Indexing Resilience to Heat and Drought Stress in the Wild Relatives of Rapeseed-Mustard
Abstract
Simple Summary
Abstract
1. Introduction
2. Materials and Methods
2.1. Experimental Material
2.2. Stress Treatments
2.2.1. Seed Germination Treatment
- Heat stress: Thirty seeds of each genotype were placed in Petri dishes (9 cm diameter) with a germinating sheet that was saturated with distilled water. The petri dishes were kept in a growth chamber and the heat treatment was given, with modifications to the previously described protocol [17]. In a light period of the 16/8 h light/dark cycle, seeds were exposed to a gradual elevation of temperature from 25 °C to 42 °C (Relative humidity ̴ 45–50%). After the exposure of heat for 4 h at 42 °C, the temperature was gradually decreased to 25 °C (Relative humidity 70%) and the complete cycle was repeated for 5 days. Along with the treatment, a control experiment was carried out with optimum temperature 25 °C ± 2 °C (Relative humidity 70%) with a 16/8 h light/dark cycle.
- PEG-mediated drought stress: Seed germination was conducted with the same method as a previously described protocol, with modifications [19]. Thirty seeds of each genotype were placed in Petri dishes (9 cm diameter) with a germinating sheet that was saturated with three different concentrations (w/v) of PEG6000 (Thomas Baker, India), i.e., 2.5%, 5%, 10% and distilled water (control). All the Petri dishes were kept in a growth chamber set at 25 °C ± 2 °C initially in the dark for 2 days and subsequently kept under a 16/8 h light/dark cycle for the next 3 days of the treatment. Days to germination, germination percentage and data for root length and shoot length were recorded for the analysis in a replicated manner.
| S. No. | Genotypes | Chr No. (n) [20] | Native | S. No. | Species/Genotypes | Chr No. (n) [20] | Native |
|---|---|---|---|---|---|---|---|
| 1 | Biscutella didyma | - | Distributed over Mediterranean basin, central Europe, and southwest Asia [21] | 18 | Lepidium sativum | - | Temperate and sub-tropical regions [22] |
| 2 | Brassica fruticulosa | 8 | Europe [20] | 19 | Sinapis alba | 12 | Native of the Mediterranean and the Near East [23] |
| 3 | Brassica fruticulosa (Spain) | 8 | 20 | Crambe abyssinica (EC400058) | 45 | Distributed mainly in the Mediterranean, Euro-Siberian regions and northeast Africa [24] | |
| 4 | Brassica tournefortii (RBT2002) | 10 | Native to arid and semi-arid regions of nothern Africa, Mediterranean areas of southern Europe and Middle-East [25] | 21 | Crambe abyssinica (EC694145) | 45 | |
| 5 | Brassica tournefortii (RBT2003) | 10 | 22 | Eruca sativa (IC57706) | 11 | Distributed in Europe and Western Asia. Originated from the Mediterranean region [26] | |
| 6 | Camelina sativa | 20 | Originated from SE Europe and southwest Asia [27] | 23 | Eruca sativa (IC62713) | 11 | |
| 7 | Capsella bursa-pastoris (early) | 16 | Africa, Temperate and Tropical Asia and Europe [28] | 24 | Oxycamp (Synthetic amphidiploid of B. oxyrrhina and B. rapa) | - | Resynthesised at ICAR-NIPB, New Delhi |
| 8 | Capsella bursa-pastoris (late) | 16 | |||||
| 9 | Diplotaxis assurgens | 9 | Distributed in central Europe and Mediterranean region, mostly in nothernwest Africa [29] | 25 | Brassica tournefortii (Rawa) | 10 | Native to arid and semi-arid regions of nothern Africa, Mediterranean areas of southern Europe and Middle-East [25] |
| 10 | Diplotaxis catholica | 9 | U Triangle species | ||||
| 11 | Diplotaxis cretacia | - | |||||
| 12 | Diplotaxis erucoides | 7 | 26 | Brassica rapa var. yellow sarson (IC374272) | 10 | Mediterranean center with a secondary center in the Near East [30] | |
| 13 | Diplotaxis gomez-campoi | - | |||||
| 14 | Diplotaxis muralis | 21 | 27 | B. juncea (Pusa Jaikisan) | 18 | Asiatic origin with its center of major diversity in China [23] | |
| 15 | Diplotaxis tenuisilique | 9 | 28 | B. nigra (EC472708) | 8 | Widespread in central and southern Europe. Belongs to a Mediterranean center with a secondary center in the Near East [23] | |
| 16 | Diplotaxis viminea | 10 | 29 | B. napus(GSC 6) | 19 | Formed on the coast of northern Europe, Mediterranean region [30] | |
| 17 | Enarthrocarpus lyratus | 10 | - | 30 | B. carinata (PC-6) | 17 | Restricted to Ethiopia and neighboring territories [23] |
2.2.2. Seedling Treatments
- Heat stress: The seeds were sown in pots (6.5 cm in height and 7.5 cm in diameter) filled with homogenized field soil and allowed to germinate at the optimum temperature of 25 °C ± 2 °C under a 16/8 h light/dark cycle for 10 days in the plant growth chamber. Ten-day-old seedlings were exposed to heat treatment for 5 days, as described above and in previous protocol [17]. Data were recorded before and after the treatments, and the samples for biochemical analysis were collected in a replicated manner.
