Correlations between Apparent Diffusion Coefficient (ADC) and Prognosis in Patients with Locally Advanced Rectal Cancer
Abstract
1. Introduction
2. Materials and Methods
2.1. Data Collection
2.2. MRI Protocol
2.3. MR Imaging Analysis
2.4. Statistical Analysis
3. Results
3.1. Patient Population and TRG Classes
3.2. Pre-ADC Values Analysis
3.3. Post-ADC Values Analysis
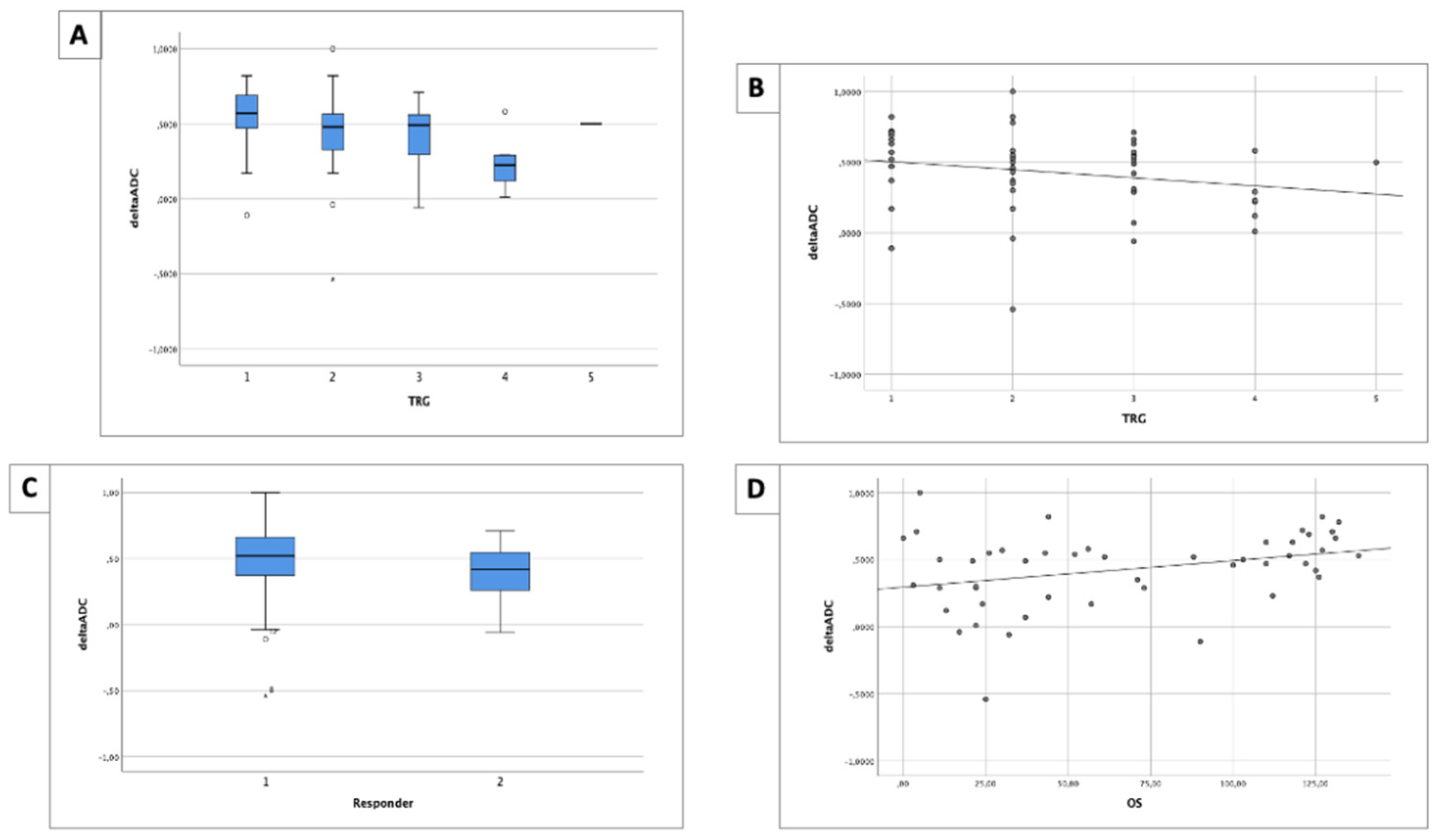
3.4. ΔADC Analysis
3.5. Follow-Up
4. Discussion
5. Conclusions
Author Contributions
Funding
Institutional Review Board Statement
Informed Consent Statement
Data Availability Statement
Conflicts of Interest
References
- Glynne-Jones, R.; Wyrwicz, L.; Tiret, E.; Brown, G.; Rödel, C.; Cervantes, A.; Arnold, D.; on behalf of the ESMO Guidelines Committee. Rectal cancer: ESMO Clinical Practice Guidelines for diagnosis, treatment, and follow-up. Ann. Oncol. 2017, 28, iv22–iv40. [Google Scholar] [CrossRef] [PubMed]
- Zampino, M.G.; Labianca, R.; Beretta, G.D.; Magni, E.; Gatta, G.; Leonardi, M.C.; Chiappa, A.; Biffi, R.; de Braud, F.; Wils, J. Rectal cancer. Crit. Rev. Oncol. Hematol. 2009, 70, 160–182. [Google Scholar] [CrossRef] [PubMed]
- Beets-Tan, R.G.H.; Lambregts, D.M.J.; Maas, M.; Bipat, S.; Barbaro, B.; Curvo-Semedo, L.; Fenlon, H.M.; Gollub, M.J.; Gourtsoyianni, S.; Halligan, S.; et al. Magnetic resonance imaging for clinical management of rectal cancer: Updated recommendations from the 2016 European Society of Gastrointestinal and Abdominal Radiology (ESGAR) consensus meeting. Eur. Radiol. 2017, 28, 1465–1475. Available online: http://link.springer.com/10.1007/s00330-017-5026-2 (accessed on 20 August 2024). [CrossRef] [PubMed]
- Loenhout, R.; Van Zijta, F.; Lahaye, M.; Beets-tan, R.; Smithuis, R. Rectal Cancer—MR staging 2.0 Introduction [Internet]. Radiology Assistant. 2018. Available online: https://radiologyassistant.nl/abdomen/rectum/rectal-cancer-mr-staging-1 (accessed on 20 August 2024).
- Habr-Gama, A.; Perez, R.O.; Nadalin, W.; Sabbag, J.; Ribeiro, U.; Silva, E.; Sousa, A.H.; Campos, F.G.; Kiss, D.R.; Gama-Rodrigues, J. Operative versus nonoperative treatment for stage 0 distal rectal cancer following chemoradiation therapy: Long-term results. Ann. Surg. 2004, 240, 711–718. [Google Scholar] [CrossRef] [PubMed]
- Habr-Gama, A.; Perez, R.O.; São Julião, G.P.; Proscurshim, I.; Gama-Rodrigues, J. Nonoperative Approaches to Rectal Cancer: A Critical Evaluation. Semin. Radiat. Oncol. 2011, 21, 234–239. [Google Scholar] [CrossRef]
