Minute Ventilation/Carbon Dioxide Production Slope Could Predict Short- and Long-Term Prognosis of Patients After Acute Decompensated Heart Failure
Abstract
1. Introduction
2. Materials and Methods
2.1. Study Design and Participants
2.2. Cardiopulmonary Exercise Testing
2.3. Statistical Analysis
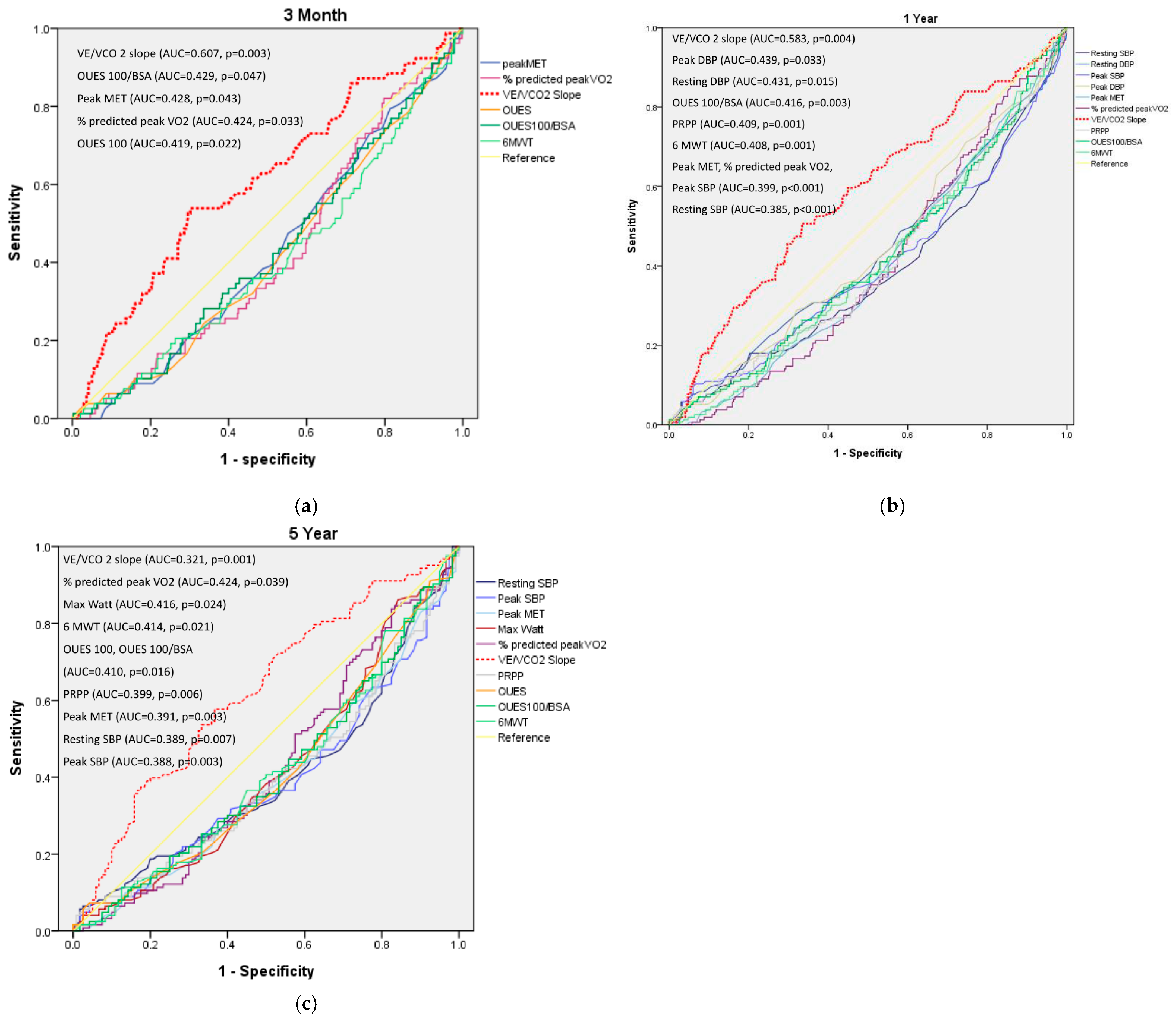
3. Results
3.1. Study Population
3.2. Parameters of Cardiopulmonary Exercise Testing
3.3. Multivariate Analyses for Identification of Predictors and the Survival Probability
4. Discussion
5. Conclusions
Author Contributions
Funding
Institutional Review Board Statement
Informed Consent Statement
Data Availability Statement
Conflicts of Interest
References
- Ponikowski, P.; Anker, S.D.; AlHabib, K.F.; Cowie, M.R.; Force, T.L.; Hu, S.; Jaarsma, T.; Krum, H.; Rastogi, V.; Rohde, L.E. Heart failure: Preventing disease and death worldwide. ESC Heart Fail. 2014, 1, 4–25. [Google Scholar] [CrossRef] [PubMed]
 - McDonagh, T.A.; Metra, M.; Adamo, M.; Gardner, R.S.; Baumbach, A.; Böhm, M.; Burri, H.; Butler, J.; Čelutkienė, J.; Chioncel, O. 2021 ESC Guidelines for the diagnosis and treatment of acute and chronic heart failure: Developed by the Task Force for the diagnosis and treatment of acute and chronic heart failure of the European Society of Cardiology (ESC) With the special contribution of the Heart Failure Association (HFA) of the ESC. Eur. Heart J. 2021, 42, 3599–3726. [Google Scholar] [PubMed]
 - Savarese, G.; Lund, L.H. Global public health burden of heart failure. Card. Fail. Rev. 2017, 3, 7. [Google Scholar] [CrossRef] [PubMed]
 - Del Buono, M.G.; Arena, R.; Borlaug, B.A.; Carbone, S.; Canada, J.M.; Kirkman, D.L.; Garten, R.; Rodriguez-Miguelez, P.; Guazzi, M.; Lavie, C.J. Exercise intolerance in patients with heart failure: JACC state-of-the-art review. J. Am. Coll. Cardiol. 2019, 73, 2209–2225. [Google Scholar] [CrossRef] [PubMed]
 - Balady, G.J.; Arena, R.; Sietsema, K.; Myers, J.; Coke, L.; Fletcher, G.F.; Forman, D.; Franklin, B.; Guazzi, M.; Gulati, M. Clinician’s guide to cardiopulmonary exercise testing in adults: A scientific statement from the American Heart Association. Circulation 2010, 122, 191–225. [Google Scholar] [CrossRef]
 - Sato, T.; Yoshihisa, A.; Kanno, Y.; Suzuki, S.; Yamaki, T.; Sugimoto, K.; Kunii, H.; Nakazato, K.; Suzuki, H.; Saitoh, S.I.; et al. Cardiopulmonary exercise testing as prognostic indicators: Comparisons among heart failure patients with reduced, mid-range and preserved ejection fraction. Eur. J. Prev. Cardiol. 2017, 24, 1979–1987. [Google Scholar] [CrossRef]
 - Braga, A.M.; Rondon, M.U.; Negrão, C.E.; Wajngarten, M. [Predictive value of ventilatory and metabolic variables for risk of death in patients with cardiac failure]. Arq. Bras. Cardiol. 2006, 86, 451–458. [Google Scholar] [CrossRef] [PubMed][Green Version]
 - Metra, M.; Dei Cas, L.; Panina, G.; Visioli, O. Exercise hyperventilation chronic congestive heart failure, and its relation to functional capacity and hemodynamics. Am. J. Cardiol. 1992, 70, 622–628. [Google Scholar] [CrossRef]
 - Guazzi, M.; Wilhelm, M.; Halle, M.; Van Craenenbroeck, E.; Kemps, H.; de Boer, R.A.; Coats, A.J.S.; Lund, L.; Mancini, D.; Borlaug, B.; et al. Exercise testing in heart failure with preserved ejection fraction: An appraisal through diagnosis, pathophysiology and therapy—A clinical consensus statement of the Heart Failure Association and European Association of Preventive Cardiology of the European Society of Cardiology. Eur. J. Heart Fail. 2022, 24, 1327–1345. [Google Scholar] [CrossRef]