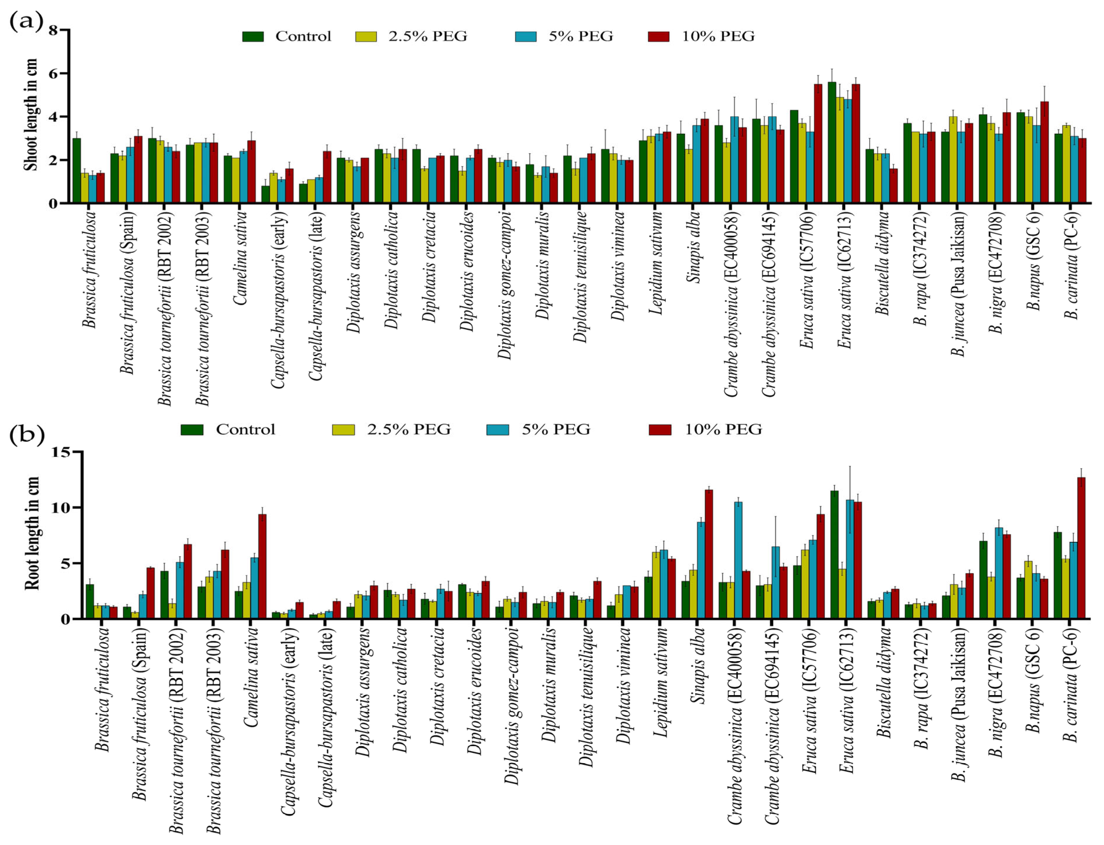
- PEG-mediated drought stress: The seeds were rolled in the germinating sheets, sized according to the depth of the germinating tray and were allowed to germinate for 10 days in a growth chamber set at an optimum temperature of 25 °C ± 2 °C under a 16/8 h light/dark cycle with a continuous distilled water supply from the bottom of the tray. A 5-day treatment was given to seedlings by replacing the distilled water of each tray with the PEG6000 (Thomas Baker, India) solution so that each tray had a different concentration (w/v) of PEG, i.e., 2.5%, 5% and 10%. A control experiment was maintained further for the next 5 days at the optimum temperature and supplied with distilled water. Data were recorded in a replicated manner, and the samples for the biochemical analysis were collected.
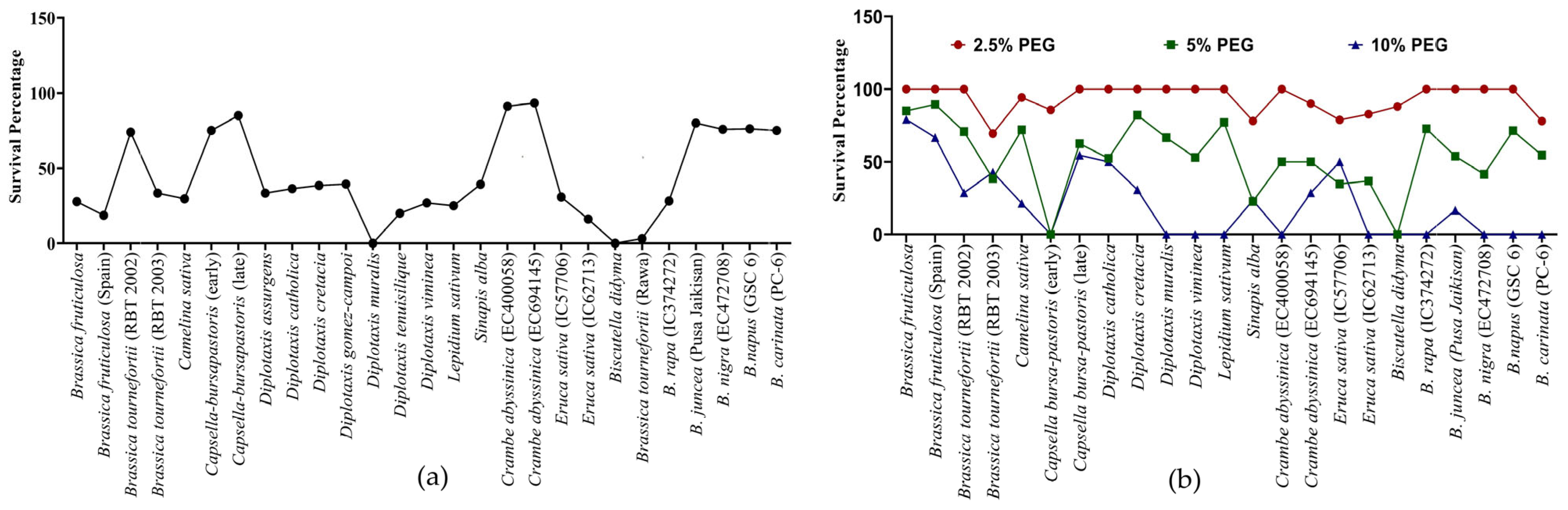
2.3. Germination and Survival Rate
2.4. Biochemical Assays
2.4.1. Lipid Peroxidation: Malondialdehyde (MDA) Content Analysis
2.4.2. Proline Content
2.5. Estimation of Tolerance Index (TI) and Membership Function Value (MFV)
2.6. Statistical Analysis
3. Results
3.1. Stress Resilience of the Genotypes in Seed Germination and Survivability
3.2. Effect of the Stresses on Shoot and Root Length
3.3. Biochemical Assessment of Stress Response under Heat and Drought Stress at Early Seedling Stage: Lipid Peroxidation (MDA) and Proline Assays
3.4. Identification of Tolerant Genotypes Based on Correlation, PCA, Tolerance Index (TI) and Membership Function Value (MFV)
4. Discussion
5. Conclusions
Supplementary Materials
Author Contributions
Funding
Data Availability Statement
Acknowledgments
Conflicts of Interest
References
- Home—The Plant List. Theplantlist.org. Available online: http://www.theplantlist.org/ (accessed on 5 January 2023).
