Next Article in Journal
HRC Metrology: Assessment Criteria, Metrics and Methods for Human–Robot Co-Manipulation Tasks
Previous Article in Journal
Tool-Health Digital Twin for CNC Predictive Maintenance via Innovation-Adaptive Sensor Fusion and Uncertainty-Aware Prognostics
Previous Article in Special Issue
Online End Deformation Calculation Method for Mill Relining Manipulator Based on Structural Decomposition and Kolmogorov-Arnold Network
 
 
Font Type:
Arial Georgia Verdana
Font Size:
Aa Aa Aa
Line Spacing:
Column Width:
Background:
Article

An Obstacle-Negotiation Wheel with Hybrid Active–Passive Mechanism for Mechanical Augmentation

College of Engineering, China Agricultural University, Beijing 100083, China
*
Author to whom correspondence should be addressed.
Machines 2026, 14(3), 334; https://doi.org/10.3390/machines14030334
Submission received: 30 January 2026 / Revised: 3 March 2026 / Accepted: 5 March 2026 / Published: 16 March 2026
(This article belongs to the Special Issue The Kinematics and Dynamics of Mechanisms and Robots)

Abstract

To address the limitation of wheeled mobile robots in traversing unstructured terrain, this paper proposes an Active–Passive Hybrid Obstacle-Crossing Wheel (APHOCW). The mechanism integrates an active angle-adjustment mechanism and a lever-assist mechanism. While maintaining low system complexity and high reliability, it utilizes periodically telescoping assist levers that rotate with the wheel to overcome obstacles. By actively adjusting the eccentric angle, the trajectory of the assist levers can be modified to optimize the crossing posture. Through geometric and quasi-static mechanical modeling, dynamic simulation, and prototype experiments, this study systematically validated the robot’s obstacle-crossing capability and continuous step-climbing performance under different eccentric angles. Simulation and experimental results demonstrate that in the lever-assisted obstacle-crossing mode, the robot can stably overcome obstacles with a height up to 2.1 times its wheel radius and accomplish continuous step ascent. A smaller eccentric angle helps increase the maximum obstacle-crossing height, while a larger eccentric angle exhibits superior energy efficiency under sufficient ground-friction conditions.

1. Introduction

Wheeled mobile robots (WMRs) are widely used in fields including rescue inspection [1,2], indoor services, agriculture [3], logistics, and field operations, owing to their mechanical simplicity and high energy efficiency [4,5]. However, their traversability in irregular environments, particularly when negotiating standard terrain features like stairs and protruding obstacles, remains substantially limited [6,7,8]. The obstacle-crossing capability of WMRs is fundamentally constrained by their physical architecture; the height of a vertical obstacle they can reliably surmount is typically confined to less than the wheel radius [9]. Consequently, their agility and traversability over rugged, unstructured terrain are severely compromised, restricting their deployment in complex scenarios [10].
To overcome this fundamental limitation, systematic research and development have been carried out. Based on the actuation methods and configuration characteristics of existing obstacle-crossing solutions, they can be primarily categorized into two types: transformable mechanisms, which adapt to terrain by actively or passively altering their own topological structure; and non-transformable, specialized mechanisms, which achieve obstacle negotiation without changing their basic configuration, instead through the use of additional, specialized components.
Active transformable wheels represent one of the predominant research directions for overcoming macro-scale obstacles such as stairs and high platforms. Their core principle is to use dedicated actuators to alter the outermost load-bearing structure of the wheel [11]. Among these, wheel-leg robots integrate rolling and stepping within a single transformable structure to enhance terrain adaptability; for instance, one such design switches between wheeled and legged modes by grounding specific spokes [12], while the bidirectional transformable wheel Trimode achieves directional adaptability through configuration switching [13]. In parallel, some designs achieve adaptation by reconfiguring the wheel’s profile itself. This category includes an actively reconfigurable wheel that employs reconfigurable curved segments [14], as well as the FUHAR [15], which optimizes ground contact via the continuous opening and closing of its six segmented legs. Beyond such morphological change, other approaches augment wheels with functional modules, such as the Cat Claws [16]; these deploy retractable auxiliary structures from the wheel to assist in climbing obstacles without altering the basic locomotion mode. Despite their benefits, these active systems face challenges stemming from inherent complexity. Intricate mechanical designs and precise control requirements elevate manufacturing costs and control difficulty. Moreover, the incorporated moving parts often lack reliability under high-speed or impact conditions, and the shape-transition process frequently necessitates deceleration or stops, hindering overall traversal efficiency. Thus, achieving efficient, continuous obstacle negotiation while maintaining system simplicity and robustness remains a pivotal challenge.
To reduce control complexity, passive transformable wheels triggered by drive torque or terrain contact have been developed. For example, the α-WaLTR [17] relies solely on terrain contact to initiate configuration changes, while the PaTS-Wheel [18] autonomously reconfigure into a hook-like geometry, enabling it to surmount obstacles up to 70% of its diameter without sensing or control while maintaining high efficiency on flat ground. However, these passive systems face inherent limitations. A primary issue is the unpredictability of shape transitions; unintended triggering can occur during steering due to transient force variations, disrupting motion stability. Their adaptability is also often narrow, as deformation depends heavily on specific environmental interactions, leading to improper responses on continuously rough terrain. A critical issue for differentially steered platforms is the risk of kinematic mismatch: during turns, asymmetric forces can induce different configurations on the same axle (e.g., one wheel in leg-mode, the other in wheel-mode). This not only impedes smooth motion but also complicates control due to kinematic model inaccuracies.
Research efforts have also focused on non-transformable, specialized obstacle-crossing mechanisms. Baishya et al. developed an Anti-Slip Mechanism (ASM) wheel that actively controls gripper arms to physically lock onto stair edges, reducing reliance on conventional friction during climbing [19]. However, its adaptability to non-standard stair geometries is limited. Among passive designs, Wei and Lee proposed the Cycloidal Legs-Augmented Wheel (CLAW), which employs a passive cycloidal linkage to convert continuous rotation into periodic stepping, enabling efficient obstacle negotiation without the need for sensors or mode-switching, and exhibiting low structural complexity [20]. A drawback is that foot trajectory is solely determined by linkage geometry, offering limited posture adjustment capability on soft or highly dynamic terrain and thus constraining dynamic stability. To balance smooth locomotion and obstacle-crossing performance, Pu et al. developed a 3-DOF multi-mode mobile robot based on the ePaddle mechanism [21]. This design is an active–passive hybrid mechanism: it can actively adjust the working trajectory of the obstacle-crossing structure, which passively extends and retracts with wheel rotation. It therefore combines the advantages of active mechanisms and passive mechanisms. Seamless switching between wheeled rolling and legged gait is achieved by driving the eccentric wheel. In subsequent studies, Pu, Shen et al. further explored the non-reciprocating gait of the 3-DOF ePaddle mechanism to improve locomotion efficiency [22,23]. Sun et al. developed a simplified 2-DOF ePaddle mechanism [24]. Even with such simplification, the transmission system and supporting control strategy still result in a relatively high overall system complexity.
To provide a clear overview of the representative mechanisms discussed above, Table 1 summarizes their key characteristics, advantages, and limitations.
In summary, the central challenge for obstacle-crossing robots is to balance mechanical complexity, control demands, terrain adaptability, and traversal efficiency. Active transformable mechanisms suffer from complexity, cost, and reliability issues. Passive transformable mechanisms simplify control but introduce instability due to unpredictable transitions and environmental dependencies. Specialized mechanisms like CLAW and ePaddle advance passive simplicity or performance but face limitations in stability or complexity. To address these trade-offs—specifically, to enhance dynamic adaptability in unstructured environments while maintaining reliability and reducing system complexity—this paper proposes a 2-DOF Active–Passive Hybrid Obstacle-Crossing Wheel (APHOCW). The design integrates an active angle-adjustment mechanism with a lever-assist mechanism, enabling active modulation of the motion trajectory of the assist levers, which rotate with the wheel and telescope passively. In this solution, the transmission structure of the active angle adjustment is simplified from a relatively complex gear transmission to a single self-locking motor, thereby reducing the overall complexity of the system. This approach improves the wheel’s traversability over complex terrain, combining the terrain adaptability of active mechanisms with the structural simplicity and control-free nature of passive ones.
The main contributions of this work are:
  • Hybrid Mechanism Design: A circular wheel is integrated with a lever-assisted mechanism that follows an eccentric circular trajectory, enabling the passive extension and retraction of the lever during obstacle negotiation.
  • Active Posture Adjustment: A built-in angle-adjustment motor actively adjusts and optimizes the contact position between the lever and the obstacle, thereby enhancing obstacle-crossing efficiency and terrain adaptability.
The remainder of this paper is organized as follows. Section 2 details the mechanism design and the obstacle-crossing principle. Section 3 presents a quasi-static mechanical analysis. Section 4 provides a simulation-based validation of the mechanism’s performance. Section 5 conducts experimental verification and discussion. Finally, Section 6 concludes the paper and outlines future work.

