Left Internal Thoracic Artery versus Saphenous Vein Grafts to Left Anterior Descending Artery after Isolated Coronary Artery Bypass Surgery †
Abstract
1. Introduction
- Compare perioperative outcomes and long-term survival in patients with SVG versus a LITA to the LAD.
- To compare and identify predictors of long-term survival, especially the influence of grafting strategy for the LAD.
2. Materials and Methods
2.1. Study Design and Data Collection
2.2. Inclusion and Exclusion Criteria
2.3. Surgical Technique
2.4. Statistical Analysis
3. Results
3.1. Perioperative Results
3.2. Survival
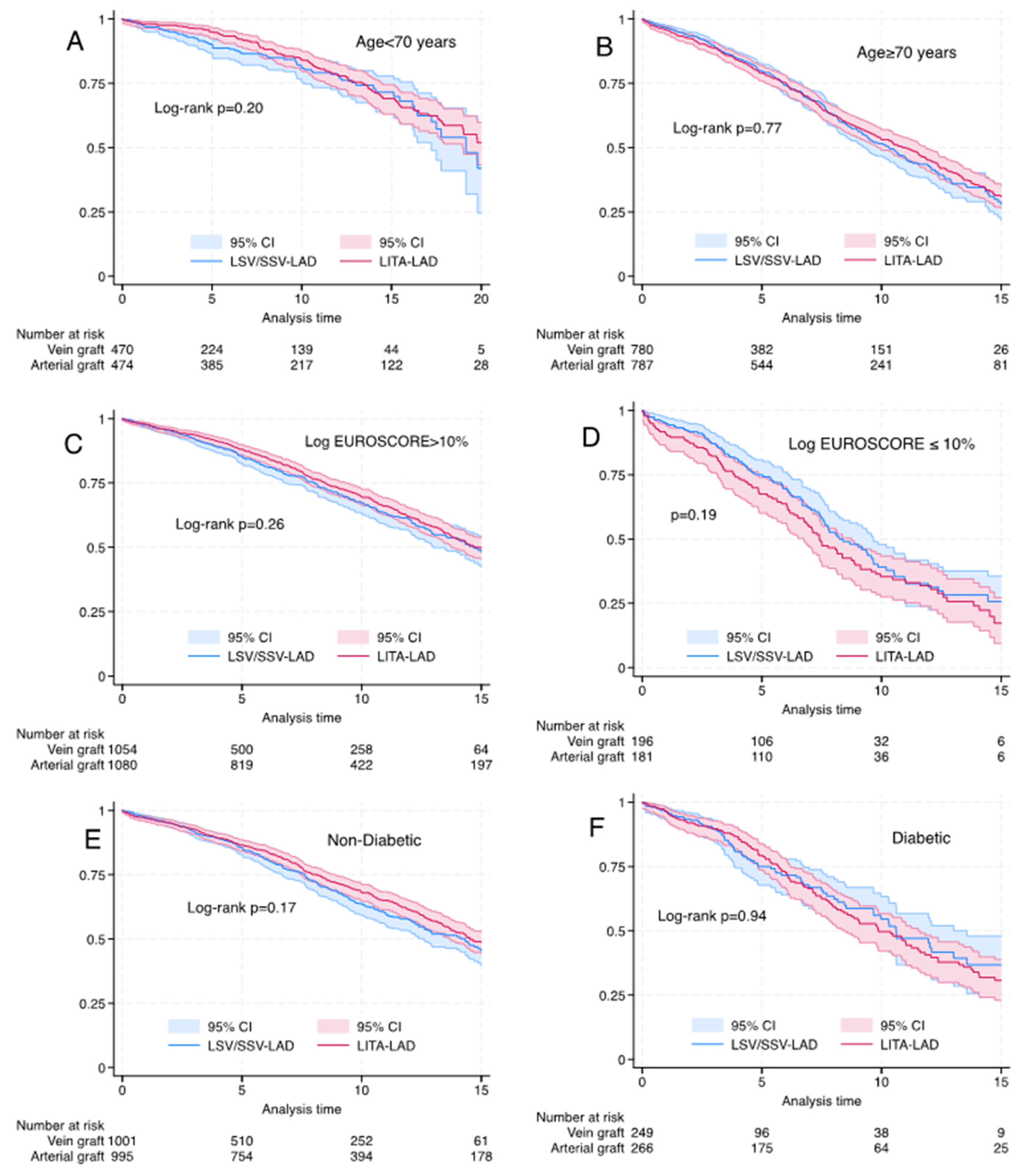
3.3. Subgroup Analysis
4. Discussion
Limitations
5. Conclusions
Supplementary Materials
Author Contributions
Funding
Institutional Review Board Statement
Informed Consent Statement
Data Availability Statement
Acknowledgments
Conflicts of Interest
References
- Boylan, M.J.; Lytle, B.W.; Loop, F.D.; Taylor, P.C.; Borsh, J.A.; Goormastic, M.; Cosgrove, D.M. Surgical treatment of isolated left anterior descending coronary stenosis. J. Thorac. Cardiovasc. Surg. 1994, 107, 657–662. [Google Scholar] [CrossRef] [PubMed]
- Robinson, N.B.; Sef, D.; Gaudino, M.; Taggart, D.P. Postcardiac surgery myocardial ischemia: Why, when, and how to intervene. J. Thorac. Cardiovasc. Surg. 2023, 165, 687–695. [Google Scholar] [CrossRef] [PubMed]
- Sabik, J.F., III; Blackstone, E.H.; Gillinov, A.M.; Banbury, M.K.; Smedira, N.G.; Lytle, B.W. Influence of patient characteristics and arterial grafts on freedom from coronary reoperation. J. Thorac. Cardiovasc. Surg. 2006, 131, 90–98. [Google Scholar] [CrossRef] [PubMed]
- Cameron, A.; Davis, K.B.; Green, G.; Schaff, H.V. Coronary bypass surgery with internal thoracic-artery grafts–effects on survival over a 15-year period. N. Engl. J. Med. 1996, 334, 216–219. [Google Scholar] [CrossRef] [PubMed]
- Hlatky, M.A.; Shilane, D.; Boothroyd, D.B.; Boersma, E.; Brooks, M.M.; Carrié, D.; Clayton, T.C.; Danchin, N.; Flather, M.; Hamm, C.W.; et al. The effect of internal thoracic artery grafts on long-term clinical outcomes after coronary bypass surgery. J. Thorac. Cardiovasc. Surg. 2011, 142, 829–835. [Google Scholar] [CrossRef]