 - Maffeis, C.; Morris, D.A.; Belyavskiy, E.; Kropf, M.; Radhakrishnan, A.K.; Zach, V.; Rozados da Conceicao, C.; Trippel, T.D.; Pieske-Kraigher, E.; Rossi, A.; et al. Left atrial function and maximal exercise capacity in heart failure with preserved and mid-range ejection fraction. ESC Heart Fail. 2021, 8, 116–128. [Google Scholar] [CrossRef]
 - Huang, I.-C.; Chen, Y.-J.; Chen, C.-H.; Huang, W.-C.; Lin, K.-L. The Pre-Discharge Oxygen Uptake Efficiency Slope Predicts One-Year Cardiovascular Events in Acute Decompensated Heart Failure Patients. Life 2022, 12, 1449. [Google Scholar] [CrossRef] [PubMed]
 - Arena, R.; Humphrey, R.; Peberdy, M.A. Prognostic ability of VE/VCO2 slope calculations using different exercise test time intervals in subjects with heart failure. Eur. J. Cardiovasc. Prev. Rehabil. 2003, 10, 463–468. [Google Scholar] [CrossRef] [PubMed]
 - Bandera, F.; Generati, G.; Pellegrino, M.; Donghi, V.; Alfonzetti, E.; Gaeta, M.; Villani, S.; Guazzi, M. Role of right ventricle and dynamic pulmonary hypertension on determining ΔVO2/ΔWork Rate flattening: Insights from cardiopulmonary exercise test combined with exercise echocardiography. Circ. Heart Fail. 2014, 7, 782–790. [Google Scholar] [CrossRef] [PubMed]
 - Myers, J.; Arena, R.; Dewey, F.; Bensimhon, D.; Abella, J.; Hsu, L.; Chase, P.; Guazzi, M.; Peberdy, M.A. A cardiopulmonary exercise testing score for predicting outcomes in patients with heart failure. Am. Heart J. 2008, 156, 1177–1183. [Google Scholar] [CrossRef] [PubMed]
 - Klaassen, S.H.; Liu, L.C.; Hummel, Y.M.; Damman, K.; van der Meer, P.; Voors, A.A.; Hoendermis, E.S.; Van Veldhuisen, D.J. Clinical and hemodynamic correlates and prognostic value of VE/VCO2 slope in patients with heart failure with preserved ejection fraction and pulmonary hypertension. J. Card. Fail. 2017, 23, 777–782. [Google Scholar] [CrossRef]
 - Arena, R.; Myers, J.; Aslam, S.S.; Varughese, E.B.; Peberdy, M.A. Peak VO2 and VE/VCO2 slope in patients with heart failure: A prognostic comparison. Am. Heart J. 2004, 147, 354–360. [Google Scholar] [CrossRef]
 - Kaneko, H.; Itoh, H.; Kamiya, K.; Morita, K.; Sugimoto, T.; Konishi, M.; Kiriyama, H.; Kamon, T.; Fujiu, K.; Michihata, N. Acute-phase initiation of cardiac rehabilitation and clinical outcomes in hospitalized patients for acute heart failure. Int. J. Cardiol. 2021, 340, 36–41. [Google Scholar] [CrossRef]
 - Chen, S.-M.; Wu, P.-J.; Wang, L.-Y.; Wei, C.-L.; Cheng, C.-I.; Fang, H.-Y.; Fang, Y.-N.; Chen, Y.-L.; Huang, D.K.-R.; Lee, F.-Y.; et al. Optimizing exercise testing-based risk stratification to predict poor prognosis after acute heart failure. ESC Heart Fail. 2023, 10, 895–906. [Google Scholar] [CrossRef]
 - Bosco, E.; Hsueh, L.; McConeghy, K.W.; Gravenstein, S.; Saade, E. Major adverse cardiovascular event definitions used in observational analysis of administrative databases: A systematic review. BMC Med. Res. Methodol. 2021, 21, 241. [Google Scholar] [CrossRef]
 - Liguori, G.; Feito, Y.; Fountaine, C.J.; Roy, B. ACSM’s Guidelines for Exercise Testing and Prescription; Wolters Kluwer: Alphen aan den Rijn, The Netherlands, 2021. [Google Scholar]