- Thies, S.; Langer, R. Tumor Regression Grading of Gastrointestinal Carcinomas after Neoadjuvant Treatment. Front. Oncol. 2013, 3, 262. [Google Scholar] [CrossRef]
- Williams, H.; Omer, D.M.; Thompson, H.M.; Lin, S.T.; Verheij, F.S.; Miranda, J.; Yuval, J.B.; Buckley, J.; Marco, M.R.; Qin, L.-X.; et al. MRI Predicts Residual Disease and Outcomes in Watch-and-Wait Patients with Rectal Cancer. Radiology 2024, 312, e232748. [Google Scholar] [CrossRef]
- Zhou, M.; Bao, D.; Huang, H.; Chen, M.; Jiang, W. Utilization of Diffusion-Weighted Derived Mathematical Models to Predict Prognostic Factors of Resectable Rectal Cancer. Abdom. Radiol. 2024, 49, 3282–3293. [Google Scholar] [CrossRef]
- Zhou, M.; Chen, M.; Luo, M.; Chen, M.; Huang, H. Pathological Prognostic Factors of Rectal Cancer Based on Diffusion-Weighted Imaging, Intravoxel Incoherent Motion, and Diffusion Kurtosis Imaging. Eur. Radiol. 2024, 1–10. [Google Scholar] [CrossRef]
- Bernier, L.; Balyasnikova, S.; Tait, D.; Brown, G. Watch-and-Wait as a Therapeutic Strategy in Rectal Cancer. Curr. Colorectal Cancer Rep. 2018, 14, 37–55. [Google Scholar] [CrossRef]
- Smith, J.J.; Garcia-Aguilar, J. Advances and challenges in treatment of locally advanced rectal cancer. J. Clin. Oncol. 2015, 33, 1797–1808. [Google Scholar] [CrossRef] [PubMed]
- Jacobs, L.; Intven, M.; Lelyveld, N.; Van Philippens, M.; Burbach, M.; Seldenrijk, K.; Los, M.; Reerink, O. Diffusion-weighted MRI for early prediction of treatment response on preoperative chemoradiotherapy for patients with locally advanced rectal cancer: A feasibility study. Ann. Surg. 2016, 263, 522–528. [Google Scholar] [CrossRef] [PubMed]
- Monguzzi, L.; Ippolito, D.; Bernasconi, D.P.; Trattenero, C.; Galimberti, S.; Sironi, S. Locally advanced rectal cancer: Value of ADC mapping in prediction of tumor response to radiochemotherapy. Eur. J. Radiol. 2013, 82, 234–240. [Google Scholar] [CrossRef] [PubMed]
- Genovesi, D.; Filippone, A.; Ausili Cèfaro, G.; Trignani, M.; Vinciguerra, A.; Augurio, A.; Di Tommaso, M.; Borzillo, V.; Sabatino, F.; Innocenti, P.; et al. Diffusion-weighted magnetic resonance for prediction of response after neoadjuvant chemoradiation therapy for locally advanced rectal cancer: Preliminary results of a monoinstitutional prospective study. Eur. J. Surg. Oncol. 2013, 39, 1071–1078. [Google Scholar] [CrossRef] [PubMed]
