Structural Design and Synthesis of Novel Cyclic Peptide Inhibitors Targeting Mycobacterium tuberculosis Transcription
Abstract
:1. Introduction
2. Materials and Methods
2.1. Computational Screening
2.1.1. Preparation of 3D Receptor Structure
2.1.2. Cyclic Peptide Ligand Database Construction
2.1.3. Molecular Docking Simulation
2.1.4. Computational Pharmacological Properties Prediction
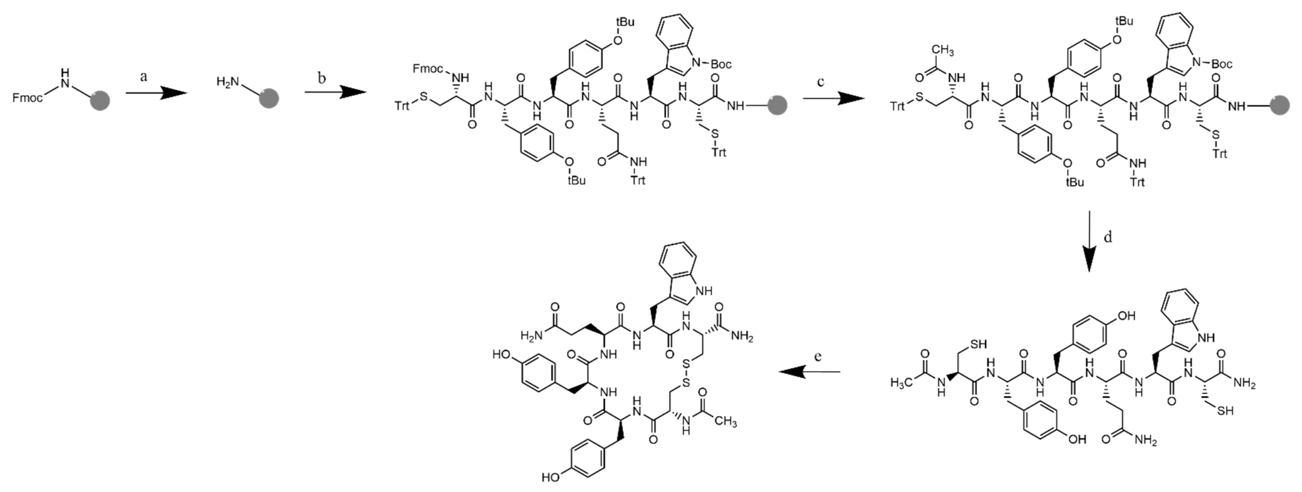
2.2. Solid-Phase Peptide Synthesis
2.2.1. Reagents
2.2.2. Peptide Purification and Analysis with HPLC
2.2.3. Solid Phase Peptide Synthesis
3. Results
3.1. Computational Screening
3.1.1. Preparation of 3D Receptor Structure
3.1.2. Molecular Docking Simulation
3.1.3. Docking to RpoB Mutants
3.1.4. Cyclization Effect
3.1.5. Computational Pharmacological Properties Prediction
3.1.6. N-Terminus and C-Terminus Modification
3.2. Solid-Phase Peptide Synthesis
4. Discussion
5. Conclusions
Supplementary Materials
Author Contributions
Funding
Institutional Review Board Statement
Informed Consent Statement
Acknowledgments
Conflicts of Interest
References
- World Health Organization. Global Tuberculosis Report 2021; WHO Report; WHO: Geneva, Switzerland, 2021. [Google Scholar]
- Dheda, K.; Perumal, T.; Moultrie, H.; Perumal, R.; Esmail, A.; Scott, A.J.; Udwadia, Z.; Chang, K.C.; Peter, J.; Pooran, A.; et al. The intersecting pandemics of tuberculosis and COVID-19: Population-level and patient-level impact, clinical presentation, and corrective interventions. Lancet Respir. Med. 2022, 10, 603–622. [Google Scholar] [CrossRef]
- Munro, S.A.; Lewin, S.A.; Smith, H.J.; Engel, M.E.; Fretheim, A.; Volmink, J. Patient adherence to tuberculosis treatment: A systematic review of qualitative research. PLoS Med. 2007, 4, e238. [Google Scholar] [CrossRef] [PubMed]
- Alipanah, N.; Jarlsberg, L.; Miller, C.; Linh, N.N.; Falzon, D.; Jaramillo, E.; Nahid, P. Adherence interventions and outcomes of tuberculosis treatment: A systematic review and meta-analysis of trials and observational studies. PLoS Med. 2018, 15, e1002595. [Google Scholar] [CrossRef] [PubMed]
- Zaman, K. Tuberculosis: A global health problem. J. Health Popul. Nutr. 2010, 28, 111–113. [Google Scholar] [CrossRef]
- Somasundaram, S.; Ram, A.; Sankaranarayanan, L. Isoniazid and rifampicin as therapeutic regimen in the current Era: A review. J. Tuberc. Res. 2014, 2, 40–51. [Google Scholar] [CrossRef]
- WHO. WHO Consolidated Guidelines on Tuberculosis: Module 4: Treatment-Drug-Resistant Tuberculosis Treatment; WHO: Geneva, Switzerland, 2020. [Google Scholar]
- Goldstein, B.P. Resistance to rifampicin: A review. J. Antibiot. 2014, 67, 625–630. [Google Scholar] [CrossRef]
- Lee, J.; Borukhov, S. Bacterial RNA Polymerase-DNA Interaction-The Driving Force of Gene Expression and the Target for Drug Action. Front Mol Biosci 2016, 3, 73. [Google Scholar] [CrossRef]
