Next Article in Journal
LDFE-SLAM: Light-Aware Deep Front-End for Robust Visual SLAM Under Challenging Illumination
Previous Article in Journal
Modelling of Aerostatic Bearings with Micro-Hole Restriction
 
 
Font Type:
Arial Georgia Verdana
Font Size:
Aa Aa Aa
Line Spacing:
Column Width:
Background:
Article

Coupling Dynamic Behavior Analysis of Multiple Vibration Excitation Sources in Heavy-Duty Mining Screen

1
School of Mechatronics and Automation Engineering, Xinjiang University of Technology, Hotan 848000, China
2
School of Mechanical Engineering and Automation, Northeastern University, Shenyang 110819, China
*
Author to whom correspondence should be addressed.
Machines 2026, 14(1), 41; https://doi.org/10.3390/machines14010041 (registering DOI)
Submission received: 12 November 2025 / Revised: 25 December 2025 / Accepted: 26 December 2025 / Published: 29 December 2025
(This article belongs to the Section Machine Design and Theory)

Abstract

A heavy-duty vibrating screen with excitation sources is a mining vibrating machine synchronized by two eccentric rotors, exhibiting typical coupled dynamic behavior. Aiming at the coupling dynamic behavior of dual excitation sources based on the nonlinear vibration of a heavy-duty mining screen, theoretical research and experimental analysis of coupling synchronization are carried out, and the dynamic reasons for the dual excitation sources to achieve vibration synchronization are discussed. Based on nonlinear vibration theory, electromechanical coupling nonlinear dynamics equations for a dual excitation source vibrating screen are established in this paper, and the coupled dynamics factors of the two eccentric rotors are analyzed. The impact of coupling strength on the equilibrium state of the nonlinear vibration system is discussed, and the evolution process of the synchronous motion of the two eccentric rotors is further investigated, revealing the causal relationship by which the dual excitation sources achieve synchronization due to coupled dynamics behavior. The results show that the coupling effect of the multi-exciter is based on the nonlinear vibration of the vibration system, and the motion characteristics and motion mode of the exciter will change, and, finally, a coupled synchronous motion state will be reached. The research results can provide ideas for the mechanical structure design of heavy-duty mining screens excited by multiple excitation sources and can provide a theoretical basis and application reference for the selection of structural parameters of this kind of mining machinery.

