Study on Loosening Mechanisms of Fastening Bolt in High-Speed Train Brake Disc
Abstract
1. Introduction
2. Full-Scale Bench Test
2.1. Experiment Setup
2.2. Measurement
3. Thermal-Mechanical Coupling Model and Validation
3.1. Modelling Establishment
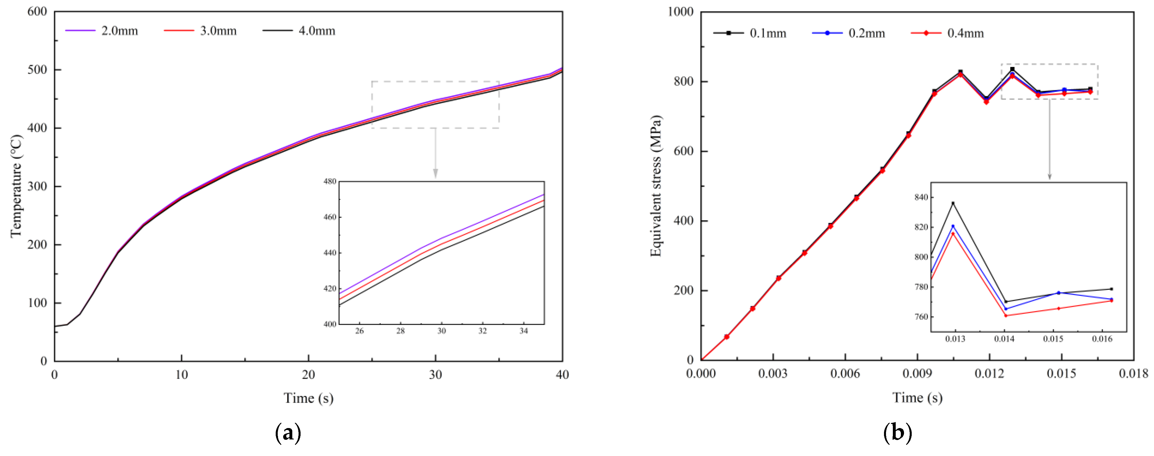
3.2. Modelling Settings
3.3. Modelling Validation
4. Thermomechanical Response of Fastening Bolt
4.1. Temperature
4.2. Deformation
4.3. Loosening Mechanism
5. Influence Factors of Loosening
5.1. Initial Speed
5.2. Brake Pressure
6. Conclusions
Author Contributions
Funding
Data Availability Statement
Acknowledgments
Conflicts of Interest
References
- Chen, Y.; Gao, F.; Fu, R.; Su, L.; Han, X.; Yang, J. Braking-Experimental Study on the Relationship between Friction Material Type and Brake Disc Temperature. ILT 2022, 74, 975–984. [Google Scholar] [CrossRef]
- Chang, J.; Jiang, D.; Han, C.; Wu, X.; Hu, F. Thermal Field Simulation and Thermal Capacity Influence Factor Analysis of Disc Brake Based on Thermal-Structure Coupling. J. Phys. Conf. Ser. 2023, 2610, 012005. [Google Scholar] [CrossRef]
- Ghadimi, B.; Sajedi, R.; Kowsary, F. 3D Investigation of Thermal Stresses in a Locomotive Ventilated Brake Disc Based on a Conjugate Thermo-Fluid Coupling Boundary Conditions. Int. Commun. Heat Mass Transf. 2013, 49, 104–109. [Google Scholar] [CrossRef]
- Yevtushenko, A.; Kuciej, M.; Och, E. Influence of Thermal Sensitivity of the Materials on Temperature and Thermal Stresses of the Brake Disc with Thermal Barrier Coating. Int. Commun. Heat Mass Transf. 2017, 87, 288–294. [Google Scholar] [CrossRef]
- Wang, Z.; Allen, P.; Mei, G.; Wang, R.; Yin, Z.; Zhang, W. Influence of Wheel-Polygonal Wear on the Dynamic Forces within the Axle-Box Bearing of a High-Speed Train. Veh. Syst. Dyn. 2020, 58, 1385–1406. [Google Scholar] [CrossRef]
- Shu, Y.; Yang, G.; Liu, Z.; Dong, L. High-Speed Train Axle Fretting Fatigue Scaling Experiment Research and Damage Analysis. Eng. Fail. Anal. 2024, 162, 108317. [Google Scholar] [CrossRef]
- Zhu, Q.; Xie, J.; Zhang, W.; Chen, G.; Tuo, J. Influence of Disc Brake on Wheel Polygonal Wear of High-Speed Train. Wear 2023, 524–525, 204814. [Google Scholar] [CrossRef]
- Yu, Q.; Zhou, H.; Yu, X.; Yang, X. High-Temperature Low Cycle Fatigue Life Prediction and Experimental Research of Pre-Tightened Bolts. Metals 2018, 8, 828. [Google Scholar] [CrossRef]
- Gao, S.; Li, J.; Guo, L.; Bai, Q.; Li, F. Mechanical Properties and Low-Temperature Impact Toughness of High-Strength Bolts after Elevated Temperatures. J. Build. Eng. 2022, 57, 104851. [Google Scholar] [CrossRef]
- Zhao, W.; Lian, C.; Zhang, W.; Zhang, H.; Zhang, T.; Wang, P.; Yue, Z. Test and Simulation of High Temperature Resistant Polyamide Composite with Single Lap Single Bolt Connection. Thin-Walled Struct. 2025, 206, 112649. [Google Scholar] [CrossRef]
- Zhang, W.; Xie, J.; Li, S. Low-Cycle Fatigue Behavior of High-Strength Bolts under Combined Tension-Shear Loading. Eng. Struct. 2025, 340, 120799. [Google Scholar] [CrossRef]
- Du, J.; Qiu, Y.; Li, J. Research on Bolt Loosening Mechanism Under Sine-on-Random Coupling Vibration Excitation. Machines 2025, 13, 80. [Google Scholar] [CrossRef]
