Role of the Rhamnosyl Residue of Ouabain in the Activation of the Na,K-ATPase Signaling Function
Abstract
Simple Summary
Abstract
1. Introduction
2. Materials and Methods
2.1. Ligand Docking to NKA
2.2. Patch-Clamp Method
2.3. Organotypic Tissue Culture Method
2.4. Statistical Analysis
3. Results
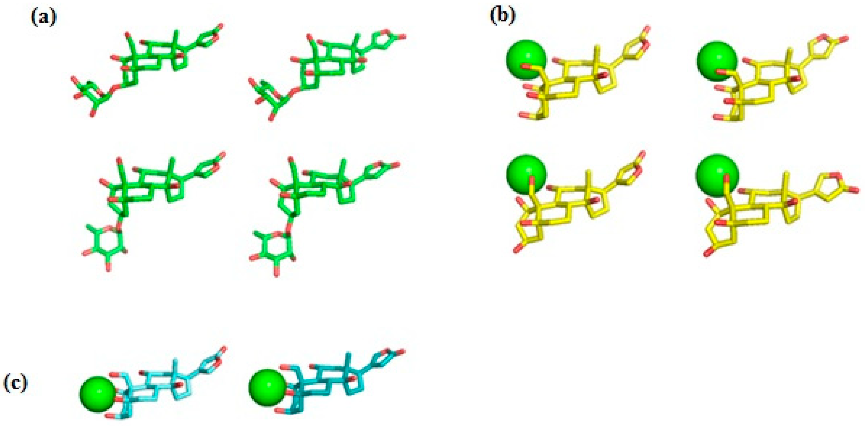
3.1. Docking with NKA
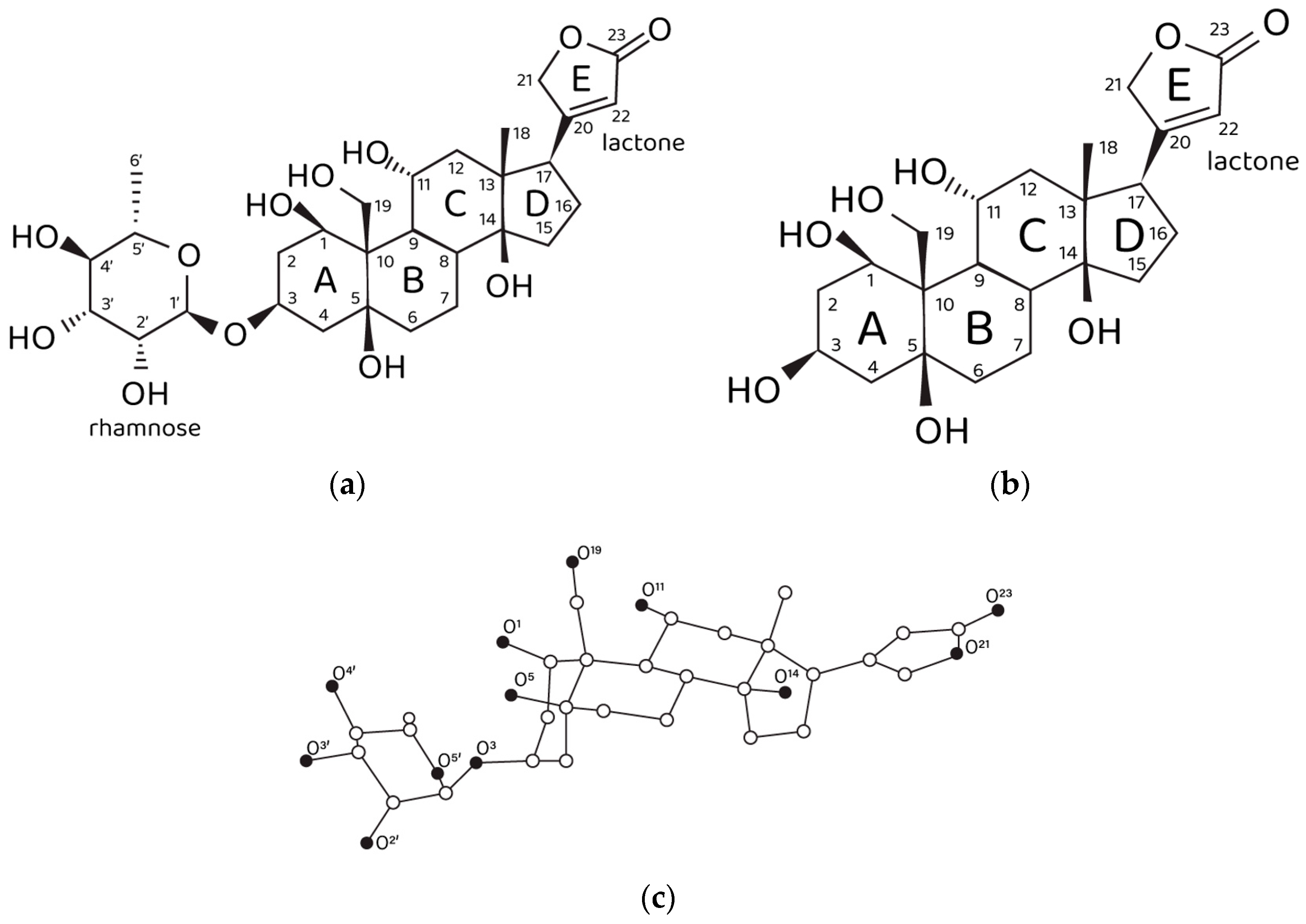
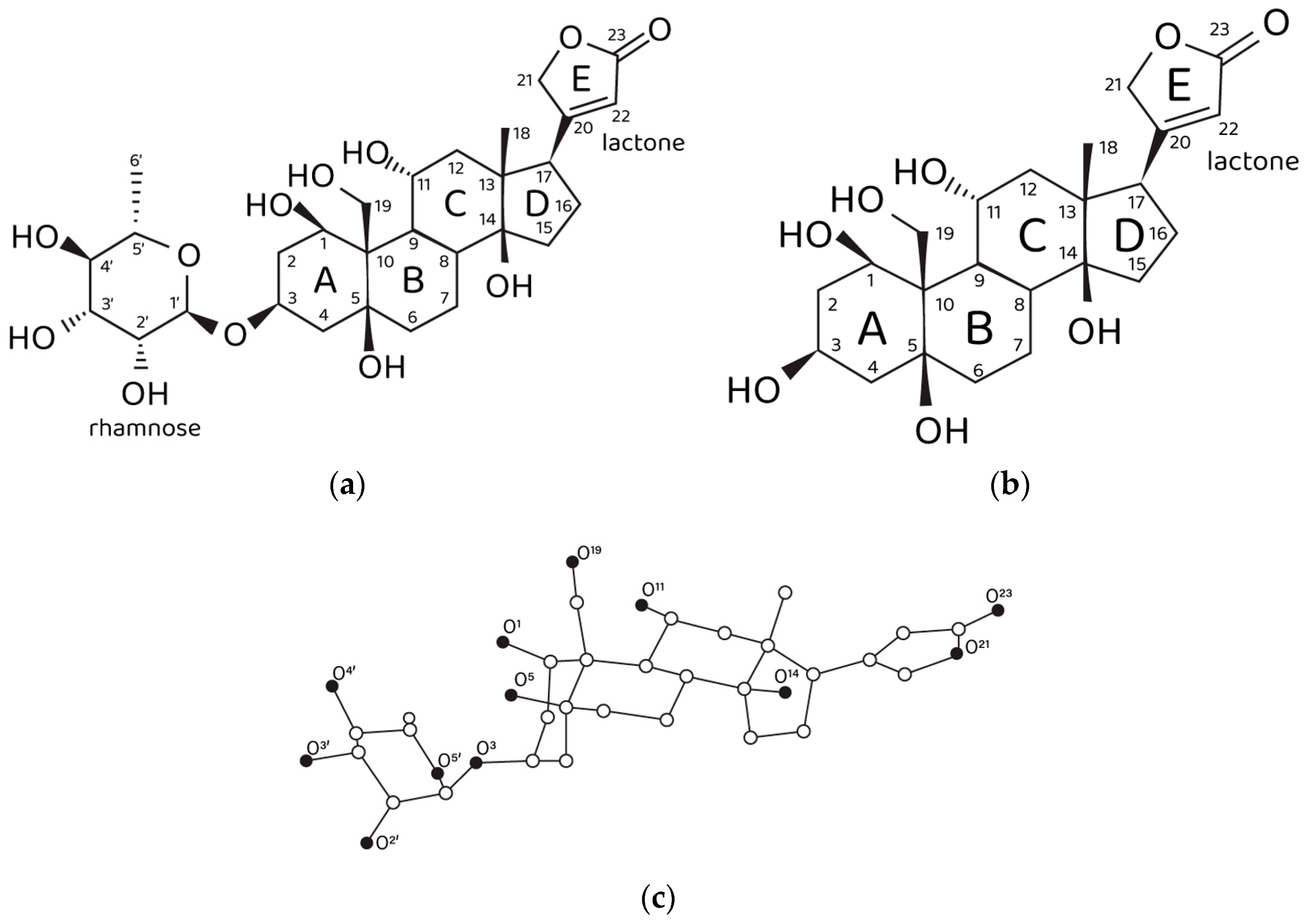
3.1.1. Structural Features of NKA Models
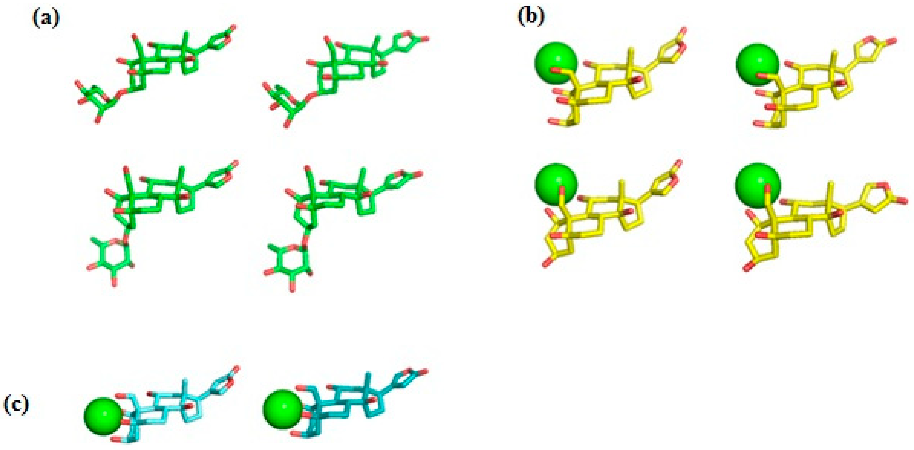
3.1.2. Characteristics of Ligand–Receptor Complexes
3.1.3. Effects of the Rhamnosyl Residue on OUA Binding and Effects of Ca2+ Chelation on OBG Binding
3.1.4. Optimization of Ligand–Receptor Complexes Obtained by Docking
3.2. Patch-Clamp Method
3.3. Organotypic Tissue Culture
4. Discussion
Author Contributions
Funding
Institutional Review Board Statement
Informed Consent Statement
Data Availability Statement
Conflicts of Interest
Abbreviations
References
- Skou, J.C. The Influence of Some Cations on an Adenosine Triphosphatase from Peripheral Nerves. Biochim. Biophys. Acta 1957, 23, 394–401. [Google Scholar] [CrossRef] [PubMed]
- Skou, J.C. Further Investigations on a Mg++ + Na+-Activated Adenosintriphosphatase, Possibly Related to the Active, Linked Transport of Na+ and K+ across the Nerve Membrane. Biochim. Biophys. Acta 1960, 42, 6–23. [Google Scholar] [CrossRef]
- Kometiani, P.; Li, J.; Gnudi, L.; Kahn, B.B.; Askari, A.; Xie, Z. Multiple Signal Transduction Pathways Link Na+/K+-ATPase to Growth-Related Genes in Cardiac Myocytes. The Roles of Ras and Mitogen-Activated Protein Kinases. J. Biol. Chem. 1998, 273, 15249–15256. [Google Scholar] [CrossRef]
- Haas, M.; Askari, A.; Xie, Z. Involvement of Src and Epidermal Growth Factor Receptor in the Signal-Transducing Function of Na+/K+-ATPase. J. Biol. Chem. 2000, 275, 27832–27837. [Google Scholar] [CrossRef] [PubMed]
