EQ-5D-3L for Assessing Quality of Life in Older Nursing Home Residents with Cognitive Impairment
Abstract
1. Introduction
2. Materials and Methods
2.1. Study Design and Participants
2.2. Sample Size Description
2.2.1. Data Collection and Quality of Life Assessment
2.2.2. Measurement Properties
2.2.3. Statistical Analysis
3. Results
3.1. Psychometric Properties: Feasibility and Acceptability
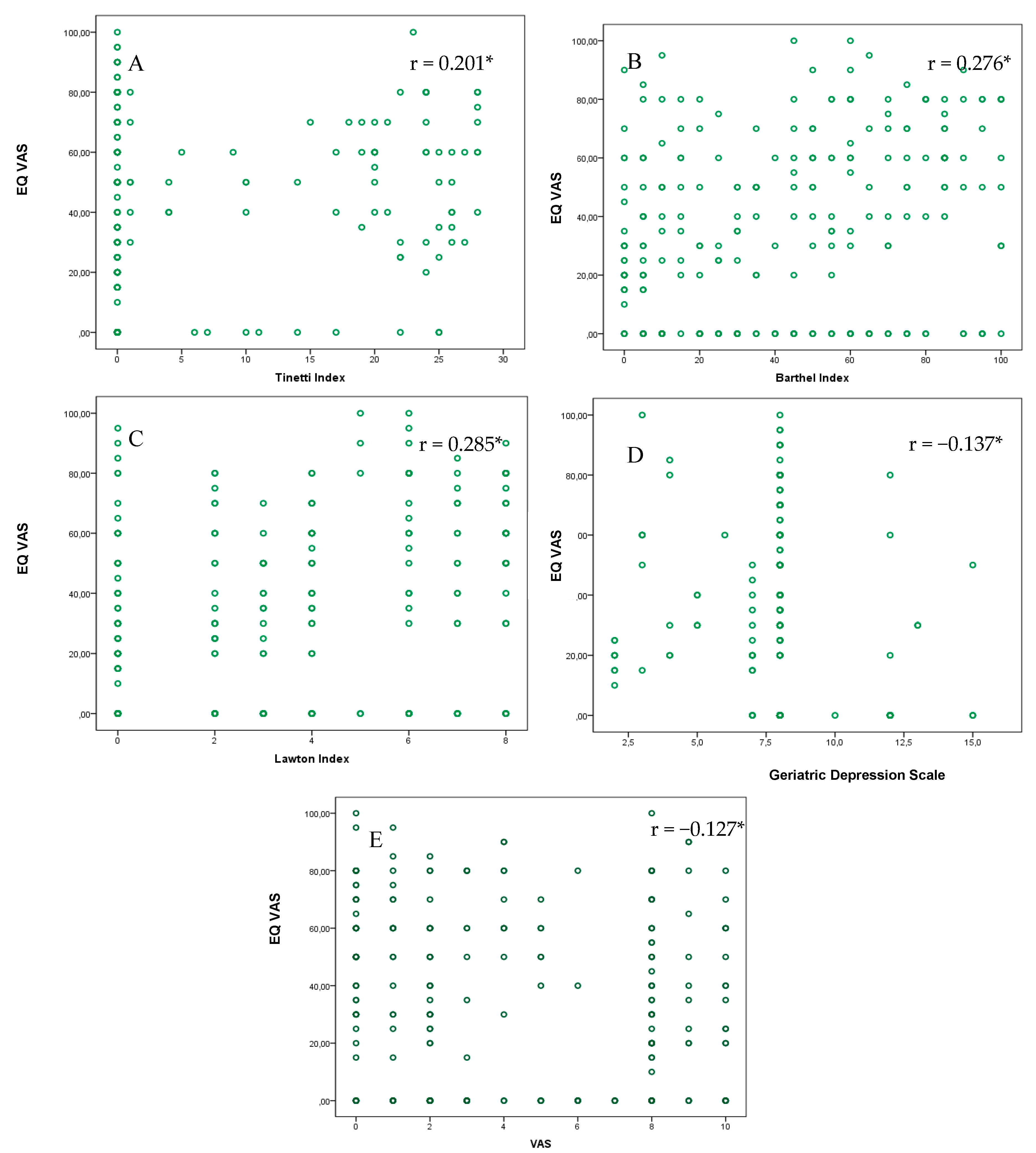
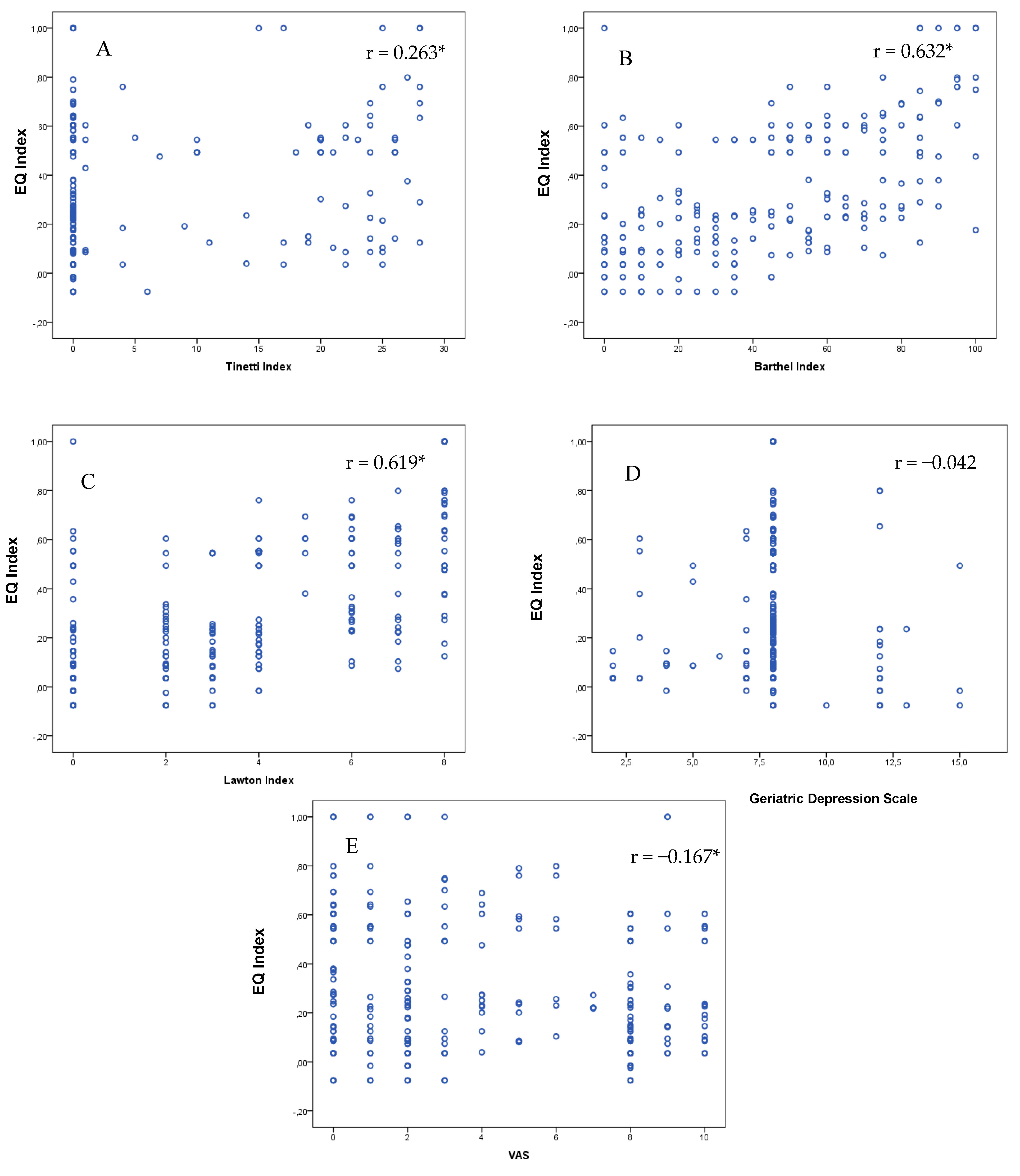
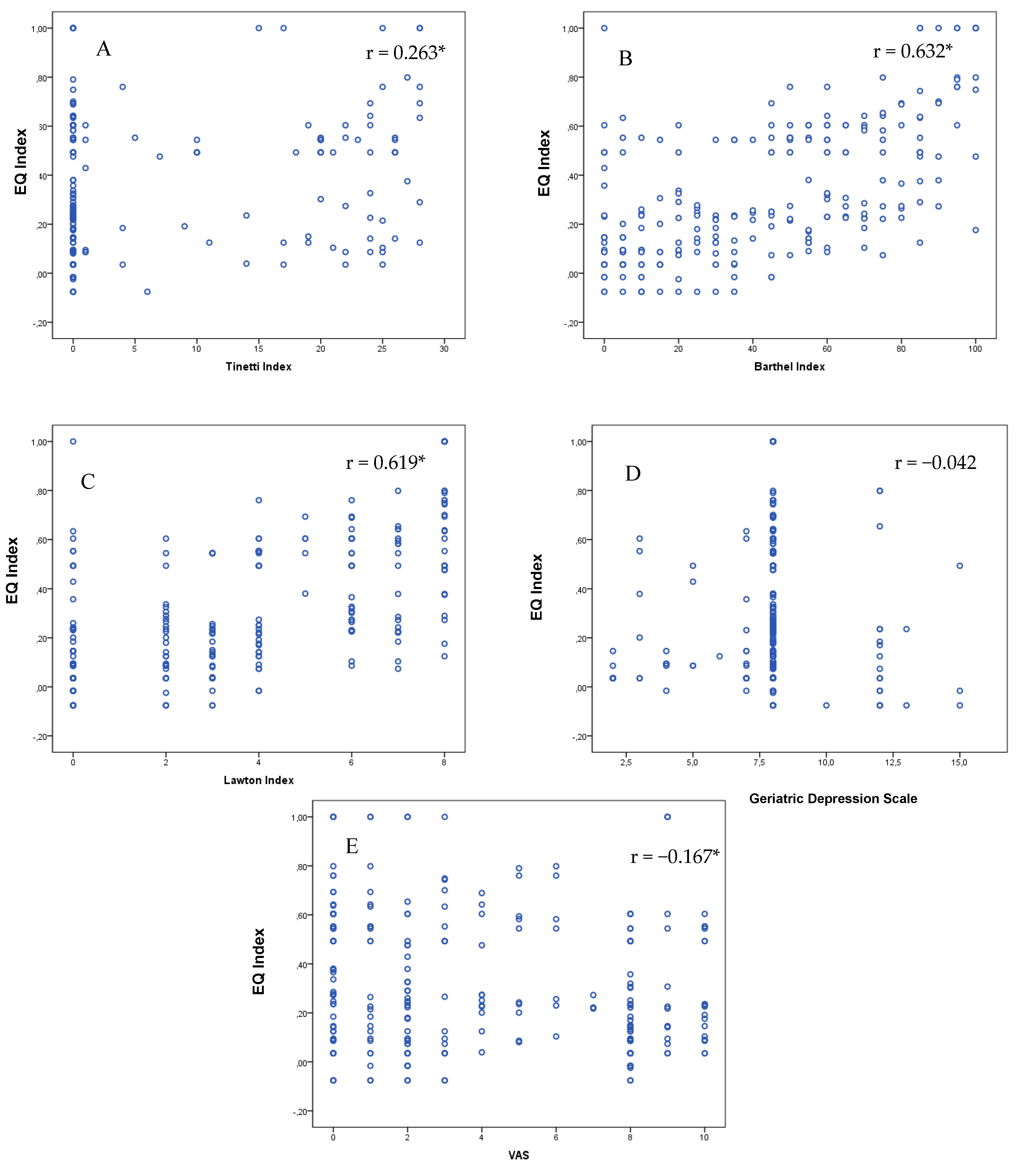
3.2. Psychometric Properties: Reliability and Validity
4. Discussion
5. Conclusions
Author Contributions
Funding
Acknowledgments
Conflicts of Interest
Ethics
References
- Hickey, A.; Barker, M.; McGee, H.; O’Boyle, C. Measuring health-related quality of life in older patient populations: A review of current approaches. Pharmacoeconomics 2005, 23, 971–993. [Google Scholar] [CrossRef]
- Cleland, J.; Hutchinson, C.; Khadka, J.; Milte, R.; Ratcliffe, J. A Review of the Development and Application of Generic Preference-Based Instruments with the Older Population. Appl. Health Econ. Health Policy 2019, 17, 781–801. [Google Scholar] [CrossRef]
