Physiological, Agronomic, and Grain Quality Responses of Diverse Rice Genotypes to Various Irrigation Regimes under Aerobic Cultivation Conditions
Abstract
1. Introduction
2. Materials and Methods
2.1. Plant Material
2.2. Experimental Site and Agricultural Practices
2.3. Measured Traits
2.3.1. Physiological Parameters
2.3.2. Agronomic Traits
2.3.3. Grain Quality Characteristics
2.4. Statistical Analysis
3. Results
3.1. Physiological Parameters
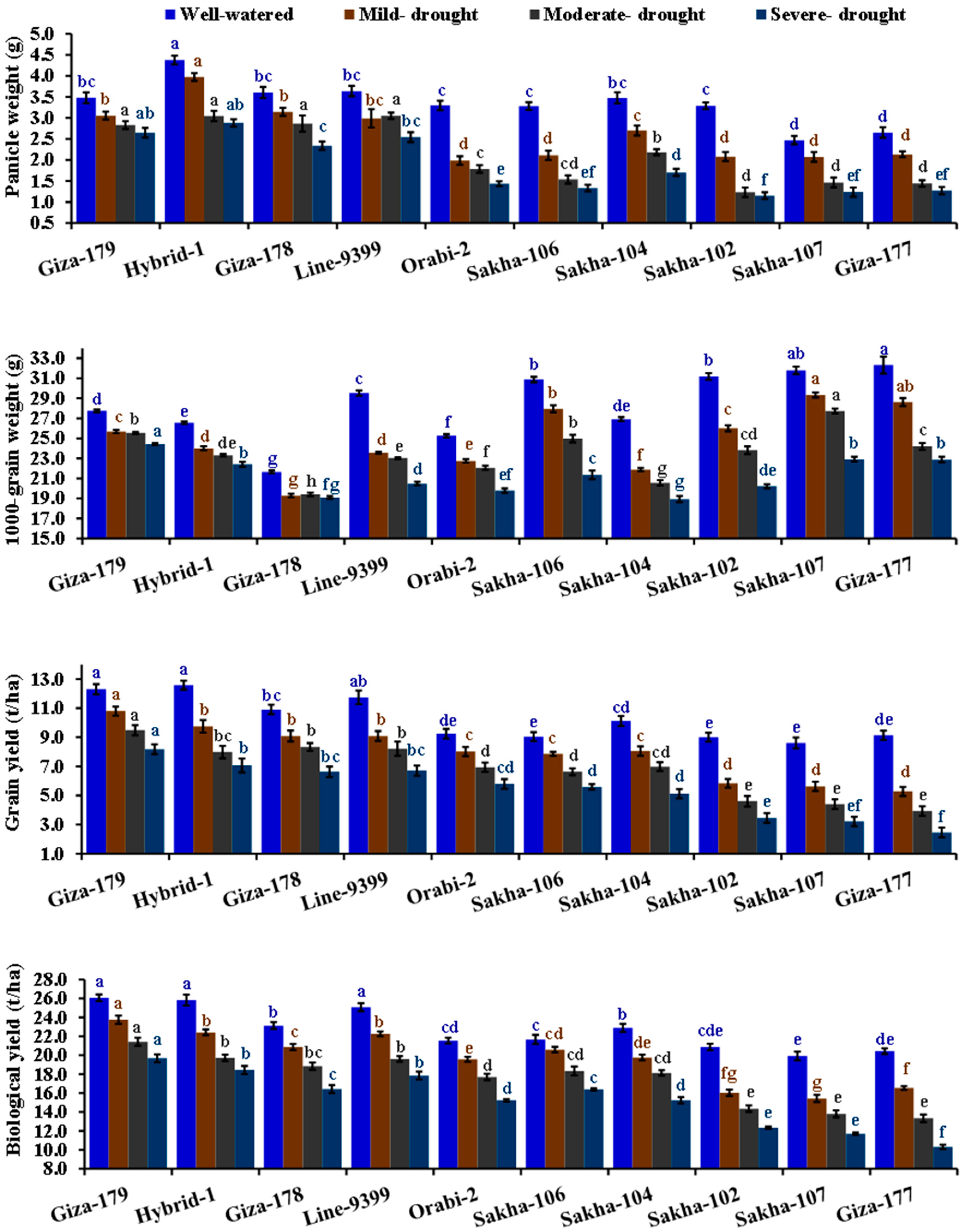
3.2. Agronomic Traits and Crop Water Productivity
3.3. Quality Characteristics
3.4. Genotypic Classification
4. Discussion
5. Conclusions
Supplementary Materials
Author Contributions
Funding
Institutional Review Board Statement
Informed Consent Statement
Data Availability Statement
Acknowledgments
Conflicts of Interest
References
- Khush, G.S. Strategies for increasing the yield potential of cereals: Case of rice as an example. Plant Breed. 2013, 132, 433–436. [Google Scholar] [CrossRef]
- Saleh, A.S.; Wang, P.; Wang, N.; Yang, L.; Xiao, Z. Brown rice versus white rice: Nutritional quality, potential health benefits, development of food products, and preservation technologies. Compr. Rev. Food Sci. Food Saf. 2019, 18, 1070–1096. [Google Scholar] [CrossRef]
- FAOSTAT. Food and Agriculture Organization of the United Nations. Statistical Database. 2023. Available online: http://www.fao.org/faostat/en/#data (accessed on 1 December 2023).
- ElShamey, E.A.Z.; Sakran, R.M.; ElSayed, M.A.A.; Aloufi, S.; Alharthi, B.; Alqurashi, M.; Mansour, E.; Abd El-Moneim, D. Heterosis and combining ability for floral and yield characters in rice using cytoplasmic male sterility system. Saudi J. Biol. Sci. 2022, 29, 3727–3738. [Google Scholar] [CrossRef]
- Farooq, M.S.; Fatima, H.; Rehman, O.U.; Yousuf, M.; Kalsoom, R.; Fiaz, S.; Khan, M.R.; Uzair, M.; Huo, S. Major challenges in widespread adaptation of aerobic rice system and potential opportunities for future sustainability. S. Afr. J. Bot. 2023, 159, 231–251. [Google Scholar] [CrossRef]
- Abd-El-Aty, M.S.; Kamara, M.M.; Elgamal, W.H.; Mesbah, M.I.; Abomarzoka, E.A.; Alwutayd, K.M.; Mansour, E.; Abdelmalek, I.B.; Behiry, S.I.; Almoshadak, A.S. Exogenous application of nano-silicon, potassium sulfate, or proline enhances physiological parameters, antioxidant enzyme activities, and agronomic traits of diverse rice genotypes under water deficit conditions. Heliyon 2024, 10, e26077. [Google Scholar] [CrossRef]
- Chandana, V.; Singh, M.; Kumar, A. Water saving technologies in rice—A review. J. Pharmacogn. Phytochem. 2019, 8, 2516–2523. [Google Scholar]