- Darst, S.A. Bacterial RNA polymerase. Curr. Opin. Struct. Biol. 2001, 11, 155–162. [Google Scholar] [CrossRef]
- Rodrigue, S.; Provvedi, R.; Jacques, P.E.; Gaudreau, L.; Manganelli, R. The sigma factors of Mycobacterium tuberculosis. FEMS Microbiol. Rev. 2006, 30, 926–941. [Google Scholar] [CrossRef]
- Hubin, E.A.; Lilic, M.; Darst, S.A.; Campbell, E.A. Structural insights into the mycobacteria transcription initiation complex from analysis of X-ray crystal structures. Nat. Commun. 2017, 8, 16072. [Google Scholar] [CrossRef] [Green Version]
- Vassylyev, D.G.; Sekine, S.; Laptenko, O.; Lee, J.; Vassylyeva, M.N.; Borukhov, S.; Yokoyama, S. Crystal structure of a bacterial RNA polymerase holoenzyme at 2.6 A resolution. Nature 2002, 417, 712–719. [Google Scholar] [CrossRef] [PubMed]
- Campbell, E.A.; Korzheva, N.; Mustaev, A.; Murakami, K.; Nair, S.; Goldfarb, A.; Darst, S.A. Structural mechanism for rifampicin inhibition of bacterial rna polymerase. Cell 2001, 104, 901–912. [Google Scholar] [CrossRef]
- Almeida Da Silva, P.E.; Palomino, J.C. Molecular basis and mechanisms of drug resistance in Mycobacterium tuberculosis: Classical and new drugs. J. Antimicrob. Chemother. 2011, 66, 1417–1430. [Google Scholar] [CrossRef] [PubMed]
- Hughes, D.; Brandis, G. Rifampicin Resistance: Fitness Costs and the Significance of Compensatory Evolution. Antibiotics 2013, 2, 206–216. [Google Scholar] [CrossRef] [PubMed]
- Koch, A.; Mizrahi, V.; Warner, D.F. The impact of drug resistance on Mycobacterium tuberculosis physiology: What can we learn from rifampicin? Emerg. Microbes Infect. 2014, 3, e17. [Google Scholar] [CrossRef]
- Alifano, P.; Palumbo, C.; Pasanisi, D.; Tala, A. Rifampicin-resistance, rpoB polymorphism and RNA polymerase genetic engineering. J. Biotechnol. 2015, 202, 60–77. [Google Scholar] [CrossRef]
- Zenkin, N.; Kulbachinskiy, A.; Bass, I.; Nikiforov, V. Different rifampin sensitivities of Escherichia coli and Mycobacterium tuberculosis RNA polymerases are not explained by the difference in the beta-subunit rifampin regions I and II. Antimicrob. Agents Chemother. 2005, 49, 1587–1590. [Google Scholar] [CrossRef]
- Highsmith, H.Y.; Starke, J.R.; Mandalakas, A.M. Tuberculosis. In Kendig’s Disorders of the Respiratory Tract in Children; Elsevier Health Sciences: Amsterdam, The Netherlands, 2018. [Google Scholar]
- Smith, M. Antibiotic resistance mechanisms. In Journeys in Medicine and Research on Three Continents over 50 Years; World Scientific: Singapore, 2017; pp. 95–99. [Google Scholar]
- Jamieson, F.B.; Guthrie, J.L.; Neemuchwala, A.; Lastovetska, O.; Melano, R.G.; Mehaffy, C. Profiling of rpoB mutations and MICs for rifampin and rifabutin in Mycobacterium tuberculosis. J. Clin. Microbiol. 2014, 52, 2157–2162. [Google Scholar] [CrossRef]