1. Introduction

A heavy-duty vibrating screen involves multiple excitation systems. To meet the design requirements of mining production, multiple excitation sources must respond quickly to working conditions and achieve synchronous driving [1,2,3]. With the increasing intelligence of vibrating screens, the commonly used forced synchronization structure in heavy-duty vibrating screens faces challenges such as insufficient strength, low reliability, slow response, and poor stability, which have become bottlenecks restricting the development of heavy-duty, high-efficiency vibrating screens [4,5]. Therefore, it is urgently needed to study the mutual coupling effects of multiple excitation sources in heavy-duty vibrating screens and to clarify the evolutionary theory for achieving synchronization of multi-excitation sources.
Vibration synchronization under coupling action is a special physical phenomenon in vibration utilization engineering, which is embodied in vibration systems with two or more vibration exciters, in which the vibration exciters can realize synchronous motion without rigid connection, and it is widely used in material screening and material conveying equipment in mining, metallurgy, and other industries [4,6]. Reference [7] studies the chaotic synchronization problem of two coupled Van der Poel–Duffen systems on the same and different chaotic orbits. The stability boundaries of the synchronization process between two coupled driven van der Pol models are derived, and the influence of the periodic disturbance amplitude of coupling parameters on these boundaries is analyzed. It has a good guiding significance for the analysis of synchronicity. From the perspective of mechanical dynamics, reference [8] deduced the synchronization conditions and synchronization stability conditions of synchronous vibration machinery, which laid a theoretical foundation for the design and debugging of synchronous vibration machinery. Reference [9] analyzed the physical process of synchronous vibration transmission from the perspective of energy transfer and carried out experimental research. Reference [10] uses the Hamilton principle to quantitatively analyze the reason why the motion direction angle of a heavy-duty synchronous vibration coal mine screens is too large and puts forward a method to calculate the position of the vibration exciter to ensure the correct vibration direction angle. References [11,12] studied the vibration synchronization theory of two-machine, multi-machine-driven single-mass and two-mass vibration systems under the condition of ultra-far resonance. In recent years, the research of synchronization has developed to the compound synchronization stage of combining control synchronization with vibration synchronization [13], that is, the electromechanical system and vibration mechanical system are incorporated into a unified electromechanical coupling system for research, which provides a solution for studying the synchronization stability of multiple excitation sources from a control point of view.
The multi-excitation-source nonlinear synchronous behavior of heavy-duty mining screens depends not only on the vibration response characteristics of the screen machinery but also on the interaction between the vibration system itself and the excitation sources [14,15]. The strength of the coupling interactions among multiple excitation sources can directly influence the vibration response characteristics of complex systems in motion and their operational states [16]. Analyzing the impact of coupling properties on the dynamics behavior of nonlinear vibration systems is a crucial component in addressing the challenges of heavy-duty, intelligent, and high-efficiency development of mining screens [17,18,19].
In this paper, the mutual coupling dynamics of multiple independent excitation sources of a heavy-duty mining screen is studied, and the evolution process of synchronous motion of the motion states of two independent excitation sources based on the coupling effect of the vibration response of the mining screen is discussed. By realizing the dynamic coupling synchronization of multiple excitation sources based on the principle of vibration synchronization, the forced synchronous connection mechanism in the mining screen machinery can be omitted, which can not only well avoid the problem of high strength requirements of the synchronous mechanism, but the structure of the mining screen is also relatively greatly simplified. Therefore, it is of great practical significance to study the dynamic anti-resonance synchronization theory and application technology of large mining screens with multi-source excitation. The research conclusions can provide a theoretical basis and application guidance for the design and application of heavy-duty mining screens driven synchronously by multiple excitation sources.

