Biologic Therapies Decrease Disease Severity and Improve Depression and Anxiety Symptoms in Psoriasis Patients
Abstract
1. Introduction
2. Materials and Methods
2.1. Patients and Controls
2.2. Statistical Analysis
3. Results
3.1. Patient and Control Group Demographics
3.2. Disease Severity and Symptomology
3.3. Correlation between Psoriasis and Presence of Depression or Anxiety
3.4. Correlation between Disease Severity and Psychologic Morbidity before and after Therapy
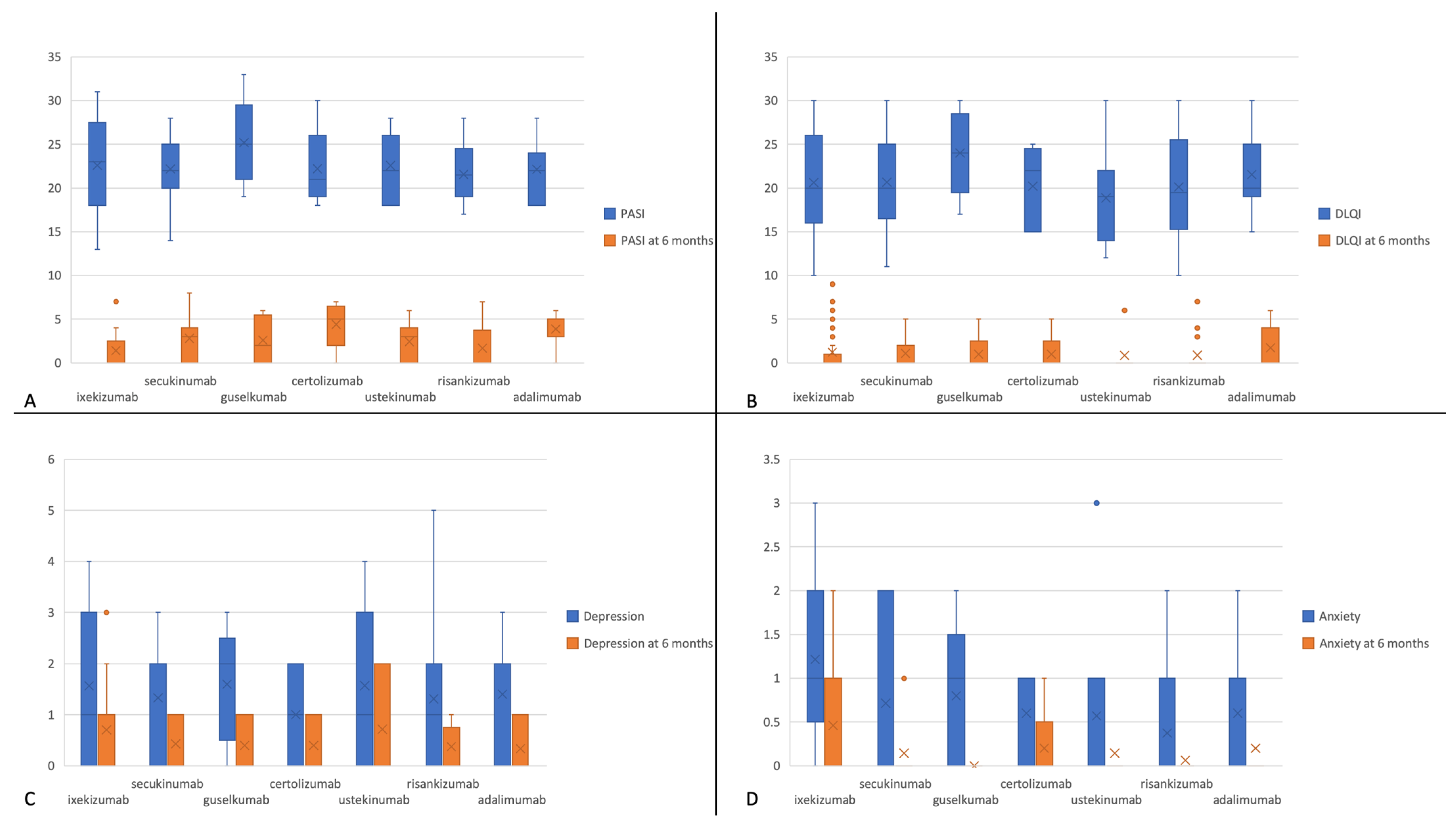
3.5. Efficacy of Biologic Agents in Reducing Psychological Burden
4. Discussion
5. Conclusions
Author Contributions
Funding
Institutional Review Board Statement
Informed Consent Statement
Data Availability Statement
Conflicts of Interest
References
- Blackstone, B.; Patel, R.; Bewley, A. Assessing and Improving Psychological Well-Being in Psoriasis: Considerations for the Clinician. Psoriasis 2022, 12, 25–33. [Google Scholar] [CrossRef] [PubMed]
- Kim, S.M.; Ahn, J.; Cho, Y.A.; Sung, J.Y.; Kim, C.Y.; Yu, D.; Lee, Y.W.; Won, S.; Choe, Y.B. Increased risk of suicidality in patients with psoriasis: A Nationwide cohort study in Korea. J. Eur. Acad. Dermatol. Venereol. 2023, 37, 75–84. [Google Scholar] [CrossRef] [PubMed]
- Lada, G.; Chinoy, H.; Heal, C.; Warren, R.B.; Talbot, P.S.; Kleyn, C.E. Depression and Suicidality in Patients with Psoriasis and the Role of Psoriatic Arthritis: A Cross-sectional Study in a Tertiary Setting. J. Acad. Consult. Liaison Psychiatry 2022, 63, 372–383. [Google Scholar] [CrossRef] [PubMed]
- Da Silva, N.; Augustin, M.; Hilbring, C.; Stülpnagel, C.C.B.-V.; Sommer, R. Psychological (co)morbidity in patients with psoriasis: The impact of pruritus and anogenital involvement on symptoms of depression and anxiety and on body dysmorphic concerns—A cross-sectional study. BMJ Open 2022, 12, e055477. [Google Scholar] [CrossRef]
- Schneider, G.; Heuft, G.; Hockmann, J. Determinants of social anxiety and social avoidance in psoriasis outpatients. J. Eur. Acad. Dermatol. Venereol. 2013, 27, 383–386. [Google Scholar] [CrossRef]
- Jing, D.; Xiao, H.; Shen, M.; Chen, X.; Han, X.; Kuang, Y.; Zhu, W.; Xiao, Y. Association of Psoriasis with Anxiety and Depression: A Case–Control Study in Chinese Patients. Front. Med. 2021, 8, 771645. [Google Scholar] [CrossRef]
- Tong, N.; Zhang, Y.; Yang, A.; Dai, X.; Hao, S. The potency of common proinflammatory cytokines measurement for revealing the risk and severity of anxiety and depression in psoriasis patients. J. Clin. Lab. Anal. 2022, 36, e24643. [Google Scholar] [CrossRef]