- Liu, H.; Zhan, J.; Hussain, S.; Nie, L. Grain yield and resource use efficiencies of upland and lowland rice cultivars under aerobic cultivation. Agronomy 2019, 9, 591. [Google Scholar] [CrossRef]
- Sruthi, P.; Surendran, U. Evaluation of nutrient management and method of planting on crop productivity of aerobic rice and estimating the water saving in aerobic using FAO-CROPWAT model. Paddy Water Environ. 2023, 21, 467–477. [Google Scholar] [CrossRef]
- Mallareddy, M.; Thirumalaikumar, R.; Balasubramanian, P.; Naseeruddin, R.; Nithya, N.; Mariadoss, A.; Eazhilkrishna, N.; Choudhary, A.K.; Deiveegan, M.; Subramanian, E. Maximizing water use efficiency in rice farming: A comprehensive review of innovative irrigation management technologies. Water 2023, 15, 1802. [Google Scholar] [CrossRef]
- Chatterjee, D.; Saha, S.; Pradhan, A.; Swain, C.K.; Venkatramaiah, E.; Nayak, A.K.; Pathak, H. Reducing methane emission from lowland rice ecosystem. Soil Sci. Fundam. Recent Adv. 2021, 13, 493–511. [Google Scholar]
- Sandhu, N.; Yadaw, R.B.; Chaudhary, B.; Prasai, H.; Iftekharuddaula, K.; Venkateshwarlu, C.; Annamalai, A.; Xangsayasane, P.; Battan, K.R.; Ram, M. Evaluating the performance of rice genotypes for improving yield and adaptability under direct seeded aerobic cultivation conditions. Front. Plant Sci. 2019, 10, 159. [Google Scholar] [CrossRef]
- Fukai, S.; Mitchell, J. Factors determining water use efficiency in aerobic rice. Crop Environ. 2022, 1, 24–40. [Google Scholar] [CrossRef]
- Dey, S.; Ram, K.; Chhabra, A.; Reddy, A.L.; Janghel, D. Aerobic rice: Smart technology of rice cultivation. Int. J. Curr. Microbiol. Appl. Sci 2018, 7, 1799–1804. [Google Scholar] [CrossRef]
- Bhutto, L.A.; Takita, T.; Fujii, T.; Baloch, A.W.; Yamashita, Y.; Yamada, M.; Abe, Y.; Maruyama, S. Impact of aerobic rice cultivation on growth and productivity of Indica and Japonica cultivars. Pak. J. Bot. 2021, 53, 493–503. [Google Scholar] [CrossRef]
- Bin Rahman, A.R.; Zhang, J. Trends in rice research: 2030 and beyond. Food Energy Secur. 2023, 12, e390. [Google Scholar] [CrossRef]
- Diem, P.K.; Diem, N.K.; Nguyen, C.T.; Minh, V.Q. Impacts of extreme drought on rice planting calendar in Vietnamese Mekong Delta. Paddy Water Environ. 2024, 22, 139–153. [Google Scholar] [CrossRef]
- Datta, A.; Ullah, H.; Ferdous, Z. Water management in rice. In Rice Production Worldwide; Springer: Berlin/Heidelberg, Germany, 2017; pp. 255–277. [Google Scholar]
