acid | 18.44 ± 14.21 | 17.53 ± 14.01 | 0.787 |
| Arginine | 16.08 ± 12.52 | 14.93 ± 8.06 | 0.638 |
| Aspartic acid | 25.24 ± 13.30 | 19.06 ± 8.16 | 0.029 |
| Asparagine | 69.93 ± 63.30 | 51.03 ± 33.32 | 0.185 |
| Citrulline | 4.60 ± 3.38 | 3.53 ± 2.89 | 0.104 |
| Cystine | 16.60 ± 9.35 | 14.33 ± 5.91 | 0.223 |
| Glutamic acid | 38.28 ±14.04 | 39.16 ± 20.44 | 0.826 |
| Glutamine | 678.60 ± 362.71 | 511.23 ± 295.45 | 0.032 |
| Glycine | 1189.51 ± 710.21 | 1159.60 ±1401.79 | 0.114 |
| Histidine | 811.11 ± 580.99 | 706.00 ± 354.46 | 0.334 |
| Hydroxyproline | 13.28 ± 22.16 | 7.40 ± 2.87 | 0.048 |
| Isoleucine | 32.28 ± 17.15 | 28.00 ± 14.51 | 0.14 |
| Leucine | 54.60 ± 30.54 | 46.33 ± 18.80 | 0.190 |
| Lysine | 74.04 ± 83.39 | 69.03 ± 50.60 | 0.747 |
| Methionine | 18.86 ±11.42 | 15.03 ± 6.56 | 0.162 |
| Methylhistidine | 248.46 ± 144.30 | 235.40 ± 217.19 | 0.773 |
| Ornithine | 18.64 ± 25.01 | 20.93 ± 16.75 | −0.502 |
| Phenylalanine | 98.62 ± 57.86 | 85.36 ± 42.64 | 0.216 |
| Proline | 21.02 ± 11.93 | 21.80 ± 29.32 | 0.283 |
| Serine | 259.00 ± 105.83 | 327.93 ± 188.04 | 0.047 |
| Taurine | 617.31 ± 650.83 | 432.96 ± 356.31 | −0.361 |
| Threonine | 170.84 ± 110.83 | 126.26 ± 59.77 | 0.143 |
| Tryptophan | 95.93 ± 47.69 | 75.76 ± 29.95 | 0.028 |
| Tyrosine | 241.46 ± 113.05 | 198.80 ± 66.25 | 0.043 |
| Valine | 54.51 ± 28.16 | 44.60 ± 20.38 | 0.119 |
| Urine Amino Acids | Autism Group (n= 45) Mean ± SD | Control Group (n = 30) Mean ± SD | ||
|---|---|---|---|---|
| Boys (n = 35) | Girls (n = 10) | Boys (n = 13) | Girls (n = 17) | |
| Alpha aminoadipic acid | 71.14 ± 62.24 | 67.10 ± 42.71 | 42.07 ± 20.27 | 62.70 ±54.89 |
| Alpha aminobutyric acid | 16.94 ± 11.38 | 23.70 ± 21.42 | 13.00 ± 6.11 | 21.00 ±17.27 |
| Alanine | 354.65 ± 256.45 | 468.40 ± 219.06 | 252.84 ± 187.13 | 338.64 ± 235.85 |
| Arginine | 17.00 ± 13.89 | 12.90 ± 4.81 | 15.15 ± 8.17 | 14.76 ± 8.22 |
| Asparagine | 70.37 ± 67.18 | 68.40 ± 50.32 | 40.00 ± 24.00 | 59.47 ± 37.50 |
| Aspartic acid | 25.05 ± 13.21 | 25.90 ± 14.29 | 16.76 ± 5.97 | 20.82 ± 9.29 |
| Betha-alanine | 40.57 ± 30.62 | 46.70 ± 28.91 | 37.46 ± 25.83 | 36.17 ± 24.82 |
| Citrulline | 4.68 ± 3.61 | 4.30 ± 2.58 | 2.76 ± 1.48 | 4.11 ± 3.56 |