- Gaudino, M.; Bakaeen, F.G.; Sandner, S.; Aldea, G.S.; Arai, H.; Chikwe, J.; Firestone, S.; Fremes, S.E.; Gomes, W.J.; Bong-Kim, K.; et al. Expert Systematic Review on the Choice of Conduits for Coronary Artery Bypass Grafting: Endorsed by the European Association for Cardio-Thoracic Surgery (EACTS) and The Society of Thoracic Surgeons (STS). Ann. Thorac. Surg. 2023, 116, 659–674. [Google Scholar] [CrossRef] [PubMed]
- Loop, F.D.; Lytle, B.W.; Cosgrove, D.M.; Stewart, R.W.; Goormastic, M.; Williams, G.W.; Golding, L.A.; Gill, C.C.; Taylor, P.C.; Sheldon, W.C.; et al. Influence of the internal-mammary-artery graft on 10-year survival and other cardiac events. N. Engl. J. Med. 1986, 314, 1–6. [Google Scholar] [CrossRef]
- Lawton, J.S.; Tamis-Holland, J.E.; Bangalore, S.; Bates, E.R.; Beckie, T.M.; Bischoff, J.M.; Bittl, J.A.; Cohen, M.G.; DiMaio, J.M.; Don, C.W.; et al. 2021 ACC/AHA/SCAI Guideline for Coronary Artery Revascularization: Executive Summary: A Report of the American College of Cardiology/American Heart Association Joint Committee on Clinical Practice Guidelines. Circulation 2022, 145, e4–e17. [Google Scholar] [CrossRef] [PubMed]
- Neumann, F.J.; Sousa-Uva, M.; Ahlsson, A.; Alfonso, F.; Banning, A.P.; Benedetto, U.; Byrne, R.A.; Collet, J.P.; Falk, V.; Head, S.J.; et al. 2018 ESC/EACTS Guidelines on myocardial revascularization. Eur. Heart J. 2019, 40, 87–165. [Google Scholar] [CrossRef] [PubMed]
- Yi, G.; Shine, B.; Rehman, S.M.; Altman, D.G.; Taggart, D.P. Effect of bilateral internal mammary artery grafts on long-term survival: A meta-analysis approach. Circulation. 2014, 130, 539–545. [Google Scholar] [CrossRef] [PubMed]
- Luthra, S. Degrees of Belief and the Burden of Proof: The ART Trial. Ann. Thorac. Surg. 2017, 104, 1441–1444. [Google Scholar] [CrossRef][Green Version]
- Taggart, D.P.; Benedetto, U.; Gerry, S.; Altman, D.G.; Gray, A.M.; Lees, B.; Gaudino, M.; Zamvar, V.; Bochenek, A.; Buxton, B.; et al. Bilateral versus Single Internal-Thoracic-Artery Grafts at 10 Years. N. Engl. J. Med. 2019, 380, 437–446. [Google Scholar] [CrossRef] [PubMed]
- Zeff, R.H.; Kongtahworn, C.; Iannone, L.A.; Gordon, D.F.; Brown, T.M.; Phillips, S.J.; Skinner, J.R.; Spector, M. Internal mammary artery versus saphenous vein graft to the left anterior descending coronary artery: Prospective randomized study with 10-year follow-up. Ann. Thorac. Surg. 1988, 45, 533–536. [Google Scholar] [CrossRef]
- Nezic, D. No randomized trial has confirmed significantly better long-term survival for either radial artery or saphenous vein graft recipients in coronary artery bypass grafting surgery. Eur. J. Cardiothorac. Surg. 2023, 64, ezad326. [Google Scholar] [CrossRef] [PubMed]
