Next Article in Journal
Diagnostic Analytics Powered by IoT and Machine Learning for the Fault Evaluation of a Heavy-Industry Gearbox
Previous Article in Journal
Performance of a Newly Developed Hybrid APO–PSO Metaheuristic for Monitoring of Intelligent Transformer
 
 
Font Type:
Arial Georgia Verdana
Font Size:
Aa Aa Aa
Line Spacing:
Column Width:
Background:
Article

Effect of Flexible Support Structures on Sealing and Raceway Damage of Pitch Bearings in Wind Turbines

1
Kaiserslautern Intelligent Manufacturing School, Shanghai DianJi University, Shanghai 201306, China
2
School of Mechanical Engineering, Shanghai DianJi University, Shanghai 201306, China
*
Author to whom correspondence should be addressed.
Machines 2026, 14(2), 186; https://doi.org/10.3390/machines14020186
Submission received: 18 December 2025 / Revised: 23 January 2026 / Accepted: 2 February 2026 / Published: 6 February 2026
(This article belongs to the Section Turbomachinery)

Abstract

Pitch bearings are critical components in wind turbines, serving as the connection between blades and hub. Grease leakage and raceway edge damage are common failure modes of pitch bearings in engineering applications. Based on a practical engineering example, this paper presents a Finite Element Analysis (FEA) model of a pitch bearing system, in which contacts between steel ball rollers and raceways are simulated using nonlinear spring elements. This approach accounts for the flexibility of the entire pitch bearing system. Based on the FEA results, sealing capability of the sealing ring under system deformation is analyzed, revealing that the root cause of grease leakage in field applications is relative displacement between inner and outer rings, as well as breath effect. Additionally, contact loads and angles for each ball are derived from the FEA model and 3D solid local FEA models are constructed to investigate the impact of ellipse truncation on raceway load carrying capacity. The results highlight that ellipse truncation, caused by bearing deformation under flexible support structures, is a key factor in raceway edge damage.

1. Introduction

Double-row four-point contact ball slewing bearings are widely used in the wind energy industry, excavation machinery, and crane production [1,2]. Pitch bearings in wind turbines typically experience combined radial, axial loads, and moments from the blades. Their failure is a significant cause of wind turbine breakdowns, leading to increased maintenance costs or substantial operational losses. Grease leakage and raceway rim failure are the failure modes investigated in this study.
Grease leakage is a prevalent failure mode in field applications. Seal failure not only damages environment but also increases operational and maintenance costs. While grease leakage is often ascribed to ball or cage motion, centrifugal force, high temperature, or grease slippage [3], pitch bearings typically operate at low speed, and research on grease leakage in pitch bearings is limited. Some previous research on pitch bearing sealing is based on undeformed bearings [4]. However, bearing deformation may also influence sealing ability. A literature review has been conducted for related studies. Empirical formulations have been developed to calculate load distribution and deflection under quasi-static condition [5,6,7]. Jones [8] considered stiffness between rolling elements and raceway contacts. Amasorrain et al. [9] described a procedure to determine force distribution and displacements in four contact-point slewing bearings. Zupan and Prebil [10] proposed an approach to account for the flexibility of supporting structures, but the computational cost is high. Srečko et al. [11] used static equilibrium and Hertz contact theory to calculate load distribution, maximum contact force and allowable external loads of slewing bearings. Gao et al. [12] discussed the effect of raceway parameters on the carrying capability and service life of four-point-contact slewing bearings. With the advancement of computational power and FEA technology, bearing modeling has gained significant attention in recent decades. Bourdon et al. [13] used superelements to model nonlinear behavior in ball and roller bearings. Daidié et al. [14] proposed a simplified FEA method using traction springs to model rolling elements. Graßmann et al. [15] validated FEA model of pitch bearings using strain values obtained from tests. In relation to slewing bearings, we have previously conducted several fundamental research studies. Notably, Gao et al. [16] developed a simplified method to model ball–raceway contacts in slewing bearings, where the interactions between ball and raceways are represented by non-linear springs. Meanwhile, Liu et al. [17] experimentally validated the FEA results of strains in a four-point-contact slewing bearing under static loading conditions.
Raceway rim failure is another failure mode studied. Previous studies on pitch bearing models primarily focused on load distribution and evaluated bearing performance based on these distributions. However, the impact of bearing deformation on raceway damage has not been paid enough attention. Most load carrying capacity research is based on Hertz contact theory, which assumes complete elliptical contact between the ball and raceway, or ignored the influence of the supporting structure flexibility. For large dimension pitch bearings, the ball–raceway contact points usually shift toward the raceway edge under heavy tilting moments and axial loads, leading to ellipse truncation. This phenomenon is observed in nearly all raceway damaged pitch and yaw bearings. Pathuvoth and Sekhar [18] proposed determining the static capacity of slewing bearings based on allowable contact stresses considering ellipse truncation. Wang et al. [19] investigated the influence of ellipse truncation rates on the contact stress in four-point contact pitch bearings.
In this study, flexible and rigid models were analyzed to investigate the influence of flexibility of supporting structures. The causes of grease leakage and raceway edge damage of a practical engineering case were analyzed from a system perspective. As a critical component in wind turbine assemblies, pitch bearings are inherently thin-section bearings with limited structural stiffness. This characteristic means they deform in conjunction with supporting structures such as blades and hubs. To address this, the influence of supporting structural stiffness on sealing capability is investigated by a system-level FEA model. Furthermore, effects of contact load and contact angle on contact stress distribution and ellipse truncation are also analyzed using a localized 3D solid contact FEA model. The parameters of localized 3D model are derived from the flexible system-level FEA model of the pitch bearing.