- Pour-Aboughadareh, A.; Mohammadi, R.; Etminan, A.; Shooshtari, L.; Maleki-Tabrizi, N.; Poczai, P. Effects of drought stress on some agronomic and morpho-physiological traits in durum wheat genotypes. Sustainability 2020, 12, 5610. [Google Scholar] [CrossRef]
- Yang, Y.; Yu, J.; Qian, Q.; Shang, L. Enhancement of heat and drought stress tolerance in rice by genetic manipulation: A systematic review. Rice 2022, 15, 67. [Google Scholar] [CrossRef] [PubMed]
- Sakran, R.M.; Ghazy, M.I.; Rehan, M.; Alsohim, A.S.; Mansour, E. Molecular genetic diversity and combining ability for some physiological and agronomic traits in rice under well-watered and water-deficit conditions. Plants 2022, 11, 702. [Google Scholar] [CrossRef]
- Kumar, S.; Dwivedi, S.K.; Basu, S.; Kumar, G.; Mishra, J.; Koley, T.K.; Rao, K.; Choudhary, A.; Mondal, S.; Kumar, S. Anatomical, agro-morphological and physiological changes in rice under cumulative and stage specific drought conditions prevailed in eastern region of India. Field Crops Res. 2020, 245, 107658. [Google Scholar] [CrossRef]
- Bhandari, U.; Gajurel, A.; Khadka, B.; Thapa, I.; Chand, I.; Bhatta, D.; Poudel, A.; Pandey, M.; Shrestha, S.; Shrestha, J. Morpho-physiological and biochemical response of rice (Oryza sativa L.) to drought stress: A review. Heliyon 2023, 9, e13744. [Google Scholar] [CrossRef] [PubMed]
- Lanna, A.C.; Coelho, G.R.C.; Moreira, A.S.; Terra, T.G.R.; Brondani, C.; Saraiva, G.R.; Lemos, F.d.S.; Guimarães, P.H.R.; Morais Júnior, O.P.; Vianello, R.P. Upland rice: Phenotypic diversity for drought tolerance. Sci. Agric. 2020, 78, e20190338. [Google Scholar] [CrossRef]
- Baldoni, E. Improving drought tolerance: Can comparative transcriptomics support strategic rice breeding? Plant Stress 2022, 3, 100058. [Google Scholar] [CrossRef]
- Ghidan, W.; Khedr, R.A. Assessment of some agro-physiological traits and genetic markers in rice (Oryza sativa L.) under normal and water stress conditions. J. Plant Prod. 2021, 12, 73–86. [Google Scholar] [CrossRef]
- Bates, L.S.; Waldren, R.a.; Teare, I. Rapid determination of free proline for water-stress studies. Plant Soil 1973, 39, 205–207. [Google Scholar] [CrossRef]
- Chance, B.; Maehly, A. [136] Assay of catalases and peroxidases. In Methods of Enzymology; Colowick, S.P., Kaplar, N.O., Eds.; Academic Press: New York, NY, USA, 1955; Volume 2, pp. 764–775. [Google Scholar]
- Barrs, H.; Weatherley, P. A re-examination of the relative turgidity technique for estimating water deficits in leaves. Aust. J. Biol. Sci. 1962, 15, 413–428. [Google Scholar] [CrossRef]