- Hlatky, M.A.; Boothroyd, D.B.; Reitz, B.A.; Shilane, D.A.; Baker, L.C.; Go, A.S. Adoption and effectiveness of internal mammary artery grafting in coronary artery bypass surgery among Medicare beneficiaries. J. Am. Coll. Cardiol. 2014, 63, 33–39. [Google Scholar] [CrossRef] [PubMed]
- Porto, I.; Gaudino, M.; De Maria, G.L.; Di Vito, L.; Vergallo, R.; Bruno, P.; Bonalumi, G.; Prati, F.; Bolognese, L.; Crea, F.; et al. Long-term morphofunctional remodeling of internal thoracic artery grafts: A frequency-domain optical coherence tomography study. Circ. Cardiovasc. Interv. 2013, 6, 269–276. [Google Scholar] [CrossRef] [PubMed][Green Version]
- Goldman, S.; Zadina, K.; Moritz, T.; Ovitt, T.; Sethi, G.; Copeland, J.G.; Thottapurathu, L.; Krasnicka, B.; Ellis, N.; Anderson, R.J.; et al. Long-term patency of saphenous vein and left internal mammary artery grafts after coronary artery bypass surgery: Results from a Department of Veterans Affairs Cooperative Study. J. Am. Coll. Cardiol. 2004, 44, 2149–2156. [Google Scholar] [CrossRef]
- Alboom, M.; Browne, A.; Sheth, T.; Zheng, Z.; Dagenais, F.; Noiseux, N.; Brtko, M.; Stevens, L.M.; Lee, S.F.; Copland, I.; et al. Conduit selection and early graft failure in coronary artery bypass surgery: A post hoc analysis of the Cardiovascular Outcomes for People Using Anticoagulation Strategies (COMPASS) coronary artery bypass grafting study. J. Thorac. Cardiovasc. Surg. 2022, 165, 1080–1089.e1. [Google Scholar] [CrossRef]
- Sef, D.; Raja, S.G. Bilateral internal thoracic artery use in coronary artery bypass grafting in the post-ART era—Perspective. Int. J. Surg. 2021, 86, 1–4. [Google Scholar] [CrossRef]
- Yokoyama, Y.; Takagi, H.; Kuno, T. Graft Patency of a Second Conduit for Coronary Artery Bypass Surgery: A Network Meta-Analysis of Randomized Controlled Trials. Semin. Thorac. Cardiovasc. Surg. 2022, 34, 102–109. [Google Scholar] [CrossRef]




| Unmatched | Propensity Matched | |||||||||
|---|---|---|---|---|---|---|---|---|---|---|
| Variable | All n = 8327 | LITA-LAD n = 6725 | SVG-LAD n = 1602 | p Value | SMD | All n = 2540 | LITA-LAD N = 1270 | SVG-LAD N = 1270 | p Value | SMD |
| Age, yrs | 69 (61.5–75.4) | 68.2 (60.8–74.3) | 73 (65.6–79.3) | <0.01 | N/A | 72.6 (66.1–78.1) | 72.2 (66.9–77.4) | 73 (65.9–79) | 0.97 | N/A |