2. Mechanism Design and Analysis of Obstacle-Crossing Principle

2.1. Mechanical Configuration and Working Principle

The obstacle-crossing robot proposed in this paper is shown in Figure 1a. It consists of a main body and four independently driven APHOCW units.
A kinematic diagram of one APHOCW unit is presented in Figure 1b. It includes a drive wheel (1), a wheel axle (2), a lever-assist mechanism, and an active angle-adjustment mechanism. The drive wheel (1) is connected to the motor via the wheel axle (2) and rotates about it. The motor is mounted on a motor bracket, which is rigidly fixed to the underside of the main body.
The lever-assist mechanism mainly comprises a crank (3), a second crank (4), three identical assist levers (5), and three sliders (6). The inner ends of the three assist levers are uniformly distributed on crank (3). One of them is rigidly fixed to crank (3), while the other two are pivoted to it. All three assist levers are slidingly connected to their respective sliders (6). The three sliders are uniformly distributed on crank (4) and are pivoted to it. Crank (4) is rigidly fixed to the drive wheel (1).
The active angle-adjustment mechanism primarily consists of a connecting link (7) and a self-locking angle-adjustment motor (8). The self-locking angle-adjustment motor (8) is rigidly fixed to the main body via a bracket. The inner end of the connecting link (7) is rigidly fixed to the output shaft of motor (8) and can rotate about the wheel axle (2). Its outer end is pivoted to crank (3).
By using the self-locking angle-adjustment motor (8) to change the angle of the connecting link (7), the configuration of the APHOCW unit can be modified to adapt to different road conditions. In this paper, the angle is set primarily for stair-climbing.
Based on the kinematic diagram analysis of the mechanism, it consists of six links, eight lower pairs, and zero higher pairs. Therefore, according to Gruebler’s equation, the wheel module possesses two degrees of freedom, corresponding respectively to: the rotational motion of the drive wheel about the main axle; and the actively adjusted angle of the eccentric link. The motions of all other links are dependent motions, determined by these two independent inputs.
The robot maintains efficient wheeled rolling on flat terrain. When encountering an obstacle, it can dynamically adjust the configuration of the APHOCW through the coordinated action of the lever-assist mechanism and the active angle-adjustment mechanism. This is achieved by actively adjusting the eccentric angle—defined as the angle between the connecting link and the robot body—enabling the assist levers, which move with the wheel, to effectively surmount the obstacle.
The key design parameters of the robot are listed in Table 2.
On flat ground (Figure 2a), the robot moves smoothly using its rolling wheels. The arrows in the caption indicate the rotation direction of the wheels. However, due to the inherent limitations of wheeled locomotion, conventional wheeled robots struggle to surmount obstacles taller than the wheel radius.
When encountering obstacles that are difficult for ordinary wheels to overcome (Figure 2b), the robot utilizes its built-in lever-assist mechanism to effectively extend its obstacle-crossing capability while retaining wheeled stability. The working process is as follows: initially, the robot travels in wheeled mode, and the assist levers passively extend and retract synchronously with the wheel rotation. When a wheel contacts an obstacle and its motion is impeded, continued wheel rotation causes an assist lever to abut against the obstacle. At this point, the assist lever provides a supporting torque that aids the robot in surmounting the obstacle. By adjusting the eccentric angle, the effective working range of the assist lever can be controlled, allowing adaptation to obstacles of different heights. Figure 2b illustrates a typical obstacle-crossing process with an eccentric angle of 45°.