- De Datta, S.; Malabuyoc, J.; Aragon, E. A field screening technique for evaluating rice germplasm for drought tolerance during the vegetative stage. Field Crops Res. 1988, 19, 123–134. [Google Scholar] [CrossRef]
- Adair, C. The Mcgill miller method for determining the milling quality of small samples of rice. Rice J. 1952, 55, 21–23. [Google Scholar]
- Juliano, B.O. A simplified assay for milled-rice amylose. Cereal Sci. Today 1971, 12, 334–360. [Google Scholar]
- Zagaria, C.; Schulp, C.J.; Malek, Ž.; Verburg, P.H. Potential for land and water management adaptations in Mediterranean croplands under climate change. Agric. Syst. 2023, 205, 103586. [Google Scholar] [CrossRef]
- Tanarhte, M.; De Vries, A.; Zittis, G.; Chfadi, T. Severe droughts in North Africa: A review of drivers, impacts and management. Earth-Sci. Rev. 2024, 250, 104701. [Google Scholar] [CrossRef]
- Khatun, M.; Sarkar, S.; Era, F.M.; Islam, A.M.; Anwar, M.P.; Fahad, S.; Datta, R.; Islam, A.A. Drought stress in grain legumes: Effects, tolerance mechanisms and management. Agronomy 2021, 11, 2374. [Google Scholar] [CrossRef]
- Yang, X.; Wang, B.; Chen, L.; Li, P.; Cao, C. The different influences of drought stress at the flowering stage on rice physiological traits, grain yield, and quality. Sci. Rep. 2019, 9, 3742. [Google Scholar] [CrossRef] [PubMed]
- Radha, B.; Sunitha, N.C.; Sah, R.P.; TP, M.A.; Krishna, G.; Umesh, D.K.; Thomas, S.; Anilkumar, C.; Upadhyay, S.; Kumar, A. Physiological and molecular implications of multiple abiotic stresses on yield and quality of rice. Front. Plant Sci. 2023, 13, 996514. [Google Scholar] [CrossRef]
- Salgotra, R.K.; Chauhan, B.S. Ecophysiological responses of rice (Oryza sativa L.) to drought and high temperature. Agronomy 2023, 13, 1877. [Google Scholar] [CrossRef]
- Wang, X.; Liu, H.; Yu, F.; Hu, B.; Jia, Y.; Sha, H.; Zhao, H. Differential activity of the antioxidant defence system and alterations in the accumulation of osmolyte and reactive oxygen species under drought stress and recovery in rice (Oryza sativa L.) tillering. Sci. Rep. 2019, 9, 8543. [Google Scholar] [CrossRef] [PubMed]
- Shankar, R.; Dwivedi, A.K.; Singh, V.; Jain, M. Genome-wide discovery of genetic variations between rice cultivars with contrasting drought stress response and their potential functional relevance. Physiol. Plant. 2023, 175, e13879. [Google Scholar] [CrossRef]
- Bhattacharjee, B.; Ali, A.; Rangappa, K.; Choudhury, B.U.; Mishra, V. A detailed study on genetic diversity, antioxidant machinery, and expression profile of drought-responsive genes in rice genotypes exposed to artificial osmotic stress. Sci. Rep. 2023, 13, 18388. [Google Scholar] [CrossRef] [PubMed]