- The World Health Organization. The World Health Organization Quality of Life assessment (WHOQOL): Position paper from the World Health Organization. Soc. Sci. Med. 1995, 41, 1403–1409. [Google Scholar] [CrossRef]
- Wolfs, C.A.G.; Dirksen, C.D.; Kessels, A.; Willems, D.C.M.; Verhey, F.R.J.; Severens, J.L. Performance of the EQ-5D and the EQ-5D+C in elderly patients with cognitive impairments. Health Qual. Life Outcomes 2007, 5, 33. [Google Scholar] [CrossRef]
- Aspden, T.; Bradshaw, S.A.; Playford, E.D.; Riazi, A. Quality-of-life measures for use within care homes: A systematic review of their measurement properties. Age Ageing 2014, 43, 596–603. [Google Scholar] [CrossRef]
- Jing, W.; Willis, R.; Feng, Z. Factors influencing quality of life of elderly people with dementia and care implications: A systematic review. Arch. Gerontol. Geriatr. 2016, 66, 23–41. [Google Scholar] [CrossRef]
- Ankri, J.; Beaufils, B.; Novella, J.-L.; Morrone, I.; Guillemin, F.; Jolly, D.; Ploton, L.; Blanchard, F. Use of the EQ-5D among patients suffering from dementia. J. Clin. Epidemiol. 2003, 56, 1055–1063. [Google Scholar] [CrossRef]