- Rukasha, I.; Said, H.M.; Omar, S.V.; Koornhof, H.; Dreyer, A.W.; Musekiwa, A.; Moultrie, H.; Hoosen, A.A.; Kaplan, G.; Fallows, D.; et al. Correlation of rpoB Mutations with Minimal Inhibitory Concentration of Rifampin and Rifabutin in Mycobacterium tuberculosis in an HIV/AIDS Endemic Setting, South Africa. Front. Microbiol. 2016, 7, 1947. [Google Scholar] [CrossRef]
- Muthaiah, M.; Shivekar, S.S.; Cuppusamy Kapalamurthy, V.R.; Alagappan, C.; Sakkaravarthy, A.; Brammachary, U. Prevalence of mutations in genes associated with rifampicin and isoniazid resistance in Mycobacterium tuberculosis clinical isolates. J. Clin. Tuberc. Other Mycobact. Dis. 2017, 8, 19–25. [Google Scholar] [CrossRef]
- Daffre, S.; Bulet, P.; Spisni, A.; Ehret-Sabatier, L.; Rodrigues, E.G.; Travassos, L.R. Bioactive natural peptides. Stud. Nat. Prod. Chem. 2008, 35, 597–691. [Google Scholar]
- Lau, J.L.; Dunn, M.K. Therapeutic peptides: Historical perspectives, current development trends, and future directions. Bioorg. Med. Chem. 2018, 26, 2700–2707. [Google Scholar] [CrossRef] [PubMed]
- Otvos, L., Jr.; Wade, J.D. Current challenges in peptide-based drug discovery. Front. Chem. 2014, 2, 62. [Google Scholar] [CrossRef]
- Recio, C.; Maione, F.; Iqbal, A.J.; Mascolo, N.; De Feo, V. The Potential Therapeutic Application of Peptides and Peptidomimetics in Cardiovascular Disease. Front. Pharmacol. 2016, 7, 526. [Google Scholar] [CrossRef] [PubMed]
- Di, L. Strategic approaches to optimizing peptide ADME properties. AAPS J. 2015, 17, 134–143. [Google Scholar] [CrossRef] [PubMed]
- Bruno, B.J.; Miller, G.D.; Lim, C.S. Basics and recent advances in peptide and protein drug delivery. Ther. Deliv. 2013, 4, 1443–1467. [Google Scholar] [CrossRef] [PubMed]
- Stephanie, F.; Saragih, M.; Alkaff, A.H.; Nasution, M.A.F.; Tambunan, U.S.F. Screening of Potential Northern African Natural Product Compounds as Dengue Virus NS5 Methyltransferase Inhibitor: An in Silico Approach. In Proceedings of the 2019 IEEE 19th International Conference on Bioinformatics and Bioengineering (BIBE), Athens, Greece, 28–30 October 2019; pp. 215–220. [Google Scholar] [CrossRef]
- Stephanie, F.; Alkaff, A.H.; Tambunan, U.S.F. Flexible molecular docking simulation of peptide compounds as inhibitor of GluI host protein for dengue fever therapy. AIP Conf. Proc. 2020, 2237, 020031. [Google Scholar] [CrossRef]
- Sander, T.; Freyss, J.; von Korff, M.; Rufener, C. DataWarrior: An open-source program for chemistry aware data visualization and analysis. J. Chem. Inf. Model. 2015, 55, 460–473. [Google Scholar] [CrossRef]
- Benigni, R.; Bossa, C.; Jeliazkova, N.; Netzeva, T.; Worth, A. The Benigni/Bossa rulebase for mutagenicity and carcinogenicity—A module of Toxtree. JRC Sci. Tech. Reports 2008, 1, 1–78. [Google Scholar]