2. Coupled Nonlinear Dynamic Model of a Mining Screen with Dual Vibration Excitation Sources

The mining screen with a double excitation source consists of components such as the screen body, double excitation source eccentric rotor, main vibration spring, and vibration isolation spring. In order to carry out the theoretical research of dynamics, the mining screen with a double excitation source [1] is selected, and its structure is abstracted and simplified, and its working principle is shown in Figure 1. Under heavy-load conditions, the sieve body of the mining screen performs approximately linear elliptical vibration under the synchronous action of dual excitation sources. As shown in Figure 1, to establish the static coordinate system O x y and a dynamic coordinate system O x y for the mining screen structure, five generalized coordinates x 1 , y 1 , x 2 , y 2 , and θ are defined. In the initial static state of the mining screen, the static coordinate system coincides with the dynamic coordinate system.
Based on the simplified dynamic model of the mining screen shown in Figure 1, to analyze the kinetic energy, potential energy, and energy dissipation of the system, the vibration dynamic equation of the system using the Lagrange equation [20] can be established as:
J i θ ¨ i + c i θ ˙ i + m i r i y ¨ cos θ i x ¨ sin θ i m i r i l φ 2 sin θ i φ = T i m i r i g cos θ i ,
where i = 1 , 2 ; J i is the moment of inertia of the i -th excitation source eccentric block ( k g m 2 ); θ i is the rotation angle of the i -th excitation source eccentric block ( ° ); c i is the rotational damping of the i -th excitation source eccentric block ( N s / m ); m i is the mass of the i -th excitation source eccentric block ( k g ); r i is the eccentricity of the i -th excitation source eccentric block ( m ); x , y , and φ are the displacement in the x and y direction ( m ) and torsion angle in the φ direction ( ° ) of the nonlinear vibration system; and T i is the output torque of the i -th excitation source ( N m ).
By solving the dynamic Equation (1), the steady-state solution Equation (2) for the vibration response of the simplified model of the ore sieve can be obtained.
x = 1 m 0 φ 2 k x m 1 r 1 cos θ 1 m 2 r 2 c o s θ 2 y = 1 m 0 φ 2 k y m 1 r 1 sin θ 1 + m 2 r 2 s i n θ 2 φ = 1 m 0 l 2 θ 1 + θ 2 2 2 k φ m 1 r 1 sin θ 1 + m 2 r 2 s i n θ 2 ,
where k x and k y are the spring stiffness coefficients in the x and y directions of the vibration system ( N / m ); k φ is the equivalent spring stiffness coefficient in the φ direction of the vibration system ( N m / r a d ); l i is the distance between the center of mass of the vibrating body and the rotor of the excitation motor ( m ), which is taken as l 1 = l 2 = l according to the actual installation situation.
ω ̄ is set as the average rotational frequency ( r a d / s ) of the doubly excited motor, and then:
θ i = ω ̄ t + Δ τ i ,
where Δ τ i < < ω ̄ t .
By taking the differential of Equation (1) and taking the average integral in the 2 π interval, Equation (1) can be transformed into Equation (4):
d 2 Δ τ i d t 2 + c i J i ω ̄ d Δ τ i d t + 1 + H sin Δ τ 1 Δ τ 2 2 J i ω ̄ 2 = T i J i ω ̄ 2 ,
where
H = m 1 m 2 r 1 r 2 m 0 2 k y k x .
It is known from Equation (4) that there is a coupled motion term of dual excitation sources in the equation, i.e., H sin Δ τ 1 Δ τ 2 2 J i ω ̄ 2 , where, H and sin Δ τ 1 Δ τ 2 are used to describe the characteristics of the coupling effect between the two excitation sources, and the strength of the coupling is related to the structural parameters of the eccentric rotor of the excitation source itself. As shown in Figure 1, if the mass m 0 does not have elastic support, then k x = k y = 0 , and the system in Figure 1 has no vibration motion. At this point, H = 0 in Equation (5) indicates that there will be no mutual coupling between the excitation sources in the coupling equation of Equation (4), and the two excitation sources will move independently.