 - Che, L.; Wang, L.M.; Jiang, J.F.; Xu, W.J.; Zhang, Q.P. Effects of early submaximal cardiopulmonary exercise test and cardiac rehabilitation for patients with acute myocardial infarction after percutaneous coronary intervention: A comparative study. Zhonghua Yi Xue Za Zhi 2008, 88, 1820–1823. [Google Scholar]
 - Poole, D.C.; Rossiter, H.B.; Brooks, G.A.; Gladden, L.B. The anaerobic threshold: 50+ years of controversy. J. Physiol. 2021, 599, 737–767. [Google Scholar] [CrossRef] [PubMed]
 - Wu, H.-C.; Wang, M.-J. Establishing a prediction model of maximal oxygen uptake for young adults in Taiwan. J. Chin. Inst. Ind. Eng. 2002, 19, 1–6. [Google Scholar] [CrossRef]
 - Parasuraman, S.k.; Schwarz, K.; Gollop, N.; Loudon, B.; Frenneaux, M. Healthcare professional’s guide to cardiopulmonary exercise testing. Br. J. Cardiol. 2015, 22, 156. [Google Scholar] [CrossRef]
 - Hollenberg, M.; Tager, I.B. Oxygen uptake efficiency slope: An index of exercise performance and cardiopulmonary reserve requiring only submaximal exercise. J. Am. Coll. Cardiol. 2000, 36, 194–201. [Google Scholar] [CrossRef] [PubMed]
 - Tang, Y.; Luo, Q.; Liu, Z.; Ma, X.; Zhao, Z.; Huang, Z.; Gao, L.; Jin, Q.; Xiong, C.; Ni, X. Oxygen Uptake Efficiency Slope Predicts Poor Outcome in Patients With Idiopathic Pulmonary Arterial Hypertension. J. Am. Heart Assoc. 2017, 6, e005037. [Google Scholar] [CrossRef]
 - Haycock, G.B.; Schwartz, G.J.; Wisotsky, D.H. Geometric method for measuring body surface area: A height-weight formula validated in infants, children, and adults. J. Pediatr. 1978, 93, 62–66. [Google Scholar] [CrossRef]
 - Mandrekar, J.N. Receiver Operating Characteristic Curve in Diagnostic Test Assessment. J. Thorac. Oncol. 2010, 5, 1315–1316. [Google Scholar] [CrossRef]
 - Johnson, R.L., Jr. Gas exchange efficiency in congestive heart failure. Circulation 2000, 101, 2774–2776. [Google Scholar] [CrossRef]
 - Guazzi, M.; Bandera, F.; Ozemek, C.; Systrom, D.; Arena, R. Cardiopulmonary exercise testing: What is its value? J. Am. Coll. Cardiol. 2017, 70, 1618–1636. [Google Scholar] [CrossRef]
 - Franciosa, J.A.; Leddy, C.L.; Wilen, M.; Schwartz, D.E. Relation between hemodynamic and ventilatory responses in determining exercise capacity in severe congestive heart failure. Am. J. Cardiol. 1984, 53, 127–134. [Google Scholar] [CrossRef]
 - Malhotra, R.; Bakken, K.; D’Elia, E.; Lewis, G.D. Cardiopulmonary Exercise Testing in Heart Failure. JACC Heart Fail. 2016, 4, 607–616. [Google Scholar] [CrossRef] [PubMed]
 - Cornelis, J.; Taeymans, J.; Hens, W.; Beckers, P.; Vrints, C.; Vissers, D. Prognostic respiratory parameters in heart failure patients with and without exercise oscillatory ventilation—A systematic review and descriptive meta-analysis. Int. J. Cardiol. 2015, 182, 476–486. [Google Scholar] [CrossRef]
 - Agdamag, A.C.; Van Iterson, E.H.; Tang, W.H.W.; Finet, J.E. Prognostic Role of Metabolic Exercise Testing in Heart Failure. J. Clin. Med. 2023, 12, 4438. [Google Scholar] [CrossRef] [PubMed]
 - Nadruz, W., Jr.; West, E.; Sengeløv, M.; Santos, M.; Groarke, J.D.; Forman, D.E.; Claggett, B.; Skali, H.; Shah, A.M. Prognostic Value of Cardiopulmonary Exercise Testing in Heart Failure with Reduced, Midrange, and Preserved Ejection Fraction. J. Am. Heart Assoc. 2017, 6, e006000. [Google Scholar] [CrossRef] [PubMed]