- Langley, R.G.; Feldman, S.R.; Han, C.; Schenkel, B.; Szapary, P.; Hsu, M.-C.; Ortonne, J.-P.; Gordon, K.B.; Kimball, A.B. Ustekinumab significantly improves symptoms of anxiety, depression, and skin-related quality of life in patients with moderate-to-severe psoriasis: Results from a randomized, double-blind, placebo-controlled phase III trial. J. Am. Acad. Dermatol. 2010, 63, 457–465. [Google Scholar] [CrossRef]
- González-Parra, S.; Daudén, E. Psoriasis and Depression: The Role of Inflammation. Actas Dermo-Sifiliográficas 2019, 110, 12–19. [Google Scholar] [CrossRef]
- Timis, T.; Florian, I.; Vesa, S.; Mitrea, D.R.; Orasan, R. An updated guide in the management of psoriasis for every practitioner. Int. J. Clin. Pract. 2021, 75, e14290. [Google Scholar] [CrossRef]
- Sbidian, E.; Chaimani, A.; Garcia-Doval, I.; Doney, L.; Dressler, C.; Hua, C.; Hughes, C.; Naldi, L.; Afach, S.; Le Cleach, L. Systemic pharmacological treatments for chronic plaque psoriasis: A network meta-analysis. Cochrane Database Syst. Rev. 2020, 1, CD011535. [Google Scholar] [CrossRef]
- Kroenke, K.; Spitzer, R.L.; Williams, J.B. The PHQ-9: Validity of a brief depression severity measure. J. Gen. Intern. Med. 2001, 16, 606–613. [Google Scholar] [CrossRef]
- Spitzer, R.L.; Kroenke, K.; Williams, J.B.; Löwe, B. A brief measure for assessing generalized anxiety disorder: The GAD-7. Arch. Intern. Med. 2006, 166, 1092–1097. [Google Scholar] [CrossRef]
- Soliman, M. Depressive, anxiety, stress, and insomnia symptoms in patients with psoriasis: A cross-sectional study. Postepy Dermatol. Alergol. 2021, 38, 510–519. [Google Scholar] [CrossRef]
- Pollo, C.F.; Miot, H.A.; Matos, T.D.D.S.; de Souza, J.M.; Jorge, M.F.S.; Miot, L.D.B.; Meneguin, S. Prevalence and factors associated with depression and anxiety in patients with psoriasis. J. Clin. Nurs. 2020, 30, 572–580. [Google Scholar] [CrossRef]
- Bakar, R.S.; Jaapar, S.Z.; Azmi, A.F.; Aun, Y.C. Depression and anxiety among patients with psoriasis: A correlation with quality of life and associated factors. J. Taibah Univ. Med. Sci. 2021, 16, 491–496. [Google Scholar] [CrossRef]
- Dowlatshahi, E.A.; Wakkee, M.; Arends, L.R.; Nijsten, T. The prevalence and odds of depressive symptoms and clinical depression in psoriasis patients: A systematic review and meta-analysis. J. Investig. Dermatol. 2014, 134, 1542–1551. [Google Scholar] [CrossRef]
- Tian, Z.; Huang, Y.; Yue, T.; Zhou, J.; Tao, L.; Han, L.; Yan, K.; Huang, Q.; Zhang, Z.; Shao, C. A Chinese cross-sectional study on depression and anxiety symptoms in patients with psoriasis vulgaris. Psychol. Health Med. 2018, 24, 269–280. [Google Scholar] [CrossRef]