- Krylov, B.V.; Derbenev, A.V.; Podzorova, S.A.; Liudyno, M.I.; Kuz’min, A.V.; Izvarina, N.L. Morphine Decreases the Voltage Sensitivity of the Slow Sodium Channels. Ross. Fiziol. Zh. Im IM Sechenova 1999, 85, 225–236. [Google Scholar] [CrossRef]
- Krylov, B.V.; Rogachevskii, I.V.; Shelykh, T.N.; Plakhova, V.B. New Non-Opioid Analgesics: Understanding Molecular Mechanisms on the Basis of Patch-Clamp and Chemical Studies, Frontiers in Pain Science; Bentham Science Publishers Ltd.: Sharjah, United Arab Emirates, 2017; Volume 1, ISBN 978-1-60805-930-0. [Google Scholar] [CrossRef]
- Aperia, A.; Akkuratov, E.E.; Fontana, J.M.; Brismar, H. Na+-K+-ATPase, a New Class of Plasma Membrane Receptors. Am. J. Physiol. Cell Physiol. 2016, 310, C491–C495. [Google Scholar] [CrossRef] [PubMed]
- Tymiak, A.A.; Norman, J.A.; Bolgar, M.; DiDonato, G.C.; Lee, H.; Parker, W.L.; Lo, L.C.; Berova, N.; Nakanishi, K.; Haber, E.; et al. Physicochemical Characterization of a Ouabain Isomer Isolated from Bovine Hypothalamus. Proc. Natl. Acad. Sci. USA 1993, 90, 8189–8193. [Google Scholar] [CrossRef] [PubMed]
- Kawamura, A.; Guo, J.; Itagaki, Y.; Bell, C.; Wang, Y.; Haupert, G.T.; Magil, S.; Gallagher, R.T.; Berova, N.; Nakanishi, K. On the Structure of Endogenous Ouabain. Proc. Natl. Acad. Sci. USA 1999, 96, 6654–6659. [Google Scholar] [CrossRef]
- Hamlyn, J.M.; Blaustein, M.P.; Bova, S.; Ducharme, D.W.; Harris, D.W.; Mandel, F.; Mathews, W.R.; Ludens, J.H. Identification and Characterization of a Ouabain-like Compound from Human Plasma. Proc. Natl. Acad. Sci. USA 1991, 88, 6259–6263. [Google Scholar] [CrossRef]
- Plakhova, V.B.; Penniyaynen, V.A.; Rogachevskii, I.V.; Podzorova, S.A.; Khalisov, M.M.; Ankudinov, A.V.; Krylov, B.V. Dual Mechanism of Modulation of NaV1.8 Sodium Channels by Ouabain. Can. J. Physiol. Pharmacol. 2020, 98, 785–802. [Google Scholar] [CrossRef]