| Cystine | 16.28 ±10.36 | 17.70 ± 4.52 | 13.46 ± 5.23 | 15.17 ± 6.43 |
| Glutamic acid | 36.20 ± 13.34 | 45.60 ± 14.69 | 34.84 ± 12.16 | 42.47 ± 24.90 |
| Glutamine | 660.28 ± 380.50 | 742.70 ± 300.59 | 408.61 ± 194.19 | 589.70 ± 338.87 |
| Glycine | 1098.80 ± 662.04 | 1507.00 ± 816.18 | 922.07 ± 1042.37 | 1341.23 ± 1632.73 |
| Histidine | 820.88 ± 625.24 | 776.90 ± 414.40 | 621.15 ± 230.85 | 770.88 ± 421.23 |
| Hydroxyproline | 9.94 ± 6.48 | 25.00 ± 45.23 | 6.92 ± 2.69 | 7.76 ± 3.03 |
| Isoleucine | 32.31 ± 16.50 | 32.20 ± 20.26 | 25.61 ± 8.24 | 29.82 ± 17.96 |
| Leucine | 54.77 ± 30.15 | 54.00 ± 33.54 | 42.84 ± 11.42 | 49.00 ± 22.92 |
| Lysine | 253.31 ± 150.77 | 231.50 ± 124.56 | 235.53 ± 193.25 | 235.29 ± 239.76 |
| Methionine | 18.74 ± 11.91 | 19.30 ± 10.04 | 12.61 ± 3.64 | 16.88 ± 7.72 |
| Methylhistidine | 253.31 ± 150.77 | 231.50 ± 124.56 | 235.53 ± 193.25 | 235.29 ± 239.76 |
| Ornithine | 18.45 ± 27.00 | 19.30 ± 17.42 | 20.53 ± 16.15 | 21.23 ± 17.69 |
| Phenylalanine | 97.88 ± 55.42 | 101.20 ± 68.95 | 79.61 ± 31.93 | 89.76 ± 49.83 |
| Proline | 21.00 ± 12.42 | 21.10 ± 10.66 | 16.46 ± 10.16 | 25.88 ± 37.95 |
| Sarcosine | 2.62 ±1.21 | 2.50 ± 0.97 | 2.00 ± 0.00 | 2.47 ± 1.06 |
| Serine | 322.82 ± 170.75 | 345.80 ± 249.52 | 215.61 ± 77.86 | 292.17 ±114.26 |
| Taurine | 558.91 ± 618.59 | 821.70 ± 752.03 | 364.00 ± 303.36 | 485.70 ± 392.77 |
| Threonine | 170.40 ± 109.42 | 172.40 ± 121.721 | 100.69 ± 38.02 | 145.82 ±66.73 |
| Tyrosine | 243.37 ± 113.68 | 234.80 ± 116.62 | 184.76 ± 51.76 | 209.52 ± 75.26 |
| Tryptophan | 98.77 ± 51.069 | 86.00 ± 33.546 | 74.15 ± 26.82 | 77.00 ± 32.91 |
| Valine | 54.42 ± 26.84 | 54.80 ± 33.96 | 39.46 ±11.68 | 48.52 ± 24.76 |
| Urine Amino Acids | Autism Group (n = 45) Mean ± Standard Deviation | |||
|---|---|---|---|---|
| Boys < 5 Years (n = 15) | Boys ≥ 5 Years (n = 20) | Girls < 5 Years (n = 5) | Girls ≥ 5 Years (n = 5) | |
| Alpha aminoadipic acid | 105.00 ± 76.94 | 45.75 ± 31.44 | 84.20 ± 51.85 | 50.00 ± 26.20 |
| Alpha aminobutiric acid | 22.40 ± 13.80 | 12.85 ± 7.10 | 31.00 ± 28.47 | 16.40 ± 9.45 |
| Aspartic acid | 32.40 ± 14.94 | 19.55 ± 8.59 | 24.40 ± 8.53 | 27.40 ± 19.53 |
| Glutamic acid | 44.73 ± 11.16 | 29.80 ± 11.24 | 49.80 ± 20.40 | 41.40 ± 5.03 |