3. Analysis of the Coupling Mechanism of Multiple Excitation Sources in Mining Screens

In actual heavy-duty mining screens, the structural characteristics of the two excitation sources are very similar, and the difference between their corresponding structural parameters and damping coefficients is a small amount. Therefore, m 1 = m 2 , r 1 = r 2 , and c 1 = c 2 are set, and the output moment difference Δ T = T 1 T 2 of the dual excitation sources is a small amount.
By introducing the above conditions into Equation (4) and setting i = 1 and 2 and then subtracting the two equations, a differential equation can be obtained, as per Equation (6), with the phase difference angle Δ τ = Δ τ 1 Δ τ 2 of the excitation source being the variable.
d 2 Δ τ d t 2 + c 1 J 1 ω ̄ d Δ τ d t + H sin Δ τ J 1 ω ̄ 2 Δ T J 1 ω ̄ 2 = 0 .
For the convenience of research, ϑ = d Δ τ d t is set, and then the coupling equation represented by Equation (6) becomes:
d d t ϑ = c 1 J 1 ω ̄ ϑ + H J 1 ω ̄ 2 Δ T H sin Δ τ .
In Equation (7), the following is set:
Δ T H = κ .
Based on Equation (5), it can be seen that κ is related to the eccentric mass m i , eccentric moment r i , and output torque difference Δ T of the two excitation sources, and the magnitude of each parameter value reflects the strength of the motion coupling effect of the two excitation sources.
Δ τ differentiation deformation is performed on Equation (7), and then:
d ϑ d Δ τ = c 1 J 1 ω ̄ ϑ + H J 1 ω ̄ 2 κ sin Δ τ ϑ .
Phase plane [21,22] analysis is performed on Equation (9). Because the working frequency band of the dual excitation source and subsequent multi-excitation source system in mining screen machinery is relatively narrow, this paper only theoretically analyzes the parameter design conditions of vibration synchronization due to coupling so as to provide a design reference and design basis for the mechanical structure parameter design of the heavy-duty mining screen with a multi-excitation source. Moreover, due to the bad working conditions of this kind of machinery, the redundancy of parameter design is large, and only the linear motion characteristics are considered, so the theoretical research focuses on the attachment area of the equilibrium point, and the global [7], bifurcation, and chaotic motion phenomena are not considered. The equilibrium point equation of the dynamic model in Figure 1 can be obtained, as shown in Equation (10):
κ sin Δ τ = 0 ϑ = 0 .
According to the analysis of Equations (9) and (10), if κ sin Δ τ , Equation (10) does not hold, which will result in Equation (9) being in an unbalanced state. If κ = sin Δ τ holds, then:
Δ τ = arcsin κ or   Δ τ = π arcsin κ .
To analyze the stability of the equilibrium singularity in Equation (9). Assuming the eigenvalue of Equation (9) is λ , the characteristic Equation (12) can be obtained as:
λ 1 H cos Δ τ J 1 ω ̄ 2 c 1 J 1 ω ̄ 2 λ = 0 ,
That is:
λ 2 + c 1 J 1 ω ̄ λ + H J 1 ω ̄ 2 cos Δ τ = 0 .
According to Equation (13), when cos Δ τ > 0 , the characteristic roots λ 1 , 2 of the equation have negative real parts. At this point, the system in Figure 1 has a steady-state solution. In addition, according to Equation (10), at this point, Δ τ = arcsin κ is the stable phase difference range of the system:
0 Δ τ < π 2 .
According to Equations (8) and (14), the range value of the characteristic value κ , which reflects the strength of the coupling effect of the dual excitation sources, can be obtained as:
0 κ = sin Δ τ < 1 .

4. Evolution Analysis of Coupled Motion State of Multiple Excitation Sources in Mining Screen

Due to the vibration effect of the elastic support of the ore screen shown in Figure 1, the two excitation sources will be coupled in motion [23]. With the change in coupling strength κ , the rotation speed and phase difference angle of the dual excitation sources also change, which leads to the evolution of different motion patterns of the system.
The transformation Equation (16) is introcuded:
d Δ τ 1 d t = X 1 d Δ τ 2 d t = X 2 .
Equation (15) is substituted into Equation (4), giving:
d X i d t = c i J i ω ̄ X i + 1 H sin Δ τ 1 Δ τ 2 2 J i ω ̄ 2 + T i J i ω ̄ 2 .
For a dual-excitation-source rotor, when it achieves resonant synchronous motion, the phase plane equilibrium point is:
d X 1 d t = d X 2 d t = 0 .
According to the structural parameters of the dual excitation source, m 1 = m 2 , r 1 = r 2 , and c 1 = c 2 , and Equation (19) can be obtained from Equations (8), (17), and (18).
X i = 1 c 1 ω ̄ 2 c 1 ω ̄ T 1 + T 2 2 ± H κ sin Δ τ .
Through comprehensive analysis of Equations (3) and (15), it can be concluded that Equation (19) reflects the relationship between the coupling effect of the rotational speed of the dual excitation source and the system vibration response.
Regarding Equation (19), the characteristic value κ is discussed within the range of the coupling strength in Equation (15).
If κ sin Δ τ = 0 , then according to Equation (19), X 1 = X 2 , that is, according to Equation (3), at this time, θ ˙ 1 = θ ˙ 2 , the dual-excitation-source rotors achieve constant-velocity synchronous motion based on the system vibration coupling effect. In addition, from the analysis process of Equation (11), it is known that the vibration system has a stable equilibrium state at this time.
If κ sin Δ τ 0 , then according to Equation (19), X 1 X 2 , that is, according to Equation (3), at this time, θ ˙ 1 θ ˙ 2 , the dual-excitation-source rotor cannot achieve constant-velocity synchronous motion based on the coupling effect of the vibration system. However, when the coupling phase difference Δ τ of the dual excitation sources increases within the range of Equation (14) and approaches the value of κ , the speed difference will correspondingly decrease, and the dual excitation sources will evolve towards achieving coupling synchronization.
It can be seen that the value of κ sin Δ τ determines whether the dual excitation sources can achieve coupled synchronous motion. As it approaches zero, the rotational speeds of the dual excitation sources evolve to become identical, causing the vibration response of the mining screen in Figure 1 to transition from a disordered state to an ordered design motion state. This allows for the analysis of the engineering application significance of the vibration coupling strength.
Introducing Equation (5) into Equation (8) gives:
T 1 T 2 k x k y m 0 2 m 1 m 2 r 1 r 2 = κ .
By substituting Equation (20) into Equation (15), the following is obtained:
T 1 T 2 < k x k y m 0 2 m 1 r 1 m 2 r 2 .
Equation (21) provides the dynamic parameter conditions for the synchronization of dual excitation sources in heavy-duty mining screening. In engineering, it can serve as an important basis for the design of structural parameters of heavy-duty mining screens that can be driven synchronously by multiple excitation sources.