- Bennett, D.L.; Clark, X.A.J.; Huang, J.; Waxman, S.G.; Dib-Hajj, S.D. The Role of Voltage-Gated Sodium Channels in Pain Signaling. Physiol. Rev. 2019, 99, 1079–1151. [Google Scholar] [CrossRef]
- Lopatina, E.V.; Yachnev, I.L.; Penniyaynen, V.A.; Plakhova, V.B.; Podzorova, S.A.; Shelykh, T.N.; Rogachevsky, I.V.; Butkevich, I.P.; Mikhailenko, V.A.; Kipenko, A.V.; et al. Modulation of Signal-Transducing Function of Neuronal Membrane Na+,K+-ATPase by Endogenous Ouabain and Low-Power Infrared Radiation Leads to Pain Relief. Med. Chem. 2012, 8, 33–39. [Google Scholar] [CrossRef] [PubMed]
- Rogachevskii, I.V. Ab Initio Conformation Analysis of Ouabain and Ouabagenin Molecules. Russ. J. Gen. Chem. 2008, 78, 286–294. [Google Scholar] [CrossRef]
- Rogachevskii, I.V.; Lopatina, E.V.; Penniyainen, V.A.; Kipenko, A.V.; Krylov, B.V. Quantum-Chemical Study on Calcium (II) Chelates with Ouabagenin. Russ. J. Org. Chem. 2011, 47, 131–139. [Google Scholar] [CrossRef]
- Lingrel, J.B. The Physiological Significance of the Cardiotonic Steroid/Ouabain-Binding Site of the Na,K-ATPase. Annu. Rev. Physiol. 2010, 72, 395–412. [Google Scholar] [CrossRef]
- Mega, R.E. The Psychiatrist at the Centre of the Opioid Crisis. Nature 2020, 580, 178–181. [Google Scholar] [CrossRef]
- Volkow, N.D.; Blanco, C. The Changing Opioid Crisis: Development, Challenges and Opportunities. Mol. Psychiatry 2020, 26, 218–233. [Google Scholar] [CrossRef] [PubMed]
- Plakhova, V.B.; Samosvat, D.M.; Zegrya, G.G.; Penniyaynen, V.A.; Kalinina, A.D.; Ke, M.; Podzorova, S.A.; Krylov, B.V.; Rogachevskii, I.V. Role of the Guanidinium Groups in Ligand-Receptor Binding of Arginine-Containing Short Peptides to the Slow Sodium Channel: Quantitative Approach to Drug Design of Peptide Analgesics. Int. J. Mol. Sci. 2022, 23, 10640. [Google Scholar] [CrossRef]