- Contrera, J.F. Validation of Toxtree and SciQSAR in silico predictive software using a publicly available benchmark mutagenicity database and their applicability for the qualification of impurities in pharmaceuticals. Regul. Toxicol. Pharmacol. 2013, 67, 285–293. [Google Scholar] [CrossRef]
- Daina, A.; Michielin, O.; Zoete, V. SwissADME: A free web tool to evaluate pharmacokinetics, drug-likeness and medicinal chemistry friendliness of small molecules. Sci. Rep. 2017, 7, 42717. [Google Scholar] [CrossRef] [PubMed] [Green Version]
- Cheng, F.; Li, W.; Zhou, Y.; Shen, J.; Wu, Z.; Liu, G.; Lee, P.W.; Tang, Y. admetSAR: A comprehensive source and free tool for assessment of chemical ADMET properties. J. Chem. Inf. Model. 2012, 52, 3099–3105. [Google Scholar] [CrossRef]
- Pires, D.E.; Blundell, T.L.; Ascher, D.B. pkCSM: Predicting Small-Molecule Pharmacokinetic and Toxicity Properties Using Graph-Based Signatures. J. Med. Chem. 2015, 58, 4066–4072. [Google Scholar] [CrossRef] [PubMed]
- Ulapane, K.R.; Kopec, B.M.; Siahaan, T.J. Improving In Vivo Brain Delivery of Monoclonal Antibody Using Novel Cyclic Peptides. Pharmaceutics 2019, 11, 568. [Google Scholar] [CrossRef] [PubMed]
- Petukh, M.; Stefl, S.; Alexov, E. The role of protonation states in ligand-receptor recognition and binding. Curr. Pharm. Des. 2013, 19, 4182–4190. [Google Scholar] [CrossRef] [PubMed]
- Hevener, K.E.; Zhao, W.; Ball, D.M.; Babaoglu, K.; Qi, J.; White, S.W.; Lee, R.E. Validation of molecular docking programs for virtual screening against dihydropteroate synthase. J. Chem. Inf. Model. 2009, 49, 444–460. [Google Scholar] [CrossRef]
- Patlewicz, G.; Jeliazkova, N.; Safford, R.J.; Worth, A.P.; Aleksiev, B. An evaluation of the implementation of the Cramer classification scheme in the Toxtree software. SAR QSAR Environ. Res. 2008, 19, 495–524. [Google Scholar] [CrossRef]
- Benigni, R.; Bossa, C. Structure alerts for carcinogenicity, and the Salmonella assay system: A novel insight through the chemical relational databases technology. Mutat. Res. 2008, 659, 248–261. [Google Scholar] [CrossRef]
- Molodtsov, V.; Scharf, N.T.; Stefan, M.A.; Garcia, G.A.; Murakami, K.S. Structural basis for rifamycin resistance of bacterial RNA polymerase by the three most clinically important RpoB mutations found in Mycobacterium tuberculosis. Mol. Microbiol. 2017, 103, 1034–1045. [Google Scholar] [CrossRef]
- Koehnke, J.; Naismith, J.; Van Der Donk, W.A. An Introduction to Cyclic Peptides. In Cyclic Peptides: From Bioorganic Synthesis to Applications; Royal Society of Chemistry: London, UK, 2017; pp. 1–14. [Google Scholar] [CrossRef]
- Benet, L.Z.; Hosey, C.M.; Ursu, O.; Oprea, T.I. BDDCS, the Rule of 5 and drugability. Adv. Drug Deliv. Rev. 2016, 101, 89–98. [Google Scholar] [CrossRef] [Green Version]