- Shil, S. Physio-Biochemical Approaches for Raising Drought Tolerance in Plants: Recent Progress and Future Perspectives. In Salinity and Drought Tolerance in Plants: Physiological Perspectives; Springer: Berlin/Heidelberg, Germany, 2023; pp. 47–59. [Google Scholar]
- Jańczak-Pieniążek, M. The influence of cropping systems on photosynthesis, yield, and grain quality of selected winter triticale cultivars. Sustainability 2023, 15, 11075. [Google Scholar] [CrossRef]
- Rehman, F.; Saeed, A.; Yaseen, M.; Shakeel, A.; Ziaf, K.; Munir, H.; Tariq, S.A.; Raza, M.A.; Riaz, A. Genetic evaluation and characterization using cluster heat map to assess NaCl tolerance in tomato germplasm at the seedling stage. Chil. J. Agric. Res. 2019, 79, 56–65. [Google Scholar] [CrossRef]
- Mohi-Ud-Din, M.; Hossain, M.A.; Rohman, M.M.; Uddin, M.N.; Haque, M.S.; Ahmed, J.U.; Hossain, A.; Hassan, M.M.; Mostofa, M.G. Multivariate analysis of morpho-physiological traits reveals differential drought tolerance potential of bread wheat genotypes at the seedling stage. Plants 2021, 10, 879. [Google Scholar] [CrossRef] [PubMed]








| No. | Name | Pedigree | Origin | Type | Grain Shape |
|---|---|---|---|---|---|
| 1 | Giza-179 | GZ62961XGZ1368-5-5-4 | Egypt | Indica | Fine grain |
| 2 | Hybrid-1 | IR696525AXGiza-178-R - | Egypt | Indica | Fine grain |
| 3 | Giza-178 | (Giza-175/Milyang-49) | Egypt | Indica/Japonica | Medium grain |
| 4 | Line-9399 | (GZ62961XGZ1368-5-5-4/Giza-175) | Egypt | Indica/Japonica | Medium grain |
| 5 | Orabi-2 | A selected line from IR 47861321, after treating by EMS at 0.5% | Egypt | Indica | Fine grain |
| 6 | Sakha-106 | Giza- 177XHexi30 | Egypt | Indica | Fine grain |
| 7 | Sakha-104 | (GZ-4096-8-1/GZ4100-9-1) | Egypt | Japonica | Short grain |
| 8 | Sakha-102 | (GZ-4096-7-1/Giza-177) | Egypt | Japonica | Short grain |
| 9 | Sakha-107 | GZ5581-46-3XGZGZ4316-7-1 | Egypt | Japonica | Short grain |
| 10 | Giza-177 | (Giza-171/Yomji No. 1//Pi No. 4) | Egypt | Japonica | Short grain |
| Studied Factor | Leaf Rolling | Chlorophyll Content (SPAD) | Relative Water Content (%) | Peroxidase Content (A240 min/mg) | Proline Content (mg/g) | Catalase Content (A240 min/mg) | |
|---|---|---|---|---|---|---|---|
| Irrigation regimes (IR) | |||||||
| Well-watered | 1.40 d | 41.93 a | 89.98 a | 1.63 d | 185.36 d | 0.082 d | |
| Mild drought | 2.20 c | 37.15 b | 83.45 b | 1.92 c | 210.24 c | 0.093 c | |