- Rogachevskii, I.V.; Plakhova, V.B.; Penniyaynen, V.A.; Kalinina, A.D.; Podzorova, S.A.; Samosvat, D.M.; Zegrya, G.G.; Krylov, B.V. Arginine-Containing Tripeptides as Analgesic Substances: The Possible Mechanism of Ligand-Receptor Binding to the Slow Sodium Channel. Int. J. Mol. Sci. 2022, 23, 5993. [Google Scholar] [CrossRef]
- Rogachevskii, I.V.; Plakhova, V.B.; Penniyaynen, V.A.; Terekhin, S.G.; Podzorova, S.A.; Krylov, B.V. New Approaches to the Design of Analgesic Medicinal Substances. Can. J. Physiol. Pharmacol. 2022, 100, 43–52. [Google Scholar] [CrossRef]
- Kanai, R.; Cornelius, F.; Vilsen, B.; Toyoshima, C. Cryoelectron Microscopy of Na+,K+-ATPase in the Two E2P States with and without Cardiotonic Steroids. Proc. Natl. Acad. Sci. USA 2022, 119, e2123226119. [Google Scholar] [CrossRef]
- Neese, F. The ORCA Program System. Wiley Interdiscip. Rev. Comput. Mol. Sci. 2012, 2, 73–78. [Google Scholar] [CrossRef]
- Neese, F. Software Update: The ORCA Program System, Version 4.0. Wiley Interdiscip. Rev. Comput. Mol. Sci. 2018, 8, e1327. [Google Scholar] [CrossRef]
- Laursen, M.; Yatime, L.; Nissen, P.; Fedosova, N.U. Crystal Structure of the High-Affinity Na+,K+-ATPase-Ouabain Complex with Mg2+ Bound in the Cation Binding Site. Proc. Natl. Acad. Sci. USA 2013, 110, 10958–10963. [Google Scholar] [CrossRef]
- Rappé, A.K.; Casewit, C.J.; Colwell, K.S.; Goddard, W.A.; Skiff, W.M. UFF, a Full Periodic Table Force Field for Molecular Mechanics and Molecular Dynamics Simulations. J. Am. Chem. Soc. 1992, 114, 10024–10035. [Google Scholar] [CrossRef]
- Trott, O.; Olson, A.J. AutoDock Vina: Improving the Speed and Accuracy of Docking with a New Scoring Function, Efficient Optimization and Multithreading. J. Comput. Chem. 2010, 31, 455. [Google Scholar] [CrossRef]
- Sanner, M.F. Python: A Programming Language for Software Integration and Development. J. Mol. Graph. Model. 1999, 17, 57–61. [Google Scholar] [PubMed]