- Verbeeck, R.K.; Gunther, G.; Kibuule, D.; Hunter, C.; Rennie, T.W. Optimizing treatment outcome of first-line anti-tuberculosis drugs: The role of therapeutic drug monitoring. Eur. J. Clin. Pharmacol. 2016, 72, 905–916. [Google Scholar] [CrossRef] [PubMed]
- Loya, H.; Ghoghari, H.; Rizvi, S.F.; Khan, A. Effect of altering the regime of oral rifampicin therapy in the treatment of persistent central serous chorioretinopathy. Pak. J. Med. Sci. 2019, 35, 1687–1690. [Google Scholar] [CrossRef] [PubMed]
- Lin, J.H.; Yamazaki, M. Role of P-glycoprotein in pharmacokinetics: Clinical implications. Clin. Pharmacokinet. 2003, 42, 59–98. [Google Scholar] [CrossRef] [PubMed]
- Amin, M.L. P-glycoprotein Inhibition for Optimal Drug Delivery. Drug Target Insights 2013, 7, 27–34. [Google Scholar] [CrossRef]
- Martinec, O.; Biel, C.; de Graaf, I.A.M.; Huliciak, M.; de Jong, K.P.; Staud, F.; Cecka, F.; Olinga, P.; Vokral, I.; Cerveny, L. Rifampicin Induces Gene, Protein, and Activity of P-Glycoprotein (ABCB1) in Human Precision-Cut Intestinal Slices. Front. Pharmacol. 2021, 12, 684156. [Google Scholar] [CrossRef]
- Jalali, A.; Ghasemian, S.; Najafzadeh, H.; Galehdari, H.; Seifi, M.R.; Zangene, F.; Dehdardargahi, S. Verapamil and rifampin effect on p-glycoprotein expression in hepatocellular carcinoma. Jundishapur. J. Nat. Pharm. Prod. 2014, 9, e17741. [Google Scholar] [CrossRef]
- Westphal, K.; Weinbrenner, A.; Zschiesche, M.; Franke, G.; Knoke, M.; Oertel, R.; Fritz, P.; von Richter, O.; Warzok, R.; Hachenberg, T.; et al. Induction of P-glycoprotein by rifampin increases intestinal secretion of talinolol in human beings: A new type of drug/drug interaction. Clin. Pharmacol. Ther. 2000, 68, 345–355. [Google Scholar] [CrossRef]
- Alghamdi, W.A.; Al-Shaer, M.H.; Peloquin, C.A. Protein Binding of First-Line Antituberculosis Drugs. Antimicrob. Agents Chemother. 2018, 62, e00641-18. [Google Scholar] [CrossRef]
- Wasserman, S.; Davis, A.; Stek, C.; Chirehwa, M.; Botha, S.; Daroowala, R.; Bremer, M.; Maxebengula, M.; Koekemoer, S.; Goliath, R.; et al. Plasma Pharmacokinetics of High-Dose Oral versus Intravenous Rifampicin in Patients with Tuberculous Meningitis: A Randomized Controlled Trial. Antimicrob. Agents Chemother. 2021, 65, e0014021. [Google Scholar] [CrossRef]
- Wu, H.; Huang, J. Optimization of Protein and Peptide Drugs Based on the Mechanisms of Kidney Clearance. Protein Pept. Lett. 2018, 25, 514–521. [Google Scholar] [CrossRef]
- Frezza, C. Histidine metabolism boosts cancer therapy. Nature 2018, 559, 484–485. [Google Scholar] [CrossRef] [PubMed]
- Moro, J.; Tome, D.; Schmidely, P.; Demersay, T.C.; Azzout-Marniche, D. Histidine: A Systematic Review on Metabolism and Physiological Effects in Human and Different Animal Species. Nutrients 2020, 12, 1414. [Google Scholar] [CrossRef] [PubMed]