- Foti, P.V.; Privitera, G.; Piana, S.; Palmucci, S.; Spatola, C.; Bevilacqua, R.; Raffaele, L.; Salamone, V.; Caltabiano, R.; Magro, G.; et al. Locally advanced rectal cancer: Qualitative and quantitative evaluation of diffusion-weighted MR imaging in the response assessment after neoadjuvant chemo-radiotherapy. Eur. J. Radiol. Open. 2016, 3, 145–152. [Google Scholar] [CrossRef][Green Version]
- Lambrecht, M.; Deroose, C.; Roels, S.; Vandecaveye, V.; Penninckx, F.; Sagaert, X.; van Cutsem, E.; de Keyzer, F.; Haustermans, K. The use of FDG-PET/CT and diffusion-weighted magnetic resonance imaging for response prediction before, during and after preoperative chemoradiotherapy for rectal cancer. Acta Oncol. 2010, 49, 956–963. [Google Scholar] [CrossRef]
- Iannicelli, E.; Di Pietropaolo, M.; Pilozzi, E.; Osti, M.F.; Valentino, M.; Masoni, L.; Ferri, M. Value of diffusion-weighted MRI and apparent diffusion coefficient measurements for predicting the response of locally advanced rectal cancer to neoadjuvant chemoradiotherapy. Abdom. Radiol. 2016, 41, 1906–1917. [Google Scholar] [CrossRef]
- Cai, G. Diffusion-weighted magnetic resonance imaging for predicting the response of rectal cancer to neoadjuvant concurrent chemoradiation. World J. Gastroenterol. 2013, 19, 5520. Available online: http://www.wjgnet.com/1007-9327/full/v19/i33/5520.htm (accessed on 20 August 2024). [CrossRef]
- Sun, Y.-S.; Zhang, X.-P.; Tang, L.; Ji, J.-F.; Gu, J.; Cai, Y.; Zhang, X.Y. Locally Advanced Rectal Carcinoma Carcinoma Treated with Preoperative Chemotherapy and Radiation Therapy: Preliminary Analysis. Radiology 2010, 254, 170–178. [Google Scholar] [CrossRef]
- Birlik, B.; Obuz, F.; Elibol, F.D.; Celik, A.O.; Sokmen, S.; Terzi, C.; Sagol, O.; Sarioglu, S.; Gorken, I.; Oztop, I. Diffusion-weighted MRI and MR- volumetry—In the evaluation of tumor response after preoperative chemoradiotherapy in patients with locally advanced rectal cancer. Magn. Reson. Imaging 2015, 33, 201–212. [Google Scholar] [CrossRef]
- Curvo-Semedo, L.; Lambregts, D.M.J.; Maas, M.; Beets, G.L.; Caseiro-Alves, F.; Beets-Tan, R.G.H. Diffusion-weighted MRI in rectal cancer: Apparent diffusion coefficient as a potential noninvasive marker of tumor aggressiveness. J. Magn. Reson. Imaging 2012, 35, 1365–1371. [Google Scholar] [CrossRef] [PubMed]