| Moderate drought | 3.42 b | 33.90 c | 77.20 c | 2.20 b | 232.15 b | 0.105 b | |
| Severe drought | 4.27 a | 30.47 d | 70.98 d | 2.39 a | 247.83 a | 0.115 a | |
| Rice genotype (RG) | |||||||
| Giza-179 | 0.71 c | 41.90 a | 93.74 a | 2.92 b | 271.27 a | 0.168 b | |
| Hybrid-1 | 1.25 c | 40.53 b | 91.68 b | 3.66 a | 266.19 b | 0.171 a | |
| Giza-178 | 0.83 c | 40.19 b | 89.99 c | 2.75 c | 265.80 b | 0.142 d | |
| Line-9399 | 1.17 c | 39.56 c | 91.71 b | 2.13 d | 267.35 b | 0.162 c | |
| Orabi-2 | 3.42 b | 30.90 g | 74.37 f | 1.72 e | 222.50 c | 0.109 e | |
| Sakha-106 | 4.83 a | 29.67 h | 67.62 g | 1.46 f | 164.58 f | 0.044 h | |
| Sakha-104 | 3.08 b | 35.07 d | 76.37 e | 1.47 f | 203.55 e | 0.049 g | |
| Sakha-102 | 4.67 a | 32.27 f | 73.61 f | 1.48 f | 158.45 g | 0.039 i | |
| Sakha-107 | 3.50 b | 35.10 d | 78.00 d | 1.39 g | 210.20 d | 0.056 f | |
| Giza-177 | 4.75 a | 33.41 e | 67.01 g | 1.36 g | 159.08 g | 0.049 g | |
| ANOVA | df | p-value | |||||
| Irrigation regimes (IR) | 3 | <0. 001 | <0.001 | <0.001 | <0.001 | <0.001 | <0.001 |
| Rice genotype (RG) | 9 | <0.001 | <0.001 | <0.001 | <0.001 | <0.001 | <0.001 |
| IR × RG | 27 | 0.035 | <0.001 | <0.001 | <0.001 | <0.001 | <0.001 |
| Studied Factor | Days to Heading | Plant Height (cm) | No. of Filled Grains | Sterility Percentage | No of Panicles/m2 | |
|---|---|---|---|---|---|---|
| Irrigation regimes (IR) | ||||||
| Well-watered | 113.43 a | 102.57 a | 114.47 a | 8.36 d | 316.98 a | |
| Mild drought | 108.50 b | 94.97 b | 83.76 b | 13.50 c | 278.35 b | |
| Moderate drought | 101.68 c | 90.22 c | 70.59 c | 17.65 b | 255.58 c | |
| Severe drought | 99.28 d | 84.35 d | 61.05 d | 22.18 a | 225.80 d | |
| Rice genotype (RG) | ||||||
| Giza-179 | 94.33 f | 89.54 f | 93.80 c | 10.64 h | 319.63 a | |
| Hybrid-1 | 107.21 c | 97.29 b | 102.76 a | 16.40 c | 262.25 de | |
| Giza-178 | 108.25 b | 94.17 d | 101.12 a | 13.14 g | 291.38 b | |
| Line-9399 | 109.83 a | 89.83 f | 98.03 b | 13.61 f | 275.29 cd | |
| Orabi-2 | 107.67 bc | 89.71 f | 76.50 d | 18.05 b | 257.88 de | |
| Sakha-106 | 105.29 d | 95.75 c | 69.71 f | 14.00 e | 276.42 bc | |
| Sakha-104 | 108.42 b | 92.71 e | 73.29 e | 18.68 a | 277.92 bc | |
| Sakha-102 | 104.75 d | 97.29 b | 70.26 f | 16.26 c | 255.96 e | |
| Sakha-107 | 108.21 b | 99.63 a | 72.93 e | 18.21 b | 253.54 e | |
| Giza-177 | 103.29 e | 84.33 g | 66.29 g | 15.24 d | 221.54 f | |
| ANOVA | df | p-value | ||||
| Irrigation regimes (IR) | 3 | <0.001 | <0.001 | <0.001 | <0.001 | <0.001 |