- Zeng, Q.; Jiang, J.; Wang, J.; Zhou, Q.; Zhang, X. N-Terminal Acetylation and C-Terminal Amidation of Spirulina platensis-Derived Hexapeptide: Anti-Photoaging Activity and Proteomic Analysis. Mar. Drugs 2019, 17, 520. [Google Scholar] [CrossRef] [PubMed]
- Ree, R.; Varland, S.; Arnesen, T. Spotlight on protein N-terminal acetylation. Exp. Mol. Med. 2018, 50, 1–13. [Google Scholar] [CrossRef]
- Wallace, R.J. Acetylation of peptides inhibits their degradation by rumen micro-organisms. Br. J. Nutr. 1992, 68, 365–372. [Google Scholar] [CrossRef] [Green Version]






| Peptide Sequence | RpoB S450L | RpoB WT | ||
|---|---|---|---|---|
| Docking Score | RMSD (Å) | Docking Score | RMSD (Å) | |
| (Cyclo-1,6)CYYQWC | −13.8389 | 1.3834 | −12.5909 | 1.7077 |
| (Cyclo-1,6)CFSRMC | −12.7736 | 1.9083 | −12.9260 | 1.8025 |
| (Cyclo-1,6)CLYHFC | −12.6189 | 0.7636 | −11.5646 | 1.4826 |
| (Cyclo-1,6)CYTYWC | −12.4056 | 1.2551 | −13.5010 | 1.5387 |
| (Cyclo-1,6)CLYKVC | −12.1895 | 1.6815 | −11.9209 | 1.7620 |
| RIF | −12.0894 | 7.8294 | −13.9747 | 0.7992 |
| Peptide Sequence | RpoB S450W | RpoB H445Y | RpoB D435V | |||
|---|---|---|---|---|---|---|
| Docking Score | RMSD (Å) | Docking Score | RMSD (Å) | Docking Score | RMSD (Å) | |
| (Cyclo-1,6)CYYQWC | −11.5118 | 1.5326 | −12.4968 | 1.5917 | −13.4142 | 1.5039 |
| (Cyclo-1,6)CFSRMC | −12.9039 | 2.4778 | −12.4967 | 2.5737 | −12.2775 | 1.6661 |
| (Cyclo-1,6)CLYHFC | −12.0156 | 1.8121 | −11.4236 | 1.5163 | −11.9727 | 1.9666 |
| (Cyclo-1,6)CYTYWC | −11.9482 | 3.8997 | −12.7385 | 1.7487 | −13.7298 | 1.7003 |
| (Cyclo-1,6)CLYKVC | −12.2447 | 1.4748 | −12.0770 | 1.1750 | −11.2436 | 1.6141 |
| RIF | −11.6767 | 10.6001 | −12.5410 | 9.7588 | −12.2798 | 2.2929 |
| Peptide Sequence | RpoB S450L | RpoB WT | ||
|---|---|---|---|---|
| Docking Score | RMSD (Å) | Docking Score | RMSD (Å) | |
| Linear-CYYQWC | −13.5083 | 4.4259 | −12.8980 | 2.2476 |
| Linear-CFSRMC | −12.0515 | 2.9071 | −12.4066 | 2.4019 |
| Linear-CLYHFC | −13.6569 | 1.5650 | −12.9947 | 2.4327 |
| Linear-CYTYWC | −12.9043 | 3.0690 | −12.2946 | 3.7024 |
| Linear-CLYKVC | −12.8009 | 2.0484 | −12.4622 | 3.1910 |
| Peptide Sequence | Weight (Da) | ClogP | H-Donor | H-Acceptor | TPSA (Å2) |
|---|---|---|---|---|---|
| (Cyclo-1,6)CYYQWC | 862.98 | −2.3098 | 10 | 18 | 363.21 |
| (Cyclo-1,6)CFSRMC | 744.94 | −4.5460 | 10 | 17 | 373.04 |
| (Cyclo-1,6)CLYHFC | 782.94 | −2.0673 | 8 | 16 | 312.78 |
| (Cyclo-1,6)CYTYWC | 835.96 | −2.1119 | 10 | 17 | 340.35 |
| (Cyclo-1,6)CLYKVC | 726.94 | −1.8108 | 8 | 15 | 311.74 |
| RIF | 822.41 | 4.7129 | 6 | 16 | 220.15 |
| Peptide Sequence | Absorption | Distribution | Metabolism | Excretion | ||
|---|---|---|---|---|---|---|
| P-gp Substrate | P-gp Inhibitor | Fraction Unbound | CYP450 Substrate | CYP450 Inhibitor | Total Clearance | |