2.2. Analysis of Obstacle-Crossing Geometric Relationships

To geometrically analyze the lever-assisted obstacle-crossing mode of the APHOCW, it is necessary to define its internal parameters and kinematic constraint relationships. For clarity and feasibility of the modeling, the following simplifying assumptions are adopted: (1) All mechanical components are regarded as rigid bodies without deformation; (2) No slip occurs between the wheel and the ground or obstacle surface; (3) Mechanical clearance, friction, and manufacturing errors are neglected. Figure 3 establishes a Cartesian coordinate system XOY with the wheel center O as the origin, in which the connection between the connecting link and the assist lever is simplified as a pivot point OA.
Table 3 lists geometric parameters used in this section.
In the lever-assisted obstacle-crossing mode, to prevent the auxiliary lever from interfering with the ground during travel—which could cause robot instability or damage to the obstacle-crossing mechanism—the following geometric constraints shall be satisfied: in the horizontal travel direction, the farthest extended position of tip A of the assist lever shall exceed the rightmost end of the wheel rim; in the vertical direction, the lowest position of tip A of the assist lever shall be higher than the lowest point of the wheel rim, as illustrated in Figure 3. In the figure, the red arrow and the label v only indicate the forward direction of the wheel. The corresponding geometric constraint is as follows:
L n + cos θ e L e < R O L n sin θ e L e < R O ,
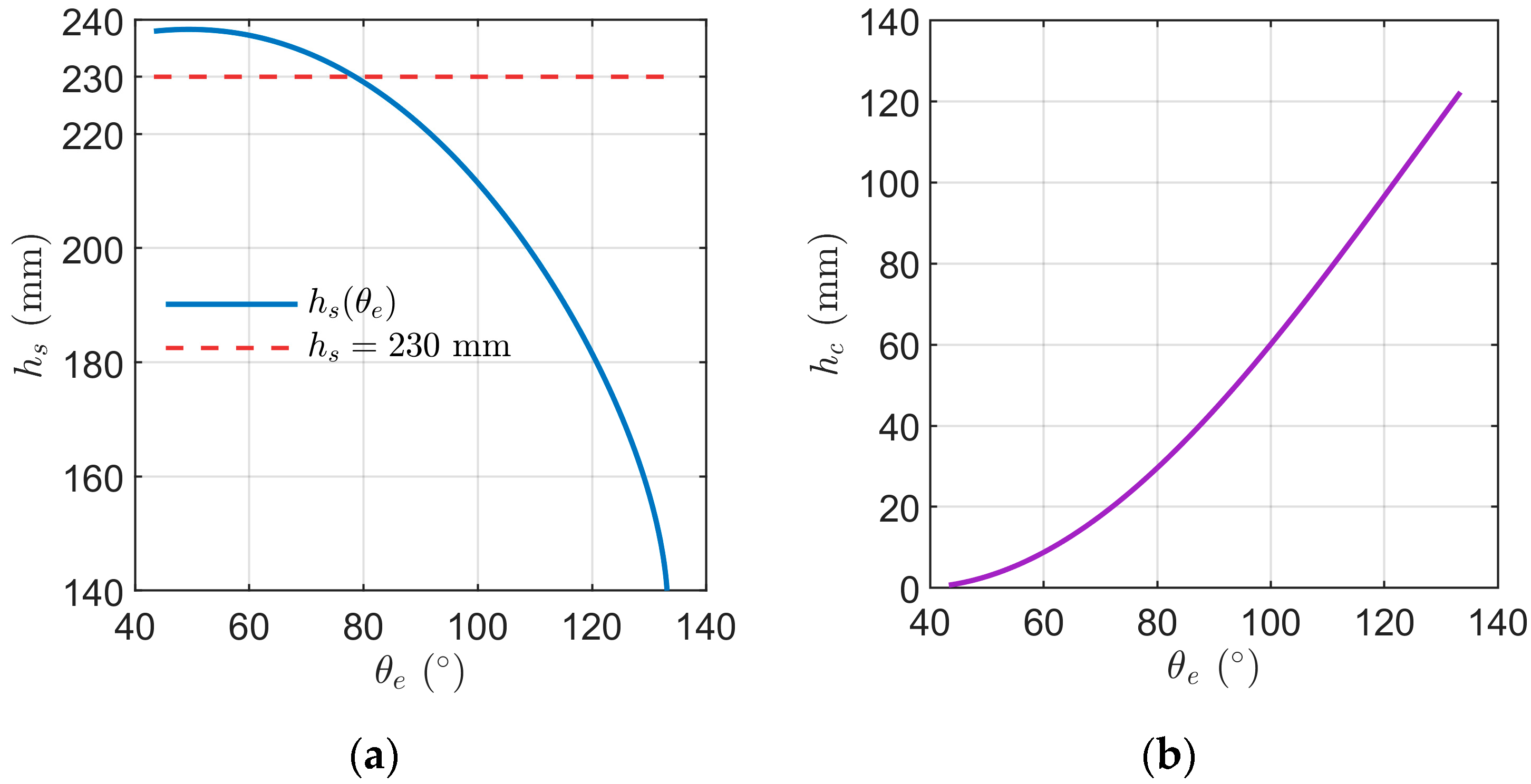
where Ln is the length of the assist lever (Ln = 134 mm), Le is the length of the connecting link (Le = 35 mm), i.e., the distance between OA and O, RO is the wheel radius (RO = 110 mm), and θe is the eccentric angle. Through derivation, the feasible range of the eccentric angle in the lever-assisted obstacle-crossing mode is determined as: 43.3° < θe < 133.3°.
To evaluate the passive obstacle-crossing performance, the theoretical maximum obstacle-crossing height hs and the minimum retraction point height hc for different eccentric angles θe are further derived.
The theoretical maximum obstacle-crossing height hs is determined by the following geometric relationship, where θr is the angle between the assist lever and the horizontal line.
L n sin θ r + L e sin θ e + R O = h s cos θ r = R O L e cos θ e L n ,
h s = L n 2 R O L e cos θ e 2 + L e sin θ e + R O ,
Figure 4a illustrates the variation in hs with respect to θe. As shown, when θe < 78°, hs changes gradually and remains above 23 cm, approximately 2.1 times the wheel radius. Considering both adjustment convenience and obstacle-crossing capability, the reference eccentric angle for the lever-assisted obstacle-crossing mode is set to 45°.
The height hc of the lowest intersection point between the assist lever trajectory and the wheel rim is determined by the following geometric relationship.
A Cartesian coordinate system is established with the wheel center O as the origin. The position vector of the revolute joint point OA is given by:
O A = x O A y O A = L e cos θ e L e sin θ e ,
The trajectory of point A is a circle, described by the locus equation:
( x A x O A ) 2 + ( y A y O A ) 2 = L n 2 ,
The outer envelope of the wheel is defined by the following equation:
x 2 + y 2 = R O 2 ,
By solving Equations (5) and (6) simultaneously, the vertical coordinate yA of the lowest intersection point between the assist lever and the wheel rim can be obtained.
y A = R O 2 L n 2 + L e 2 2 L e sin θ e R O 2 R O 2 L n 2 + L e 2 2 L e 2 cos θ e ,
Therefore, the distance hc from the lowest intersection point between the assist lever and the wheel rim to the bottom of the wheel is:
h c = y A + R O ,

3. Quasi-Static Analysis of Obstacle-Crossing

The quasi-static analysis is applicable to low-speed locomotion on rigid, non-deformable terrain. For the prototype scale considered here, inertial effects are sufficiently small to be neglected. At higher speeds, impact and inertia may lead to deviations between quasi-static predictions and the actual dynamic response. On deformable terrain, both the effective friction coefficient and the contact geometry between the assist lever and the step may change, violating the rigid-contact assumption.
Accordingly, inertia and acceleration terms are neglected, and a quasi-static model is adopted to characterize the obstacle-crossing mechanics.

3.1. Obstacle-Crossing Model for the Front Wheel

The quasi-static mechanical model for the obstacle-crossing process of the front wheel under the action of the assist lever is shown in Figure 5. In all mechanical model figures of this section, v and the arrow below it only indicate the forward direction of the robot. When the front wheel encounters a step with a height of h, the assist lever contacts the step edge at point E. The angle θr between the lever and the horizontal reference line is determined by the following geometric relationship:
θ r = arctan h R O L e sin θ e R O L e cos θ e ,
The front wheel contacts the step solely via the assist lever at point E, while the rear wheel contacts the ground at point R. The normal and tangential forces at these two points are denoted as (N1, Fk1) and (N2, Fk2), respectively, and satisfy Coulomb’s law of friction (Fki = μNi), where μ is the coefficient of sliding friction between the wheel and the contact surface. The robot’s gravitational force G acts at its center of mass C. Key geometric parameters include: the wheelbase L (L = 369 mm), the horizontal distance L1 (L1 = 120 mm) from C to the front wheel center Of, and the vertical distance hj (hj = 20 mm) from C to the line connecting the two wheel centers. Neglecting rolling resistance and aerodynamic forces, the propulsion for the system is provided by the tangential contact forces. The quasi-static equilibrium equations for the system are established as follows:
F x : F k 1 cos θ r + F k 2 N 1 sin θ r = 0 F y : F k 1 sin θ r + N 1 cos θ r + N 2 G = 0 M O f : F k 2 R O N 2 L + ( N 1 sin θ r F k 1 cos θ r ) ( h R O )             + ( F k 1 sin θ r + N 1 cos θ r ) R O + G L 1 = 0 ,
Substituting the critical sliding condition (Fki = μNi) into the system of Equation (10) leads to the simplified form:
( R O + L 1 ) sin θ r h cos θ r μ 2 + ( L + R O ) cos θ r + h sin θ r μ + ( L 1 L ) sin θ r = 0 ,

3.2. Obstacle-Crossing Model for the Rear Wheel

After the front wheel surmounts the step, the robot’s pitch angle becomes β, which can be expressed as:
β = arcsin h L ,
The angle θr between the rear-wheel assist lever and the step horizontal plane varies accordingly, satisfying the following relationship:
θ r = arctan h R O L e sin ( θ e + β ) R O L e cos ( θ e + β ) ,
The quasi-static mechanical model for the rear wheel’s obstacle crossing under the action of its assist lever is shown in Figure 6. Its key feature is that the front wheel contacts the step plane at point E, while the rear wheel contacts the step edge via its assist lever at point R. The equilibrium equations for the system are as follows:
F x : F k 1 + F k 2 cos θ r N 2 sin θ r = 0 F y : N 1 + F k 2 sin θ r + N 2 cos θ r G = 0 M O r : N 1 L cos β F k 1 h R O + N 2 cos θ r + F k 2 sin θ r R O + N 2 sin θ r F k 2 cos θ r h R O G L x = 0 ,
where Lx = (LL1)cosβhjsinβ is the horizontal distance from C to the wheel center of the rear wheel Or.
Longitudinal stability is evaluated by considering the critical condition of backward tipping about the rear axle. Solving Equations (12)–(14) at θe = 45° gives the critical pitch angle βmax = 59.28°. For the corresponding theoretical maximum step height, the predicted pitch angle is β = 32.82°, indicating sufficient stability margin (β < βmax).
β max = arccos R O ( L L 1 ) 2 + h j 2 arccos L L 1 ( L L 1 ) 2 + h j 2
Substituting the critical sliding condition (Fki = μNi) into the system of Equation (14) simplifies it to:
( R O sin θ r L x sin θ r ) μ 2 + ( R O cos θ r L cos β cos θ r ) μ + sin θ r ( L cos β L x ) = 0 ,
Figure 7 shows a clear trade-off: smaller θe increases the maximum surmountable height but requires a higher friction coefficient. For a fixed θe, the rear wheel achieves a lower maximum height than the front wheel because the body pitch shifts the lever contact condition. Therefore, the front wheel sets the minimum required μ, whereas the rear wheel limits the achievable obstacle height for the whole robot.