- Warwick, S.I. Brassicaceae in Agriculture. In Genetics and Genomics of the Brassicaceae; Springer: New York, NY, USA, 2011; pp. 33–65. [Google Scholar]
- Nagaharu, U.J.J.J.B.; Nagaharu, N. Genome Analysis in Brassica with Special Reference to the Experimental Formation of B. Napus and Peculiar Mode of Fertilization. Jpn. J. Bota 1935, 7, 389–452. [Google Scholar]
- Mohd Saad, N.S.; Severn-Ellis, A.A.; Pradhan, A.; Edwards, D.; Batley, J. Genomics Armed with Diversity Leads the Way in Brassica Improvement in a Changing Global Environment. Front. Genet. 2021, 12, 600789. [Google Scholar] [CrossRef] [PubMed]
- Shekhawat, K.; Rathore, S.S.; Premi, O.P.; Kandpal, B.K.; Chauhan, J.S. Advances in Agronomic Management of Indian Mustard (Brassica juncea (L.) Czernj. Cosson): An Overview. Int. J. Agron. 2012, 2012, 408284. [Google Scholar] [CrossRef]
- Singh, D.; Balota, M.; Collakova, E.; Isleib, T.G.; Welbaum, G.E.; Tallury, S.P. Heat Stress Related Physiological and Metabolic Traits in Peanut Seedlings. Peanut Sci. 2016, 43, 24–35. [Google Scholar] [CrossRef]
- Lobell, D.B.; Gourdji, S.M. The Influence of Climate Change on Global Crop Productivity. Plant Physiol. 2012, 160, 1686–1697. [Google Scholar] [CrossRef]
- Elferjani, R.; Soolanayakanahally, R. Canola Responses to Drought, Heat, and Combined Stress: Shared and Specific Effects on Carbon Assimilation, Seed Yield, and Oil Composition. Front. Plant Sci. 2018, 9, 1224. [Google Scholar] [CrossRef]
- Zhang, X.; Lu, G.; Long, W.; Zou, X.; Li, F.; Nishio, T. Recent Progress in Drought and Salt Tolerance Studies in Brassica Crops. Breed. Sci. 2014, 64, 60–73. [Google Scholar] [CrossRef]
- Hasanuzzaman, M.; Nahar, K.; Khan, M.I.R.; Al Mahmud, J.; Alam, M.M.; Fujita, M. Regulation of Reactive Oxygen Species Metabolism and Glyoxalase Systems by Exogenous Osmolytes Confers Thermotolerance in Brassica napus. Gesunde Pflanz. 2020, 72, 3–16. [Google Scholar] [CrossRef]
- Raza, A.; Razzaq, A.; Mehmood, S.S.; Zou, X.; Zhang, X.; Lv, Y.; Xu, J. Impact of Climate Change on Crops Adaptation and Strategies to Tackle Its Outcome: A Review. Plants 2019, 8, 34. [Google Scholar] [CrossRef]
- Anjum, S.A.; Tanveer, M.; Ashraf, U.; Hussain, S.; Shahzad, B.; Khan, I.; Wang, L. Effect of Progressive Drought Stress on Growth, Leaf Gas Exchange, and Antioxidant Production in Two Maize Cultivars. Environ. Sci. Pollut. Res. Int. 2016, 23, 17132–17141. [Google Scholar] [CrossRef]
- Singh, D.; Singh, C.K.; Kumari, S.; Singh Tomar, R.S.; Karwa, S.; Singh, R.; Singh, R.B.; Sarkar, S.K.; Pal, M. Discerning Morpho-Anatomical, Physiological and Molecular Multiformity in Cultivated and Wild Genotypes of Lentil with Reconciliation to Salinity Stress. PLoS ONE 2017, 12, e0177465. [Google Scholar] [CrossRef]
- Dempewolf, H.; Baute, G.; Anderson, J.; Kilian, B.; Smith, C.; Guarino, L. Past and Future Use of Wild Relatives in Crop Breeding. Crop Sci. 2017, 57, 1070–1082. [Google Scholar] [CrossRef]
- Quezada-Martinez, D.; Addo Nyarko, C.P.; Schiessl, S.V.; Mason, A.S. Using Wild Relatives and Related Species to Build Climate Resilience in Brassica Crops. Züchter Genet. Breed. Res. 2021, 134, 1711–1728. [Google Scholar] [CrossRef]
- Warschefsky, E.; Penmetsa, R.V.; Cook, D.R.; von Wettberg, E.J.B. Back to the Wilds: Tapping Evolutionary Adaptations for Resilient Crops through Systematic Hybridization with Crop Wild Relatives. Am. J. Bot. 2014, 101, 1791–1800. [Google Scholar] [CrossRef]
- Rai, A.N.; Saini, N.; Yadav, R.; Suprasanna, P. A Potential Seedling-Stage Evaluation Method for Heat Tolerance in Indian Mustard (Brassica juncea L. Czern and Coss). 3 Biotech 2020, 10, 114. [Google Scholar] [CrossRef]