- Lakshmy, S.; Balasundaram, S.; Sarkar, S.; Audhya, M.; Subramaniam, E. A Cross-sectional Study of Prevalence and Implications of Depression and Anxiety in Psoriasis. Indian J. Psychol. Med. 2015, 37, 434–440. [Google Scholar] [CrossRef]
- Yu, S.; Tu, H.-P.; Huang, Y.-C.; Lan, C.-C.E. The incidence of anxiety may not be correlated with severity of psoriasis: A prospective pilot study. Med. Hypotheses 2019, 130, 109254. [Google Scholar] [CrossRef]
- Jalenques, I.; Bourlot, F.; Martinez, E.; Pereira, B.; D’Incan, M.; Lauron, S.; Rondepierre, F. Prevalence and Odds of Anxiety Disorders and Anxiety Symptoms in Children and Adults with Psoriasis: Systematic Review and Meta-analysi. Acta Derm. Venereol. 2022, 102, adv00769. [Google Scholar] [CrossRef] [PubMed]
- De Vaus, J.; Hornsey, M.J.; Kuppens, P.; Bastian, B. Exploring the East-West Divide in Prevalence of Affective Disorder: A Case for Cultural Differences in Coping with Negative Emotion. Pers. Soc. Psychol. Rev. 2018, 22, 285–304. [Google Scholar] [CrossRef] [PubMed]
- Aksoy, H.; Ergun, T.; Akkiprik, M.; Eyuboglu, I.P.; Gencosmanoglu, D.S.; Ünalan, G.P.C.; Yöney, H. The impact of antipsoriatic treatment on serum pro—BDNF, BDNF levels, depression, anxiety scores, and quality of life. Dermatol. Ther. 2021, 34, e14872. [Google Scholar] [CrossRef] [PubMed]
- Fleming, P.; Bai, J.; Pratt, M.; Sibbald, C.; Lynde, C.; Gulliver, W. The prevalence of anxiety in patients with psoriasis: A systematic review of observational studies and clinical trials. J. Eur. Acad. Dermatol. Venereol. 2017, 31, 798–807. [Google Scholar] [CrossRef] [PubMed]
- Tabra, S.A.; Elghany, S.E.A.; Amer, R.A.; Fouda, M.H.; Abu-Zaid, M.H. Serum interleukin-23 levels: Relation to depression, anxiety, and disease activity in psoriatic arthritis patients. Clin. Rheumatol. 2022, 41, 3391–3399. [Google Scholar] [CrossRef]
- Strober, B.; Gooderham, M.; de Jong EM, G.J.; Kimball, A.B.; Langley, R.G.; Lakdawala, N.; Goyal, K.; Lawson, F.; Langholff, W.; Hopkins, L.; et al. Depressive symptoms, depression, and the effect of biologic therapy among patients in Psoriasis Longitudinal Assessment and Registry (PSOLAR). J. Am. Acad. Dermatol. 2018, 78, 70–80. [Google Scholar] [CrossRef]
- Ohata, C.; Kanai, Y.; Murotani, K.; Yamazaki, F.; Takahashi, H.; Tada, Y.; Mabuchi, T.; Mizutani, Y.; Nomura, T.; Imafuku, S. Effectiveness of Long-Term Treatment with Brodalumab on Anxiety or Depressive Symptoms in Japanese Patients with Psoriasis: The ProLOGUE Study. Dermatol. Ther. 2023, 13, 1039–1052. [Google Scholar] [CrossRef]