4. Simulation Verification

A multibody dynamic model was built in ADAMS (v2024) to validate the step-climbing feasibility of the proposed robot (Section 2). ADAMS enables high-fidelity simulation of mechanisms with multiple moving parts and provides contact-force computation using a Hertz-based IMPACT contact formulation. The simulations reported below evaluate obstacle-crossing performance under different eccentric angles and friction conditions.

4.1. Simulation of the Step-Climbing Process

Figure 8 illustrates the complete simulation sequence of the robot climbing a step with the theoretical maximum height of 23.8 cm under the conditions of an eccentric angle θe = 45° and a coefficient of friction μ = 0.6. This sequence fully reproduces the operational process described in Section 2.1.
Figure 8a–e depict the obstacle-crossing process of the front wheel: the robot approaches the step at a constant velocity from level ground; a brief slip occurs when the front wheel contacts the step before the assist lever engages; once the assist lever contacts the step, it provides an effective lifting moment to the main body, assisting the front wheel in successfully surmounting the obstacle.
Figure 8f–i illustrate the obstacle-crossing process of the rear wheel: after the front wheel has surmounted the step, the robot body continues to advance; the rear wheel contacts the step and experiences slip until its assist lever engages with the step and provides assistance, ultimately aiding the entire robot in successfully climbing onto the step.

4.2. Influence of the Eccentric Angle on Obstacle-Crossing Performance

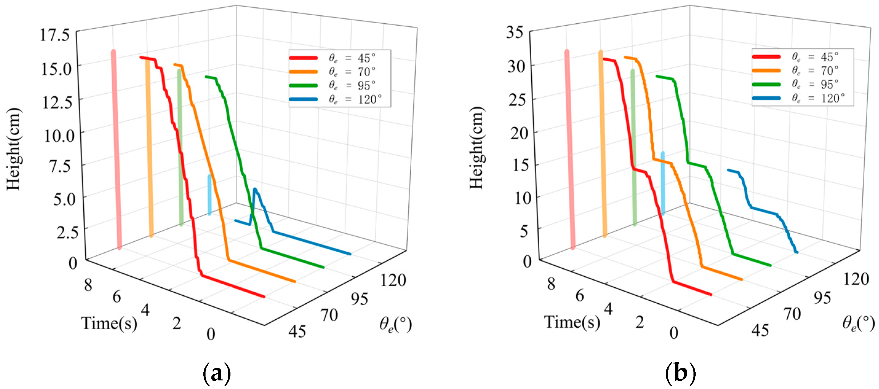
To systematically investigate the influence of the eccentric angle θe on obstacle-crossing performance, four selected angles—45°, 70°, 95°, and 120°—were chosen at equal intervals within the range of 45° to 120°. A series of simulations was conducted under the following conditions: step heights were set to the theoretical maximum for each respective θe, the coefficient of friction was μ = 0.8, and the robot’s travel speed was 0.1 m/s.
First, the simulation results concerning the front wheel’s obstacle-crossing capability are shown in Figure 9a. It can be observed that as the eccentric angle θe increases, the robot’s theoretical maximum obstacle-crossing height exhibits a monotonic decreasing trend. When θe increases to 120°, the minimum retraction point of the assist lever approaches the rightmost extremity of the wheel rim, leading to a significantly reduced effective engagement phase with the step. Consequently, the robot fails to surmount a step at its theoretical maximum height.
To verify the influence of the eccentric angle on the robot’s overall traversability, the complete four-wheel obstacle-crossing process was further analyzed. The simulation defined success as all four wheels successfully mounting the step. In cases of failure, the step height was reduced in 1 cm steps, and the experiment was repeated until climbing was successful. The time history of the robot’s height for each eccentric angle is presented in Figure 9b. Analysis reveals that when θe < 120°, the robot successfully climbs steps at their respective theoretical maximum heights. When θe = 120°, the robot can only negotiate a step height of 12 cm, reaching only 66% of its theoretical maximum from geometric analysis, indicating a significant reduction in its overall obstacle-crossing performance.
The above results are consistent with the pattern of front wheel capability revealed in Figure 9a. Together, they confirm that under lever-assisted obstacle crossing, a smaller eccentric angle results in a longer assist-lever phase, thereby endowing the robot with stronger overall obstacle-crossing capability compared to operating under a large eccentric angle.

4.3. Influence of the Coefficient of Friction on Obstacle-Crossing Performance Under Large Eccentric Angles

As discussed in Section 2.2, under a large eccentric angle, the elevated retraction point of the assist lever shortens the assist-lever phase during obstacle negotiation, leading to the emergence of a wheel-dominant phase. To further reveal the sensitivity of the system to ground conditions, a sensitivity analysis with respect to the ground friction coefficient is conducted in this paper. A simulation analysis is carried out for front-wheel obstacle crossing with the eccentric angle fixed at θe = 95° and the step height set to its theoretical maximum for this angle. Figure 10 presents the influence of different coefficients of friction on obstacle-crossing performance at this eccentric angle.
For large θe, the shortened lever-engagement phase leads to a pronounced wheel-dominant phase, which increases sensitivity to friction. Figure 10 shows that the robot fails at μ = 0.6 and 0.7 due to slipping during the wheel-dominant phase and succeeds only at μ = 0.8. Notably, this value is much higher than the theoretical critical friction coefficient predicted under full lever engagement in Section 3, highlighting the friction sensitivity introduced by the wheel-dominant phase. Therefore, experiments at large eccentric angles should be conducted on high-friction interfaces.

5. Experimental Verification

5.1. Prototype Fabrication

A prototype equipped with four APHOCW units was fabricated (Figure 11a). The main chassis and chassis-to-APHOCW connectors were made of aluminum alloy to ensure stiffness and reduce weight, while the critical load-bearing components, including the assist levers, connecting links, and shafts, were made of stainless steel to enhance strength and wear resistance. All the aforementioned metal parts were manufactured by Shenzhen Hongbaixin Hardware Products Co., Ltd., Shenzhen, China. Due to their complex geometric shapes, the wheel shells were 3D-printed in ABS by Shenzhen Wenext Technology Co., Ltd., Shenzhen, China. Since all three assist levers share the same motion trajectory and force characteristics, each APHOCW unit is assembled with only one stainless steel assist lever to validate the core mechanism while minimizing costs.
The total mass of the prototype is 17 kg, taking gravitational acceleration g = 9.80 m/s2, the maximum static load borne by the distal end of a single assist lever is calculated as Ft = Mg/4 = 41.65 N. When the assist lever is fully extended collinearly with the eccentric shaft, the maximum moment arm is Lm = 0.169 m. Consequently, the minimum required stall torque for the drive motor is Tm = Ft · Lm = 7.04 N·m. A self-locking worm-gear motor (Shenzhen Xinyongtai Motor Co., Ltd., Shenzhen, China), whose output torque meets this requirement, was ultimately selected as the angle adjustment actuator.
The control system architecture is illustrated in Figure 11b. It adopts an open-loop control strategy without an integrated obstacle detection system. Its main components include: a 24 V DC regulated power supply (Jiangmen Jiayue Electronic Technology Co., Ltd., Jiangmen, China), a PWM speed regulation module (Guangzhou Xiaojiang Electromechanical Equipment Co., Ltd., Guangzhou, China), four drive motors (M1–M4) (Guangdong Xinda Motor Co., Ltd., Dongguan, China) with corresponding ACS712 current sensing modules (Allegro MicroSystems, Worcester, MA, USA) (sampling frequency: 100 Hz), four angle-adjustment actuators (W1–W4), an Arduino master control board (Arduino LLC, Ivrea, Italy), a host computer, and a remote control unit for motion control. All motors are remotely controlled by this unit, and the robot performs obstacle-crossing tasks according to preset motion commands.
For safety during experiments, the remote control unit supports a manual emergency stop function, allowing the robot to be halted immediately at any time.
The prototype possesses acceptable mechanical robustness for indoor and flat ground tests, benefiting from metallic key load-bearing components and a simplified transmission structure. However, it is not yet suitable for muddy, sandy or loose terrain due to the plastic driving wheels and partial levers. The driving wheels will be upgraded to metallic materials in future work to enhance outdoor robustness.
The main technical equipment and specifications of the robot prototype are shown in Table 4.