| Rice genotype (RG) | 9 | <0.001 | <0.001 | <0.001 | <0.001 | <0.001 |
| IR × RG | 27 | <0.001 | <0.001 | <0.001 | <0.001 | <0.001 |
| Studied Factor | Panicle Weight (g) | 1000-Grain Weight (g) | Grain Yield (Ton/ha) | Biological Yield (Ton/ha) | Crop Water Productivity for Grain Yield (kg/m3) | Crop Water Productivity for Biological Yield (kg/m3) | |
|---|---|---|---|---|---|---|---|
| Irrigation regimes (IR) | |||||||
| Well-watered | 3.36 a | 28.39 a | 10.27 a | 22.75 a | 0.734 d | 1.625 d | |
| Mild drought | 2.63 b | 24.91 b | 7.94 b | 19.73 b | 0.760 c | 1.888 c | |
| Moderate drought | 2.14 c | 23.47 c | 6.75 c | 17.53 c | 0.947 b | 2.460 b | |
| Severe drought | 1.85 d | 21.25 d | 5.42 d | 15.37 d | 0.957 a | 2.714 a | |
| Rice genotype (RG) | |||||||
| Giza-179 | 3.00 b | 25.85 d | 10.19 a | 22.74 a | 1.172 a | 2.656 a | |
| Hybrid-1 | 3.57 a | 24.07 f | 9.35 b | 21.61 b | 1.050 b | 2.505 b | |
| Giza-178 | 2.99 b | 19.86 i | 8.74 c | 19.82 c | 0.998 c | 2.300 c | |
| Line-9399 | 3.06 b | 24.15 f | 8.94 bc | 21.20 b | 1.012 c | 2.458 b | |
| Orabi-2 | 2.13 d | 22.47 g | 7.50 d | 18.51 e | 0.857 d | 2.147 e | |
| Sakha-106 | 2.06 de | 26.29 c | 7.28 d | 19.25 d | 0.829 d | 2.247 cd | |
| Sakha-104 | 2.52 c | 22.08 h | 7.57 d | 19.01 d | 0.845 d | 2.192 de | |
| Sakha-102 | 1.94 ef | 25.31 e | 5.72 e | 15.90 f | 0.614 e | 1.806 f | |
| Sakha-107 | 1.81 f | 27.95 a | 5.47 ef | 15.22 g | 0.585 e | 1.727 fg | |
| Giza-177 | 1.88 f | 27.01 b | 5.20 f | 15.16 g | 0.534 f | 1.680 g | |
| ANOVA | df | p-value | |||||
| Irrigation regimes (IR) | 3 | <0. 001 | <0.001 | <0.001 | <0.001 | >0.001 | <0.001 |
| Rice genotype (RG) | 9 | <0.001 | <0.001 | <0. 001 | <0.001 | <0.001 | <0.001 |
| IR × RG | 27 | <0.001 | <0.001 | <0.001 | <0.001 | <0.001 | <0.001 |
| Studied Factor | Hulling Percentage | Milling Percentage | Head Rice Percentage | Broken Rice Percentage | Green Rice Percentage | |
|---|---|---|---|---|---|---|
| Irrigation regimes (IR) | ||||||
| Well-watered | 80.34 a | 69.23 a | 60.48 a | 8.43 d | 4.02 c | |
| Mild drought | 76.85 b | 65.55 b | 56.62 b | 8.80 c | 5.76 b | |
| Moderate drought | 72.50 c | 62.11 c | 53.00 c | 9.06 b | 5.80 b | |
| Severe drought | 69.56 d | 60.01 d | 50.45 d | 9.55 a | 6.61 a | |
| Rice genotype (RG) | ||||||
| Giza-179 | 75.58 c | 65.38 bc | 56.30 ab | 8.96 e | 5.61 c | |
| Hybrid-1 | 72.93 e | 62.48 e | 53.73 d | 8.55 f | 5.41 e | |
| Giza-178 | 76.95 a | 66.11 a | 56.78 a | 9.06 bc | 5.72.a | |
| Line-9399 | 77.38 a | 65.88 ab | 56.65 a | 9.12 ab | 5.74 a | |