- Moon, S.J.; Cho, S.H.; Kim, G.C.; Kim, W.H.; Kim, H.J.; Shin, K.M.; Lee, S.M.; Park, J.S.; Choi, G.-S.; Kim, S.H. Complementary value of pretreatment apparent diffusion coefficient in rectal cancer for predicting tumor recurrence. Abdom. Radiol. 2016, 41, 1237–1244. [Google Scholar] [CrossRef] [PubMed]
- Bakke, K.M.; Hole, K.H.; Dueland, S.; Grøholt, K.K.; Flatmark, K.; Ree, A.H.; Seierstad, T.; Redalen, K.R. Diffusion-weighted magnetic resonance imaging of rectal cancer: Tumor volume and perfusion fraction predict chemoradiotherapy response and survival. Acta Oncol. 2017, 56, 813–818. [Google Scholar] [CrossRef] [PubMed]
- DeVries, A.F.; Kremser, C.; Hein, P.A.; Griebel, J.; Krezcy, A.; Öfner, D.; Pfeiffer, K.-P.; Lukas, P.; Judmaier, W. Tumor microcirculation and diffusion predict therapy outcome for primary rectal carcinoma. Int. J. Radiat. Oncol. Biol. Phys. 2003, 56, 958–965. [Google Scholar] [CrossRef]
- Blazic, I.M.; Lilic, G.B.; Gajic, M.M. Quantitative Assessment of Rectal Cancer Response to Neoadjuvant Combined Chemotherapy and Radiation Therapy. Radiology 2017, 282, 418–428. [Google Scholar] [CrossRef]




| Ax TSE_T1W | Sag TSE_T2W | Parax TSE_T2W | Paracor TSE_T2W | Ax DWI | |
|---|---|---|---|---|---|
| Thickness (mm) | 3 | 3.5 | 3 | 3 | 6 |
| Slices (n) | 20 | 18 | 20 | 20 | 12 |
| Gap (mm) | 3 | 3.5 | 0.5 | 0.5 | 6 |
| TR (ms) | 612 | 4570 | 5058 | 5058 | 3000 |
| TE (ms) | 14 | 120 | 125 | 125 | 74 |
| Flip Angle (°) | 90 | 90 | 90 | 90 | 90 |
| FOV | 180 × 85 | 180 × 85 | 180 × 100 | 180 × 100 | 380 × 80 |
| Matrix | 272 × 320 | 256 × 256 | 256 × 256 | 256 × 256 | 240 × 256 |
| NSA (n) | 4 | 4 | 4 | 4 | 4 |
| Time (min) | 4.43 | 3.05 | 3.47 | 3.47 | 1.30 * |
| N = 94 | Group | Total | p-Value | |||
|---|---|---|---|---|---|---|
| 1 | 2 | 3 | ||||
| TRG (n; %) | 1 | 13; (25.0) | 2; (9) | 2; (10.0) | 17; (18.2) | 0.071 |
| 2 | 16; (30.8) | 3; (13.7) | 5; (25.0) | 24; (25.5) | ||
| 3 | 16; (30.8) | 10; (45.4) | 10; (50.0) | 36; (38.3) | ||
| 4 | 6; (11.4) | 4; (18.2) | 3; (15.0) | 13; (13.8) | ||
| 5 | 1; (2%) | 3; (13.7) | 0; (0.0) | 4; (4.2) | ||
| Responder (n; %) | 29; (55.8) | 5 (22.7) | 7; (35.0) | 36; (50.0) | 0.285 | |
| Non-responder (n; %) | 23; (44.2) | 17 (77.3) | 13; (65.0) | 36; (50.0) | ||
| Total | 52; (55.3) | 22; (23.4) | 20; (21.3) | 94; (100) | ||
| N = 94 | Pre-ADC | p-Value | Post-ADC | p-Value | ΔADC | p-Value | OS (Months) | p-Value | ||
|---|---|---|---|---|---|---|---|---|---|---|
| Mean (±SD) | Median (Min–Max) | |||||||||
| TRG | 1 | 0.912 ± 0.223 | 0.930 | 1.391 ± 0.278 | 0.068 | 0.515 ± 0.254 | 0.198 | 92 (±44) | 110 (4–131) | 0.038 |