 - Nayor, M.; Xanthakis, V.; Tanguay, M.; Blodgett, J.B.; Shah, R.V.; Schoenike, M.; Sbarbaro, J.; Farrell, R.; Malhotra, R.; Houstis, N.E. Clinical and hemodynamic associations and prognostic implications of ventilatory efficiency in patients with preserved left ventricular systolic function. Circ. Heart Fail. 2020, 13, e006729. [Google Scholar] [CrossRef] [PubMed]
 - Shen, Y.; Zhang, X.; Ma, W.; Song, H.; Gong, Z.; Wang, Q.; Che, L.; Xu, W.; Jiang, J.; Xu, J.; et al. VE/VCO(2) slope and its prognostic value in patients with chronic heart failure. Exp. Ther. Med. 2015, 9, 1407–1412. [Google Scholar] [CrossRef]
 - Arena, R.; Myers, J.; Abella, J.; Peberdy, M.A. Influence of heart failure etiology on the prognostic value of peak oxygen consumption and minute ventilation/carbon dioxide production slope. Chest 2005, 128, 2812–2817. [Google Scholar] [CrossRef]
 - Cahalin, L.P.; Arena, R.; Labate, V.; Bandera, F.; Lavie, C.J.; Guazzi, M. Heart rate recovery after the 6 min walk test rather than distance ambulated is a powerful prognostic indicator in heart failure with reduced and preserved ejection fraction: A comparison with cardiopulmonary exercise testing. Eur. J. Heart Fail. 2013, 15, 519–527. [Google Scholar] [CrossRef]
 - Guazzi, M.; Myers, J.; Arena, R. Cardiopulmonary exercise testing in the clinical and prognostic assessment of diastolic heart failure. J. Am. Coll. Cardiol. 2005, 46, 1883–1890. [Google Scholar] [CrossRef]
 - Guazzi, M.; Myers, J.; Peberdy, M.A.; Bensimhon, D.; Chase, P.; Arena, R. Exercise oscillatory breathing in diastolic heart failure: Prevalence and prognostic insights. Eur. Heart J. 2008, 29, 2751–2759. [Google Scholar] [CrossRef]
 - Shafiq, A.; Brawner, C.A.; Aldred, H.A.; Lewis, B.; Williams, C.T.; Tita, C.; Schairer, J.R.; Ehrman, J.K.; Velez, M.; Selektor, Y. Prognostic value of cardiopulmonary exercise testing in heart failure with preserved ejection fraction. The Henry Ford HospITal CardioPulmonary EXercise Testing (FIT-CPX) project. Am. Heart J. 2016, 174, 167–172. [Google Scholar]
 - Gong, J.; Castro, R.R.T.; Caron, J.P.; Bay, C.P.; Hainer, J.; Opotowsky, A.R.; Mehra, M.R.; Maron, B.A.; Di Carli, M.F.; Groarke, J.D.; et al. Usefulness of ventilatory inefficiency in predicting prognosis across the heart failure spectrum. ESC Heart Fail. 2022, 9, 293–302. [Google Scholar] [CrossRef] [PubMed]
 - Forman, D.E.; Guazzi, M.; Myers, J.; Chase, P.; Bensimhon, D.; Cahalin, L.P.; Peberdy, M.A.; Ashley, E.; West, E.; Daniels, K.M. Ventilatory power: A novel index that enhances prognostic assessment of patients with heart failure. Circ. Heart Fail. 2012, 5, 621–626. [Google Scholar] [CrossRef] [PubMed]
 - Lala, A.; Shah, K.B.; Lanfear, D.E.; Thibodeau, J.T.; Palardy, M.; Ambardekar, A.V.; McNamara, D.M.; Taddei-Peters, W.C.; Baldwin, J.T.; Jeffries, N. Predictive value of cardiopulmonary exercise testing parameters in ambulatory advanced heart failure. Heart Fail. 2021, 9, 226–236. [Google Scholar] [CrossRef]
 - Yan, J.; Gong, S.J.; Li, L.; Yu, H.Y.; Dai, H.W.; Chen, J.; Tan, C.W.; Xv, Q.H.; Cai, G.L. Combination of B-type natriuretic peptide and minute ventilation/carbon dioxide production slope improves risk stratification in patients with diastolic heart failure. Int. J. Cardiol. 2013, 162, 193–198. [Google Scholar] [CrossRef] [PubMed]