- Kostyuk, P.G.; Veselovsky, N.S.; Tsyndrenko, A.Y. Ionic Currents in the Somatic Membrane of Rat Dorsal Root Ganglion Neurons-I. Sodium Currents. Neuroscience 1981, 6, 2423–2430. [Google Scholar] [CrossRef] [PubMed]
- Kostyuk, P.G.; Krishtal, O.A.; Pidoplichko, V.I. Effect of Internal Fluoride and Phosphate on Membrane Currents during Intracellular Dialysis of Nerve Cells. Nature 1975, 257, 691–693. [Google Scholar] [CrossRef]
- Hamill, O.P.; Marty, A.; Neher, E.; Sakmann, B.; Sigworth, F.J. Improved Patch-Clamp Techniques for High-Resolution Current Recording from Cells and Cell-Free Membrane Patches. Pflügers Arch. 1981, 391, 85–100. [Google Scholar] [CrossRef]
- Penniyaynen, V.A.; Plakhova, V.B.; Rogachevskii, I.V.; Terekhin, S.G.; Podzorova, S.A.; Krylov, B.V. Molecular Mechanisms and Signaling by Comenic Acid in Nociceptive Neurons Influence the Pathophysiology of Neuropathic Pain. Pathophysiology 2019, 26, 245–352. [Google Scholar] [CrossRef]
- Almers, W. Gating Currents and Charge Movements in Excitable Membranes BT—Reviews of Physiology, Biochemistry and Pharmacology; Springer: Berlin/Heidelberg, Germany, 1978; Volume 82, pp. 96–190. ISBN 978-3-540-35883-1. [Google Scholar]
- Osipchuk, Y.V.; Timin, E.N. Electrical Measurements on Professed Cells. In Intracellular Perfusion of Excitable Cells; Kostyuk, P.G., Krishtal, O.A., Eds.; JohnWiley and Sons: London, UK, 1984; pp. 103–129. [Google Scholar]
- Lopatina, E.V.; Kipenko, A.V.; Penniyaynen, V.A.; Pasatetskaya, N.A.; Djuric, D.; Krylov, B.V. Organotypic Tissue Culture Investigation of Homocysteine Thiolactone Cardiotoxic Effect. Acta Physiol. Hung. 2015, 102, 137–142. [Google Scholar] [CrossRef]
- Klimanova, E.A.; Petrushanko, I.Y.; Mitkevich, V.A.; Anashkina, A.A.; Orlov, S.N.; Makarov, A.A.; Lopina, O.D. Binding of Ouabain and Marinobufagenin Leads to Different Structural Changes in Na,K-ATPase and Depends on the Enzyme Conformation. FEBS Lett. 2015, 589, 2668–2674. [Google Scholar] [CrossRef]