- Appelhof, B.; Bakker, C.; Van Duinen-van den Ijssel, J.C.L.; Zwijsen, S.A.; Smalbrugge, M.; Verhey, F.R.J.; de Vugt, M.E.; Zuidema, S.U.; Koopmans, R.T.C.M. The Determinants of Quality of Life of Nursing Home Residents with Young-Onset Dementia and the Differences between Dementia Subtypes. Dement. Geriatr. Cogn. Disord. 2017, 43, 320–329. [Google Scholar] [CrossRef]
- Jachan, D.E.; Müller-Werdan, U.; Lahmann, N.A. Impaired Mobility and Urinary Incontinence in Nursing Home Residents: A Multicenter Study. J. Wound Ostomy Cont. Nurs. 2019, 46, 524–529. [Google Scholar] [CrossRef]
- Cebrián, P.D.; Cauli, O. Analysis of Functional and Cognitive Impairment in Institutionalized Individuals with Movement Disorders. Endocr. Metab. Immune Disord Drug Targets 2019, 19, 1022–1031. [Google Scholar] [CrossRef]
- De Medeiros, M.M.D.; Carletti, T.M.; Magno, M.B.; Maia, L.C.; Cavalcanti, Y.W.; Rodrigues-Garcia, R.C.M. Does the institutionalization influence elderly’s quality of life? A systematic review and meta-analysis. BMC Geriatr. 2020, 20, 44. [Google Scholar] [CrossRef] [PubMed]