 - Pierce, J.B.; Vaduganathan, M.; Fonarow, G.C.; Ikeaba, U.; Chiswell, K.; Butler, J.; DeVore, A.D.; Heidenreich, P.A.; Huang, J.C.; Kittleson, M.M.; et al. Contemporary Use of Sodium-Glucose Cotransporter-2 Inhibitor Therapy Among Patients Hospitalized for Heart Failure With Reduced Ejection Fraction in the US: The Get With The Guidelines–Heart Failure Registry. JAMA Cardiol. 2023, 8, 652–661. [Google Scholar] [CrossRef] [PubMed]
 - Stolfo, D.; Lund, L.H.; Benson, L.; Lindberg, F.; Ferrannini, G.; Dahlström, U.; Sinagra, G.; Rosano, G.M.C.; Savarese, G. Real-world use of sodium–glucose cotransporter 2 inhibitors in patients with heart failure and reduced ejection fraction: Data from the Swedish Heart Failure Registry. Eur. J. Heart Fail. 2023, 25, 1648–1658. [Google Scholar] [CrossRef]
 - Okami, S.; Ohlmeier, C.; Takeichi, M.; Aguila, M.; Holl, K.; Michel, A.; Lecomte, C.; Ide, T. Vericiguat Use in Patients with Heart Failure in Real-World Settings during the First Year after the Drug Authorization in Japan. J. Clin. Med. 2024, 13, 3222. [Google Scholar] [CrossRef]
 - Wang, M.-T.; Liou, J.-T.; Lin, C.W.; Tsai, C.L.; Wang, Y.H.; Hsu, Y.J.; Lai, J.H. Association of Cardiovascular Risk With Inhaled Long-Acting Bronchodilators in Patients With Chronic Obstructive Pulmonary Disease: A Nested Case-Control Study. JAMA Intern. Med. 2018, 178, 229–238. [Google Scholar] [CrossRef]
 


| Variables | Within 3 Months | Within 1 Year | Within 5 Years | |||||||
|---|---|---|---|---|---|---|---|---|---|---|
| Adverse Event-Free Group (n = 470) | Adverse Event Group (n = 83)  | p Value a | Adverse Event-Free Group (n = 319) | Adverse Event Group (n = 166) | p Value a | Adverse Event-Free Group (n = 131) | Adverse Event Group (n = 136) | p Value a | ||
| Sex—Female, n (%) | 111 (23.6%) | 18 (21.7%) | 0.701 | 80 (25.1%) | 33 (19.9%) | 0.199 | 31 (23.7%) | 30 (22.1%) | 0.755 | |
| Age (years) | 59.8 ± 15.4 | 62.5 ± 14.8 | 0.131 | 61.4 ± 15.0 | 63.4 ± 15.8 | 0.172 | 66.9 ± 15.3 | 68.7 ± 15.5 | 0.341 | |
| Duraiton from diagnosis of heart failure to first admission | 3.14 ± 2.1 | 3.54 ± 2.9 | 0.134 | 4.11 ± 2.0 | 4.37 ± 3.3 | 0.282 | 7.90 ± 3.2 | 8.49 ± 4.3 | 0.206 | |
| BMI (kg/m2) | 25.6 ± 6.1 | 24.4 ± 4.9 | 0.094 | 25.4 ± 6.3 | 24.9 ± 5.5 | 0.341 | 25.5 ± 6.6 | 24.9 ± 5.4 | 0.351 | |
| NYHA, n (%) | I | 4 (0.9%) | 3 (3.6%) | 0.241 | 5 (1.6%) | 2 (1.2%) | 0.445 | 4 (3.1%) | 1 (0.7%) | 0.462 | 
| II | 113 (24.0%) | 18 (21.7%) | 77 (24.1%) | 33 (19.9%) | 28 (21.4%) | 28 (20.6%) | ||||
| III | 319 (67.9%) | 58 (69.9%) | 214 (67.1%) | 125 (75.3%) | 87 (66.4%) | 101 (74.3%) | ||||
| IV | 34 (7.2%) | 4 (4.8%) | 23 (7.2%) | 6 (3.6%) | 12 (9.1%) | 6 (4.4%) | ||||
| Smoker, n (%) | 59 (63.4%) | 14 (70.0%) | 0.578 | 32 (60.4%) | 41 (68.3%) | 0.377 | 24 (57.1%) | 49 (69.0%) | 0.202 | |
| Cause of heart failure | DCM | 51 (10.9%) | 6 (7.2%) | 0.132 | 30 (9.4%) | 18 (10.8%) | 0.502 | 7 (5.3%) | 15 (11.0%) | 0.065 | 
| CAD | 147 (31.3%) | 32 (38.6%) | 101 (31.7%) | 53 (31.9%) | 33 (25.2%) | 47 (34.6%) | ||||
| Valvular disease | 79 (16.8%) | 7 (8.4%) | 59 (18.5%) | 22 (13.3%) | 25 (19.1%) | 18 (13.2%) | ||||
| others | 193 (41.1%) | 38 (45.8%) | 129 (40.4%) | 73 (44.0%) | 66 (50.4%) | 56 (41.2%) | ||||
| Comorbidities | Hypertension | 321 (68.3%) | 56 (67.5%) | 0.917 | 233 (73.0%) | 105 (63.30%) | 0.041 * | 94 (71.8%) | 94 (69.1%) | 0.698 | 