- Talamonti, M.; Malara, G.; Natalini, Y.; Bardazzi, F.; Conti, A.; Chiricozzi, A.; Mugheddu, C.; Gisondi, P.; Piaserico, S.; Pagnanelli, G.; et al. Secukinumab Improves Patient Perception of Anxiety and Depression in Patients with Moderate to Severe Psoriasis: A Post hoc Analysis of the SUPREME Study. Acta Derm. Venereol. 2021, 101, adv00422. [Google Scholar] [CrossRef]
- Komori, T.; Otsuka, A.; Honda, Y.; Kanameishi, S.; Honda, T.; Kabashima, K. Exacerbation of depression in a psoriatic arthritis patient possibly induced by secukinumab. Eur. J. Dermatol. 2016, 26, 506–507. [Google Scholar] [CrossRef]
- Griffiths, C.E.; Fava, M.; Miller, A.H.; Russell, J.; Ball, S.G.; Xu, W.; Acharya, N.; Rapaport, M.H. Impact of Ixekizumab Treatment on Depressive Symptoms and Systemic Inflammation in Patients with Moderate-to-Severe Psoriasis: An Integrated Analysis of Three Phase 3 Clinical Studies. Psychother. Psychosom. 2017, 86, 260–267. [Google Scholar] [CrossRef]
- Gordon, K.; Armstrong, A.; Han, C.; Foley, P.; Song, M.; Wasfi, Y.; You, Y.; Shen, Y.; Reich, K. Anxiety and depression in patients with moderate—to—severe psoriasis and comparison of change from baseline after treatment with guselkumab vs. adalimumab: Results from the Phase 3 VOYAGE 2 study. J. Eur. Acad. Dermatol. Venereol. 2018, 32, 1940–1949. [Google Scholar] [CrossRef]
- Augustin, M.; Lambert, J.; Zema, C.; Thompson, E.H.Z.; Yang, M.; Wu, E.Q.; Garcia-Horton, V.; Geng, Z.; Valdes, J.M.; Joshi, A.; et al. Effect of Risankizumab on Patient-Reported Outcomes in Moderate to Severe Psoriasis: The UltIMMa-1 and UltIMMa-2 Randomized Clinical Trials. JAMA Dermatol. 2020, 156, 1344–1353. [Google Scholar] [CrossRef]
- Menter, A.; Augustin, M.; Signorovitch, J.; Yu, A.P.; Wu, E.Q.; Gupta, S.R.; Bao, Y.; Mulani, P. The effect of adalimumab on reducing depression symptoms in patients with moderate to severe psoriasis: A randomized clinical trial. J. Am. Acad. Dermatol. 2010, 62, 812–818. [Google Scholar] [CrossRef]
- Tyring, S.; Gottlieb, A.; Papp, K.; Gordon, K.; Leonardi, C.; Wang, A.; Lalla, D.; Woolley, M.; Jahreis, A.; Zitnik, R.; et al. Etanercept and clinical outcomes, fatigue, and depression in psoriasis: Double-blind placebo-controlled randomised phase III trial. Lancet 2006, 367, 29–35. [Google Scholar] [CrossRef]
- Himmerich, H.; Patsalos, O.; Lichtblau, N.; Ibrahim, M.; Dalton, B. Cytokine Research in Depression: Principles, Challenges, and Open Questions. Front. Psychiatry 2019, 10, 30. [Google Scholar] [CrossRef]
- Noor, A.A.M.; Azlan, M.; Redzwan, N.M. Orchestrated Cytokines Mediated by Biologics in Psoriasis and Its Mechanisms of Action. Biomedicines 2022, 10, 498. [Google Scholar] [CrossRef]