5.2. Continuous Obstacle-Crossing Experiment

This study conducted continuous obstacle-crossing experiments on a four-stage concrete staircase (step dimensions: riser height × tread width = 120 mm × 350 mm) to evaluate the robot’s comprehensive performance in a realistic and complex environment. Starting from level ground at a constant initial velocity of 0.1 m/s, the robot approached the staircase in a straight line. A trial was considered successful only if the robot maintained stability throughout the entire process and if all rear wheels fully mounted the surface of the fourth step. Under this criterion, five valid test runs were performed to assess performance consistency. To ensure reliable and repeatable experimental results, all subsequent obstacle-crossing experiments in this study were repeated at least 5 times under the same conditions. The sequential obstacle-crossing process is illustrated in Figure 12.
Furthermore, Video S1 has been provided in the Supplementary Materials to visually demonstrate the continuous obstacle-crossing process. It should be noted that this video serves solely as a visual demonstration and corresponds to an independent experiment, rather than the successful trial depicted in Figure 12 and Figure 13 below.
Figure 13 records the variation in the robot’s pitch angle over time during a typical successful trial. The entire obstacle-crossing process lasted approximately 45 s, with the changes in pitch angle reflecting the periodic dynamic behavior during the climbing sequence. Numbers 1–6 in Figure 13 correspond to the obstacle-crossing phases labeled 1–6 in Figure 12, respectively.
At t = 8.7 s, the robot began to climb the first step. The pitch angle rose to and was maintained at a stable value for a period indicates that the front wheels had mounted the first step. The robot then continued forward until the front wheels contacted the next step. The positive peaks in the pitch angle curve correspond to the phenomenon where, before the rear wheels mounted the previous step, the front wheels contacted and briefly climbed (with occasional slip) the next step.
A decrease in the pitch angle, reaching a negative peak, corresponds to the rear wheels mounting the previous step. The subsequent recovery of the angle then corresponds to the front wheels mounting the next step.
After t = 37.3 s, the front wheels had already climbed onto the final step. The robot continued moving until t = 41.3 s, when the rear wheels began to climb the final step. The pitch angle eventually returned to 0°, marking the successful ascent of all four steps by the robot.
In this prototype verification stage, the experimental focus is placed on the engineering validation of the obstacle-crossing performance and climbing stability. Therefore, thermal state and energy consumption during continuous climbing were not measured in the present experiments. These issues will be further tested and discussed in our future work toward practical application and system optimization.

5.3. Influence of the Coefficient of Friction Under Large Eccentric Angles

Theoretical analysis and dynamic simulation indicate that when a larger eccentric angle (e.g., θe = 95°) is employed, the effective engagement phase of the lever is shortened, and the wheel-dominant phase is correspondingly extended. This results in increased sensitivity of the system to the ground friction coefficient. To validate this coupling effect, comparative tests were conducted on two experimental surfaces with friction coefficients of μ = 0.577 and μ = 0.839, respectively. The experimental setup is shown in Figure 14.
Figure 15 compares the temporal curves of the front-wheel drive current under the two friction conditions. It can be observed that under the low-friction condition (μ = 0.577), the wheel begins to climb with the assistance of the lever, but when the process transitions to the wheel-dominant phase in the later stage of obstacle crossing, insufficient traction causes it to slip down, resulting in crossing failure. In the figure, this is reflected as the current rising briefly to a peak and then rapidly dropping to near zero, followed by a slight recovery. Under the high-friction condition (μ = 0.839), the amplitude of the drive current is higher than in the low-friction case. After the assist lever retracts and the system switches to the wheel-dominant phase, the current declines steadily until the front wheel mounts the step, at which point the current curve levels off. This indicates that the higher ground friction coefficient provides the necessary traction to prevent slipping, ensuring that the robot can successfully mount the step when transitioning to the wheel-dominant phase. This observation, consistent with the simulation results, confirms that the prolonged wheel-dominant phase at large eccentric angles greatly increases sensitivity to friction and becomes a key limiting factor for obstacle-crossing performance.
These findings suggest that for low-friction surfaces, the large-eccentric-angle mode should be avoided unless high-friction wheel materials are employed. Alternatively, switching to smaller eccentric angles can reduce friction sensitivity and ensure reliable obstacle crossing.

5.4. Comparison of Obstacle-Crossing Performance Under Different Eccentric Angles

To quantitatively evaluate the impact of different eccentric angles θe on obstacle-crossing performance, the specific energy consumption εon is introduced as an evaluation metric. It is defined as the ratio of the total mechanical work S (J) output by the drive motors during the process from the initial contact of the front assist levers with the step to the moment the front wheels have fully mounted it, to the product of the robot’s mass M (kg) and the obstacle height h (cm):
ε o n = S M h ,
A lower value of εon indicates less energy consumed per unit weight and per unit obstacle-crossing height, implying higher energy efficiency.
Experiments were conducted under four conditions with eccentric angles θe = 45°, 60°, 90°, and 110°, with a fixed step height of 19 cm and a travel velocity of 0.1 m/s. Figure 16 shows that as θe increases, both the amplitude and duration of the drive current during the obstacle-crossing process exhibit an overall decreasing trend. The specific energy consumption εon decreases monotonically with increasing θe.
This pattern reveals that while a smaller eccentric angle (e.g., 45°) enables a greater obstacle-crossing height, it also results in higher energy consumption. In contrast, increasing the eccentric angle, though sacrificing some maximum obstacle-crossing capability, improves energy efficiency by extending the wheel-dominant phase.

5.5. Maximum Obstacle-Crossing Height Experiment

Based on the geometric and quasi-static mechanical analyses presented in Section 2 and Section 3, this study conducted an experimental validation of the theoretical obstacle-crossing capability at an eccentric angle θe = 45°. The corresponding theoretical maximum obstacle-crossing height for this condition is 23.8 cm. Considering experimental constraints, a standard 23 cm step was selected as the test platform to effectively validate the robot’s practical performance in climbing high obstacles. This height represents approximately 97% of the theoretical limit and corresponds to about 2.1 times the wheel radius, providing substantial engineering validation value.
In the experiment, the robot approached and climbed the step at a constant velocity of 0.1 m/s. The success criterion was defined as all wheels completely mounting the upper surface of the step. The experimental process is illustrated in Figure 17.
Figure 18 illustrates the temporal variations in the robot’s height and the drive currents of the front and rear wheels during the obstacle-crossing process.
During the period from t = 1.8 s to t = 3.2 s, the robot moved steadily toward the step with no significant change in height. After t = 3.2 s, the front wheels contacted the step and began to slip. During this phase, the front-wheel drive current increased rapidly, reaching its first peak at t = 4.3 s, which marked the moment the front assist levers contacted and began to bear load on the step.
From t = 4.8 s to t = 7.9 s, the front wheels climbed the step with the assistance of their levers, and the robot’s height increased continuously. In this stage, the front-wheel current initially exhibited a brief decrease, then rose rapidly to a second peak before gradually declining.
Between t = 7.9 s and t = 10.1 s, the front wheels had completely mounted the step. The robot’s height remained at a stable value as the robot continued moving forward until the rear wheels contacted the step.
From t = 10.1 s to t = 10.8 s, the rear wheels contacted the step and slipped, causing the rear-wheel drive current to rise sharply and reach its first peak at t = 10.8 s. This peak marked the moment the rear assist levers began contacting the step.
Subsequently, from t = 10.8 s to t = 13.4 s, the rear wheels surmounted the step with the action of their assist levers, and the robot’s height continued to rise. The variation trend of the rear-wheel current during this phase was essentially consistent with that observed during the front-wheel climbing stage.
After t = 13.4 s, the entire robot successfully mounted the step and resumed steady motion, and the robot’s height attained its maximum value and remained constant.
Tests were conducted on a wooden step, which has lower friction compared to typical concrete surfaces. Given that successful obstacle climbing was achieved under this relatively low-friction condition, the 2.1R result can be considered applicable to common rigid surfaces with similar or higher friction levels.