| Alanine | 491.67 ± 315.09 | 251.90 ± 136.41 | 440.60 ± 224.85 | 496.20 ± 235.55 |
| Anserine | 3.13 ± 3.44 | 1.70 ± 1.08 | 4.40 ± 3.78 | 1.00 ± 0.00 |
| Arginine | 18.13 ± 6.15 | 16.15 ± 17.77 | 12.60 ± 2.51 | 13.20 ± 6.76 |
| Asparagine | 96.20 ± 92.42 | 51.00 ± 29.38 | 73.00 ± 57.33 | 63.80 ± 48.58 |
| Beta-alanine | 59.93 ± 36.71 | 26.05 ± 12.94 | 56.00 ± 38.58 | 37.40 ± 13.28 |
| Citrulline | 5.47 ± 3.52 | 4.10 ± 3.65 | 5.40 ± 3.05 | 3.20 ± 1.64 |
| Cystathionine | 9.73 ± 6.05 | 6.10 ± 4.60 | 7.80 ± 6.57 | 10.60 ± 7.09 |
| Cystine | 17.07 ± 6.97 | 15.70 ± 12.47 | 18.00 ± 3.67 | 17.40 ± 5.68 |
| Phenilalanine | 121.27 ± 73.60 | 80.35 ± 27.40 | 116.40 ± 96.43 | 86.00 ± 28.64 |
| Glutamine | 807.60 ± 480.75 | 549.80 ± 242.50 | 772.60 ± 346.52 | 712.80 ± 284.59 |
| Glycine | 1383.87 ± 741.77 | 885.00 ± 516.37 | 1381.00 ± 636.50 | 1633.00 ± 1026.66 |
| Histidine | 1085.33 ± 822.29 | 622.55 ± 323.62 | 837.60 ± 395.22 | 716.20 ± 470.09 |
| Homocystine | 2.00 ± 0.00 | 2.00 ± 0.00 | 2.00 ± 0.00 | 2.00 ± 0.00 |
| Hydroxylysine | 13.27 ± 8.00 | 9.95 ± 5.78 | 15.20 ± 13.10 | 12.20 ± 3.56 |
| Hydroxyproline | 13.87 ± 7.91 | 7.00 ± 2.81 | 38.60 ± 64.08 | 11.40 ± 5.94 |
| Isoleucine | 41.73 ± 19.62 | 25.25 ± 9.00 | 33.40 ± 29.27 | 31.00 ± 8.00 |
| Leucine | 70.93 ± 35.28 | 42.65 ± 18.69 | 56.20 ± 41.21 | 51.80 ± 28.67 |
| Lysine | 81.67 ± 58.61 | 72.95 ± 108.51 | 94.00 ± 76.21 | 35.60 ± 12.86 |
| Methionine | 25.20 ± 15.16 | 13.90 ± 5.21 | 21.80 ± 11.12 | 16.80 ± 9.36 |
| Methylhistidine | 283.47 ± 192.33 | 230.70 ± 110.31 | 220.00 ± 122.00 | 243.00 ± 140.36 |
| Ornithine | 25.13 ± 40.17 | 13.45 ± 7.37 | 22.80 ± 19.85 | 15.80 ± 16.07 |
| Proline | 28.60 ± 14.82 | 15.30 ± 5.89 | 21.60 ± 11.44 | 20.60 ± 11.15 |
| Sarcosine | 3.20 ± 1.61 | 2.20 ± 0.52 | 2.60 ± 1.34 | 2.40 ± 0.55 |
| Serine | 410.73 ± 205.79 | 256.90 ± 101.47 | 268.00 ± 181.96 | 423.60 ± 303.06 |
| Taurine | 648.33 ± 800.05 | 491.85 ± 449.53 | 1024.40 ± 1036.08 | 619.00 ± 310.37 |
| Threonine | 235.00 ± 126.92 | 121.95 ± 61.59 | 150.40 ± 85.65 | 194.40 ± 157.45 |
| Tryptophan | 117.80 ± 66.62 | 84.50 ± 29.94 | 92.80 ± 43.17 | 79.20 ± 23.51 |
| Tyrosine | 283.67 ± 130.01 | 213.15 ± 91.80 | 246.20 ± 126.14 | 223.40 ± 119.87 |