| Diabetes | 196 (41.7%) | 37 (44.6%) | 0.702 | 139 (43.6%) | 61 (36.7%) | 0.175 | 58 (44.3%) | 51 (37.5%) | 0.313 | |
| Dyslipidemia | 208 (44.3%) | 40 (48.2%) | 0.517 | 140 (43.9%) | 72 (43.4%) | 0.872 | 55 (42.0%) | 63 (46.3%) | 0.541 | |
| COPD | 30 (6.4%) | 2 (2.4%) | 0.274 | 23 (7.2%) | 7 (4.2%) | 0.242 | 11 (8.4%) | 4 (2.9%) | 0.117 b | |
| Biochemistry data | Cr (umol/L) | 75.4 ± 16.1 | 77.1 ± 11.7 | 0.655 | 73.2 ± 14.3 | 77.9 ± 13.6 | 0.079 | 72.2 ± 12.9 | 77.8 ± 18.6 | 0.088 | 
| TC (mmol/L) | 5.0 ± 0.6 | 5.2 ± 0.5 | 0.130 | 4.9 ± 0.8 | 5.1 ± 0.6 | 0.161 | 5.0 ± 0.6 | 5.1 ± 0.7 | 0.407 | |
| LDL (mmol/L) | 2.7 ± 0.6 | 2.9 ± 0.5 | 0.198 | 2.7 ± 0.7 | 2.8 ± 0.6 | 0.258 | 2.7 ± 0.7 | 2.8 ± 0.7 | 0.444 | |
| HbA1C (%) | 6.2 ± 1.4 | 6.4 ± 1.6 | 0.532 | 6.1 ± 1.3 | 6.3 ± 1.4 | 0.399 | 6.1 ± 1.4 | 6.3 ± 1.6 | 0.415 | |
| NT-proBNP (pg/mL) | 6624 ± 28,377 | 10,194 ± 27,080 | 0.440 | 8028 ± 33,965 | 8392 ± 21,884 | 0.933 | 17,948 ± 57,080 | 10,828 ± 26,330 | 0.435 | |
| Echocardiography | LVEF (%) | 39.7 ± 11.2 | 37.9 ± 10.3 | 0.215 | 39.6 ± 11.2 | 36.1 ± 10.2 | 0.002 * | 34.7 ± 9.0 | 33.5 ± 10.4 | 0.397 | 
| HFrEF | 237 (50.4%) | 52 (62.7%) | 0.102 | 166 (52.0%) | 108 (65.1%) | 0.033 * | 91 (69.5%) | 102 (75.0%) | 0.431 | |
| HFmrEF | 133 (28.3%) | 22 (26.5%) | 81 (25.4%) | 43 (25.9%) | 32 (24.4%) | 24 (17.6%) | ||||
| HFpEF | 101 (21.4%) | 9 (10.8%) | 72 (22.6%) | 15 (9.0%) | 8 (6.1%) | 10 (7.4%) | ||||
| Medications | ACEI | 26 (5.5%) | 2 (2.4%) | 0.310 b | 22 (6.9%) | 3 (1.8%) | 0.081 b | 9 (6.9%) | 3 (2.2%) | 0.083 b | 
| ARB | 194 (41.3%) | 33 (39.8%) | 0.855 | 136 (42.6%) | 64 (38.6%) | 0.525 | 59 (45.0%) | 49 (36.0%) | 0.139 | |
| ARNI | 237 (50.4%) | 29 (34.9%) | 0.034 * | 162 (50.8%) | 69 (41.65) | 0.123 | 61 (46.6%) | 65 (47.8%) | 0.800 | |
| Beta-blocker | 417 (88.7%) | 73 (88.0%) | 0.922 | 288 (90.3%) | 144 (86.7%) | 0.343 | 118 (90.1%) | 118 (86.8%) | 0.362 | |
| SGLT2 | 104 (22.1%) | 15 (18.1%) | 0.517 | 78 (24.5%) | 28 (16.9%) | 0.140 | 36 9(27.5%) | 21 (15.4%) | 0.021 * | |
| MRAs | 318 (67.7%) | 54 (65.1%) | 0.705 | 220 (69.0%) | 106 (63.9%) | 0.372 | 86 (65.6%) | 92 (67.6%) | 0.728 | |
| Diuretics | 394 (83.8%) | 62 (74.7%) | 0.044 * | 283 (88.7%) | 127 (76.5%) | 0.004 * | 119 (90.8%) | 105 (77.2%) | 0.002 * | |
| Statins | 223 (47.4%) | 44 (53.0%) | 0.417 | 142 (44.5%) | 91 (54.8%) | 0.087 | 57 (43.5%) | 72 (52.9%) | 0.138 | |
| DM drugs c | 89 (18.9%) | 14 (16.9%) | 0.675 | 67 (21.0%) | 24 (14.5%) | 0.181 | 25 (19.1%) | 24 (17.6%) | 0.828 | |
| Aspirin | 149 (31.7%) | 32 (38.6%) | 0.340 | 104 (32.6%) | 56 (33.7%) | 0.833 | 39 (29.8%) | 48 (35.3%) | 0.335 | |
| Clopidogrel | 76 (16.2%) | 15 (18.1%) | 0.684 | 55 (17.2%) | 26 (15.7%) | 0.714 | 22 (16.8%) | 22 (16.2%) | 0.956 | |
| Warfarin | 31 (6.6%) | 4 (4.8) | 0.772 b | 18 (5.6%) | 12 (7.2%) | 0.553 | 7 (5.3%) | 10 (7.4%) | 0.472 | |
| P2Y12-ADP | 9 (1.9%) | 3 (3.6%) | 0.621 b | 8 (2.5%) | 3 (1.8%) | 1.000 b | 2 (1.5%) | 4 (2.9%) | 0.684 | |
| Survive | Death | 22 (4.7%) | 10 (12.1%) | 0.009 * | 11 (3.4%) | 21 (12.7%) | <0.001 * | 6 (4.6%) | 20 (14.7%) | 0.005 * | 
| Variables | Within 3 Months | Within 1 Year | Within 5 Years | ||||||
|---|---|---|---|---|---|---|---|---|---|