2. FEA Model of Wind Turbine Pitch Bearing System

To build the pitch bearing system FEA model in ANSYS 2021R1, one blade of the wind turbine is simplified as a cylinder. Minor structures on the hub are omitted. The main parameters of the pitch bearing are listed in Table 1. The load coordinate system is based on the blade coordinate system, as shown in Figure 1. To improve computational efficiency, the compression behavior of rolling elements is modeled using tension nonlinear spring elements (COMBIN 39) [12,20,21] based on Hertz theory. COMBIN 39 is a unidirectional nonlinear spring element. For example, nodes of the lower inner ring are connected to one node via rigid elements, and nodes of the upper outer ring are connected to another node. These two nodes are linked by COMBIN 39, as shown in Figure 2a. Force-deflection curve of COMBIN 39 is shown in Figure 2b. When the lower inner ring and upper outer ring are compressed closer, the COMBIN 39 elements are stretched.
The blade is made of composite materials and defined with engineering constants. The hub is made of cast iron, while other components (e.g., bearing, bolts and nuts) are made of steel. Material properties of the main components are listed in Table 2. Boundary conditions are as follows: the hub face connected to the main shaft is fixed, and rotation around the blade axis is constrained. The mesh of the pitch bearing system FEA Model is shown in Figure 2c. Mesh and connection information is listed in Table 3.
A reference point at the blade root center, which is also the blade side bearing center, is created and coupled to the nodes on the top face of the blade root. Wind loads are applied to the reference point. Pretension loads for both inner and outer ring bolts are applied first by the PRETS179 elements, followed by extreme wind load according to load specification, as shown in Table 4. The extreme wind load is provided by the wind energy company. As direct comparative data, a model considering bearing only is also analyzed. For this model, the reference point at the blade side bearing center is created and coupled to the nodes on the bearing face of the blade side. And the nodes on the bearing face of the hub side are fixed, as shown in Figure 2d. The rollers are considered the same as in the flexible model.

3. Deformation of the Bearing and Its Influence on Sealing Capability

Deformation of the entire model is shown in Figure 3a, with a deformation scale of 50 times. The shapes of both inner and outer rings have changed from perfect circles to ovals, as shown in the top view in Figure 3b. This trend is more pronounced for the inner ring. Therefore, the displacement difference between inner and outer rings at the minor axis of oval is large. This is reasonable, as the pitch bearing is a thin-section, large-diameter component that deforms together with supporting structures. Moreover, the inner and outer rings are fixed to the blade and hub with M36 bolts, respectively. It should be noted that Young’s modulus of blade material ranges from 3200 MPa to 33,270.56 MPa, indicating that the blade is softer than the hub. Therefore, the outer ring connected to the hub (with Young’s modulus being 169,000 MPa) is more circular compared to the inner ring. By comparison, the bearing deformation of the rigid model is shown in Figure 3c. The maximum displacement is about one seventh of that of the flexible model.
In this section, leakage is discussed from a new perspective. The displacement offsets of the inner ring and outer ring for both flexible and rigid models are shown in Figure 4. It is important to note that the origin of horizontal axis 0° corresponds to the left side quadrant point in the top view (Figure 3b). As the abscissa increases from 0° to 360°, the circumferential position progresses counterclockwise in the top view. Relative displacement is equal to displacement of outer ring minus that of the inner ring. For the flexible model, the relative displacement varies from the blade side to the hub side due to the inclined orientation of the inner ring relative to the outer ring. The relative radial displacement is mainly positive (mostly above the zero displacement line), which means the distance between inner ring and outer ring increases. However, the relative axial displacement is almost symmetrical about the zero displacement line. These trends agree with the deformation phenomena shown in Figure 3. What is more, as for both the blade side and hub side, the relative radial displacement has two crests and two troughs. The reason is that two crests and two troughs correspond to the semi-minor axis and semi-major axis of oval shape (as shown in the top view in Figure 3), respectively. And the relative axial displacement has one crest and one trough. It is because the crest and trough correspond to the right and left parts of the section view in Figure 3, respectively. For the rigid model, the trends of relative displacement are similar but are more even and symmetrical. And compared to flexible model, the rigid model has smaller amplitudes.
For the rigid model, the maximum relative axial displacement is less than 0.6 mm, and relative radial displacement is less than 0.4 mm. According to the rigid model, sealing performance of the old sealing ring, as shown in Figure 5a, is sufficient. For the flexible model, on both the blade or hub sides, the relative displacement of the outer and inner rings in both radial and axial directions all exceeds 1 mm. Because radial displacement has a greater impact on sealing than axial displacement, the following discussion focuses on radial displacement. On the blade side, the radial displacement ranges from −0.06 mm (negative sign means gap between outer and inner rings decreases) to +1.08 mm (positive sign means gap between outer and inner rings increases), while on the hub side, the radial displacement ranges from −0.19 mm to +1.05 mm. As shown in Figure 5a, the designed seal interference is 1.5 mm after bearing assembly. Considering machining and assembly tolerance (±0.5 mm), the seal interference ranges from +1.06 mm to −0.08 mm (negative sign means it is a gap instead of interference), and from +1.19 mm to −0.05 mm for the blade and hub side, respectively. Negative sign means there are gaps between the seal and counter surface, leading to grease leakage. Accounting for the manufacturing errors and in a conservative way, the interference amount of sealing is set as zero for the extreme wind load. Furthermore, under alternative random loads, the “breath effect” can cause grease to be sucked into the space between sealing lips from the bottom lip and then be pushed out from the top lip as shown in Figure 5a. Then grease leakage occurs, as shown in Figure 5b. To prevent grease leakage, another seal configuration was designed with sealing capability in both radial and axial directions, as shown in Figure 5d.
Seal analyses are conducted based on FE analysis. The third order Ogden model is used as the constitutive model for hyperelastic rubber [23,24,25]. Material parameters and stress–strain curve are shown in Table 5 and Figure 5c. The radial deformation is considered by shifting the bearing ring to account for the effect on seal ring interference amount. For example, if there is no deformation, the interference amount includes only the designed interference value and assembly tolerance, so the bearing ring is not shifted. If the deformation is 1.08 mm, in the analysis, the bearing ring is shifted 1.5 mm (taking the assembly tolerance into account).
Contact pressure and contact status between the sealing ring and bearing are shown in Figure 6. For the old sealing structure, when the shift amount of bearing ring is 0 mm and 1 mm, the contact pressure exceeds the pressure of lubricant (0.25 MPa), as shown in Figure 6a,b. This indicates that the old sealing structure is capable of effectively sealing the lubricant under these conditions. However, when the bearing ring shift amount is 1.5 mm, the contact status between sealing ring and outer ring becomes sliding, as shown in Figure 6c, and the FE solution failed to converge. This confirms that leakage occurs when the bearing ring shift amount is 1.5 mm, namely the extreme wind load case would result in leakage.
In the original design, the relative displacement was underestimated. However, in the new design, the maximum relative radial displacement was considered. For the new seal structure, even with a 1.5 mm bearing ring shift amount, the contact pressure remains higher than the lubricant pressure, as shown in Figure 6d,e. Therefore, based on the analysis of bearing deformation considering system flexibility, the newly designed sealing structure meets the sealing performance requirements.