- Bhuiyan, T.F.; Ahamed, K.U.; Nahar, K.; Al Mahmud, J.; Bhuyan, M.B.; Anee, T.I.; Fujita, M.; Hasanuzzaman, M. Mitigation of PEG-Induced Drought Stress in Rapeseed (Brassica rapa L.) by Exogenous Application of Osmolytes. Biocatal. Agric. Biotechnol. 2019, 20, 101197. [Google Scholar] [CrossRef]
- Begum, N.; Hasanuzzaman, M.; Li, Y.; Akhtar, K.; Zhang, C.; Zhao, T. Seed Germination Behavior, Growth, Physiology and Antioxidant Metabolism of Four Contrasting Cultivars under Combined Drought and Salinity in Soybean. Antioxidants 2022, 11, 498. [Google Scholar] [CrossRef]
- Prakash, S.; Bhat, S.R.; Quiros, C.F.; Kirti, P.B.; Chopra, V.L. Brassica and Its Close Allies: Cytogenetics and Evolution. In Plant Breeding Reviews; John Wiley & Sons, Inc.: Hoboken, NJ, USA, 2009; pp. 21–187. [Google Scholar]
- Alonso, M.Á.; Vicente, A.; Crespo, M.B. Diversification of Biscutella Ser. Biscutella (Brassicaceae) Followed Post-Miocene Geologic and Climatic Changes in the Mediterranean Basin. Mol. Phylogenet. Evol. 2020, 142, 106644. [Google Scholar] [CrossRef]
- Mummenhoff, K.; Brüggemann, H.; Bowman, J.L. Chloroplast DNA Phylogeny and Biogeography of Lepidium (Brassicaceae). Am. J. Bot. 2001, 88, 2051–2063. [Google Scholar] [CrossRef]
- Vaughan, J.G. A Multidisciplinary Study of the Taxonomy and Origin of “Brassica” Crops. Bioscience 1977, 27, 35–40. [Google Scholar] [CrossRef]
- Leppik, E.E.; White, G.A. Preliminary Assessment of Crambe Germplasm Resources. Euphytica 1975, 24, 681–689. [Google Scholar] [CrossRef]
- Trader, M.R.; Brooks, M.L.; Draper, J.V. Seed Production by the Non-Native Brassica tournefortii (Sahara Mustard) along Desert Roadsides. Madrono 2006, 53, 313–320. [Google Scholar] [CrossRef]
- Zhu, B.; Qian, F.; Hou, Y.; Yang, W.; Cai, M.; Wu, X. Complete Chloroplast Genome Features and Phylogenetic Analysis of Eruca sativa (Brassicaceae). PLoS ONE 2021, 16, e0248556. [Google Scholar] [CrossRef] [PubMed]
- Luo, Z.; Brock, J.; Dyer, J.M.; Kutchan, T.; Schachtman, D.; Augustin, M.; Ge, Y.; Fahlgren, N.; Abdel-Haleem, H. Genetic Diversity and Population Structure of a Camelina sativa Spring Panel. Front. Plant Sci. 2019, 10, 184. [Google Scholar] [CrossRef] [PubMed]
- Capsella bursa-pastoris (L.) Medik. GRIN-Global. Available online: http://npgsweb.arsgrin.gov/gringlobal/taxon/taxonomydetail?id=105461 (accessed on 30 January 2023).
- Eschmann-Grupe, G.; Hurka, H.; Neuffer, B. Species Relationships within Diplotaxis (Brassicaceae) and the Phylogenetic Origin of D. muralis. Plant Syst. Evol. 2003, 243, 13–29. [Google Scholar] [CrossRef]
- Rakow, G. Species Origin and Economic Importance of Brassica. In Brassica; Springer: Berlin/Heidelberg, Germany, 2004; pp. 3–11. [Google Scholar]
- Heath, R.L.; Packer, L. Photoperoxidation in Isolated Chloroplasts. I. Kinetics and Stoichiometry of Fatty Acid Peroxidation. Arch. Biochem. Biophys. 1968, 125, 189–198. [Google Scholar] [CrossRef]
- Bates, L.S.; Waldren, R.P.; Teare, I.D. Rapid Determination of Free Proline for Water-Stress Studies. Plant Soil 1973, 39, 205–207. [Google Scholar] [CrossRef]
- Chen, X.; Min, D.; Yasir, T.A.; Hu, Y.-G. Evaluation of 14 Morphological, Yield-Related and Physiological Traits as Indicators of Drought Tolerance in Chinese Winter Bread Wheat Revealed by Analysis of the Membership Function Value of Drought Tolerance (MFVD). Field Crops Res. 2012, 137, 195–201. [Google Scholar] [CrossRef]
- Liu, Y.; Li, P.; Xu, G.C.; Xiao, L.; Ren, Z.P.; Li, Z.B. Growth, Morphological, and Physiological Responses to Drought Stress in Bothriochloa ischaemum. Front. Plant Sci. 2017, 8, 230. [Google Scholar] [CrossRef]
- Guo, R.; Wang, X.; Han, X.; Li, W.; Liu, T.; Chen, B.; Chen, X.; Wang-Pruski, G. Comparative Transcriptome Analyses Revealed Different Heat Stress Responses in High- and Low-GS Brassica Alboglabra Sprouts. BMC Genom. 2019, 20, 269. [Google Scholar] [CrossRef]