| Urine Amino Acids | Autism Group (n= 45) Mean ± SD | Control Group (n = 30) Mean ± SD | p-Value | ||
|---|---|---|---|---|---|
| Age < 5 Years (n = 25) | Age > 5 Years (n = 20) | Age < 5 Years (n = 15) | Age > 5 Years (n = 15) | ||
| Alanine | 478.90 ± 290.36 | 300.76 ± 184.18 | 296.87 ± 154.24 | 303.13 ± 238.81 | 0.018 |
| Alpha amino adipic acid | 99.80 ± 70.80 | 46.60 ± 29.99 | 82.87 ± 66.91 | 43.18 ± 27.33 | 0.010 |
| Alpha aminobutyric acid | 24.55 ± 18.04 | 13.56 ± 7.54 | 23.37 ± 23.96 | 15.40 ± 7.87 | 0.787 |
| Arginine | 16.75 ± 5.93 | 15.56 ± 16.09 | 19.00 ± 12.44 | 13.45 ± 5.44 | 0.613 |
| Asparagine | 90.40 ± 84.21 | 53.56 ± 33.22 | 51.75 ± 30.95 | 50.77 ± 34.84 | 0.213 |
| Aspartic acid | 30.40 ± 13.87 | 21.12 ± 11.49 | 20.25 ± 5.72 | 18.63 ± 8.96 | 0.006 |
| Betha-alanine | 58.95 ± 36.18 | 28.32 ± 13.545 | 46.00 ± 30.63 | 33.36 ± 22.22 | 0.001 |
| Lysine | 267.60 ± 176.59 | 132.40 ± 113.76 | 233.16 ± 383.61 | 187.40 ± 83.90 | 0.080 |
| Cystine | 17.30 ± 6.23 | 16.04 ± 11.35 | 15.75 ± 8.54 | 13.95 ± 4.79 | 0.621 |
| Citrulline | 5.45 ± 3.33 | 3.92 ± 3.34 | 3.75 ± 1.03 | 3.45 ± 3.34 | 0.211 |
| Serine | 375.05 ± 205.41 | 290.24 ± 167.60 | 244.00 ± 57.65 | 264.45 ± 119.34 | 0.094 |
| Glycine | 1383.15 ± 700.51 | 1034.60 ± 692.82 | 901.37 ± 445.11 | 1253.50 ± 1616.46 | 0.590 |
| Glutamic acid | 46.00 ±13.58 | 32.12 ± 11.25 | 42.62 ± 20.30 | 37.90 ± 20.82 | 0.040 |
| Glutamine | 798.850 ± 442.51 | 582.40 ± 253.93 | 584.00 ± 246.92 | 484.77 ± 312.20 | 0.025 |
| Histidine | 1023.40 ± 737.03 | 641.28 ± 348.14 | 812.75 ±365.17 | 667.18 ± 350.91 | 0.049 |
| Hydroxyproline | 20.050 ± 32.115 | 7.880 ± 3.919 | 7.875 ± 3.090 | 7.22 ±3.91 | 0.055 |
| Isoleucine | 39.65 ± 21.85 | 26.40 ± 8.96 | 36.75 ± 23.29 | 24.81 ± 8.38 | 0.050 |
| Leucine | 67.25 ± 36.29 | 44.48 ± 20.67 | 48.62 ± 24.48 | 45.50 ± 16.90 | 0.106 |
| Methionine | 24.35 ± 14.06 | 14.48 ± 6.12 | 16.37 ± 8.56 | 14.54 ± 5.83 | 0.005 |
| Metylhistidine | 2.32 ±1.37 | 2.00 ±1.12 | 1.80 ±0.67 | 2.46 ±0.91 | 0.025 |
| Ornithine | 24.55 ± 35.67 | 13.92 ± 9.32 | 26.00 ± 20.80 | 19.09 ± 15.17 | 0.890 |
| Phenylalanine | 120.05 ± 77.16 | 81.48 ± 27.13 | 84.75 ± 29.74 | 85.59 ± 47.07 | 0.063 |
| Proline | 26.85 ± 14.10 | 16.36 ± 7.26 | 40.12 ± 54.44 | 15.13 ± 5.03 | 0.032 |