| Age, categories | <0.01 | −46.9 | 0.50 | −0.2 | ||||||
| Age <=70 yrs | 4570 (54.9%) | 3936 (58.5%) | 634 (39.6%) | 993 (39.1%) | 488 (38.4%) | 505 (39.8%) | ||||
| Age 71–80 yrs | 3009 (36.1%) | 2380 (35.3%) | 629 (39.2%) | 1124 (44.3%) | 606 (47.7%) | 518 (40.8%) | ||||
| Age >80 yrs | 748 (9.0%) | 409 (6.1%) | 339 (21.1%) | 423 (16.7%) | 176 (13.9%) | 247 (19.4%) | ||||
| Male gender | 6716 (80.7%) | 5491 (81.7) | 1225 (76.5%) | <0.01 | −12.7 | 1924 (75.7%) | 957 (75.4%) | 967 (76.1%) | 0.64 | 1.9 |
| BMI, kg/m2 | 27.7 (25.0–30.9) | 27.7 (25.1–30.8) | 27.6 (24.7–31.0) | 0.66 | −1.2 | 27.6 (24.9–31.0) | 27.6 (24.9–31.1) | 27.6 (24.7–31.0) | 0.70 | 1.5 |
| Hypertension | 5567 (66.9%) | 4452 (66.2%) | 1115 (69.6%) | 0.01 | −8.5 | 1795 (70.7%) | 898 (70.7%) | 897 (70.6%) | 0.97 | 0.2 |
| DM | 1591 (19.1%) | 1267 (18.8%) | 324 (20.2%) | 0.16 | −3.9 | 522 (20.6%) | 269 (21.2%) | 253 (19.9%) | 0.43 | 3.2 |
| IDDM | 634 (7.6%) | 501 (7.4%) | 133 (8.3%) | 0.25 | N/A | 191 (7.5%) | 90 (7.1%) | 101 (8.0%) | 0.41 | N/A |
| Neuro dysfunction | 669 (8.0%) | 153 (2.3%) | 516 (32.2%) | 0.01 | −6.7 | 235 (9.3%) | 113 (8.9%) | 122 (9.6%) | 0.54 | −2.5 |
| Previous MI | 2996 (36.0%) | 2452 (36.5%) | 544 (34.0%) | 0.07 | 5.1 | 883 (34.8%) | 432 (34.0%) | 451 (35.3%) | 0.43 | −3.1 |
| Smoking | 5696 (68.4%) | 4607 (68.5%) | 1089 (68.0%) | 0.47 | 2.0 | 1740 (68.5%) | 872 (68.7%) | 868 (68.3%) | 0.86 | 0.7 |
| COPD | 905 (10.9%) | 666 (9.9%) | 239 (14.9%) | <0.01 | −15.7 | 394 (15.5%) | 207 (16.3%) | 187 (14.7%) | 0.27 | 4.8 |
| CCS ≥3 | 2659 (31.9%) | 2211 (32.9%) | 458 (28.6%) | <0.01 | 10.6 | 749 (29.5%) | 390 (30.7%) | 359 (28.3%) | 0.17 | 5.3 |
| NYHA ≥3 | 1697 (20.4%) | 1402 (20.8%) | 295 (18.4%) | 0.04 | 5.8 | 466 (18.3%) | 228 (18.0%) | 238 (18.7%) | 0.61 | −2.0 |
| Previous PCI | 164 (2.0%) | 127 (1.9%) | 37 (2.3%) | 0.27 | −3.0 | 54 (2.1%) | 26 (2.0%) | 28 (2.2%) | 0.78 | −1.1 |
| CKD | 180 (2.2%) | 123 (1.8%) | 57 (3.6%) | <0.01 | −10.7 | 71 (2.8%) | 33 (2.6%) | 38 (3.0%) | 0.55 | −2.4 |
| Extracardiac arteriopathy | 678 (8.1%) | 529 (7.9%) | 149 (9.3%) | 0.04 | −5.5 | 261 (10.3%) | 132 (10.4%) | 129 (10.2%) | 0.85 | 0.8 |
| EuroSCORE II, mean | 4.0 (3.9–4.0) | 3.7 (3.6–3.8) | 5.1 (4.9–5.2) | <0.01 | −48.7 | 5.0 (4.9–5.1) | 5.0 (4.9–5.2) | 5.0 (4.8–5.1) | 0.67 | 1.7 |
| LMS disease | 2468 (29.6%) | 1929 (28.7%) | 539 (33.6%) | <0.01 | −15.4 | 936 (36.9%) | 462 (36.4%) | 474 (37.3%) | 0.62 | −2.0 |