- Ettema, T.P.; Dröes, R.-M.; de Lange, J.; Mellenbergh, G.J.; Ribbe, M.W. QUALIDEM: Development and evaluation of a dementia specific quality of life instrument-validation. Int. J. Geriatr. Psychiatry 2007, 22, 424–430. [Google Scholar] [CrossRef] [PubMed]
- Ettema, T.P.; Dröes, R.-M.; de Lange, J.; Mellenbergh, G.J.; Ribbe, M.W. QUALIDEM: Development and evaluation of a dementia specific quality of life instrument. Scalability, reliability and internal structure. Int. J. Geriatr. Psychiatry 2007, 22, 549–556. [Google Scholar] [CrossRef]
- Kane, R.A.; Kling, K.C.; Bershadsky, B.; Kane, R.L.; Giles, K.; Degenholtz, H.B.; Liu, J.; Cutler, L.J. Quality of life measures for nursing home residents. J. Gerontol. A Biol. Sci. Med. Sci. 2003, 58, 240–248. [Google Scholar] [CrossRef]
- 3 Evidence|Guide to the Methods of Technology Appraisal 2013|Guidance|NICE. Available online: https://www.nice.org.uk/process/pmg9/chapter/evidence (accessed on 2 May 2020).
- EuroQol-EQ-5D-3L. Available online: http://www.euroqol.org/eq-5d-products/eq-5d-3l.html (accessed on 4 July 2016).