- Kashyap, A.; Garg, P.; Tanwar, K.; Sharma, J.; Gupta, N.C.; Ha, P.T.T.; Bhattacharya, R.C.; Mason, A.S.; Rao, M. Strategies for Utilization of Crop Wild Relatives in Plant Breeding Programs. Züchter Genet. Breed. Res. 2022, 135, 4151–4167. [Google Scholar] [CrossRef]
- Saxena, M.C.; Saxena, N.P.; Mohamed, A.K. High Temperature Stress. In World Crops: Cool Season Food Legumes; Springer: Dordrecht, The Netherlands, 1988; pp. 845–856. [Google Scholar]
- Chen, S.; Stefanova, K.; Siddique, K.H.M.; Cowling, W.A. Transient Daily Heat Stress during the Early Reproductive Phase Disrupts Pod and Seed Development in Brassica napus L. Food Energy Secur. 2021, 10, e262. [Google Scholar] [CrossRef]
- Motsa, M.M.; Slabbert, M.M.; van Averbeke, W.; Morey, L. Effect of Light and Temperature on Seed Germination of Selected African Leafy Vegetables. S. Afr. J. Bot. 2015, 99, 29–35. [Google Scholar] [CrossRef]
- Cheng, L.; Zou, Y.; Ding, S.; Zhang, J.; Yu, X.; Cao, J.; Lu, G. Polyamine Accumulation in Transgenic Tomato Enhances the Tolerance to High Temperature Stress. J. Integr. Plant Biol. 2009, 51, 489–499. [Google Scholar] [CrossRef]
- Tan, M.; Liao, F.; Hou, L.; Wang, J.; Wei, L.; Jian, H.; Xu, X.; Li, J.; Liu, L. Genome-Wide Association Analysis of Seed Germination Percentage and Germination Index in Brassica napus L. under Salt and Drought Stresses. Euphytica 2017, 213. [Google Scholar] [CrossRef]
- Heckathorn, S.A.; Giri, A.; Mishra, S.; Bista, D. Heat Stress and Roots. In Climate Change and Plant Abiotic Stress Tolerance; Wiley-VCH Verlag GmbH & Co. KGaA: Weinheim, Germany, 2013; pp. 109–136. [Google Scholar]
- Singh, I.; Shono, M. Physiological and Molecular Effects of 24-Epibrassinolide, a Brassinosteroid on Thermotolerance of Tomato. Plant Growth Regul. 2005, 47, 111–119. [Google Scholar] [CrossRef]
- Cavusoglu, K.; Kabar, K. Comparative Effects of Some Plant Growth Regulators on the Germination of Barley and Radish Seeds under High Temperature Stress. EurAsian J. BioSci. 2007, 1, 1. [Google Scholar]
- Rashid, M.; Hampton, J.G.; Shaw, M.L.; Rolston, M.P.; Khan, K.M.; Saville, D.J. Oxidative Damage in Forage Rape (Brassica napus L.) Seeds Following Heat Stress during Seed Development. J. Agron. Crop Sci. 2020, 206, 101–117. [Google Scholar] [CrossRef]
- Wang, L.; Ma, H.; Song, L.; Shu, Y.; Gu, W. Comparative Proteomics Analysis Reveals the Mechanism of Pre-Harvest Seed Deterioration of Soybean under High Temperature and Humidity Stress. J. Proteom. 2012, 75, 2109–2127. [Google Scholar] [CrossRef]
- Khan, A.; Anwar, Y.; Hasan, M.M.; Iqbal, A.; Ali, M.; Alharby, H.F.; Hakeem, K.R.; Hasanuzzaman, M. Attenuation of Drought Stress in Brassica Seedlings with Exogenous Application of Ca2+ and H2O2. Plants 2017, 6, 20. [Google Scholar] [CrossRef]
- Batool, M.; El-Badri, A.M.; Wang, Z.; Mohamed, I.A.A.; Yang, H.; Ai, X.; Salah, A.; Hassan, M.U.; Sami, R.; Kuai, J.; et al. Rapeseed Morpho-Physio-Biochemical Responses to Drought Stress Induced by PEG-6000. Agronomy 2022, 12, 579. [Google Scholar] [CrossRef]
- Majid, K.; Roza, G. Effects of Water and Salt Stresses on Germination and Seedling Growth in Two Durum Wheat (Triticum durum Desf.) Genotypes. Sci. Res. Essays 2011, 6, 4597–4603. [Google Scholar] [CrossRef]
- Bahrami, H.; Razmjoo, J.; Jafari, A.O. Effect of Drought Stress on Germination and Seedling Growth of Sesame Cultivars (Sesamum indicum L.). Int. J. AgriSci. 2012, 2, 423–428. [Google Scholar]
- Gill, P.K.; Sharma, A.D.; Singh, P.; Bhullar, S.S. Changes in Germination, Growth and Soluble Sugar Contents of Sorghum bicolor (L.) Moench Seeds under Various Abiotic Stresses. Plant Growth Regul. 2003, 40, 157–162. [Google Scholar] [CrossRef]