| Pre-op IABP | 451 (5.4%) | 285 (4.2%) | 166 (10.4%) | <0.01 | −23.7 | 239 (9.4%) | 126 (9.9%) | 113 (8.9%) | 0.38 | 4.0 |
| LVEF Categories | <0.01 | −12.8 | 0.87 | 0.6 | ||||||
| LVEF Good | 5905 (70.9%) | 4856 (72.2%) | 1049 (65.5%) | 1687 (66.4%) | 842 (66.3%) | 845 (66.5%) | ||||
| LVEF Mild | 1924 (23.1%) | 1522 (22.6%) | 402 (25.1%) | 657 (25.9%) | 344 (27.1%) | 313 (24.6%) | ||||
| LVEF Moderate/severe | 450 (5.4%) | 322 (4.8%) | 128 (8.0%) | 174 (6.9%) | 78 (6.1%) | 96 (7.6%) | ||||
| Unknown | 48 (0.6%) | 25 (0.4%) | 23 (1.4%) | 22 (0.9%) | 6 (0.5%) | 16 (1.3%) | ||||
| LVEF ≤30% | 450 (5.4%) | 322 (4.8%) | 128 (8.0%) | <0.01 | N/A | 174 (6.9%) | 78 (6.1%) | 96 (7.6%) | 0.87 | N/A |
| Extent of vessel disease | <0.01 | −7.5 | 0.97 | −1.4 | ||||||
| 1 vessel >50% stenosis | 252 (3.0%) | 225 (3.3%) | 27 (1.7%) | 57 (2.2%) | 35 (2.8%) | 22 (1.7%) | ||||
| 2 vessels >50% stenosis | 1415 (17.0%) | 1150 (17.1%) | 265 (16.5%) | 464 (18.3%) | 218 (17.2%) | 246 (19.4%) | ||||
| 3 vessels >50% stenosis | 6030 (72.4%) | 4904 (72.9%) | 1126 (70.3%) | 2019 (79.5%) | 1017 (80.1%) | 1002 (78.9%) | ||||
| Unknown | 540 (6.6%) | 446 (6.6%) | 94 (5.9%) | 16 (0.6%) | 5 (0.4%) | 11 (0.9%) | ||||
| 3-vessel CAD | 6030 (72.4%) | 4904 (72.9%) | 1126 (70.3%) | 2019 (79.5%) | 1017 (80.1%) | 1002 (78.9%) | 0.71 | |||
| Unmatched | Propensity Matched | |||||||
|---|---|---|---|---|---|---|---|---|
| Variable | All N = 8327 | LITA-LAD n = 6725 | SVG-LAD n = 1602 | p Value | All n = 2540 | LITA-LAD n = 1270 | SVG-LAD n = 1270 | p Value |
| CPB time | 82 (65–99) | 81 (65–99) | 84 (70–101) | <0.01 | 83 (68–100) | 82 (66–98) | 84 (70–101) | 0.03 |
| XC time | 47 (36–59) | 47 (36–59) | 46 (36–58) | 0.39 | 46 (36–58) | 47 (37–58) | 46 (36–58) | 0.70 |
| Number of grafts | 0.93 | 0.14 | ||||||
| <3 grafts | 1652 (19.8%) | 1333 (19.8%) | 319 (19.9%) | 477 (18.8%) | 224 (17.6%) | 253 (19.9%) | ||
| ≥3 grafts | 6675 (80.2%) | 5392 (80.2%) | 1283 (80.1%) | 2063 (81.2%) | 1046 (82.4%) | 1017 (80.1%) | ||
| Median number of grafts (LQ, UQ) | 3 (3–3) | 3 (3–4) | 3 (3–3) | 0.55 | 3 (3–3) | 3 (3–4) | 3 (3–3) | 0.56 |
| Unmatched | Propensity Matched | |||||||
|---|---|---|---|---|---|---|---|---|
| Variable | All N = 8327 | LITA-LAD n = 6725 | SVG-LAD n = 1602 | p Value | All n = 2540 | LITA-LAD n = 1270 | SVG-LAD n = 1270 | p Value |