4. Discussion of Actual Contact Load and Angle

The deformation of the pitch bearing significantly affects the ball–raceway contact position, causing the actual contact angle to deviate from the designed initial contact angle. In double-row four-point contact ball bearings, contact exists between two diagonal curvature centers. The curvature centers of the inner and outer raceway toroids are denoted as C u i 1 , C u i 2 , C d i 1 , C d i 2 , C u o 2 , C u o 1 , C d o 2 , and C d o 1 , as shown in Figure 7. For the up row, contact between C u i 1 and C u o 1 is labeled as up row 1, and contact between C u o 2 and C u i 2 is labeled as up row 2. The same rule applies to designation of contacts from the down row rollers. The coordinate system is Cartesian, as shown in Figure 7, with the Y axis pointing into the paper. Four spring elements are used to simulate contact load and angle for these four contacts. Contact load is defined as the force of the spring elements. Contact angle is the angle between the cross section of the pitch bearing (XOY plane) and contact vector passing through the raceway curvature centers.
For the flexible model, the contact load between the raceway and balls in the up and down raceways is shown in Figure 8. For the up row, the maximum contact load is 153,051 N, occurring at approximately 170 ° in the circumferential direction. For the down row, the maximum contact load is 192,752 N, occurring at approximately 174 ° in the circumferential direction. For the rigid model, the maximum contact load is 208,763 N, occurring at approximately 158 ° .
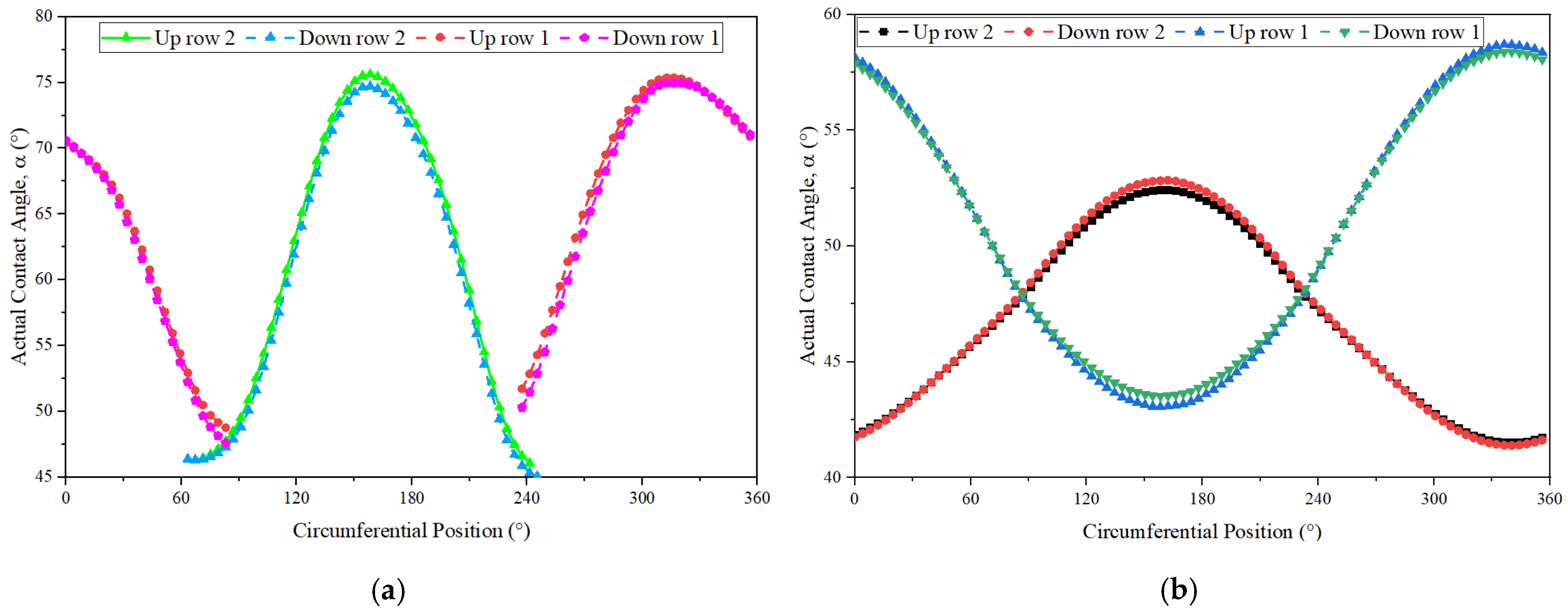
Under no load, the initial contact angle ( α 0 in Figure 7) is 48 ° . When the turbine is loaded, the spring elements are tensioned. When the ball is compressed by the inner and outer rings in the up row, the up row 1 spring element is tensioned, as shown on the right side of Figure 7. The actual contact angles ( α in Figure 7) of both up and down row rollers deviate from α 0 , as plotted in Figure 9. It should be noted that contact angles are not plotted in regions where contact angle is nearly 45° for the flexible model, resulting in empty segments. The node coordinates of spring elements after deformation are used to calculate actual contact angle, α , using Formula (1). Subscript j denotes four series of contacts, namely up row 1, down row 1, up row 2, and down row 2. For the flexible model, the maximum α among the four-contact series occurs in up row 2, with a magnitude of 75.6 ° , corresponding to a contact load 140,921 N. But for the rigid model, the maximum α is 58.7 ° , corresponding to a contact load 151,019 N.
α = arcsin Z C u i j Z C u o j X C u i j X C u o j 2 + Y C u i j Y C u o j 2 + Z C u i 1 Z C u o j 2
However, based on the results of contact load and contact angle analysis, ellipse truncation may occur under certain conditions. Classical Hertz contact theory, while effective for predicting contact pressure in scenarios involving full elliptical contact, is inherently limited in addressing cases where elliptic truncation is present. Consequently, a numerical approach is used to analyze the effects of elliptic truncation.