| 2 | 0.944 ± 0.191 | 1.333 ± 0.284 | 0.424 ± 0.357 | 71 (±48) | 64 (5–138) | |||||
| 3 | 0.919 ± 0.182 | 1.294 ± 0.294 | 0.424 ± 0.211 | 50 (±44) | 37 (2–130) | |||||
| 4 | 0.904 ± 0.158 | 1.040 ± 0.317 | 0.241 ± 0.193 | 53 (±42) | 44 (13–112) | |||||
| 5 | 0.907 ± 0.188 | 1.250 | 0.500 | 11 | 11 (11) | |||||
| Responder | 0.931 ± 0.195 | 0.796 | 1.358 ± 0.279 | 0.019 | 0.465 ± 0.313 | 0.117 | 81 (±46) | 100 (4–138) | 0.019 | |
| Non-Responder | 0.896 ± 0.171 | 1.229 ± 0.312 | 0.378 ± 0.215 | 49 (±42) | 37 (2–130) | |||||
Disclaimer/Publisher’s Note: The statements, opinions and data contained in all publications are solely those of the individual author(s) and contributor(s) and not of MDPI and/or the editor(s). MDPI and/or the editor(s) disclaim responsibility for any injury to people or property resulting from any ideas, methods, instructions or products referred to in the content. |
© 2024 by the authors. Licensee MDPI, Basel, Switzerland. This article is an open access article distributed under the terms and conditions of the Creative Commons Attribution (CC BY) license (https://creativecommons.org/licenses/by/4.0/).
Share and Cite
Drago, S.G.; Maino, C.; Giandola, T.P.; Franco, P.N.; Corso, R.; Talei Franzesi, C.; Pecorelli, A.; Ippolito, D. Correlations between Apparent Diffusion Coefficient (ADC) and Prognosis in Patients with Locally Advanced Rectal Cancer. Life 2024, 14, 1282. https://doi.org/10.3390/life14101282
Drago SG, Maino C, Giandola TP, Franco PN, Corso R, Talei Franzesi C, Pecorelli A, Ippolito D. Correlations between Apparent Diffusion Coefficient (ADC) and Prognosis in Patients with Locally Advanced Rectal Cancer. Life. 2024; 14(10):1282. https://doi.org/10.3390/life14101282
Chicago/Turabian StyleDrago, Silvia Girolama, Cesare Maino, Teresa Paola Giandola, Paolo Niccolò Franco, Rocco Corso, Cammillo Talei Franzesi, Anna Pecorelli, and Davide Ippolito. 2024. "Correlations between Apparent Diffusion Coefficient (ADC) and Prognosis in Patients with Locally Advanced Rectal Cancer" Life 14, no. 10: 1282. https://doi.org/10.3390/life14101282
APA StyleDrago, S. G., Maino, C., Giandola, T. P., Franco, P. N., Corso, R., Talei Franzesi, C., Pecorelli, A., & Ippolito, D. (2024). Correlations between Apparent Diffusion Coefficient (ADC) and Prognosis in Patients with Locally Advanced Rectal Cancer. Life, 14(10), 1282. https://doi.org/10.3390/life14101282