| (Cyclo-1,6)CYYQWC | Yes | No | 0.280 | No | No | −0.605 |
| (Cyclo-1,6)CFSRMC | Yes | No | 0.590 | No | No | −0.097 |
| (Cyclo-1,6)CLYHFC | Yes | No | 0.379 | No | No | −0.650 |
| (Cyclo-1,6)CYTYWC | Yes | No | 0.260 | No | No | −0.656 |
| (Cyclo-1,6)CLYKVC | Yes | No | 0.464 | No | No | −0.432 |
| RIF | Yes | Yes | 0.120 | 3A4 | No | −0.558 |
| Peptide Sequence | Structural Alert for Genotoxic Carcinogenicity | Structural Alert for Nongenotoxic Carcinogenicity | Potential S. thypimurium TA100 Mutagen Based on QSAR | Potential Carcinogenicity Based on QSAR | hERG Inhibitor |
|---|---|---|---|---|---|
| (Cyclo-1,6)CYYQWC | No | No | No | No | No |
| (Cyclo-1,6)CFSRMC | No | No | No | No | No |
| (Cyclo-1,6)CLYHFC | No | Yes | No | No | No |
| (Cyclo-1,6)CYTYWC | No | No | No | No | No |
| (Cyclo-1,6)CLYKVC | No | No | No | No | No |
| RIF | Yes | No | No | No | No |
| Peptide Sequence | RpoB S450L | RpoB WT | ||
|---|---|---|---|---|
| Docking Score | RMSD (Å) | Docking Score | RMSD (Å) | |
| (Cyclo-1,6)Ac-CYYQWC-NH2 | −13.4662 | 1.6298 | −13.5887 | 1.5582 |
| (Cyclo-1,6)Ac-CFSRMC-NH2 | −11.5095 | 1.4119 | −12.0499 | 1.2679 |
| (Cyclo-1,6)Ac-CLYHFC-NH2 | −12.1731 | 1.0797 | −11.3917 | 1.9142 |
| (Cyclo-1,6)Ac-CYTYWC-NH2 | −13.1416 | 1.6129 | −12.6561 | 1.8910 |
| (Cyclo-1,6)Ac-CLYKVC-NH2 | −11.7044 | 1.7218 | −11.5233 | 1.0785 |
Publisher’s Note: MDPI stays neutral with regard to jurisdictional claims in published maps and institutional affiliations. |
© 2022 by the authors. Licensee MDPI, Basel, Switzerland. This article is an open access article distributed under the terms and conditions of the Creative Commons Attribution (CC BY) license (https://creativecommons.org/licenses/by/4.0/).
Share and Cite
Stephanie, F.; Saragih, M.; Tambunan, U.S.F.; Siahaan, T.J. Structural Design and Synthesis of Novel Cyclic Peptide Inhibitors Targeting Mycobacterium tuberculosis Transcription. Life 2022, 12, 1333. https://doi.org/10.3390/life12091333
Stephanie F, Saragih M, Tambunan USF, Siahaan TJ. Structural Design and Synthesis of Novel Cyclic Peptide Inhibitors Targeting Mycobacterium tuberculosis Transcription. Life. 2022; 12(9):1333. https://doi.org/10.3390/life12091333
Chicago/Turabian StyleStephanie, Filia, Mutiara Saragih, Usman Sumo Friend Tambunan, and Teruna J. Siahaan. 2022. "Structural Design and Synthesis of Novel Cyclic Peptide Inhibitors Targeting Mycobacterium tuberculosis Transcription" Life 12, no. 9: 1333. https://doi.org/10.3390/life12091333
APA StyleStephanie, F., Saragih, M., Tambunan, U. S. F., & Siahaan, T. J. (2022). Structural Design and Synthesis of Novel Cyclic Peptide Inhibitors Targeting Mycobacterium tuberculosis Transcription. Life, 12(9), 1333. https://doi.org/10.3390/life12091333