- Baek, K.-H.; Jeong, N.-T.; Hong, H.-R.; Choi, S.; Lee, E.-S.; Kim, H.-M.; Kwon, J.-W.; Song, S.-Y.; Jang, H.-S.; Lee, H.-Y.; et al. Loosening Mechanism of Threaded Fastener for Complex Structures. J Mech Sci Technol 2019, 33, 1689–1702. [Google Scholar] [CrossRef]
- Ding, B.; Zhao, Y.; Huang, Z.; Cai, L.; Wang, N. Tensile Bearing Capacity for Bolted Spherical Joints with Different Screwing Depths of High-Strength Bolts. Eng. Struct. 2020, 225, 111255. [Google Scholar] [CrossRef]
- Chen, F.; Zhang, J.; Wang, C.; Yuan, F.; Wang, W.; Yang, S.; Di, Q. Three-Dimensional Mechanical Characteristics Analysis of Bolted Joints and Loosening Mechanism. Eng. Fail. Anal. 2024, 157, 107894. [Google Scholar] [CrossRef]
- Nguyen-Hoang, M.; Becker, W. Stress Analysis of a Bolted Finite Dimensions Plate under Bearing-Bypass Load Interaction Using the Airy Stress Function. Eng. Struct. 2022, 256, 113943. [Google Scholar] [CrossRef]
- Zhao, L.; Kuang, R.; Tian, G.; Shi, X.; Sun, L. Acoustoelastic Theory and Mode Analysis of Bolted Structures Under Preload. Machines 2024, 12, 822. [Google Scholar] [CrossRef]
- Yan, X.; Liu, Z.; Zhao, Y.; Li, Y.; Chen, W.; Li, M. Experimental and Numerical Study on the Effect of Load Direction on the Bolt Loosening Failure. Eng. Fail. Anal. 2024, 163, 108574. [Google Scholar] [CrossRef]
- Liu, X.; Yu, G.; Xu, J.; Zhang, Y.; Hu, Y.; Ding, S.; Xia, R. Dynamic Mechanical Characteristics of Bolted Connections under Transverse Vibration. J. Braz. Soc. Mech. Sci. Eng. 2024, 47, 23. [Google Scholar] [CrossRef]
- Yang, L.; Zhao, H.; Yang, G.; Yang, B.; Xiao, S.; Jiang, S. Load-Equivalent Model and Loosening Life Prediction Method of Bolts under Transverse Loading. Eng. Struct. 2024, 314, 118295. [Google Scholar] [CrossRef]
- Sun, L.; Liu, S.; Zhao, H.; Muhammad, U.; Zhang, X. Study on Bolt Loosening Behavior under Temperature Variations Based on Thread Modeling. J. Braz. Soc. Mech. Sci. Eng. 2025, 47, 417. [Google Scholar] [CrossRef]
- Wang, H.; Xue, P. Investigation of the Uncoordinated Bolt Deformation of a Disc–Drum Combined Structure in a Turbine under Various Operating Conditions. Machines 2023, 11, 661. [Google Scholar] [CrossRef]
- Yan, K.; Hu, Y.; Zhao, K.; Lin, X. Study on Safety Performance of Building Finish Layer under Thermomechanical Coupling Condition. Adv. Mater. Sci. Eng. 2021, 2021, 3438613. [Google Scholar] [CrossRef]
- He, L.; Yuan, Z.; Zhang, B.; Nie, Y.; Li, T. Study of Bolt Loosening under Vibration Conditions Considering High-Temperature Creep. J. Braz. Soc. Mech. Sci. Eng. 2022, 44, 306. [Google Scholar] [CrossRef]
- Qu, J.; Wang, W.; Wang, B.; Li, G.; Jiao, B. Analysis of the Axial Load of Bolts of Wheel-Mounted Brake Discs of High-Speed Trains. Eng. Fail. Anal. 2022, 137, 106250. [Google Scholar] [CrossRef]
- Fan, T.; Ren, Z.; Xue, R. Load Variation of the Wheel-Mounted Brake Disc Bolts of a High-Speed Train. Eng. Fail. Anal. 2021, 119, 105001. [Google Scholar] [CrossRef]
- Wang, X.; Wang, W.; Wang, Y. Variation of Bolt Loads of Axle Braking Disc under Continuous Braking Condition. J. Mech. Eng. 2018, 54, 71–77. [Google Scholar] [CrossRef]