- Krabbe, P.F.; Stouthard, M.E.; Essink-Bot, M.L.; Bonsel, G.J. The effect of adding a cognitive dimension to the EuroQol multiattribute health-status classification system. J. Clin. Epidemiol. 1999, 52, 293–301. [Google Scholar] [CrossRef]
- Diaz-Redondo, A.; Rodriguez-Blazquez, C.; Ayala, A.; Martinez-Martin, P.; Forjaz, M.J. Spanish Research Group on Quality of Life and Aging EQ-5D rated by proxy in institutionalized older adults with dementia: Psychometric pros and cons. Geriatr. Gerontol. Int. 2014, 14, 346–353. [Google Scholar] [CrossRef] [PubMed]
- Jiang, S.; Li, P. Current Development in Elderly Comprehensive Assessment and Research Methods. Biomed. Res. Int. 2016, 2016. [Google Scholar] [CrossRef]
- Panza, F.; Solfrizzi, V.; Lozupone, M.; Barulli, M.R.; D’Urso, F.; Stallone, R.; Dibello, V.; Noia, A.; Di Dio, C.; Daniele, A.; et al. An Old Challenge with New Promises: A systematic review on comprehensive geriatric assessment in long-term care facilities. Rejuvenation Res. 2018, 21, 3–14. [Google Scholar] [CrossRef]
- Parker, S.G.; McCue, P.; Phelps, K.; McCleod, A.; Arora, S.; Nockels, K.; Kennedy, S.; Roberts, H.; Conroy, S. What is Comprehensive Geriatric Assessment (CGA)? An umbrella review. Age Ageing 2018, 47, 149–155. [Google Scholar] [CrossRef]
- Folstein, M.F.; Folstein, S.E.; McHugh, P.R. “Mini-mental state”. A practical method for grading the cognitive state of patients for the clinician. J. Psychiatr. Res. 1975, 12, 189–198. [Google Scholar] [CrossRef]
- Arevalo-Rodriguez, I.; Smailagic, N.; Roqué i Figuls, M.; Ciapponi, A.; Sanchez-Perez, E.; Giannakou, A.; Pedraza, O.L.; Bonfill Cosp, X.; Cullum, S. Mini-Mental State Examination (MMSE) for the detection of Alzheimer’s disease and other dementias in people with mild cognitive impairment (MCI). Cochrane Database Syst. Rev. 2015, 2015. [Google Scholar] [CrossRef]
- Tinetti, M.E.; Speechley, M.; Ginter, S.F. Risk factors for falls among elderly persons living in the community. N. Engl. J. Med. 1988, 319, 1701–1707. [Google Scholar] [CrossRef] [PubMed]
- Mahoney, F.I.; Barthel, D.W. Functional evaluation: The barthel index. Md. State Med. J. 1965, 14, 61–65. [Google Scholar] [PubMed]
- Lawton, M.P.; Brody, E.M. Assessment of older people: Self-maintaining and instrumental activities of daily living. Gerontologist 1969, 9, 179–186. [Google Scholar] [CrossRef] [PubMed]
- Martínez de la Iglesia, J.; Onís Vilches, M.C.; Dueñas Herrero, R.; Aguado Taberné, C.; Albert Colomer, C.; Arias Blanco, M.C. Abbreviating the brief. Approach to ultra-short versions of the Yesavage questionnaire for the diagnosis of depression. Aten. Primaria 2005, 35, 14–21. [Google Scholar]
- Chapman, C.R.; Casey, K.L.; Dubner, R.; Foley, K.M.; Gracely, R.H.; Reading, A.E. Pain measurement: An overview. Pain 1985, 22, 1–31. [Google Scholar] [CrossRef]
- Hobart, J.C.; Riazi, A.; Lamping, D.L.; Fitzpatrick, R.; Thompson, A.J. Improving the evaluation of therapeutic interventions in multiple sclerosis: Development of a patient-based measure of outcome. Health Technol. Assess. 2004, 8, 1–48. [Google Scholar] [CrossRef]
- Higginson, I.J.; Carr, A.J. Measuring quality of life: Using quality of life measures in the clinical setting. BMJ 2001, 322, 1297–1300. [Google Scholar] [CrossRef] [PubMed]