- Wu, Z.; Chang, P.; Zhao, J.; Li, D.; Wang, W.; Cui, X.; Li, M. Physiological and Transcriptional Responses of Seed Germination to Moderate Drought in Apocynum venetum. Front. Ecol. Evol. 2022, 10. [Google Scholar] [CrossRef]
- Cristaudo, A.; Gresta, F.; Luciani, F.; Restuccia, A. Effects of After-Harvest Period and Environmental Factors on Seed Dormancy of Amaranthus Species. Weed Res. 2007, 47, 327–334. [Google Scholar] [CrossRef]
- Saeidnejad, A.H.; Kafi, M.; Pessarakli, M. Evaluation of Cardinal Temperatures and Germination Responses of Four Ecotypes of Bunium persicum under Different Thermal Conditions. Int. J. Agric. Sci. 2012, 4, 1266–1271. [Google Scholar]
- Zraibi, L.; Nabloussi, A.; Kajeiou, M.; Elamrani, A.; Khalid, A.; Caid, H.S. Comparative Germination and Seedling Growth Response to Drought and Salt Stresses in a Set of Safflower (Carthamus tinctorius) Varieties. Seed Technol. 2011, 33, 40–52. [Google Scholar]
- Harfi, M.E.; Hanine, H.; Rizki, H.; Latrache, H.; Nabloussi, A. Effect of Drought and Salt Stresses on Germination and Early Seedling Growth of Different Color-Seeds of Sesame (Sesamum indicum). Int. J. Agric. Biol. 2016, 18, 1088–1094. [Google Scholar] [CrossRef]
- Channaoui, S.; El Idrissi, I.S.; Mazouz, H.; Nabloussi, A. Reaction of Some Rapeseed (Brassica napus L.) Genotypes to Different Drought Stress Levels during Germination and Seedling Growth Stages. OCL 2019, 26, 23. [Google Scholar] [CrossRef]
- Kage, H.; Kochler, M.; Stützel, H. Root Growth and Dry Matter Partitioning of Cauliflower under Drought Stress Conditions: Measurement and Simulation. Eur. J. Agron. 2004, 20, 379–394. [Google Scholar] [CrossRef]
- Mehanna, H.M.; Hussein, M.M.; Gaballah, M.S. Drought Alleviation Using Glutathione in Canola Plants. Int. J. Adv. Res. 2013, 2, 679–685. [Google Scholar]
- Batool, M.; El-Badri, A.M.; Hassan, M.U.; Haiyun, Y.; Chunyun, W.; Zhenkun, Y.; Jie, K.; Wang, B.; Zhou, G. Drought Stress in Brassica napus: Effects, Tolerance Mechanisms, and Management Strategies. J. Plant Growth Regul. 2022, 42, 21–45. [Google Scholar] [CrossRef]
- Qu, X.-X.; Huang, Z.-Y.; Baskin, J.M.; Baskin, C.C. Effect of Temperature, Light and Salinity on Seed Germination and Radicle Growth of the Geographically Widespread Halophyte Shrub Halocnemum strobilaceum. Ann. Bot. 2008, 101, 293–299. [Google Scholar] [CrossRef]
- Kumar, S.; Beena, A.S.; Awana, M.; Singh, A. Physiological, Biochemical, Epigenetic and Molecular Analyses of Wheat (Triticum aestivum) Genotypes with Contrasting Salt Tolerance. Front. Plant Sci. 2017, 8, 1151. [Google Scholar] [CrossRef]
- Mirzaee, M.; Moieni, A.; Ghanati, F. Effects of Drought Stress on the Lipid Peroxidation and Antioxidant Enzyme Activities in Two Canola (Brassica napus L.) Cultivars. J. Agric. Sci. Technol. 2013, 15, 593–602. [Google Scholar]
- Martínez-Vilalta, J.; Sala, A.; Asensio, D.; Galiano, L.; Hoch, G.; Palacio, S.; Piper, F.I.; Lloret, F. Dynamics of Non-Structural Carbohydrates in Terrestrial Plants: A Global Synthesis. Ecol. Monogr. 2016, 86, 495–516. [Google Scholar] [CrossRef]
- Zadeh, L.A. Fuzzy Sets. Inf. Control 1965, 8, 338–353. [Google Scholar] [CrossRef]








| S.No. | Genotype | Control | PEG 2.50% | FC | Control | PEG 5% | Control | PEG 10% | FC * | |
|---|---|---|---|---|---|---|---|---|---|---|
| 1 | Brassica fruticulosa | 0.13 ± 0.008 N | 0.243 ± 0.001 O | 1.8 | 0.135 ± 0 EFG | 0.629 ± 0.001 J | 4.7 | 0.067 ± 0 S | 0.506 ± 0 M | 7.5 |
| 2 | Brassica fruticulosa (Spain) | 0.22 ± 0.012 K | 0.745 ± 0.001 G | 3.3 | 0.092 ± 0 IHFG | 0.138 ± 0.001 O | 1.5 | 0.077 ± 0 Q | 0.779 ± 0.001 I | 10.1 |
| 3 | Brassica tournefortii (RBT 2002) | 0.524 ± 0.012 E | 0.815 ± 0.001 E | 1.6 | 0.311 ± 0 CB | 0.702 ± 0.001 I | 2.3 | 0.104 ± 0 K | 1.073 ± 0.001 F | 10.3 |