- Kimball, A.B.; Jacobson, C.; Weiss, S.; Vreeland, M.G.; Wu, Y. The psychosocial burden of psoriasis. Am. J. Clin. Dermatol. 2005, 6, 383–392. [Google Scholar] [CrossRef]
- Rasmussen, M.; Enger, M.; Dahlborn, A.; Juvik, S.; Fagerhed, L.; Dodge, R.; Enerbäck, C. The Importance of Achieving Clear or Almost Clear Skin for Patients: Results from the Nordic Countries of the Global. Acta Derm. Venereol. 2019, 99, 158–163. [Google Scholar] [CrossRef]
- Galluzzo, M.; D’Adamio, S.; Massaro, A.; Piccolo, A.; Bianchi, L.; Talamonti, M. Spotlight on brodalumab in the treatment of plaque psoriasis: The evidence to date. Clin. Cosmet. Investig. Dermatol. 2019, 12, 311–321. [Google Scholar] [CrossRef]
- Mastorino, L.; Siliquini, N.; Avallone, G.; Zenone, M.; Ortoncelli, M.; Quaglino, P.; Dapavo, P.; Ribero, S. Guselkumab shows high efficacy and maintenance in the improvement of response until week 48, a real—Life study. Dermatol. Ther. 2022, 35, e15670. [Google Scholar] [CrossRef]
- Bitan, D.T.; Krieger, I.; Comaneshter, D.; Cohen, A.; Feingold, D. The association between the socioeconomic status and anxiety–depression comorbidity in patients with psoriasis: A nationwide population--based study. J. Eur. Acad. Dermatol. Venereol. 2019, 33, 1555–1561. [Google Scholar] [CrossRef] [PubMed]
- Kwan, Z.; Bong, Y.B.; Tan, L.L.; Lim, S.X.; Yong, A.S.W.; Ch’ng, C.C.; Tan, M.P.; Thevarajah, S.; Ismail, R. Socioeconomic and sociocultural determinants of psychological distress and quality of life among patients with psoriasis in a selected multi-ethnic Malaysian population. Psychol. Health Med. 2017, 22, 184–195. [Google Scholar] [CrossRef] [PubMed]
- Sănătății, M.; Agenția Națională A Medicamentului Și A Dispozitivelor Medicale Din România. Raport De Evaluare A Tehnologiilor Medicale DCI: Ixekizumabum. Indicația: Tratamentul Psoriazisului în Plăci Moderat Până la Sever la Adulți Care Sunt Can-didați Pentru Terapie Sistemică. Available online: https://www.anm.ro/_/EVALUARE%20TEHNOLOGII%20MEDICALE/MUTARI/5011_2021_Taltz_Ixekizumabum.pdf (accessed on 4 May 2023). (in Romanian).
- Sănătății, M.; Agenția Națională A Medicamentului Și A Dispozitivelor Medicale Din România. Raport De Evaluare A Tehnologiilor Medicale DCI: Risankizumabum. Indicația: Tratamentul Psoriazisului în Plăci Moderat Până la Sever la Adulți Care Sunt Candidați Pentru Terapie Sistemică. Available online: https://www.anm.ro/_/EVALUARE%20TEHNOLOGII%20MEDICALE/9113_2019_Skyrizi_Risankizumabum.pdf (accessed on 4 May 2023). (in Romanian).