| DSWI | 23 (0.3%) | 17 (0.3%) | 6 (0.4%) | 0.01 | 7 (0.3%) | 3 (0.2%) | 4 (0.3%) | 0.71 |
| New CVA | 203 (2.4%) | 157 (2.3%) | 46 (2.9%) | 0.21 | 72 (2.8%) | 37 (2.9%) | 35 (2.8%) | 0.81 |
| RRT | 38 (0.5%) | 25 (0.4%) | 13 (0.8%) | 0.02 | 17 (0.7%) | 8 (0.6%) | 9 (0.7%) | 0.81 |
| Return to theatre | 128 (1.5%) | 91 (1.4%) | 37 (2.3%) | 0.01 | 43 (1.7%) | 14 (1.1%) | 29 (2.3%) | 0.02 |
| LOS | 9.02 (8.8–9.3) | 8.8 (8.5–9.0) | 10.1 (9.5–10.7) | <0.01 | 9.7 (9.3–10.2) | 9.6 (8.9–10.4) | 9.8 (9.3–10.4) | 0.70 |
| LOS >30 days | 204 (2.4%) | 152 (2.3%) | 52 (3.2%) | 0.02 | 77 (3.0%) | 39 (3.1%) | 38 (3.0%) | 0.91 |
| In-hospital mortality | 80 (1.0%) | 48 (0.7%) | 32 (2.0%) | <0.01 | 30 (1.2%) | 10 (0.8%) | 20 (1.6%) | 0.07 |
| Composite endpoint | 461 (5.5%) | 349 (5.2%) | 112 (7.0%) | 0.01 | 163 (6.4%) | 81 (6.4%) | 82 (6.4%) | 0.94 |
| Median Survival, yrs (IQR) | 16.1 (15.6–16.5) | 16.5 (16.1–17.1) | 12.9 (12.1–14.5) | <0.01 | 13.6 (12.9–14.4) | 13.7 (12.9–14.7) | 13.0 (12.1–14.9) | 0.31 |
| Unmatched | Matched | |||||
|---|---|---|---|---|---|---|
| Variable | Hazard Ratio | CI | p Value | Hazard Ratio | CI | p Value |
| Age | 1.01 | 1.01, 1.01 | <0.001 | 1.08 | 1.07, 1.09 | <0.001 |
| Gender, Male | 1.01 | 0.91, 1.12 | 0.908 | 0.80 | 0.68, 0.94 | 0.007 |
| Angina | 0.91 | 0.82, 1.00 | 0.041 | 0.97 | 0.83, 1.13 | 0.66 |
| Dyspnoea | 1.16 | 1.04, 1.28 | 0.006 | 1.14 | 0.97, 1.36 | 0.122 |
| Previous MI | 1.16 | 1.06, 1.26 | 0.001 | 1.10 | 0.95, 1.28 | 0.195 |
| IDDM | 1.69 | 1.53, 1.87 | <0.001 | 1.70 | 1.44, 2.00 | <0.001 |
| Hypertension | 1.23 | 1.12, 1.34 | <0.001 | 1.25 | 1.07, 1.46 | 0.005 |
| Smoking | 1.35 | 1.23, 1.49 | <0.001 | 1.33 | 1.14, 1.56 | <0.001 |
| COPD | 1.34 | 1.18, 1.52 | <0.001 | 1.28 | 1.07, 1.54 | 0.007 |
| Extracardiac arteriopathy | 1.26 | 1.11, 1.44 | 0.001 | 1.16 | 0.94, 1.43 | 0.163 |
| Previous PCI | 1.09 | 0.80, 1.47 | 0.592 | 1.39 | 0.93, 2.09 | 0.111 |
| Preoperative renal dysfunction | 2.26 | 1.80, 2.82 | <0.001 | 1.68 | 1.18, 2.38 | 0.004 |
| Preoperative neurological dysfunction | 1.30 | 1.13, 1.48 | 0 | 1.09 | 0.88, 1.36 | 0.441 |
| 3 vessel disease | 1.21 | 1.11, 1.32 | <0.001 | 1.21 | 1.04, 1.42 | 0.016 |
| LMS disease | 0.99 | 0.91, 0.99 | 0.898 | 0.97 | 0.84, 1.13 | 0.724 |
| BMI >30 | 0.98 | 0.97, 0.99 | <0.001 | 0.99 | 0.98, 1.01 | 0.342 |
| Surgery before 2010 | 0.93 | 0.88, 0.99 | 0.013 | 0.93 | 0.85, 1.01 | 0.091 |