- Tverskoi, A.M.; Poluektov, Y.M.; Klimanova, E.A.; Mitkevich, V.A.; Makarov, A.A.; Orlov, S.N.; Petrushanko, I.Y.; Lopina, O.D. Depth of the Steroid Core Location Determines the Mode of Na,K-ATPase Inhibition by Cardiotonic Steroids. Int. J. Mol. Sci. 2021, 22, 13268. [Google Scholar] [CrossRef]
- Armstrong, C.M.; Bezanilla, F.; Rojas, E. Destruction of Sodium Conductance Inactivation in Squid Axons Perfused with Pronase. J. Gen. Physiol. 1973, 62, 375–391. [Google Scholar] [CrossRef] [PubMed]
- Black, J.A.; Nikolajsen, L.; Kroner, K.; Jensen, T.S.; Waxman, S.G. Multiple Sodium Channel Isoforms and Mitogen-Activated Protein Kinases Are Present in Painful Human Neuromas. Ann. Neurol. 2008, 64, 644–653. [Google Scholar] [CrossRef]
- Akoev, G.N.; Krylov, B.V.; Alekseev, N.P. Mechanoreceptors: Their Functional Organization; Springer: London, UK; Heidelberg, Germany; New York, NY, USA, 1988; ISBN 978-3540182610. [Google Scholar] [CrossRef]
- Plakhova, V.B.; Penniyaynen, V.A.; Yachnev, I.L.; Rogachevskii, I.V.; Podzorova, S.A.; Krylov, B.V. Src Kinase Controls Signaling Pathways in Sensory Neuron Triggered by Low-Power Infrared Radiation. Can. J. Physiol. Pharmacol. 2019, 97, 400–406. [Google Scholar] [CrossRef]
- Mozhayeva, G.N.; Naumov, A.P. Effect of Surface Charge on the Steady-State Potassium Conductance of Nodal Membrane. Nature 1970, 228, 164–165. [Google Scholar] [CrossRef] [PubMed]
- Cukierman, S.; Zinkand, W.C.; French, R.J.; Krueger, B.K. Effects of Membrane Surface Charge and Calcium on the Gating of Rat Brain Sodium Channels in Planar Bilayers. J. Gen. Physiol. 1988, 92, 431–447. [Google Scholar] [CrossRef] [PubMed]
- Cornelius, F.; Kanai, R.; Toyoshima, C. A Structural View on the Functional Importance of the Sugar Moiety and Steroid Hydroxyls of Cardiotonic Steroids in Binding to Na,K-ATPase. J. Biol. Chem. 2013, 288, 6602–6616. [Google Scholar] [CrossRef]