| Sarcosine | 3.05 ±1.53 | 2.24 ±0.52 | 2.62 ±1.18 | 2.13 ±0.63 | 0.007 |
| Taurine | 742.35 ± 851.78 | 517.28 ± 422.76 | 419.50 ± 364.37 | 437.86 ± 361.90 | 0.019 |
| Threonine | 213.85 ± 121.76 | 136.44 ±89.49 | 125.62 ±46.28 | 126.50 ±64.96 | 0.009 |
| Tyrosine | 274.30 ± 126.81 | 215.20 ±95.31 | 210.00 ±61.97 | 194.72± 68.68 | 0.055 |
| Tryptofan | 111.55 ± 61.53 | 83.44 ± 28.39 | 80.87 ± 24.47 | 73.90 ± 32.03 | 0.006 |
| Valine | 67.75 ± 34.73 | 43.92 ± 15.36 | 54.62 ± 29.89 | 40.95 ± 14.96 | 0.002 |
Disclaimer/Publisher’s Note: The statements, opinions and data contained in all publications are solely those of the individual author(s) and contributor(s) and not of MDPI and/or the editor(s). MDPI and/or the editor(s) disclaim responsibility for any injury to people or property resulting from any ideas, methods, instructions or products referred to in the content. |
© 2024 by the authors. Licensee MDPI, Basel, Switzerland. This article is an open access article distributed under the terms and conditions of the Creative Commons Attribution (CC BY) license (https://creativecommons.org/licenses/by/4.0/).
Share and Cite
Anastasescu, C.M.; Gheorman, V.; Popescu, F.; Stepan, M.D.; Stoicănescu, E.C.; Gheorman, V.; Udriștoiu, I. A Clinical Study of Urine Amino Acids in Children with Autism Spectrum Disorder. Life 2024, 14, 629. https://doi.org/10.3390/life14050629
Anastasescu CM, Gheorman V, Popescu F, Stepan MD, Stoicănescu EC, Gheorman V, Udriștoiu I. A Clinical Study of Urine Amino Acids in Children with Autism Spectrum Disorder. Life. 2024; 14(5):629. https://doi.org/10.3390/life14050629
Chicago/Turabian StyleAnastasescu, Cătălina Mihaela, Veronica Gheorman, Florica Popescu, Mioara Desdemona Stepan, Eugen Cristi Stoicănescu, Victor Gheorman, and Ion Udriștoiu. 2024. "A Clinical Study of Urine Amino Acids in Children with Autism Spectrum Disorder" Life 14, no. 5: 629. https://doi.org/10.3390/life14050629
APA StyleAnastasescu, C. M., Gheorman, V., Popescu, F., Stepan, M. D., Stoicănescu, E. C., Gheorman, V., & Udriștoiu, I. (2024). A Clinical Study of Urine Amino Acids in Children with Autism Spectrum Disorder. Life, 14(5), 629. https://doi.org/10.3390/life14050629