5. Discussion of Ellipse Truncation and Flexible Supporting Structures

According to Hertz theory, the deformed shape is an ellipsoid of revolution. In Figure 10a, the contact ellipsoid is complete, representing full Hertz contact. However, in Figure 10b, when the contact angle is large and part of contact ellipsoid extends beyond the truncated angle, ellipse truncation occurs. The semi-major axis a and semi-minor axis b of the projected elliptical area of contact can be calculated by Formulas (2) and (3). The stress at the geometric center of the projected elliptical contact area can be calculated using Formula (4) [26]. By incorporating the curvatures of raceway and rollers, as well as contact loads, these equations enable the computation of contact stresses at the center of the elliptical contact region.
a = a * 3 Q 2 ρ 1 ξ I 2 E I + 1 ξ II 2 E II 1 / 3 = 0.0236 a * Q ρ 1 / 3
b = b * 3 Q 2 ρ 1 ξ I 2 E I + 1 ξ II 2 E II 1 / 3 = 0.0236 b * Q ρ 1 / 3
σ c = 3 Q 2 π a b
To analyze the influence of supporting structure flexibility and ellipse truncation, a local FEA model of one raceway slice and one ball roller is built, as shown in Figure 11a. The contact region mesh of both the raceway and roller is refined for precise results, as shown in Figure 11b,c. Different contact region mesh sizes are used to do mesh independence analysis. The outer boundary surface of raceway is fixed, and nodes on the roller surface (except the contact part) are coupled to a load node located at ball center. The load is applied to this load node. The load magnitude is determined based on contact load obtained from the flexible pitch bearing system FEA model, while the load direction corresponded to the contact angles along Y axis, as illustrated in Figure 11a. Since Hertz theory does not account for friction, the friction coefficient is set to zero in the ellipse truncation FEA simulations. The raceway, which is hardened by quenching to a hardness of 56–60 HRC, is assigned a yield strength of 1850 MPa, in accordance with DIN 50150 [27] and engineering experience. To incorporate flexibility and residual deformation, a perfect elastic-plastic material model is employed, with a Young’s modulus of 210,000 MPa, and a tensile yield strength of 1850 MPa. This approach allowed for a comprehensive analysis of the contact stresses under the combined effects of supporting flexibility and ellipse truncation. The result of a normal position has no ellipse truncation with average contact load and angle is shown in Figure 11e. Because of no ellipse truncation, the contact area forms a perfect ellipse. Contact stress for different mesh sizes are shown in Figure 11d. As mesh size decreases, contact stress on the raceway increases. FEA result (MS 0.18) is compared with theoretical solution as shown in the last column of Table 6. The difference is less than 2%. For positions without ellipse truncation, the FEA derived contact pressure, p F E A , aligns closely with p H e r t z .
According to rigid model results, contact angle is not large enough for ellipse truncation. According to flexible model, typical positions listed in Table 6 were analyzed. The FEA results for contact pressure distribution are listed in Figure 12a–c. When ellipse truncation occurs, as observed in the first and second columns of Table 6, p F E A exceeds p H e r t z . Ellipse truncation leads to stress concentration at raceway rim, particularly under conditions of maximum contact angle and maximum contact load, as clearly depicted in Figure 12a,b. Notably, the maximum contact pressure, p F E A , at the maximum contact angle is 2.9% higher than that at the maximum contact load, despite the maximum contact load being 37% greater than the load at the maximum contact angle. Therefore, in this case, contact angle has greater effect on contact stress than contact load. To quantify the stress increase caused by ellipse truncation, a contact load of 140,921 N was applied, while reducing the maximum contact angle ( α = 75.6 ° ) to initial contact angle ( α 0 = 48 ° ) to avoid ellipse truncation. The maximum contact pressure was 2975 MPa, occurring at the center of the elliptical contact area, as shown in Figure 12c. Compared with Figure 12a, ellipse truncation increases contact pressure by 27% in the contact region. These findings underscore the significant impact of edge effects caused by large contact angle on the carrying capacity of bearings.
Damage at the raceway edge is shown in Figure 12d. Though the maximum contact pressure, p H e r t z , remains below 4200 MPa, in compliance with the specifications outline in GB/T 4662-2012/ISO 76: 2006 [28], according to these standards, the allowable deformation threshold for the raceway is defined as 0.035 mm, corresponding to five ten-thousandths of the pitch bearing roller diameter. The residual deformation measured after unloading is 0.11 mm, which exceeds the allowable threshold of 0.035 mm. as shown Figure 12e. To mitigate residual deformation, it is recommended to employ larger ball rollers, which can help reduce stress concentration and enhance bearing performance.