5.6. Effect of Payload on Obstacle-Crossing Performance

To evaluate the influence of payload on the obstacle-crossing performance of the proposed robot, a series of experiments was conducted with varying added masses. The robot itself has a baseline weight of 17 kg. Three payload conditions were tested: 6 kg, 12 kg, and 20 kg, representing light, medium, and heavy load conditions relative to the robot’s own weight, respectively. The experimental setup is shown in Figure 19.
The experiments were performed on a step obstacle with a height of 150 mm. The eccentric angle was fixed at θe = 45°, which provides the maximum obstacle-crossing capability. For each payload condition, the robot was remotely controlled to climb the step five times, and the success criterion was defined as all wheels completely mounting the upper surface of the step.
The time required for the robot to complete obstacle crossing under different payloads is recorded in Table 5. As the payload increases, the crossing time significantly extends. This can be attributed to the fact that a heavier robot requires greater traction and torque from the drive motors to overcome the same geometric obstacle. Under a fixed supply voltage and motor characteristics, the increased torque demand inevitably shifts the motor operating point to a lower speed region, thereby prolonging the crossing process.
The experimental results show that the robot can handle a payload of up to 20 kg, which corresponds to a load-to-weight ratio of approximately 1.18. It is important to note that in the current prototype, only key load-bearing components are made of metal, while the majority of other parts are 3D-printed from ABS plastic. While this material choice is adequate for validating the core mechanism, it limits the robot’s payload capacity. In future work, these plastic components will be replaced with metal parts to enhance structural strength, reduce deformation under load, and further improve the robot’s overall payload performance.

6. Conclusions

This paper successfully designed and validated a mobile robot based on the Active–Passive Hybrid Obstacle-Crossing Wheel (APHOCW). By actively adjusting the eccentric angle, the trajectory range of the assist levers can be controlled, enabling obstacle crossing through lever assistance. This approach enhances the robot’s traversability in unstructured terrain while maintaining low system complexity and high reliability.
To quantitatively demonstrate the advantage of the proposed mechanism, Table 6 presents a comparison with representative wheeled systems reported in the literature.
Theoretical research clarified the influence of the eccentric angle as a core parameter on obstacle-crossing performance and established corresponding geometric and quasi-static mechanical models. Simulations and experiments were conducted, demonstrating that the robot can stably surmount obstacles up to 2.1 times the wheel radius and achieve continuous stair ascent. Integrated theoretical analysis and experimental results indicate that a small-eccentric-angle mode improves the mechanism’s ultimate obstacle-crossing capability, allowing it to climb higher obstacles. In contrast, a large-eccentric-angle mode exhibits a more prominent wheel-dominant phase, which demands higher ground friction but consumes less energy during obstacle crossing. For different eccentric angles, there exists a clear trade-off between the robot’s obstacle-crossing capability and energy efficiency, providing a theoretical basis for mode selection in different task scenarios.
However, the current research has several limitations. In the critical transition phase of obstacle crossing, a detailed analysis of the projection of the center of mass onto the support polygon has not been conducted. In addition, this prototype is mainly designed for indoor, flat and rigid terrains, and some components such as driving wheels and auxiliary levers are fabricated from 3D-printed ABS plastic, which limits its robustness and wear resistance in unstructured outdoor environments such as muddy, sandy or gravel terrains. Furthermore, the current control system adopts an open-loop remote control strategy without real-time environmental perception capability and closed-loop feedback mechanism, resulting in a lack of autonomous adaptability to dynamic terrain changes. Finally, the experimental verification is mainly carried out under fixed speed and specific obstacle height conditions, ignoring tests under variable speed conditions or on more complex terrains with irregular obstacle shapes and sizes.
In future work, more detailed quantitative analyses—including precise actuator torque calculations and structural load-path specifications—will be conducted as part of further engineering development. The research will be deepened and expanded in the following systematic directions: first, real-time control algorithms with optimal energy performance will be developed for different types of stair environments; second, adaptive motion planning strategies will be designed for more complex and unstructured terrains such as non-standard stairs, uneven ground, and continuous obstacle clusters, so as to improve the stability and traversal efficiency of the robot in diverse scenarios; third, an automatic eccentric-angle adjustment system based on real-time environmental perception will be developed to replace the current manual remote control, enabling the robot to independently identify terrain features and select the optimal eccentric-angle mode; fourth, the mechanical structure and material configuration will be further upgraded by adopting metal driving wheels and all-metal load-bearing components, to enhance the robustness and adaptability of the prototype in outdoor soft and complex terrains. Through these improvements, the robot will ultimately achieve fully autonomous and highly adaptive obstacle-crossing in real unstructured environments.

Supplementary Materials

The following supporting information can be downloaded at: https://www.mdpi.com/article/10.3390/machines14030334/s1, Video S1: Continuous Obstacle-Crossing Experiment.

Author Contributions

Conceptualization, P.W. and P.L.; methodology, P.W.; software, P.W. and X.W.; validation, P.W. and X.W.; formal analysis, P.W. and X.W.; investigation, P.W., H.Y., M.L. and X.W.; resources, P.L. and P.W.; data curation, P.W. and H.Y.; writing—original draft preparation, M.L. and P.W.; writing—review and editing, P.W. and P.L.; visualization, P.W. and H.Y.; supervision, P.L.; project administration, P.L. and P.W. All authors have read and agreed to the published version of the manuscript.

Funding

This research received no external funding.

Data Availability Statement

The original contributions presented in the study are included in the article; further inquiries can be directed to the corresponding author.

Conflicts of Interest

The authors declare no conflicts of interest.

Abbreviations

The following abbreviations are used in this manuscript:
WMRsWheeled mobile robots
APHOCWActive–Passive Hybrid Obstacle-Crossing Wheels