| Adverse Event-Free Group  (n = 470)  | Adverse Event Group (n = 83)  | p Value | Adverse Event-Free Group (n = 319)  | Adverse Event Group (n = 166)  | p Value | Adverse Event-Free Group (n = 131)  | Adverse Event Group (n = 136)  | p Value | |
| Resting heart rate (bpm) | 76.2 ± 13.8 | 74.7 ± 12.8 | 0.345 | 76.1 ± 14.1 | 74.6 ± 12.8 | 0.241 | 77.0 ± 15.2 | 74.8 ± 11.9 | 0.182 | 
| Resting systolic BP (mmHg) | 118.6 ± 21.1 | 114.2 ± 22.3 | 0.086 | 119.2 ± 20.2 | 111.6 ± 20.9 | <0.001 * | 118.1 ± 19.2 | 112.0 ± 20.9 | 0.015 * | 
| Resting diastolic BP (mmHg) | 69.7 ± 11.7 | 68.8 ± 11.9 | 0.490 | 70.4 ± 11.2 | 67.5 ± 12.5 | 0.008 * | 70.7 ± 11.6 | 68.6 ± 12.8 | 0.159 | 
| Peak systolic BP (mmHg) | 146.6 ± 30.2 | 143.0 ± 30.3 | 0.323 | 148.3 ± 28.7 | 139.3 ± 31.0 | 0.002 * | 148.3 ± 27.6 | 138.0 ± 28.5 | 0.003 * | 
| Peak diastolic BP (mmHg) | 75.0 ± 13.8 | 73.5 ± 13.9 | 0.363 | 75.5 ± 13.3 | 72.6 ± 13.8 | 0.024 * | 75.6 ± 13.7 | 72.4 ± 13.5 | 0.052 | 
| Chronotropic index (%) | 41.1 ± 25.4 | 40.7 ± 23.6 | 0.878 | 41.0 ± 25.6 | 37.9 ± 22.2 | 0.177 | 36.8 ± 24.4 | 34.3 ± 22.6 | 0.407 | 
| Peak respiratory exchange ratio | 1.1 ± 0.1 | 1.1 ± 0.1 | 0.819 | 1.1 ± 0.1 | 1.1 ± 0.1 | 0.579 | 1.1 ± 0.1 | 1.1 ± 0.1 | 0.194 | 
| Peak MET | 3.6 ± 1.1 | 3.2 ± 1.0 | 0.010 * | 3.6 ± 1.2 | 3.2 ± 1.0 | <0.001 * | 3.3 ± 1.0 | 2.9 ± 0.9 | <0.001 * | 
| Maximal Watt | 55.1 ± 28.7 | 50.5 ± 26.5 | 0.174 | 55.1 ± 28.2 | 50.0 ± 27.2 | 0.057 | 49.0 ± 23.3 | 42.2 ± 22.1 | 0.015 * | 
| Predicted peak VO2% | 51.9 ± 19.2 | 50.5 ± 26.5 | 0.038 * | 53.1 ± 20.3 | 46.0 ± 15.1 | <0.001 * | 47.7 ± 18.2 | 42.6 ± 14.7 | 0.013 * | 
| Minute ventilation (L/min) | 35.4 ± 12.3 | 35.7 ± 14.7 | 0.812 | 35.5 ± 12.2 | 35.0 ± 13.2 | 0.667 | 33.8 ± 10.9 | 32.9 ± 12.6 | 0.506 | 
| VE/VCO2 slope | 36.1 ± 14.0 | 39.8 ± 12.5 | 0.026 * | 36.1 ± 13.9 | 39.2 ± 14.8 | 0.028 * | 37.2 ± 12.0 | 42.2 ± 15.6 | 0.004 * | 
| Peak rate pressure product | 16,427 ± 5345 | 15,753 ± 5465 | 0.294 | 16,563 ± 5144 | 15,079 ± 5262 | 0.003 * | 16,179 ± 4850 | 14,528 ± 5123 | 0.008 * | 
| OUES 100 | 1.2 ± 0.6 | 1.1 ± 0.6 | 0.033 * | 1.2 ± 0.5 | 1.1 ± 0.6 | 0.080 | 1.1 ± 0.5 | 1.0 ± 0.5 | 0.021 * | 
| OUES 100/BSA | 0.7 ± 0.3 | 0.6 ± 0.3 | 0.048 * | 0.7 ± 0.3 | 0.6 ± 0.3 | 0.011 * | 0.6 ± 0.2 | 0.6 ± 0.2 | 0.004 * | 
| 6MWT (m) | 328.9 ± 122.2 | 286.0 ± 125.1 | 0.004 * | 332.2 ± 123.2 | 286.2 ± 119.6 | <0.001 * | 297.9 ± 119.3 | 257.7 ± 118.8 | 0.008 * | 
| HR after 6MWT (bpm) | 91.4 ± 14.7 | 91.3 ± 15.4 | 0.934 | 90.8 ± 14.7 | 90.2 ± 14.6 | 0.693 | 90.8 ± 15.0 | 87.7 ± 14.8 | 0.097 | 
| Borg scale after 6MWT | 3.5 ± 1.7 | 3.9 ± 1.6 | 0.057 | 3.5 ± 1.7 | 3.8 ± 1.6 | 0.073 | 3.6 ± 1.6 | 4.0 ± 1.7 | 0.075 | 
| Cut-Off Point | Sensitivity | Specificity | AUC | p Value | |
|---|---|---|---|---|---|
| Within 3 months | |||||
| Peak MET | 1.85 | 0.974 | 0.032 | 0.428 | 0.043 * | 
| Predicted peak VO2% | 35.38 | 0.821 | 0.202 | 0.424 | 0.033 * | 
| VE/VCO2 slope | 38.95 | 0.538 | 0.698 | 0.607 | 0.003 * | 
| OUES 100 | 3.35 | 0.013 | 0.998 | 0.419 | 0.022 * | 
| OUES 100/BSA | 1.5094 | 0.013 | 0.998 | 0.429 | 0.047 * | 
| 6MWT (m) | 49.65 | 0.987 | 0.018 | 0.408 | 0.010 * | 
| Within 1 year | |||||
| Resting systolic BP (mmHg) | 157.50 | 0.058 | 0.970 | 0.385 | <0.001 * | 
| Resting diastolic BP (mmHg) | 88.50 | 0.077 | 0.943 | 0.431 | 0.015 * | 
| Peak systolic BP (mmHg) | 190.50 | 0.096 | 0.939 | 0.399 | <0.001 * | 
| Peak diastolic BP (mmHg) | 103.50 | 0.045 | 0.970 | 0.439 | 0.033 * | 