6. Conclusions

FEA models of the flexible pitch bearing system and rigid bearing model in wind turbine were developed and analyzed. The results highlight the significant influence of supporting structure flexibility on the sealing capability and raceway damage of pitch bearing.
  • Flexibility has great influence on the deformation of bearing. For the rigid model the maximum relative radial displacement is less than 0.4 mm. But for the flexible model, the maximum radial displacement reaches 1.08 mm.
  • According to the rigid model, the performance of the old sealing ring is sufficient. But based on the deformation results of flexible model, grease leakage is attributed to relative displacement of the inner and outer rings in both radial and axial directions, manufacturing tolerance, and alternative random loads. A redesigned sealing structure effectively addressed the leakage issue.
  • Contact data (e.g., maximum contact load, maximum contact angle, and normal position) were obtained. For the flexible model, the largest contact angle is 75.6°. But for the rigid model, the largest contact angle is 58.7°, which would not lead to ellipse truncation.
  • Ellipse truncation caused by bearing deformation under flexible support structures leads to contact stress concentration at the raceway rim, resulting in raceway edge damage. The maximum contact stress at the maximum contact angle is 2.9% higher than that at the maximum contact load, despite the maximum contact load being 37% greater than the load at the maximum contact angle. This means that the contact angle has a greater effect on contact stress than contact load.
Therefore, the influence of structural stiffness on the pitch bearings performance should be considered in future design practice.

Author Contributions

Conceptualization, X.G. and Z.Z.; software, S.R. and Z.Z.; data curation, C.M.; writing—review and editing, X.G. and Z.Z. All authors have read and agreed to the published version of the manuscript.

Funding

The authors would like to thank the Shanghai Special Fund for Promoting High-quality Industrial Development (CYLGG-2024-1-33) and the Open Project of the State Key Laboratory of Offshore Wind Power Equipment and Efficient Wind Energy Utilization (HFQZS2025-09).

Data Availability Statement

The original contributions presented in this study are included in the article. Further inquiries can be directed to the corresponding author.

Conflicts of Interest

The authors declared no potential conflicts of interest with respect to the research, authorship, and/or publication of this article.