- McHorney, C.A.; Tarlov, A.R. Individual-patient monitoring in clinical practice: Are available health status surveys adequate? Qual. Life Res. 1995, 4, 293–307. [Google Scholar] [CrossRef]
- Hays, R.D.; Anderson, R.; Revicki, D. Psychometric considerations in evaluating health-related quality of life measures. Qual. Life Res. 1993, 2, 441–449. [Google Scholar] [CrossRef] [PubMed]
- Koo, T.K.; Li, M.Y. A Guideline of Selecting and Reporting Intraclass Correlation Coefficients for Reliability Research. J. Chiropr. Med. 2016, 15, 155–163. [Google Scholar] [CrossRef]
- Feeny, D.; Furlong, W.; Boyle, M.; Torrance, G.W. Multi-attribute health status classification systems. Health Utilities Index. Pharmacoeconomics 1995, 7, 490–502. [Google Scholar] [CrossRef] [PubMed]
- Fisk, J.D.; Brown, M.G.; Sketris, I.S.; Metz, L.M.; Murray, T.J.; Stadnyk, K.J. A comparison of health utility measures for the evaluation of multiple sclerosis treatments. J. Neurol. Neurosurg. Psychiatry 2005, 76, 58–63. [Google Scholar] [CrossRef] [PubMed]
- Yang, F.; Dawes, P.; Leroi, I.; Gannon, B. Measurement tools of resource use and quality of life in clinical trials for dementia or cognitive impairment interventions: A systematically conducted narrative review. Int. J. Geriatr. Psychiatry 2018, 33, e166–e176. [Google Scholar] [CrossRef] [PubMed]
- León-Salas, B.; Ayala, A.; Blaya-Nováková, V.; Avila-Villanueva, M.; Rodríguez-Blázquez, C.; Rojo-Pérez, F.; Fernández-Mayoralas, G.; Martínez-Martín, P.; Forjaz, M.J. Spanish Research Group on Quality of Life and Aging Quality of life across three groups of older adults differing in cognitive status and place of residence. Geriatr. Gerontol. Int. 2015, 15, 627–635. [Google Scholar] [CrossRef]
- Farzianpour, F.; Foroushani, A.R.; Badakhshan, A.; Gholipour, M.; Roknabadi, E.H. Quality of Life for Elderly Residents in Nursing Homes. Glob. J. Health Sci. 2016, 8, 127–135. [Google Scholar] [CrossRef]
- Stites, S.D.; Harkins, K.; Rubright, J.D.; Karlawish, J. Relationships Between Cognitive Complaints and Quality of Life in Older Adults with Mild Cognitive Impairment, Mild Alzheimer Disease Dementia, and Normal Cognition. Alzheimer Dis. Assoc. Disord 2018, 32, 276–283. [Google Scholar] [CrossRef]
- Herdman, M.; Badia, X.; Berra, S. EuroQol-5D: A simple alternative for measuring health-related quality of life in primary care. Aten. Primaria 2001, 28, 425–430. [Google Scholar] [CrossRef]
- Hildreth, K.L.; Church, S. Evaluation and Management of the Elderly Patient Presenting with Cognitive Complaints. Med. Clin. N. Am. 2015, 99, 311–335. [Google Scholar] [CrossRef]
- Aaronson, N.; Alonso, J.; Burnam, A.; Lohr, K.N.; Patrick, D.L.; Perrin, E.; Stein, R.E. Assessing health status and quality-of-life instruments: Attributes and review criteria. Qual. Life Res. 2002, 11, 193–205. [Google Scholar] [CrossRef]
- León-Salas, B.; Logsdon, R.G.; Olazarán, J.; Martínez-Martín, P. The Msu-Adru, null Psychometric properties of the Spanish QoL-AD with institutionalized dementia patients and their family caregivers in Spain. Aging Ment. Health 2011, 15, 775–783. [Google Scholar] [CrossRef] [PubMed]
- Logsdon, R.G.; Gibbons, L.E.; McCurry, S.M.; Teri, L. Assessing quality of life in older adults with cognitive impairment. Psychosom. Med. 2002, 64, 510–519. [Google Scholar] [CrossRef] [PubMed]



| Property | Criteria |
|---|---|
| Feasibility | Percentage of missing data (should be <10%) Percentage of computable data (should be >95%) |