| α1S-NKA | α1R-NKA |
|---|---|
| Gln111–Asn122 (3.8 Å) | Arg111–Gln116 (3.7 Å) |
| Thr114–Glu116 (3.5 Å) | Thr114–Glu116 (3.4 Å) |
| Asp121–Thr797 (3.4 Å) | Asp121–Thr797 (2.9 Å) |
| Tyr308–Arg880 (3.7 Å) | Tyr308–Arg880 (3.1 Å) |
| Asn790–Arg880 (3.3 Å) | Asn790–Arg880 (3.2 Å) |
| Arg880–Asp884 (3.5 Å) | Arg880–Asp884 (3.3 Å) |
| Asp884–Lys905 (2.6 Å) | Asp884–Lys905 (3.1 Å) |
| NKA Isoform | α1S-NKA | α1R-NKA | |||||
|---|---|---|---|---|---|---|---|
| Ligand | OUA | OBG | OBG-Ca4 | OBG-Ca3 | OUA | OBG | OBG-Ca4 |
| Interacting NKA residues | Gln111 | Gln111 | Gln111 | Gln111 | Arg111 | Arg111 | Arg111 |
| Glu116 | Glu116 | Glu116 | Glu116 | ||||
| Glu117 | Glu117 | Glu117 | Glu117 | Glu117 | Glu117 | Glu117 | |
| Pro118 | Pro118 | Pro118 | Pro118 | Pro118 | Pro118 | Pro118 | |
| Asp121 | Asp121 | Asp121 | Asp121 | Asp121 | Asp121 | Asp121 | |
| Asn122 | Asn122 | Asn122 | Asn122 | Asp122 | Asp122 | Asp122 | |
| Leu125 | Leu125 | Leu125 | Leu125 | Leu125 | Leu125 | Leu125 | |
| Glu312 | Glu312 | ||||||
| Ile315 | Ile315 | Ile315 | Ile315 | Ile315 | Ile315 | Ile315 | |
| Phe316 | Phe316 | Phe316 | Phe316 | Phe316 | Phe316 | Phe316 | |
| Gly319 | Gly319 | Gly319 | Gly319 | Gly319 | Gly319 | Gly319 | |
| Val322 | Val322 | Val322 | Val322 | Val322 | Val322 | Val322 | |
| Ala323 | Ala323 | Ala323 | Ala323 | Ala323 | Ala323 | Ala323 | |
| Glu327 | Glu327 | Glu327 | Glu327 | Glu327 | Glu327 | Glu327 | |
| Phe783 | Phe783 | Phe783 | Phe783 | Phe783 | Phe783 | Phe783 | |
| Phe786 | Phe786 | Phe786 | Phe786 | Phe786 | Phe786 | Phe786 | |
| Leu793 | Leu793 | Leu793 | Leu793 | Leu793 | Leu793 | Leu793 | |
| Thr797 | Thr797 | Thr797 | Thr797 | Thr797 | Thr797 | Thr797 | |
| Ile800 | Ile800 | Ile800 | Ile800 | Ile800 | Ile800 | Ile800 | |
| Arg880 | Arg880 | ||||||
| Asp884 | Asp884 | ||||||