- Kamiya, K.; Komine, M.; Ohtsuki, M. Biologics for Psoriasis during the COVID-19 Pandemic. J. Clin. Med. 2021, 10, 1390. [Google Scholar] [CrossRef] [PubMed]
- Megna, M.; Ruggiero, A.; Marasca, C.; Fabbrocini, G. Biologics for psoriasis patients in the COVID-19 era: More evidence, less fears. J. Dermatol. Treat. 2020, 31, 328–329. [Google Scholar] [CrossRef]
- Lebwohl, M.; Rivera-Oyola, R.; Murrell, D.F. Should biologics for psoriasis be interrupted in the era of COVID-19? J. Am. Acad. Dermatol. 2020, 82, 1217–1218. [Google Scholar] [CrossRef]
- Conforti, C.; Giuffrida, R.; Dianzani, C.; Di Meo, N.; Zalaudek, I. COVID-19 and psoriasis: Is it time to limit treatment with immuno-suppressants? A call for action. Derm. Ther. 2020, 33, e13298. [Google Scholar] [CrossRef]
- Torres, T.; Puig, L. Managing Cutaneous Immune-Mediated Diseases During the COVID-19 Pandemic. Am. J. Clin. Dermatol. 2020, 21, 307–311. [Google Scholar] [CrossRef]
- Kartha, L.B.; Chandrashekar, L.; Rajappa, M.; Menon, V.; Thappa, D.M.; Ananthanarayanan, P.H. Serum melatonin levels in psoriasis and associated depressive symptoms. Clin. Chem. Lab. Med. 2014, 52, e123–e125. [Google Scholar] [CrossRef]
- Lamb, R.; Matcham, F.; Turner, M.; Rayner, L.; Simpson, A.; Hotopf, M.; Barker, J.; Jackson, K.; Smith, C. Screening for anxiety and depression in people with psoriasis: A cross-sectional study in a tertiary referral setting. Br. J. Dermatol. 2017, 176, 1028–1034. [Google Scholar] [CrossRef]
- No, D.J.; Amin, M.; Bhutani, T.; Wu, J.J. A systematic review of active comparator controlled clinical trials in patients with moderate-to-severe psoriasis. J. Dermatol. Treat. 2018, 29, 467–474. [Google Scholar] [CrossRef]




| Score | Sex | Environment | Depression | Anxiety | Treatment |
|---|---|---|---|---|---|
| 0 | Male | Rural | Absent | Absent | Ixekizumab |
| 1 | Female | Urban | Minimal | Mild | Secukinumab |
| 2 | Mild | Moderate | Guselkumab | ||
| 3 | Moderate | Severe | Certolizumab | ||
| 4 | Moderate-Severe | Ustekinumab | |||
| 5 | Severe | Risankizumab | |||
| 6 | Adalimumab |
| Cases | (%) | Controls | (%) | ||
|---|---|---|---|---|---|
| Sex | Males | 66 | (62.3) | 61 | (57.5) |
| Females | 40 | (37.7) | 45 | (42.5) | |
| Age | Min | 19 | 18 | ||
| Max | 84 | 74 | |||
| Average | 49.5 | 43.9 | |||
| Background | Urban | 70 | (66) | 74 | (69.8) |
| Rural | 36 | (34) | 32 | (30.2) | |
| Depression | None | 36 | (34) | 72 | (67.9) |
| Minimal | 16 | (15.1) | 18 | (17) | |
| Mild | 32 | (30.2) | 13 | (12.3) | |
| Moderate | 17 | (16) | 2 | (1.9) | |
| Moderate-to-severe | 4 | (3.8) | 1 | (0.9) | |
| Severe | 1 | (0.9) | 0 | 0 | |
| Anxiety | None | 48 | (45.3) | 76 | (71.7) |
| Mild | 36 | (34) | 22 | (20.8) | |
| Moderate | 16 | (15) | 8 | (7.5) | |
| Severe | 6 | (5.7) | 0 | 0 |
| No. | (%) | ||
|---|---|---|---|
| Treatment | Ixekizumab | 37 | (34.91) |
| Secukinumab | 21 | (19.81) | |
| Guselkumab | 5 | (4.72) | |
| Certolizumab | 5 | (4.72) | |
| Ustekinumab | 7 | (6.6) | |
| Risankizumab | 16 | (15.09) | |
| Adalimumab | 15 | (14.15) | |
| Biologic agent class | IL-17 antagonist | 58 | (54.7) |
| IL-23 antagonist | 28 | (26.4) | |
| TNF-a inhibitor | 20 | (18.9) | |
| Depression (post treatment) | None | 63 | (59.43) |
| Minimal | 33 | (31.13) | |
| Mild | 8 | (7.55) | |