References

  1. Wang, Y.; Pancheri, F.; Lueth, T.C.; Sun, Y. Design of a Spider-Inspired Wheeled Compliant Leg for Search Mobile Robots. Biomim. Intell. Robot. 2024, 4, 100182. [Google Scholar] [CrossRef]
  2. Kakogawa, A.; Murata, K.; Ma, S. Automatic T-Branch Travel of an Articulated Wheeled In-Pipe Inspection Robot Using Joint Angle Response to Environmental Changes. IEEE Trans. Ind. Electron. 2023, 70, 7041–7050. [Google Scholar] [CrossRef]
  3. Gao, X.; Li, J.; Fan, L.; Zhou, Q.; Yin, K.; Wang, J.; Song, C.; Huang, L.; Wang, Z. Review of Wheeled Mobile Robots’ Navigation Problems and Application Prospects in Agriculture. IEEE Access 2018, 6, 49248–49268. [Google Scholar] [CrossRef]
  4. Raj, R.; Kos, A. A Comprehensive Study of Mobile Robot: History, Developments, Applications, and Future Research Perspectives. Appl. Sci. 2022, 12, 6951. [Google Scholar] [CrossRef]
  5. Rubio, F.; Valero, F.; Llopis-Albert, C. A Review of Mobile Robots: Concepts, Methods, Theoretical Framework, and Applications. Int. J. Adv. Robot. Syst. 2019, 16, 1729881419839596. [Google Scholar] [CrossRef]
  6. Liu, X.; Sun, Y.; Wen, S.; Cao, K.; Qi, Q.; Zhang, X.; Shen, H.; Chen, G.; Xu, J.; Ji, A. Development of Wheel-Legged Biped Robots: A Review. J. Bionic Eng. 2024, 21, 607–634. [Google Scholar] [CrossRef]
  7. Zhang, C.; Song, S.; Meng, M.Q.-H. Dynamic Height Balance Control for Bipedal Wheeled Robot Based on ROS-Gazebo. In Proceedings of the 2019 IEEE International Conference on Robotics and Biomimetics, Robio, Dali, China, 6–8 December 2019; IEEE: New York, NY, USA, 2019; pp. 1875–1880. [Google Scholar]
  8. Bouton, A.; Grand, C.; Benamar, F. Motion Control of a Compliant Wheel-Leg Robot for Rough Terrain Crossing. In Proceedings of the 2016 IEEE International Conference on Robotics and Automation (ICRA), Stockholm, Sweden, 16–21 May 2016; pp. 2846–2851. [Google Scholar]
  9. Komura, H.; Yamada, H.; Hirose, S.; Endo, G.; Suzumori, K. Study of Swing-Grouser Wheel: A Wheel for Climbing High Steps, Even in Low Friction Environment. In Proceedings of the 2015 IEEE/RSJ International Conference on Intelligent Robots and Systems (IROS), Hamburg, Germany, 28 September–2 October 2015; IEEE: New York, NY, USA, 2015; pp. 4159–4164. [Google Scholar]
  10. Bakhsh, Q.; Hasnan, K.; Ahmed, A. Comparative Study between Wheeled and Tracked Mobility System for Mobile Robot. Appl. Mech. Mater. 2013, 393, 538–543. [Google Scholar] [CrossRef]
  11. Park, I.; Yoon, H.; Kim, S.; Kim, H.S.; Seo, T. Review on Transformable Wheel: Mechanism Classification and Analysis According to Mechanical Complexity. Int. J. Precis. Eng. Manuf. 2025, 26, 737–755. [Google Scholar] [CrossRef]
  12. Sun, T.; Xiang, X.; Su, W.; Wu, H.; Song, Y. A Transformable Wheel-Legged Mobile Robot: Design, Analysis and Experiment. Robot. Auton. Syst. 2017, 98, 30–41. [Google Scholar] [CrossRef]
  13. Xu, Q.; Xu, H.; Xiong, K.; Zhou, Q.; Guo, W. Design and Analysis of a Bi-Directional Transformable Wheel Robot Trimode. In Proceedings of the 2021 IEEE/RSJ International Conference on Intelligent Robots and Systems (IROS), Prague, Czech Republic, 27 September–1 October 2021; IEEE: New York, NY, USA, 2021; pp. 8396–8403. [Google Scholar]
  14. Liu, Y.; Wei, Y.; Feng, T.; Wang, C.; Wu, H. RWD-DOF: A Dual-Degree-of-Freedom Reconfigurable Wheel Design for Improved Robotic Mobility. Sci. Rep. 2025, 15, 16360. [Google Scholar] [CrossRef] [PubMed]
  15. Mertyuz, I.; Tanyildizi, A.K.; Tasar, B.; Tatar, A.B.; Yakut, O. FUHAR: A Transformable Wheel-Legged Hybrid Mobile Robot. Robot. Auton. Syst. 2020, 133, 103627. [Google Scholar] [CrossRef]
  16. Olar, M.L.; Leba, M.; Costinas, A.; Tomus, B. Augmented Vehicle Wheels “Cat Claws’’ Inspired. In Proceedings of the 2022 7th International Conference on Mathematics and Computers in Sciences and Industry, MCSI; IEEE Computer Society: Los Alamitos, CA, USA, 2022; pp. 155–159. [Google Scholar]
  17. Zheng, C.; Sane, S.; Lee, K.; Kalyanram, V.; Lee, K. α-WaLTR: Adaptive Wheel-and-Leg Transformable Robot for Versatile Multiterrain Locomotion. IEEE Trans. Robot. 2023, 39, 941–958. [Google Scholar] [CrossRef]
  18. Godden, T.; Mulvey, B.W.; Redgrave, E.; Nanayakkara, T. PaTS-Wheel: A Passively-Transformable Single-Part Wheel for Mobile Robot Navigation on Unstructured Terrain. IEEE Robot. Autom. Lett. 2024, 9, 5512–5519. [Google Scholar] [CrossRef]
  19. Baishya, N.J.; Bhattacharya, B.; Ogai, H.; Tatsumi, K. Design of an Anti-Slip Mechanism for Wheels of Step Climbing Robots. Actuators 2021, 10, 259. [Google Scholar] [CrossRef]
  20. Wei, Y.; Lee, K. CLAW: Cycloidal Legs-Augmented Wheels for Stair and Obstacle Climbing in Mobile Robots. IEEE ASME Trans. Mechatron. 2025, 30, 1536–1546. [Google Scholar] [CrossRef]
  21. Pu, H.; Zhao, J.; Sun, Y.; Ma, S.; Luo, J.; Gong, Z. Non-Reciprocating Legged Gait for Robot with Epicyclic-Gear-Based Eccentric Paddle Mechanism. Robot. Auton. Syst. 2015, 68, 36–46. [Google Scholar] [CrossRef]
  22. Pu, H.; Liu, C.; Sun, Y.; Yang, Y.; Zou, J.; Liu, N.; Xie, S.; Peng, Y.; Luo, J. Optimized Non-Reciprocating Legged Gait for an Eccentric Paddle Mechanism. Robot. Auton. Syst. 2018, 103, 83–92. [Google Scholar] [CrossRef]
  23. Shen, Y.; Zhang, G.; Tian, Y.; Ma, S. Development of a Wheel-Paddle Integrated Quadruped Robot for Rough Terrain and Its Verification on Hybrid Mode. IEEE Robot. Autom. Lett. 2018, 3, 4062–4067. [Google Scholar] [CrossRef]
  24. Sun, Y.; Zhang, L.; Wang, M.; Ding, J.; Jia, W.; Pu, H.; Luo, J. Design and Experimental Evaluation of a Multi-Mode Mobile Robot Based on Eccentric Paddle Mechanism. IEEE Robot. Autom. Lett. 2021, 6, 8607–8614. [Google Scholar] [CrossRef]
Figure 1. The four-wheeled robot equipped with Active–Passive Hybrid Obstacle-Crossing Wheels: (a) overall structure; (b) kinematic diagram of a single APHOCW unit.
Figure 1. The four-wheeled robot equipped with Active–Passive Hybrid Obstacle-Crossing Wheels: (a) overall structure; (b) kinematic diagram of a single APHOCW unit.
Machines 14 00334 g001
Figure 2. Robot locomotion modes: (a) wheeled rolling; (b) lever-assisted obstacle-crossing.
Figure 2. Robot locomotion modes: (a) wheeled rolling; (b) lever-assisted obstacle-crossing.
Machines 14 00334 g002
Figure 3. Geometric analysis model of the APHOCW.
Figure 3. Geometric analysis model of the APHOCW.
Machines 14 00334 g003
Figure 4. Geometric relationship diagram for the lever-assisted obstacle-crossing mode: (a) hs vs. θe; (b) hc vs. θe.
Figure 4. Geometric relationship diagram for the lever-assisted obstacle-crossing mode: (a) hs vs. θe; (b) hc vs. θe.
Machines 14 00334 g004
Figure 5. Quasi-static model for front wheel obstacle-crossing.
Figure 5. Quasi-static model for front wheel obstacle-crossing.
Machines 14 00334 g005
Figure 6. Quasi-static model for the rear wheel obstacle-crossing.
Figure 6. Quasi-static model for the rear wheel obstacle-crossing.
Machines 14 00334 g006
Figure 7. Influence of the coefficient of friction on the maximum surmountable step height under multiple eccentric angle sets: (a) for the front wheel; (b) for the rear wheel.
Figure 7. Influence of the coefficient of friction on the maximum surmountable step height under multiple eccentric angle sets: (a) for the front wheel; (b) for the rear wheel.
Machines 14 00334 g007
Figure 8. Simulation sequence of obstacle crossing with an eccentric angle θe = 45°. (ae) Obstacle-crossing process of the front wheel; (fi) Obstacle-crossing process of the rear wheel.
Figure 8. Simulation sequence of obstacle crossing with an eccentric angle θe = 45°. (ae) Obstacle-crossing process of the front wheel; (fi) Obstacle-crossing process of the rear wheel.
Machines 14 00334 g008
Figure 9. Variation in robot height during obstacle-crossing at different eccentric angles: (a) front-wheel crossing; (b) whole-robot crossing.
Figure 9. Variation in robot height during obstacle-crossing at different eccentric angles: (a) front-wheel crossing; (b) whole-robot crossing.
Machines 14 00334 g009
Figure 10. Influence of different coefficients of friction on obstacle-crossing performance at θe = 95°.
Figure 10. Influence of different coefficients of friction on obstacle-crossing performance at θe = 95°.
Machines 14 00334 g010
Figure 11. Robot prototype and control system: (a) physical prototype; (b) control system architecture.
Figure 11. Robot prototype and control system: (a) physical prototype; (b) control system architecture.
Machines 14 00334 g011
Figure 12. Experimental scenario of continuous obstacle crossing.
Figure 12. Experimental scenario of continuous obstacle crossing.
Machines 14 00334 g012
Figure 13. Time history of the pitch angle during continuous obstacle crossing.
Figure 13. Time history of the pitch angle during continuous obstacle crossing.
Machines 14 00334 g013
Figure 14. Experimental environments under different friction coefficient interfaces: (a) Test scenario with low friction coefficient (μ = 0.577); (b) Test scenario with high friction coefficient (μ = 0.839).
Figure 14. Experimental environments under different friction coefficient interfaces: (a) Test scenario with low friction coefficient (μ = 0.577); (b) Test scenario with high friction coefficient (μ = 0.839).
Machines 14 00334 g014
Figure 15. Comparison of front wheel drive current under different friction conditions.
Figure 15. Comparison of front wheel drive current under different friction conditions.
Machines 14 00334 g015
Figure 16. Energy consumption of the front wheels during ascent of the same step under different eccentric angles.
Figure 16. Energy consumption of the front wheels during ascent of the same step under different eccentric angles.
Machines 14 00334 g016
Figure 17. Experimental Verification of the Theoretical Obstacle Height.
Figure 17. Experimental Verification of the Theoretical Obstacle Height.
Machines 14 00334 g017
Figure 18. Time-history response of drive motor current and height during obstacle crossing.
Figure 18. Time-history response of drive motor current and height during obstacle crossing.
Machines 14 00334 g018
Figure 19. Experimental setup for payload tests: (a) 6 kg; (b) 12 kg; (c) 20 kg.
Figure 19. Experimental setup for payload tests: (a) 6 kg; (b) 12 kg; (c) 20 kg.
Machines 14 00334 g019
Table 1. Comparison of representative obstacle-crossing wheel mechanisms.
Table 1. Comparison of representative obstacle-crossing wheel mechanisms.
TypeDOFRepresentative RobotsAdvantagesLimitations
Active transformable wheels Transformable wheel-legged robot, Trimode robot, RWD-DOF, FUHAR, Cat Claws, etc.Capable of overcoming large-scale obstacles;
Enhanced terrain adaptability through shape change or add-on modules
Complex mechanical design;
Difficult to control; Shape transition often requires deceleration or stops
passive transformable wheels α-WaLTR, PaTS-Wheel, etc.Reduced control complexity;
No sensing or control required for reconfiguration
Unpredictable shape transitions;
Narrow adaptability, depends on specific terrain conditions
Specialized Mechanisms1-DOFASM, CLAWASM: Actively grips stair edges, reduces dependence on friction; CLAW: Passive cycloidal linkage, low complexity, efficientASM: Limited adaptability to non-standard stairs; CLAW: Fixed foot trajectory, limited posture adjustment on soft or dynamic terrain
2-DOF2-DOF ePaddleReduced mechanical complexity compared to 3-DOF while retaining similar multi-terrain locomotion capabilitiesHigher control complexity
This workOffers high stair-climbing capability;
Achieves further mechanical simplification; Employs a relatively simple control strategy
Lack of diverse gait patterns limits adaptability to rough terrain
3-DOF3-DOF ePaddleCapable of obstacle climbing, amphibious locomotion, and sandy terrain traversalComplex structure with redundant components; Heavier weight; High power consumption
Table 2. Key design parameters of the robot.
Table 2. Key design parameters of the robot.
ModuleSymbolValueUnitDescription
RobotL684mmLength of the robot
W730mmWidth of the robot
H220mmHeight of the robot
70mmMinimum ground clearance of the chassis
M17KgTotal mass of the robot
Table 3. Geometric Parameters.
Table 3. Geometric Parameters.
SymbolDescription
LnLength of the assist lever
LeLength of the connecting link
ROWheel radius
θeEccentric angle
θrAngle between the assist lever and the horizontal line
hsThe theoretical maximum obstacle-crossing height
hcHeight of the lowest intersection point between the auxiliary lever trajectory and the wheel rim.
Table 4. Technical equipment and specifications of the robot prototype.
Table 4. Technical equipment and specifications of the robot prototype.
EquipmentSpecification
Main chassis & chassis-to-APHOCW connectorsAluminum alloy
Wheel shells3D-printed ABS plastic
Assist levers (per APHOCW unit)1 piece stainless steel, 2 pieces 3D-printed ABS plastic
Connecting links & shaftsStainless steel
Drive motors (M1–M4)DC motors, matched with PWM speed regulation
Angle-adjustment actuators (W1–W4)Self-locking worm-gear motors, stall torque ≥ 7.04 N·m
DC regulated power supply24 V
Current sensing modulesACS712, sampling frequency 100 Hz
Main control boardArduino
Table 5. Obstacle-crossing time under different payload conditions.
Table 5. Obstacle-crossing time under different payload conditions.
Payload (kg)Crossing Time (s)
613.4
1214.8
2016.3
Table 6. Obstacle-crossing performance comparison with similar-sized wheeled systems.
Table 6. Obstacle-crossing performance comparison with similar-sized wheeled systems.
RobotWheel Radius (cm)Max Obstacle Height (cm)Ratio
PaTS—Wheel11231.4
α-WaLTR11222
This work (APHOCW)11232.1
2-DOF ePaddle14302.14
CLAW10262.6
Disclaimer/Publisher’s Note: The statements, opinions and data contained in all publications are solely those of the individual author(s) and contributor(s) and not of MDPI and/or the editor(s). MDPI and/or the editor(s) disclaim responsibility for any injury to people or property resulting from any ideas, methods, instructions or products referred to in the content.