| Acceptability | Mean, median, and standard deviation similar across items (15% maximum divergence) Asymmetry and kurtosis should oscillate between −1 and 1 Floor and ceiling effect (percentage of scores in the lower and upper extremes; should be <15%) |
| Reliability | Internal consistency: Cronbach´s alpha (≥0.7) Stability of the measure: ICC (EQ index and EQ VAS) |
| Validity | Convergence: correlation between EQ index and VAS, and correlation between dimensions of EQ and assessment scales Divergence: correlation between EQ index and EQ VAS and assessment scales Internal: R2 of two linear regressions between EQ index and assessment scales and EQ VAS and assessment scales |
| Variables | Mean (SD) | Min | Max |
|---|---|---|---|
| Age, years | 84.6 (9.22) | 70 | 104 |
| MMSE, points (0–30) | 15.60 (5.23) | 10 | 24 |
| Barthel Index, points (0–100) | 41.10 (31.38) | 0 | 100 |
| Lawton Index, points (0–8) | 3.57 (2.90) | 0 | 8 |
| Tinetti Index, points (0–28) | 6.58 (10.19) | 0 | 28 |
| GDS, points (0–15) | 7.88 (2.02) | 2 | 15 |
| VAS pain, points (0–10) | 1.8 (0.91) | 0 | 10 |
| EQ VAS (0–100) | 35.96 (29.86) | 0 | 100 |
| EQ index (less than 0–1) | 0.31 (0.37) | 0 | 1 |
| EQ Index | EQ VAS | |
|---|---|---|
| Mean | 0.31 | 35.96 |
| Standard deviation | 0.37 | 29.89 |
| Median | 0.23 | 35 |
| Asymmetry | 0.69 | 0.187 |
| Kurtosis | −0.32 | −1.239 * |
| Ceiling | 4.4 | 29.9 † |
| Floor | 4.4 | 0.8 |
| EuroQol 5 Dimensions | Comprehensive Geriatric Assessment Scales | r |
|---|---|---|
| 1. Mobility | Tinetti Index | −0.215 * |
| 2. Self-care | Barthel Index | −0.606 * |
| 3. Usual activities | Lawton Index | −0.475 * |
| 4. Pain | VAS pain | 0.094 |
| 5. Anxiety | Geriatric Depression Scale | 0.179 ** |
| EQ Index β (95% CI) | p | EQ VAS β (95% CI) | p | |
|---|---|---|---|---|
| Constant | 0.54 (0.41, −0.68) | <0.001 | 53.02 (35.25, 70.78) | <0.001 |
| Barthel | −0.17 (−0.26, −0.08) | <0.001 | −13.31 (−25.32, −1.31) | 0.030 |
| Lawton | −0.03 (−0.11, 0.06) | 0.558 | 5.54 (−5.76, 16.84) | 0.335 |
| Tinetti | −0.01 (−0.04, 0.04) | 0.950 | −4.42 (−9.63, 0.78) | 0.096 |
| VAS | −0.03 (−0.06, 0.01) | 0.084 | 0.18 (−4.31, 4.67) | 0.938 |
| GDS | 0.04 (−0.05, 0.13) | 0.369 | −2.55 (−14.36, 9.26) | 0.671 |
© 2020 by the authors. Licensee MDPI, Basel, Switzerland. This article is an open access article distributed under the terms and conditions of the Creative Commons Attribution (CC BY) license (http://creativecommons.org/licenses/by/4.0/).
Share and Cite
Pérez-Ros, P.; Martínez-Arnau, F.M. EQ-5D-3L for Assessing Quality of Life in Older Nursing Home Residents with Cognitive Impairment. Life 2020, 10, 100. https://doi.org/10.3390/life10070100
Pérez-Ros P, Martínez-Arnau FM. EQ-5D-3L for Assessing Quality of Life in Older Nursing Home Residents with Cognitive Impairment. Life. 2020; 10(7):100. https://doi.org/10.3390/life10070100
Chicago/Turabian StylePérez-Ros, Pilar, and Francisco M Martínez-Arnau. 2020. "EQ-5D-3L for Assessing Quality of Life in Older Nursing Home Residents with Cognitive Impairment" Life 10, no. 7: 100. https://doi.org/10.3390/life10070100
APA StylePérez-Ros, P., & Martínez-Arnau, F. M. (2020). EQ-5D-3L for Assessing Quality of Life in Older Nursing Home Residents with Cognitive Impairment. Life, 10(7), 100. https://doi.org/10.3390/life10070100