| Orabi-2 | 73.58 d | 62.99 de | 53.90 cd | 8.99 de | 5.46 d | |
| Sakha-106 | 76.21 b | 65.10 c | 56.06 b | 9.01 cde | 5.67 b | |
| Sakha-104 | 71.51 f | 63.14 d | 54.26 c | 8.56 f | 5.29 f | |
| Sakha-102 | 76.10 bc | 65.04 c | 55.86 b | 9.14 a | 5.64 bc | |
| Sakha-107 | 73.84 d | 62.79 de | 53.71 cd | 9.05 cd | 5.46 d | |
| Giza-177 | 74.05 d | 63.36 d | 54.16 cd | 9.14 a | 5.48 d | |
| ANOVA | df | p-value | ||||
| Irrigation regimes (IR) | 3 | <0.001 | <0.001 | <0.001 | <0.001 | <0.001 |
| Rice genotype (RG) | 9 | <0.001 | <0.001 | <0.001 | <0.001 | <0.001 |
| IR × RG | 27 | 0.020 | 0.466 | 0.301 | <0.001 | <0.001 |
Disclaimer/Publisher’s Note: The statements, opinions and data contained in all publications are solely those of the individual author(s) and contributor(s) and not of MDPI and/or the editor(s). MDPI and/or the editor(s) disclaim responsibility for any injury to people or property resulting from any ideas, methods, instructions or products referred to in the content. |
© 2024 by the authors. Licensee MDPI, Basel, Switzerland. This article is an open access article distributed under the terms and conditions of the Creative Commons Attribution (CC BY) license (https://creativecommons.org/licenses/by/4.0/).
Share and Cite
Mousa, A.M.A.; Ali, A.M.A.-G.; Omar, A.E.A.; Alharbi, K.; Abd El-Moneim, D.; Mansour, E.; Elmorsy, R.S.A. Physiological, Agronomic, and Grain Quality Responses of Diverse Rice Genotypes to Various Irrigation Regimes under Aerobic Cultivation Conditions. Life 2024, 14, 370. https://doi.org/10.3390/life14030370
Mousa AMA, Ali AMA-G, Omar AEA, Alharbi K, Abd El-Moneim D, Mansour E, Elmorsy RSA. Physiological, Agronomic, and Grain Quality Responses of Diverse Rice Genotypes to Various Irrigation Regimes under Aerobic Cultivation Conditions. Life. 2024; 14(3):370. https://doi.org/10.3390/life14030370
Chicago/Turabian StyleMousa, Ahmed M. A., Ahmed M. A.-G. Ali, Abdelrahman E. A. Omar, Khadiga Alharbi, Diaa Abd El-Moneim, Elsayed Mansour, and Rasha S. A. Elmorsy. 2024. "Physiological, Agronomic, and Grain Quality Responses of Diverse Rice Genotypes to Various Irrigation Regimes under Aerobic Cultivation Conditions" Life 14, no. 3: 370. https://doi.org/10.3390/life14030370
APA StyleMousa, A. M. A., Ali, A. M. A.-G., Omar, A. E. A., Alharbi, K., Abd El-Moneim, D., Mansour, E., & Elmorsy, R. S. A. (2024). Physiological, Agronomic, and Grain Quality Responses of Diverse Rice Genotypes to Various Irrigation Regimes under Aerobic Cultivation Conditions. Life, 14(3), 370. https://doi.org/10.3390/life14030370