| Peak MET | 1.00 | 1.00 | 0.003 | 0.399 | <0.001 * | 
| Predicted peak VO2% | 11.52 | 0.583 | 0.698 | 0.399 | <0.001 * | 
| VE/VCO2 slope | 38.95 | 0.455 | 0.703 | 0.583 | 0.004 * | 
| Peak rate pressure product | 27,527 | 0.045 | 0.970 | 0.409 | 0.001 * | 
| OUES 100/BSA | 1.4951 | 0.013 | 1.000 | 0.416 | 0.003 * | 
| 6MWT (m) | 28.00 | 0.994 | 0.010 | 0.408 | 0.001 * | 
| Within 5 years | |||||
| Resting systolic BP (mmHg) | 151.5 | 0.065 | 0.975 | 0.389 | 0.007 * | 
| Peak systolic BP (mmHg) | 199.50 | 0.049 | 0.975 | 0.388 | 0.003 * | 
| Peak MET | 1.00 | 1.000 | 0.008 | 0.391 | 0.003 * | 
| Maximal Watt | 7.00 | 0.992 | 0.017 | 0.416 | 0.024 * | 
| Predicted peak VO2% | 30.55 | 0.846 | 0.167 | 0.424 | 0.039 * | 
| VE/VCO2 slope | 37.35 | 0.577 | 0.633 | 0.621 | 0.001 * | 
| Peak rate pressure product | 23,550 | 0.073 | 0.958 | 0.399 | 0.006 * | 
| OUES 100 | 1.90 | 0.073 | 0.958 | 0.410 | 0.016 * | 
| OUES 100/BSA | 0.12 | 0.992 | 0.008 | 0.410 | 0.016 * | 
| 6MWT (m) | 44.15 | 0.976 | 0.033 | 0.414 | 0.021 * | 
| Variable | p Value-Multivariate | Hazard Ratio-Multivariate a | 95% CI | 
|---|---|---|---|
| Within 3 months | |||
| VE/VCO2 slope ≤ 38.95 | <0.001 * | 1.000 | |
| VE/VCO2 slope > 38.95 | 2.488 | 1.607–3.852 | |
| Within 1 year | |||
| VE/VCO2 slope ≤ 38.95 | <0.001 * | 1.000 | |
| VE/VCO2 slope > 38.95 | 1.807 | 1.325–2.464 | |
| Within 5 years | |||
| VE/VCO2 slope ≤ 37.35 | 0.002 * | 1.000 | |
| VE/VCO2 slope > 37.35 | 1.749 | 1.233–2.483 | |
Disclaimer/Publisher’s Note: The statements, opinions and data contained in all publications are solely those of the individual author(s) and contributor(s) and not of MDPI and/or the editor(s). MDPI and/or the editor(s) disclaim responsibility for any injury to people or property resulting from any ideas, methods, instructions or products referred to in the content.  | 
© 2024 by the authors. Licensee MDPI, Basel, Switzerland. This article is an open access article distributed under the terms and conditions of the Creative Commons Attribution (CC BY) license (https://creativecommons.org/licenses/by/4.0/).
Share and Cite
Tuan, S.-H.; Huang, I.-C.; Huang, W.-C.; Chen, G.-B.; Sun, S.-F.; Lin, K.-L. Minute Ventilation/Carbon Dioxide Production Slope Could Predict Short- and Long-Term Prognosis of Patients After Acute Decompensated Heart Failure. Life 2024, 14, 1429. https://doi.org/10.3390/life14111429
Tuan S-H, Huang I-C, Huang W-C, Chen G-B, Sun S-F, Lin K-L. Minute Ventilation/Carbon Dioxide Production Slope Could Predict Short- and Long-Term Prognosis of Patients After Acute Decompensated Heart Failure. Life. 2024; 14(11):1429. https://doi.org/10.3390/life14111429
Chicago/Turabian StyleTuan, Sheng-Hui, I-Ching Huang, Wei-Chun Huang, Guan-Bo Chen, Shu-Fen Sun, and Ko-Long Lin. 2024. "Minute Ventilation/Carbon Dioxide Production Slope Could Predict Short- and Long-Term Prognosis of Patients After Acute Decompensated Heart Failure" Life 14, no. 11: 1429. https://doi.org/10.3390/life14111429
APA StyleTuan, S.-H., Huang, I.-C., Huang, W.-C., Chen, G.-B., Sun, S.-F., & Lin, K.-L. (2024). Minute Ventilation/Carbon Dioxide Production Slope Could Predict Short- and Long-Term Prognosis of Patients After Acute Decompensated Heart Failure. Life, 14(11), 1429. https://doi.org/10.3390/life14111429
        