- Shen, X.; Lu, L.; Zeng, D. Fatigue Failure Analysis of High Strength Bolts Used for High-Speed Railway Vehicle Braking Discs. Eng. Fail. Anal. 2020, 115, 104661. [Google Scholar] [CrossRef]
- Zhou, S.; Guo, Z.; Bai, X. Fatigue Fracture Analysis of Brake Disc Bolts under Continuous Braking Condition. Eng. Fail. Anal. 2020, 115, 104588. [Google Scholar] [CrossRef]
- Wang, Z.; Han, J.; Domblesky, J.P.; Li, Z.; Fan, X.; Liu, X. Crack Propagation and Microstructural Transformation on the Friction Surface of a High-Speed Railway Brake Disc. Wear 2019, 428–429, 45–54. [Google Scholar] [CrossRef]
- Li, Z.; Han, J.; Yang, Z.; Pan, L. The Effect of Braking Energy on the Fatigue Crack Propagation in Railway Brake Discs. Eng. Fail. Anal. 2014, 44, 272–284. [Google Scholar] [CrossRef]
- Li, Z.; Xiao, P.; Xiong, X.; Zhu, S. Tribological Characteristics of C/C-SiC Braking Composites under Dry and Wet Conditions. Trans. Nonferrous Met. Soc. China 2008, 18, 1071–1075. [Google Scholar] [CrossRef]
- Benhassine, N.; Haiahem, A.; Bou-Said, B. A Comparative Study of the Transient Thermomechanical Behavior of Friction of the Ceramic Brake Discs: Temperature Field Effect. J. Mech. Sci. Technol. 2019, 33, 233–240. [Google Scholar] [CrossRef]
- Zhao, S.; Zhang, X.; Zhong, W.; Wen, Y.; Yan, Q. The Wet Braking and Recovery Behaviors of the P/M Pad Mated with C/C–SiC Disc for High-Speed Trains. Wear 2021, 468–469, 203609. [Google Scholar] [CrossRef]
- Zhao, S.; Dong, J.; Lv, C.; Li, Z.; Sun, X.; Zhang, W. Thermal Mismatch Effect and High-Temperature Tensile Performance Simulation of Hybrid CMC and Superalloy Bolted Joint by Progressive Damage Analysis. Int. J. Aerosp. Eng. 2020, 2020, 1–14. [Google Scholar] [CrossRef]
- Liang, H.; Shan, C.; Wang, X.; Hu, J. Matching Analysis of Carbon-Ceramic Brake Discs for High-Speed Trains. Appl. Sci. 2023, 13, 4532. [Google Scholar] [CrossRef]
- Yang, L.; Yang, C.; Guo, W.; Xu, P.; Ma, Y.; Li, P. Coupled Thermal-Structural Analysis of an Axle Mounted C/C-SiC Brake Disc for High-Speed Trains. Therm. Sci. Eng. Prog. 2024, 53, 102694. [Google Scholar] [CrossRef]
- UIC 541-3; Brakes—Disc Brakes and Their Application—General Conditions for the Certification of Brake Pads. 8th ed. International Union of Railways (UIC): Paris, France, 2017.
- Rousseau, R.I.; Bouzid, A.-H. The Tightening and Untightening Modeling and Simulation of Bolted Joints. Machines 2024, 12, 654. [Google Scholar] [CrossRef]
- Yang, Y.; Yuan, B.; Sun, Q.; Mu, X.; Zhao, B. Research on Preload and Stress Distribution of Small-Size Precision Threaded Connection Considering Geometric Deviation. Machines 2022, 10, 1166. [Google Scholar] [CrossRef]
- Yang, C.; Yang, L.; Xu, P.; Guo, W.; Li, P.; Ma, Y.; Nan, Z. Mechanical and Microstructure Characterisation of 2.5D C/C-SiC Composites Applied for the Brake Disc of High-Speed Train. Alex. Eng. J. 2024, 108, 445–458. [Google Scholar] [CrossRef]
- TJ/CL 310-2014; Urban Rail Transit Vehicles—Disc Brakes—Brake Discs. China Association of Metros (CAM): Beijing, China, 2014.