| ≥3 grafts | 0.90 | 0.84, 0.96 | 0.002 | 0.91 | 0.81, 1.03 | 0.134 |
| CBP time | 1.00 | 1.00, 1.01 | 0.053 | 1.00 | 1.00, 1.01 | 0.141 |
| XC time | 1.00 | 1.00, 1.00 | 0.019 | 0.99 | 0.98, 1.00 | 0.012 |
| Log EuroSCORE | 1.49 | 1.30, 1.72 | <0.001 | 1.29 | 1.06, 1.57 | 0.011 |
| RRT | 2.16 | 1.18, 3.97 | 0.012 | 3.71 | 1.68, 8.16 | 0.001 |
| DSWI | 1.54 | 0.57, 4.11 | 0.393 | 2.53 | 0.81, 7.96 | 0.111 |
| New CVA | 1.49 | 1.18, 1.87 | 0.001 | 1.22 | 0.82, 1.81 | 0.334 |
| SVG-to-LAD | 0.90 | 0.80, 1.01 | 0.067 | 1.01 | 0.88, 1.16 | 0.905 |
Disclaimer/Publisher’s Note: The statements, opinions and data contained in all publications are solely those of the individual author(s) and contributor(s) and not of MDPI and/or the editor(s). MDPI and/or the editor(s) disclaim responsibility for any injury to people or property resulting from any ideas, methods, instructions or products referred to in the content. |
© 2024 by the authors. Licensee MDPI, Basel, Switzerland. This article is an open access article distributed under the terms and conditions of the Creative Commons Attribution (CC BY) license (https://creativecommons.org/licenses/by/4.0/).
Share and Cite
Luthra, S.; Masraf, H.; Mohamed, M.E.; Malvindi, P.G.; Sef, D.; Miskolczi, S.; Velissaris, T. Left Internal Thoracic Artery versus Saphenous Vein Grafts to Left Anterior Descending Artery after Isolated Coronary Artery Bypass Surgery. Life 2024, 14, 385. https://doi.org/10.3390/life14030385
Luthra S, Masraf H, Mohamed ME, Malvindi PG, Sef D, Miskolczi S, Velissaris T. Left Internal Thoracic Artery versus Saphenous Vein Grafts to Left Anterior Descending Artery after Isolated Coronary Artery Bypass Surgery. Life. 2024; 14(3):385. https://doi.org/10.3390/life14030385
Chicago/Turabian StyleLuthra, Suvitesh, Hannah Masraf, Mostafa Elbadry Mohamed, Pietro G. Malvindi, Davorin Sef, Szabolcs Miskolczi, and Theodore Velissaris. 2024. "Left Internal Thoracic Artery versus Saphenous Vein Grafts to Left Anterior Descending Artery after Isolated Coronary Artery Bypass Surgery" Life 14, no. 3: 385. https://doi.org/10.3390/life14030385
APA StyleLuthra, S., Masraf, H., Mohamed, M. E., Malvindi, P. G., Sef, D., Miskolczi, S., & Velissaris, T. (2024). Left Internal Thoracic Artery versus Saphenous Vein Grafts to Left Anterior Descending Artery after Isolated Coronary Artery Bypass Surgery. Life, 14(3), 385. https://doi.org/10.3390/life14030385