References

  1. Stammler, M.; Schleich, F. Load case selection for finite-element simulations of wind turbine pitch bearings and hubs. Wind Energy Sci. 2025, 10, 813–826. [Google Scholar] [CrossRef]
  2. Menck, O.; Stammler, M. Review of rolling contact fatigue life calculation for oscillating bearings and application-dependent recommendations for use. Wind Energy Sci. 2024, 9, 777–798. [Google Scholar] [CrossRef]
  3. Naofumi, H. On grease leakage from rolling bearings. Tribol. Int. 2012, 50, 45–50. [Google Scholar] [CrossRef]
  4. Ren, G.; Wang, R.; Sun, D.; Xu, W.; Li, Y. Impact of Lubricating Oil Leakage Characteristics of a Bearing Cavity Sealing System Based on an Oil–Gas Two-Phase Flow. Lubricants 2025, 13, 384. [Google Scholar] [CrossRef]
  5. Stribeck, R. Ball Bearing for Various Loads. Trans. ASME 1907, 29, 420–463. [Google Scholar]
  6. Seong-Wook, H.; Van-Canh, T. Rolling-element bearing modeling: A review. Int. J. Precis. Eng. Manuf. 2016, 17, 1729–1749. [Google Scholar] [CrossRef]
  7. Lundberg, G.; Palmgren, A. Dynamic Capacity of Roller Bearings. Acta Polytech. 1952, 2, 96–127. [Google Scholar]
  8. Jones, A.B. A General Theory for Elastically Constrained Ball and Radial Roller Bearings under Arbitrary Load and Speed Conditions. J. Basic Eng. 1960, 82, 309–320. [Google Scholar] [CrossRef]
  9. Amasorrain, J.I.; Sagartzazu, X.; Damian, J. Load distribution in a four contact-point slewing bearing. Mech. Mach. Theory 2003, 38, 479–496. [Google Scholar] [CrossRef]
  10. Zupan, S.; Prebil, I. Carrying angle and carrying capacity of a large single row ball bearing as a function of geometry parameters of the rolling contact and the supporting structure stiffness. Mech. Mach. Theory 2001, 36, 1087–1103. [Google Scholar] [CrossRef]
  11. Srečko, G.; Rok, P.; Jože, F. Computational model for calculation of static capacity and lifetime of large slewing bearing’s raceway. Mech. Mach. Theory 2012, 47, 16–30. [Google Scholar]
  12. Gao, X.; Huang, X.; Wang, H.; Hong, R.; Chen, J. Effect of raceway geometry parameters on the carrying capability and the service life of a four-point-contact slewing bearing. J. Mech. Sci. Technol. 2010, 24, 2083–2089. [Google Scholar] [CrossRef]
  13. Bourdon, A.; Rigal, J.F.; Play, D. Static rolling bearing models in a C.A.D. environment for the study of complex mechanisms: Part II--complete assembly model. J. Tribol. 1999, 121, 215–223. [Google Scholar] [CrossRef]
  14. Daidié, A.; Chaib, Z.; Ghosn, A. 3D Simplified Finite Elements Analysis of Load and Contact Angle in a Slewing Ball Bearing. J. Mech. Des. 2008, 130, 082601. [Google Scholar] [CrossRef]
  15. Graßmann, M.; Schleich, F.; Stammler, M. Validation of a finite-element model of a wind turbine blade bearing. Finite Elem. Anal. Des. 2023, 221, 103957. [Google Scholar] [CrossRef]
  16. Gao, X.H.; Huang, X.D.; Wang, H.; Chen, J. Modelling of ballraceway contacts in a slewing bearing with non-linear springs. Proc. Inst. Mech. Eng. Part C J. Mech. Eng. Sci. 2011, 225, 827–831. [Google Scholar] [CrossRef]
  17. Liu, R.; Wang, H.; Pang, B.T.; Gao, X.H.; Zong, H.Y. Load distribution calculation of a four-point-contact slewing bearing and its experimental verification. Exp. Tech. 2018, 42, 243–252. [Google Scholar] [CrossRef]
  18. Pathuvoth, D.; Sekhar, A.S. Static capacity of slewing bearings considering ellipse truncation. Tribol. Int. 2022, 173, 107595. [Google Scholar] [CrossRef]
  19. Wang, S.; Du, J.; Chen, Y.; Wu, S.; Huang, Z. Influence of elliptical truncation on the raceway in a four-point contact pitching bearing. Eng. Fail. Anal. 2022, 141, 106711. [Google Scholar] [CrossRef]
  20. Hertz, H. On the Contact of Rigid Elastic Solids and on Hardness; Miscellaneous Papers; MacMillan: London, UK, 1896; pp. 163–183. [Google Scholar]
  21. Gao, X.; Zhang, Z. A simplified spherical roller bearing model and its application in the wind turbine main bearing system finite element modeling. Tribol. Int. 2024, 196, 109678. [Google Scholar] [CrossRef]
  22. DNVGL-ST-0437; Loads and Site Conditions for Wind Turbines. DNV: Oslo, Norway, 2016.
  23. Ogden, R.W. Large Deformation Isotropic Elasticity: On the Correlation of Theory and Experiment for Compressible Rubberlike Solids. Proceedings of the Royal Society of London. Ser. A Math. Phys. Sci. 1972, 328, 567–583. [Google Scholar]
  24. Steinmann, P.; Hossain, M.; Possart, G. Hyperelastic models for rubber-like materials: Consistent tangent operators and suitability for Treloar’s data. Arch. Appl. Mech. 2012, 82, 1183–1217. [Google Scholar] [CrossRef]
  25. Xie, Z.; Huang, X.; Zhang, K.; Yan, S.; Chen, J.; He, R.; Li, J.; Zhong, W. Thermo-Oxidative Aging Effects on Hyperelastic Behavior of EPDM Rubber: A Constitutive Modeling Approach. Materials 2025, 18, 2236. [Google Scholar] [CrossRef] [PubMed]
  26. Harris, T.A.; Kotzalas, M.N. Essential Concepts of Bearing Technology, 5th ed.; CRC Press: Boca Raton, FL, USA, 2006. [Google Scholar]
  27. DIN 50150: 2000; Testing of Metallic Materials—Conversion of Hardness Values. Standards Committee for Material Testing (NMP) at DIN German Institute for Standardization: Berlin, Germany, 2000.
  28. GB/T 4662-2012/ISO 76:2006; Rolling Bearings—Static Load Ratings. State Administration for Market Regulation: Beijing, China, 2012.
Figure 1. Blade coordinate system [22].
Figure 1. Blade coordinate system [22].
Machines 14 00186 g001
Figure 2. FEA system and illustration of COMBIN 39 element and its load-deflection curve. (a) Sketch of bearing in the system and connection between inner and outer ring. (b) Load-deflection curve of COMBIN 39 element. (c) Mesh of the pitch bearing system FEA flexible model. (d) Model of bearing only, rigid model.
Figure 2. FEA system and illustration of COMBIN 39 element and its load-deflection curve. (a) Sketch of bearing in the system and connection between inner and outer ring. (b) Load-deflection curve of COMBIN 39 element. (c) Mesh of the pitch bearing system FEA flexible model. (d) Model of bearing only, rigid model.
Machines 14 00186 g002
Figure 3. Deformation of pitch bearing system and rigid model. (a) Pitch bearing system deformation. (b) Bearing deformation of flexible model. (c) Bearing deformation of rigid model.
Figure 3. Deformation of pitch bearing system and rigid model. (a) Pitch bearing system deformation. (b) Bearing deformation of flexible model. (c) Bearing deformation of rigid model.
Machines 14 00186 g003
Figure 4. Displacement offsets of inner and outer rings on both blade and hub side of flexible and rigid model. (a) Relative displacement of inner and outer rings on blade side of flexible model. (b) Relative displacement of inner and outer rings on hub side of flexible model. (c) Relative displacement of inner and outer rings on blade side of rigid model. (d) Relative displacement of inner and outer rings on hub side of rigid model.