| 4 | Brassica tournefortii (RBT 2003) | 0.515 ± 0.001 F | 0.576 ± 0.001 K | 1.1 | 0.116 ± 0 EHFG | 0.165 ± 0.001 N | 1.4 | 0.105 ± 0.001 K | 1.137 ± 0.001 D | 10.8 |
| 5 | Camelina sativa | 0.15 ± 0.001 M | 0.415 ± 0.002 M | 2.8 | 0.143 ± 0 EFG | 0.849 ± 0.002 H | 5.9 | 0.127 ± 0 J | 1.259 ± 0 B | 9.9 |
| 6 | Capsella bursa-pastoris (early) | 0.091 ± 0 O | 0.117 ± 0.002 P | 1.3 | 0.158 ± 0.001 EFG | 0.534 ± 0.001 K | 3.4 | 0.098 ± 0.001 L | 0.206 ± 0.001 U | 2.1 |
| 7 | Capsella bursa-pastoris (late) | 0.051 ± 0.001 Q | 0.099 ± 0.001 P | 1.9 | 0.123 ± 0 EHFG | 0.209 ± 0.001 M | 1.7 | 0.078 ± 0.001 Q | 0.508 ± 0.001 M | 6.5 |
| 8 | Diplotaxis catholica | 0.142 ± 0.001 M | 0.308 ± 0.001 N | 2.2 | 0.038 ± 0 I | 0.165 ± 0.001 N | 4.3 | 0.09 ± 0.001 N | 0.241 ± 0.002 S | 2.7 |
| 9 | Diplotaxis cretacia | 0.059 ± 0.001 QP | 0.106 ± 0.001 P | 1.8 | 0.091 ± 0 IHFG | 0.135 ± 0.002 O | 1.5 | 0.098 ± 0.001 L | 0.213 ± 0.001 T | 2.2 |
| 10 | Diplotaxis muralis | 0.063 ± 0.001 P | 0.593 ± 0.037 KJ | 9.4 | 0.166 ± 0.181 EF | 1.629 ± 0 A | 9.8 | 0.093 ± 0.001 M | 0.457 ± 0.001 O | 4.9 |
| 11 | Diplotaxis viminea | 0.098 ± 0.001 O | 0.111 ± 0.001 P | 1.1 | 0.058 ± 0 IH | 0.064 ± 0.001 P | 1.1 | 0.037 ± 0.001 T | 0.068 ± 0.001 V | 1.8 |
| 12 | Lepidium sativum | 0.175 ± 0.001 L | 0.414 ± 0.001 M | 2.4 | 0.265 ± 0.001 CB | 1.02 ± 0.001 F | 3.8 | 0.187 ± 0 G | 0.72 ± 0.001 K | 3.9 |
| 13 | Sinapis alba | 0.592 ± 0.001 C | 0.6 ± 0.001 J | 1.0 | 0.124 ± 0 EHFG | 0.628 ± 0.029 J | 5.1 | 0.813 ± 0 B | 0.961 ± 0.001 G | 1.2 |
| 14 | Crambe abyssinica(EC400058) | 0.276 ± 0.001 I | 0.693 ± 0.034 H | 2.5 | 0.767 ± 0.001 A | 1.642 ± 0.028 A | 2.1 | 0.072 ± 0 R | 0.723 ± 0.001 J | 10.0 |
| 15 | Crambe abyssinica (EC694145) | 0.236 ± 0.001 J | 0.254 ± 0.001 O | 1.1 | 0.082 ± 0.001 IHG | 1.46 ± 0.001 C | 17.8 | 0.337 ± 0.001 E | 0.396 ± 0 Q | 1.2 |
| 16 | Eruca sativa (IC57706) | 0.378 ± 0.002 H | 0.669 ± 0.001 I | 1.8 | 0.243 ± 0.001 CD | 1.105 ± 0 E | 4.5 | 0.166 ± 0.001 H | 0.312 ± 0.001 R | 1.9 |
| 17 | Eruca sativa (IC62713)-3 | 0.277 ± 0.002 I | 0.523 ± 0.002 L | 1.9 | 0.129 ± 0.001 EHFG | 0.967 ± 0.002 G | 7.5 | 0.082 ± 0.001 P | 0.445 ± 0.002 P | 5.5 |
| 18 | Biscutella didyma | 0.439 ± 0.001 G | 0.588 ± 0.001 KJ | 1.3 | 0.107 ± 0 IEHFG | 0.135 ± 0.001 O | 1.3 | 0.086 ± 0.001 O | 0.481 ± 0.002 N | 5.6 |
| 19 | B. rapa (IC374272) | 0.229 ± 0.001 KJ | 0.774 ± 0.001 F | 3.4 | 0.179 ± 0.001 ED | 0.512 ± 0.001 L | 2.9 | 0.19 ± 0 F | 0.563 ± 0.001 L | 3.0 |
| 20 | B. juncea (Pusa Jaikisan) | 0.582 ± 0.001 D | 0.864 ± 0.001 D | 1.5 | 0.119 ± 0 EHFG | 1.582 ± 0.019 B | 13.3 | 1.241 ± 0 A | 1.078 ± 0.001 E | 0.9 |
| 21 | B. nigra (EC472708) | 0.665 ± 0.001 A | 1.018 ± 0.001 B | 1.5 | 0.329 ± 0 B | 1.573 ± 0.001 B | 4.8 | 0.465 ± 0 D | 1.382 ± 0.001 A | 3.0 |
| 22 | B. napus (GSC 6) | 0.612 ± 0.001 B | 0.89 ± 0.001 C | 1.5 | 0.138 ± 0 EFG | 1.097 ± 0.001 E | 8.0 | 0.147 ± 0.001 I | 0.958 ± 0.001 H | 6.5 |
| 23 | B. carinata (PC-6) | 0.588 ± 0.001 DC | 1.049 ± 0.001 A | 1.8 | 0.299 ± 0 CB | 1.305 ± 0.001 D | 4.4 | 0.606 ± 0 C | 1.231 ± 0.001 C | 2.0 |
| Traits | CGP | HGP | CRL | HRL | CSL | HSL |
|---|---|---|---|---|---|---|
| CGP | 1 | |||||
| HGP | 0.158 | 1 | ||||
| CRL | −0.076 | 0.332 * | 1 | |||
| HRL | −0.166 | 0.274 | 0.143 | 1 | ||
| CSL | −0.380 * | −0.001 | 0.742 ** | 0.274 | 1 | |
| HSL | −0.123 | 0.158 | −0.246 | 0.350 * | −0.127 | 1 |
| Traits | SP | CMDA | HMDA |
|---|---|---|---|
| SP | 1 | ||
| CMDA | −0.347 * | 1 | |
| HMDA | −0.051 | 0.604 ** | 1 |
| CSL | CRL | 2.5% PEG | 5% PEG | 10% PEG | CGP | 2.5% PEG GP | 5% PEG GP | 10% PEG GP | |||||
|---|---|---|---|---|---|---|---|---|---|---|---|---|---|
| SL | RL | SL | RL | SL | RL | ||||||||
| Control | SL | 1 | |||||||||||
| RL | 0.821 ** | 1 | |||||||||||
| 2.5% PEG | SL | 0.894 ** | 0.814 ** | 1 | |||||||||