- Fukuoka, T. Finite Element Analysis of the Thermal and Mechanical Behaviors of a Bolted Joint. J. Press. Vessel Technol. 2005, 127, 402–407. [Google Scholar] [CrossRef]


















| Temperature (°C) | Elastic Modulus (MPa) | Initial Yield Strength (MPa) | Ultimate Tensile Strength (MPa) |
|---|---|---|---|
| 20 | 211,175.38 | 1080.70 | 1103.02 |
| 100 | 202,501.00 | 1018.27 | 1069.98 |
| 200 | 189,821.91 | 938.56 | 1073.92 |
| 300 | 195,271.82 | 890.85 | 1057.34 |
| 400 | 183,780.78 | 802.02 | 937.36 |
| 500 | 171,704.87 | 716.24 | 789.34 |
| Stage | Initial Speed (km/h) | Final Speed (km/h) | Brake Force (kN) | Average Acceleration (m/s2) | Time Cost (s) | Heat Flux Density (W/m2) |
|---|---|---|---|---|---|---|
| 1 | 350 | 300 | 18 | −0.72 | 23 | 7432.43 [97.22 − 0.72(t − 2)] |
| 2 | 300 | 0 | 32 | −0.94 | 90 | 9703.45 [83.33 − 0.94(t − 23)] |
| Disc Temperature (°C) | Bolt Temperature (℃) | Bolt Axial Force (kN) | ||||
|---|---|---|---|---|---|---|
| max | 113 s | 113 s | 0 s | max | 113 s | |
| Experiment | 699.40 | 667.21 | 96.55 | 61.14 | 76.87 | 74.06 |
| Simulation | 695.01 | 637.54 | 97.79 | 63.55 | 77.78 | 75.82 |
| Error | 0.63% | 4.45% | 1.18% | 3.94% | 1.18% | 2.38% |
| Mean error | 8.57% | 7.59% | 5.48% | |||
| Initial Speed (km/h) | 350 | 380 | 400 |
|---|---|---|---|
| Average diameter (μm) | 7.87 | 9.11 | 15.61 |
| Increase rate | - | 15.76% | 71.35% |
| Length (μm) | 6.58 | 11.52 | 19.71 |
| Increase rate | - | 75.08% | 71.09% |
| Case | Brake Force (kN) | Average Acceleration (m/s2) | Distance (m) | Maximum Temperature (°C) | Maximum Equivalent Stress (MPa) | Stress Amplitude (MPa) |
|---|---|---|---|---|---|---|
| 1 | 18 | −0.74 | 7147.33 | 150.00 | 858.52 | 115.90 |
| 36 | −1.06 | |||||
| 2 | 22 | −0.91 | 6963.95 | 132.21 | 843.92 | 101.30 |
| 32 | −0.92 | |||||
| 3 | 26 | −1.08 | 6957.01 | 132.69 | 837.01 | 94.39 |
| 28 | −0.82 |
Disclaimer/Publisher’s Note: The statements, opinions and data contained in all publications are solely those of the individual author(s) and contributor(s) and not of MDPI and/or the editor(s). MDPI and/or the editor(s) disclaim responsibility for any injury to people or property resulting from any ideas, methods, instructions or products referred to in the content. |
© 2026 by the authors. Licensee MDPI, Basel, Switzerland. This article is an open access article distributed under the terms and conditions of the Creative Commons Attribution (CC BY) license.
Share and Cite
Yao, S.; Tang, M.; Xing, J.; Long, Y.; Tan, J.; Gu, X. Study on Loosening Mechanisms of Fastening Bolt in High-Speed Train Brake Disc. Machines 2026, 14, 271. https://doi.org/10.3390/machines14030271
Yao S, Tang M, Xing J, Long Y, Tan J, Gu X. Study on Loosening Mechanisms of Fastening Bolt in High-Speed Train Brake Disc. Machines. 2026; 14(3):271. https://doi.org/10.3390/machines14030271
Chicago/Turabian StyleYao, Shuguang, Meng Tang, Jie Xing, Yating Long, Jingwen Tan, and Xinyu Gu. 2026. "Study on Loosening Mechanisms of Fastening Bolt in High-Speed Train Brake Disc" Machines 14, no. 3: 271. https://doi.org/10.3390/machines14030271
APA StyleYao, S., Tang, M., Xing, J., Long, Y., Tan, J., & Gu, X. (2026). Study on Loosening Mechanisms of Fastening Bolt in High-Speed Train Brake Disc. Machines, 14(3), 271. https://doi.org/10.3390/machines14030271