Figure 4. Displacement offsets of inner and outer rings on both blade and hub side of flexible and rigid model. (a) Relative displacement of inner and outer rings on blade side of flexible model. (b) Relative displacement of inner and outer rings on hub side of flexible model. (c) Relative displacement of inner and outer rings on blade side of rigid model. (d) Relative displacement of inner and outer rings on hub side of rigid model.
Machines 14 00186 g004
Figure 5. Sealing structure and its stress–strain curve and grease leakage failure picture. (a) Schematic of old sealing structure. (b) Picture of grease leakage failure. (c) Stress–strain curve of the seal ring. (d) Schematic of new sealing structure.
Figure 5. Sealing structure and its stress–strain curve and grease leakage failure picture. (a) Schematic of old sealing structure. (b) Picture of grease leakage failure. (c) Stress–strain curve of the seal ring. (d) Schematic of new sealing structure.
Machines 14 00186 g005
Figure 6. Contact pressure and contact status of old and new sealing structures. (a) Contact pressure of old seal ring without bearing deformation. (b) Contact pressure of old seal ring with 1 mm larger gap between inner and outer ring. (c) Contact status for old seal ring with 1.5 mm larger gap between inner and outer ring. (d) Contact pressure of new seal ring without bearing deformation. (e) Contact pressure of new seal ring with 1.5 mm larger gap between inner and outer ring.
Figure 6. Contact pressure and contact status of old and new sealing structures. (a) Contact pressure of old seal ring without bearing deformation. (b) Contact pressure of old seal ring with 1 mm larger gap between inner and outer ring. (c) Contact status for old seal ring with 1.5 mm larger gap between inner and outer ring. (d) Contact pressure of new seal ring without bearing deformation. (e) Contact pressure of new seal ring with 1.5 mm larger gap between inner and outer ring.
Machines 14 00186 g006
Figure 7. Schematic of ball bearing raceway centers and contact angle.
Figure 7. Schematic of ball bearing raceway centers and contact angle.
Machines 14 00186 g007
Figure 8. Contact load between raceway and balls of both flexible and rigid model. (a) Flexible model. (b) Rigid model.
Figure 8. Contact load between raceway and balls of both flexible and rigid model. (a) Flexible model. (b) Rigid model.
Machines 14 00186 g008
Figure 9. Actual contact angle in different positions of flexible and rigid model. (a) Flexible model. (b) Rigid model.
Figure 9. Actual contact angle in different positions of flexible and rigid model. (a) Flexible model. (b) Rigid model.
Machines 14 00186 g009
Figure 10. Definition related to ellipse truncation. (a) Complete Hertz contact without ellipse truncation. (b) Ellipse truncation.
Figure 10. Definition related to ellipse truncation. (a) Complete Hertz contact without ellipse truncation. (b) Ellipse truncation.
Machines 14 00186 g010
Figure 11. Geometry and mesh of 3D solid detailed local FEA model. (a) Geometry model of local model. (b) Mesh of local model (MS 0.18). (c) Mesh of local model (MS 0.09). (d) Contact stress for different mesh sizes. (e) Normal position without ellipse truncation, Q = 87,100 N, α = 66.8 ° .
Figure 11. Geometry and mesh of 3D solid detailed local FEA model. (a) Geometry model of local model. (b) Mesh of local model (MS 0.18). (c) Mesh of local model (MS 0.09). (d) Contact stress for different mesh sizes. (e) Normal position without ellipse truncation, Q = 87,100 N, α = 66.8 ° .
Machines 14 00186 g011
Figure 12. Contact pressure and deformation according to the flexible model and raceway rim failure picture. (a) Maximum contact angle, Q = 140,921 N, α = 75.6 ° . (b) Maximum contact load, Q = 192,753 N, α = 72.8 ° . (c) When Q = 140,921 N, α = α 0 = 48 ° . (d) Raceway rim failure caused by ellipse truncation edge effect. (e) Deformation of raceway at the maximum contact angle position.
Figure 12. Contact pressure and deformation according to the flexible model and raceway rim failure picture. (a) Maximum contact angle, Q = 140,921 N, α = 75.6 ° . (b) Maximum contact load, Q = 192,753 N, α = 72.8 ° . (c) When Q = 140,921 N, α = α 0 = 48 ° . (d) Raceway rim failure caused by ellipse truncation edge effect. (e) Deformation of raceway at the maximum contact angle position.
Machines 14 00186 g012
Table 1. Parameters of pitch bearing of wind turbine.
Table 1. Parameters of pitch bearing of wind turbine.
ItemsValues
Bearing typedouble-row four-point contact ball bearing
Outer diameter1350 mm
Inner diameter 1092 mm
Width255 mm
Number of rollers 91
Outer raceway radius1227
Inner raceway radius1223.5
Number of outer ring bolts92
Number of inner ring bolts72
Thread size of bolts and nutsM36
Table 2. Material properties of different parts of wind turbine.
Table 2. Material properties of different parts of wind turbine.
PartsMaterial Properties
Blade composite E x = 3200 MPa, E y = 15,070.66 MPa, E z = 33,270.56 MPa,
ν x y = 0.064, ν x z = 0.038, ν y z = 0.206,
G x y = 1230.77 MPa, G x z = 1230.77 MPa, G y z = 7200 MPa
Hub E = 169,000 MPa, ν = 0.275
Steel E = 210,000 MPa, ν = 0.3
Table 3. Mesh and connection information.
Table 3. Mesh and connection information.
PartsDescription
MeshBladeHexahedron SOLID185
BearingHexahedron SOLID185
HubTetrahedral SOLID185
ConnectionBetween bolts and nutsLinked by beam 188
Between nuts and bearing ringNuts: CONTA 173
Bearing: TARGE170
Between hub and bearing outer ringHub: TARGE170
Bearing: CONTA173 Stand
Coefficient of friction μ = 0.3
Between blade and bearing inner ringBlade: TARGE170
Bearing: CONTA173 Stand
Coefficient of friction μ = 0.3
Table 4. Load cases of wind turbine.
Table 4. Load cases of wind turbine.
PartsLoads
Inner bolts pretension420 kN
Outer bolts pretension560 kN
Blade M x = 4756.1 kN·m, M y = 12,588 kN·m,
F x = 390.8 kN, F y = −221.2 kN, F z = 579.4 kN
Table 5. Properties of the seal ring material.
Table 5. Properties of the seal ring material.
ItemsValues
Material constant μ113.743 MPa
Material constant α10.14537
Material constant μ213.743 MPa
Material constant α20.14537
Material constant μ3−12.049 MPa
Material constant α30.06769
Incompressibility parameter D10.1 MPa−1
Incompressibility parameter D20.1 MPa−1
Incompressibility parameter D30.1 MPa−1
Table 6. Contact results of typical positions.
Table 6. Contact results of typical positions.
PositionMaximum Contact AngleMaximum Contact LoadNormal Position
Q 140,921192,75387,100
α 75.6 ° 72.8 ° 66.8 °
C l 158.2 ° 174.1 ° 23.7 °
p F E A 378236772523
p H e r t z 303233652582
Note: Q, contact load, N; α, contact angle, degree; C l , circumferential location, degree; p F E A , maximum contact pressure calculated by FEA, MPa; p H e r t z , maximum contact pressure at the projected elliptical area calculated by Hertz theory without considering ellipse truncation, MPa.
Disclaimer/Publisher’s Note: The statements, opinions and data contained in all publications are solely those of the individual author(s) and contributor(s) and not of MDPI and/or the editor(s). MDPI and/or the editor(s) disclaim responsibility for any injury to people or property resulting from any ideas, methods, instructions or products referred to in the content.