| RL | 0.516 ** | 0.597 ** | 0.622 ** | 1 | |||||||||
| 5% PEG | SL | 0.876 ** | 0.696 ** | 0.879 ** | 0.491 ** | 1 | |||||||
| RL | 0.793 ** | 0.874 ** | 0.821 ** | 0.673 ** | 0.836 ** | 1 | |||||||
| 10% PEG | SL | 0.826 ** | 0.728 ** | 0.839 ** | 0.553 ** | 0.844 ** | 0.779 ** | 1 | |||||
| RL | 0.646 ** | 0.825 ** | 0.695 ** | 0.662 ** | 0.661 ** | 0.916 ** | 0.731 ** | 1 | |||||
| CGP | −0.267 | 0.023 | −0.314 | −0.017 | −0.377 * | 0.014 | −0.225 | 0.204 | 1 | ||||
| 2.5% PEG GP | −0.178 | 0.091 | 0.016 | 0.119 | −0.074 | 0.11 | 0.074 | 0.284 | 0.397 * | 1 | |||
| 5% PEG GP | −0.113 | 0.077 | 0.022 | 0.131 | −0.038 | 0.089 | 0.093 | 0.219 | 0.364 * | 0.691 ** | 1 | ||
| 10% PEG GP | 0.164 | 0.268 | 0.261 | 0.332 * | 0.177 | 0.285 | 0.234 | 0.256 | 0.096 | 0.209 | 0.573 ** | 1 | |
| 2.5% PEG SP | 5% PEG SP | 10% PEG SP | 2.5% PEG PRO | 5% PEG PRO | 10% PEG PRO | ||||||||
|---|---|---|---|---|---|---|---|---|---|---|---|---|---|
| C | T | C | T | C | T | C | T | C | T | C | T | ||
| 2.5% PEG SP | C | 1 | |||||||||||
| T | 0.342 | 1 | |||||||||||
| 5% PEG SP | C | 0.079 | 0.432 * | 1 | |||||||||
| T | −0.007 | 0.612 ** | 0.740 ** | 1 | |||||||||
| 10% PEG SP | C | −0.09 | −0.184 | 0.165 | 0.02 | 1 | |||||||
| T | 0.186 | 0.005 | 0.292 | 0.34 | 0.441 * | 1 | |||||||
| 2.5% PEG PRO | C | −0.291 | −0.366 * | −0.337 | −0.276 | 0.301 | −0.219 | 1 | |||||
| T | −0.373 * | −0.106 | −0.165 | 0.025 | 0.195 | −0.293 | 0.808 ** | 1 | |||||
| 5% PEG PRO | C | −0.168 | 0.092 | −0.159 | −0.01 | 0.128 | −0.309 | 0.209 | 0.405 * | 1 | |||
| T | −0.201 | 0.056 | −0.265 | 0.017 | −0.064 | −0.406 * | 0.343 | 0.510 ** | 0.540 ** | 1 | |||
| 10% PEG PRO | C | −0.278 | −0.154 | −0.379 * | −0.155 | 0.22 | −0.154 | 0.592 ** | 0.443 * | −0.02 | 0.441 * | 1 | |
| T | −0.31 | −0.137 | 0.09 | 0.129 | 0.295 | −0.113 | 0.724 ** | 0.722 ** | 0.298 | 0.379 * | 0.475 * | 1 | |
Disclaimer/Publisher’s Note: The statements, opinions and data contained in all publications are solely those of the individual author(s) and contributor(s) and not of MDPI and/or the editor(s). MDPI and/or the editor(s) disclaim responsibility for any injury to people or property resulting from any ideas, methods, instructions or products referred to in the content. |
© 2023 by the authors. Licensee MDPI, Basel, Switzerland. This article is an open access article distributed under the terms and conditions of the Creative Commons Attribution (CC BY) license (https://creativecommons.org/licenses/by/4.0/).
Share and Cite
Kashyap, A.; Kumari, S.; Garg, P.; Kushwaha, R.; Tripathi, S.; Sharma, J.; Gupta, N.C.; Kumar, R.R.; Yadav, R.; Vishwakarma, H.; et al. Indexing Resilience to Heat and Drought Stress in the Wild Relatives of Rapeseed-Mustard. Life 2023, 13, 738. https://doi.org/10.3390/life13030738
Kashyap A, Kumari S, Garg P, Kushwaha R, Tripathi S, Sharma J, Gupta NC, Kumar RR, Yadav R, Vishwakarma H, et al. Indexing Resilience to Heat and Drought Stress in the Wild Relatives of Rapeseed-Mustard. Life. 2023; 13(3):738. https://doi.org/10.3390/life13030738
Chicago/Turabian StyleKashyap, Anamika, Sujata Kumari, Pooja Garg, Ranjeet Kushwaha, Shikha Tripathi, Jyoti Sharma, Navin C. Gupta, Rajeev Ranjan Kumar, Rashmi Yadav, Harinder Vishwakarma, and et al. 2023. "Indexing Resilience to Heat and Drought Stress in the Wild Relatives of Rapeseed-Mustard" Life 13, no. 3: 738. https://doi.org/10.3390/life13030738
APA StyleKashyap, A., Kumari, S., Garg, P., Kushwaha, R., Tripathi, S., Sharma, J., Gupta, N. C., Kumar, R. R., Yadav, R., Vishwakarma, H., Rana, J. C., Bhattacharya, R., & Rao, M. (2023). Indexing Resilience to Heat and Drought Stress in the Wild Relatives of Rapeseed-Mustard. Life, 13(3), 738. https://doi.org/10.3390/life13030738