Share and Cite

MDPI and ACS Style

Wang, P.; Wen, X.; Yin, H.; Li, M.; Liu, P. An Obstacle-Negotiation Wheel with Hybrid Active–Passive Mechanism for Mechanical Augmentation. Machines 2026, 14, 334. https://doi.org/10.3390/machines14030334

AMA Style

Wang P, Wen X, Yin H, Li M, Liu P. An Obstacle-Negotiation Wheel with Hybrid Active–Passive Mechanism for Mechanical Augmentation. Machines. 2026; 14(3):334. https://doi.org/10.3390/machines14030334

Chicago/Turabian Style

Wang, Peixiang, Xinyuan Wen, Hongjun Yin, Meiru Li, and Pingyi Liu. 2026. "An Obstacle-Negotiation Wheel with Hybrid Active–Passive Mechanism for Mechanical Augmentation" Machines 14, no. 3: 334. https://doi.org/10.3390/machines14030334

APA Style

Wang, P., Wen, X., Yin, H., Li, M., & Liu, P. (2026). An Obstacle-Negotiation Wheel with Hybrid Active–Passive Mechanism for Mechanical Augmentation. Machines, 14(3), 334. https://doi.org/10.3390/machines14030334

Note that from the first issue of 2016, this journal uses article numbers instead of page numbers. See further details here.

Article Metrics

Back to TopTop