| Predicted binding energy to NKA, kcal/mol | −11.0 | −10.2 | −10.9 | −9.7 | −9.5 | −8.6 | −9.1 |
Disclaimer/Publisher’s Note: The statements, opinions and data contained in all publications are solely those of the individual author(s) and contributor(s) and not of MDPI and/or the editor(s). MDPI and/or the editor(s) disclaim responsibility for any injury to people or property resulting from any ideas, methods, instructions or products referred to in the content. |
© 2023 by the authors. Licensee MDPI, Basel, Switzerland. This article is an open access article distributed under the terms and conditions of the Creative Commons Attribution (CC BY) license (https://creativecommons.org/licenses/by/4.0/).
Share and Cite
Rogachevskii, I.V.; Samosvat, D.M.; Penniyaynen, V.A.; Plakhova, V.B.; Podzorova, S.A.; Ma, K.; Zegrya, G.G.; Krylov, B.V. Role of the Rhamnosyl Residue of Ouabain in the Activation of the Na,K-ATPase Signaling Function. Life 2023, 13, 1500. https://doi.org/10.3390/life13071500
Rogachevskii IV, Samosvat DM, Penniyaynen VA, Plakhova VB, Podzorova SA, Ma K, Zegrya GG, Krylov BV. Role of the Rhamnosyl Residue of Ouabain in the Activation of the Na,K-ATPase Signaling Function. Life. 2023; 13(7):1500. https://doi.org/10.3390/life13071500
Chicago/Turabian StyleRogachevskii, Ilya V., Dmitriy M. Samosvat, Valentina A. Penniyaynen, Vera B. Plakhova, Svetlana A. Podzorova, Ke Ma, Georgy G. Zegrya, and Boris V. Krylov. 2023. "Role of the Rhamnosyl Residue of Ouabain in the Activation of the Na,K-ATPase Signaling Function" Life 13, no. 7: 1500. https://doi.org/10.3390/life13071500
APA StyleRogachevskii, I. V., Samosvat, D. M., Penniyaynen, V. A., Plakhova, V. B., Podzorova, S. A., Ma, K., Zegrya, G. G., & Krylov, B. V. (2023). Role of the Rhamnosyl Residue of Ouabain in the Activation of the Na,K-ATPase Signaling Function. Life, 13(7), 1500. https://doi.org/10.3390/life13071500