| Moderate | 2 | (1.89) | |
| Moderate-to-severe | 0 | 0 | |
| Severe | 0 | 0 | |
| Anxiety (post treatment) | None | 81 | (76.42) |
| Mild | 24 | (22.64) | |
| Moderate | 1 | (0.94) | |
| Severe | 0 | 0 |
| Age | PASI | DLQI | Depression | Anxiety | Depression at 6 mo. | Anxiety at 6 mo. | PASI at 6 mo. | DLQI at 6 mo. | |
|---|---|---|---|---|---|---|---|---|---|
| Mean | 49.5 | 22.4 | 20.7 | 1.4 | 0.8 | 0.5 | 0.3 | 2.3 | 1.2 |
| Std. Error of Mean | 1.4 | 0.4 | 0.5 | 0.1 | 0.1 | 0.1 | 0 | 0.2 | 0.2 |
| Median | 49 | 22 | 20 | 2 | 1 | 0 | 0 | 2 | 0 |
| Mode | 41 | 18 | 20 | 0 | 0 | 0 | 0 | 0 | 0 |
| Std. Deviation | 14.1 | 4 | 5.6 | 1.2 | 0.9 | 0.7 | 0.5 | 2.4 | 2.1 |
| Variance | 199.9 | 15.9 | 30.9 | 1.6 | 0.8 | 0.5 | 0.2 | 5.7 | 4.5 |
| Skewness | 0.1 | 0.2 | 0.1 | 0.4 | 0.9 | 1.3 | 1.5 | 0.5 | 1.7 |
| Std. Error of Skewness | 0.2 | 0.2 | 0.2 | 0.2 | 0.2 | 0.2 | 0.2 | 0.2 | 0.2 |
| Kurtosis | −0.7 | −0.5 | −0.9 | −0.8 | −0.1 | 1.4 | 1.1 | −1.1 | |
| Std. Error of Kurtosis | 0.5 | 0.5 | 0.5 | 0.5 | 0.5 | 0.5 | 0.5 | 0.5 | 0.5 |
| Range | 65 | 20 | 20 | 5 | 3 | 3 | 2 | 8 | 9 |
| Minimum | 19 | 13 | 10 | 0 | 0 | 0 | 0 | 0 | 0 |
| Maximum | 84 | 33 | 30 | 5 | 3 | 3 | 2 | 8 | 9 |
| Mean | SD | Std. Error Mean | 95% CI of the Difference | t | Sig. (2-Tailed) | ||
|---|---|---|---|---|---|---|---|
| Upper | Lower | ||||||
| PASI difference | 20.1 | 3.8 | 0.4 | 19.3 | 20.8 | 54.2 | p < 0.0001 |
| DLQI difference | 19.5 | 4.8 | 0.5 | 18.6 | 20.4 | 42.3 | p < 0.0001 |
| Depression score difference | 0.9 | 0.9 | 0.1 | 0.7 | 1.1 | 10.2 | p < 0.0001 |
| Anxiety score difference | 0.6 | 0.7 | 0.1 | 0.4 | 0.7 | 8.6 | p < 0.0001 |
Disclaimer/Publisher’s Note: The statements, opinions and data contained in all publications are solely those of the individual author(s) and contributor(s) and not of MDPI and/or the editor(s). MDPI and/or the editor(s) disclaim responsibility for any injury to people or property resulting from any ideas, methods, instructions or products referred to in the content. |
© 2023 by the authors. Licensee MDPI, Basel, Switzerland. This article is an open access article distributed under the terms and conditions of the Creative Commons Attribution (CC BY) license (https://creativecommons.org/licenses/by/4.0/).
Share and Cite
Timis, T.-L.; Beni, L.; Mocan, T.; Florian, I.-A.; Orasan, R.-I. Biologic Therapies Decrease Disease Severity and Improve Depression and Anxiety Symptoms in Psoriasis Patients. Life 2023, 13, 1219. https://doi.org/10.3390/life13051219
Timis T-L, Beni L, Mocan T, Florian I-A, Orasan R-I. Biologic Therapies Decrease Disease Severity and Improve Depression and Anxiety Symptoms in Psoriasis Patients. Life. 2023; 13(5):1219. https://doi.org/10.3390/life13051219
Chicago/Turabian StyleTimis, Teodora-Larisa, Lehel Beni, Teodora Mocan, Ioan-Alexandru Florian, and Remus-Ioan Orasan. 2023. "Biologic Therapies Decrease Disease Severity and Improve Depression and Anxiety Symptoms in Psoriasis Patients" Life 13, no. 5: 1219. https://doi.org/10.3390/life13051219
APA StyleTimis, T.-L., Beni, L., Mocan, T., Florian, I.-A., & Orasan, R.-I. (2023). Biologic Therapies Decrease Disease Severity and Improve Depression and Anxiety Symptoms in Psoriasis Patients. Life, 13(5), 1219. https://doi.org/10.3390/life13051219