Share and Cite

MDPI and ACS Style

Zhang, Z.; Gao, X.; Ren, S.; Ma, C. Effect of Flexible Support Structures on Sealing and Raceway Damage of Pitch Bearings in Wind Turbines. Machines 2026, 14, 186. https://doi.org/10.3390/machines14020186

AMA Style

Zhang Z, Gao X, Ren S, Ma C. Effect of Flexible Support Structures on Sealing and Raceway Damage of Pitch Bearings in Wind Turbines. Machines. 2026; 14(2):186. https://doi.org/10.3390/machines14020186

Chicago/Turabian Style

Zhang, Zekun, Xuehai Gao, Sizhe Ren, and Cheng Ma. 2026. "Effect of Flexible Support Structures on Sealing and Raceway Damage of Pitch Bearings in Wind Turbines" Machines 14, no. 2: 186. https://doi.org/10.3390/machines14020186

APA Style

Zhang, Z., Gao, X., Ren, S., & Ma, C. (2026). Effect of Flexible Support Structures on Sealing and Raceway Damage of Pitch Bearings in Wind Turbines. Machines, 14(2), 186. https://doi.org/10.3390/machines14020186

Note that from the first issue of 2016, this journal uses article numbers instead of page numbers. See further details here.

Article Metrics

Back to TopTop