5. Engineering Example

Using the size reduction prototype of a mineral sieve with a dual excitation vibration source (Figure 2) designed and manufactured in the vibration utilization engineering laboratory as an experimental platform, this paper discusses the engineering application issues of the theoretical research in the article. The purpose of this paper is to provide the design basis for mechanical structural parameters for the design and manufacture of general multi-excitation-source heavy-duty ore screens, so that the multi-excitation source of this kind of machinery has the basic conditions to realize self-synchronization. In practical engineering applications, the actual working conditions such as environmental disturbance and load fluctuation during the use of the ore screen are realized by exerting control on the excitation source, and the control system adjusts the control parameters based on the actual working conditions. Therefore, this paper only studies the no-load condition of the mine screen.
As shown in Figure 2, the scaled-down prototype of the dual-excitation-source mining screen consists of three layers of frame beams. The work framework layer is constructed with 16A# (160 × 63 × 6.5 mm) channel steel. The frame beam (2560 × 640 × 160 mm) is connected to the vibration-isolation frame layer (2560 × 640 × 80 mm) via primary vibration springs, while the vibration-isolation frame layer is linked to the support framework layer (2560 × 640 × 50 mm) fixed on the platform through helical support springs. Figure 2 shows that the prototype employs two excitation vibration sources operating in reverse synchronization to excite the work framework layer (with a dual excitation motor frequency bandwidth of 0–150 Hz). The frame beam is a two-degree-of-freedom system in both horizontal and vertical directions. Two vibration sensors (model: 4801A, Sensitivity: 1000 mV/g, Supplier: Sensor Way Measurement and Control Technology Co., Ltd., Beijing, China) are installed on the layer to be tested for measuring the vibration response of the ore sieve size reduction prototype [14].
The structural parameters of the prototype of the mining screen with a double excitation source with a reduced ratio size shown in Figure 2 are as follows:
m 0 = 150   k g ,   m 1 = m 2 = 5.5   kg ,   r 1 = r 2 = 0.075   m ,   c 1 = c 2 = 110   N s / m ,
k x = 5.244 × 10 3   N / m ,     k y = 5.216 × 10 4   N / m , and the dual excitation source torque difference T 1 T 2 = 0.304   N m .
Substituting the above parameters into Equation (21) gives T 1 T 2 = 0.304 ,     k x k y m 0 2 ( m 1 r 1 ) ( m 2 r 2 ) = 0.3548 . At this point, the condition of Equation (21) is satisfied. Based on the prototype of the experimental platform in Figure 2, synchronous experiments of dual excitation sources are conducted under coupling effects.
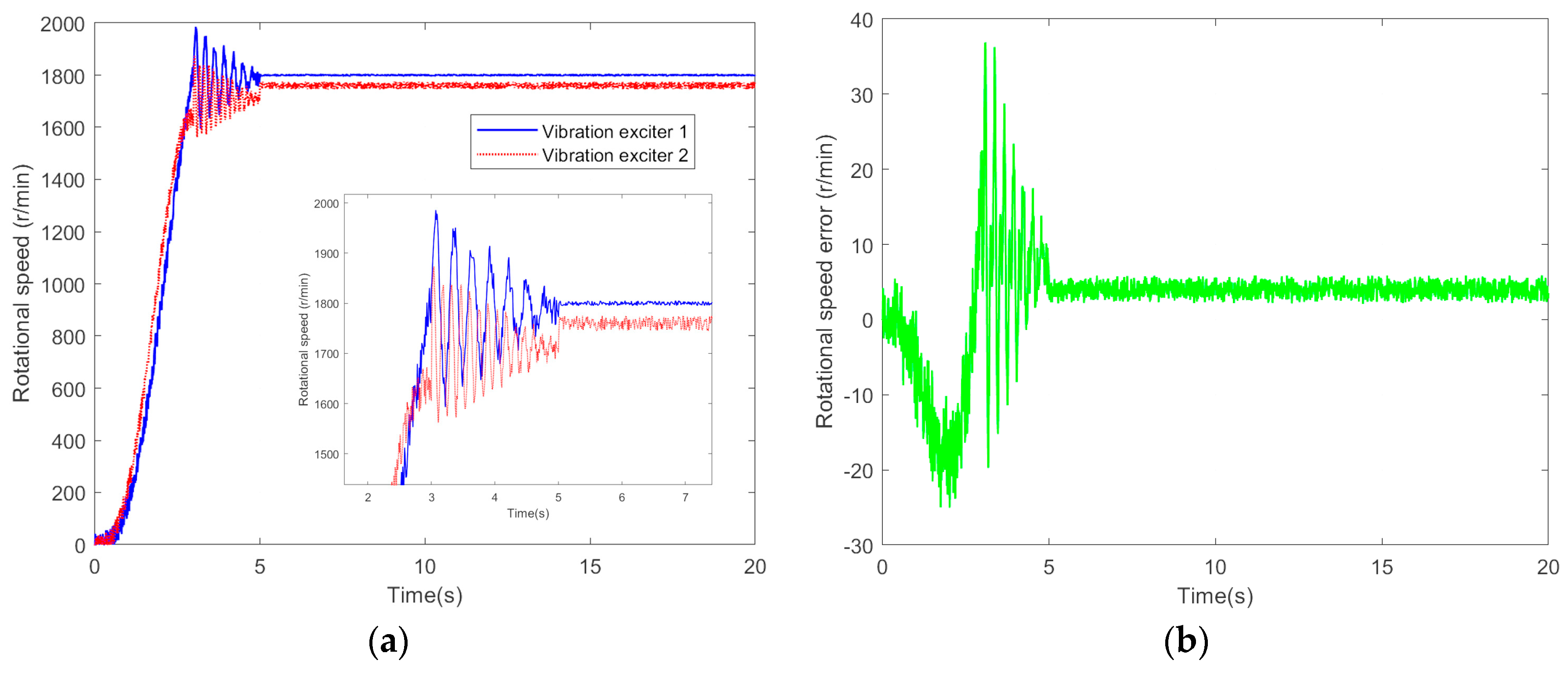
As shown in Figure 3, under the coupling effect, the double excitation source increases its speed to around 1800 rpm from the start of the system vibration (Figure 3a). During the 0–3 s stage of acceleration, there is a significant fluctuation in the speed difference of the dual excitation source, with a wave amplitude of −8 rpm~9.3 rpm (Figure 3b). After about 2 s of oscillation adjustment, it finally stabilizes at 1800 rpm (Figure 3a). At this time, the speed difference is ± 0.76 rpm, which meets the requirements of stable and controllable synchronous drive design for the movement trajectory direction of the mining screen in Figure 2, indicating the effectiveness of the coupling effect synchronization condition in Equation (21).
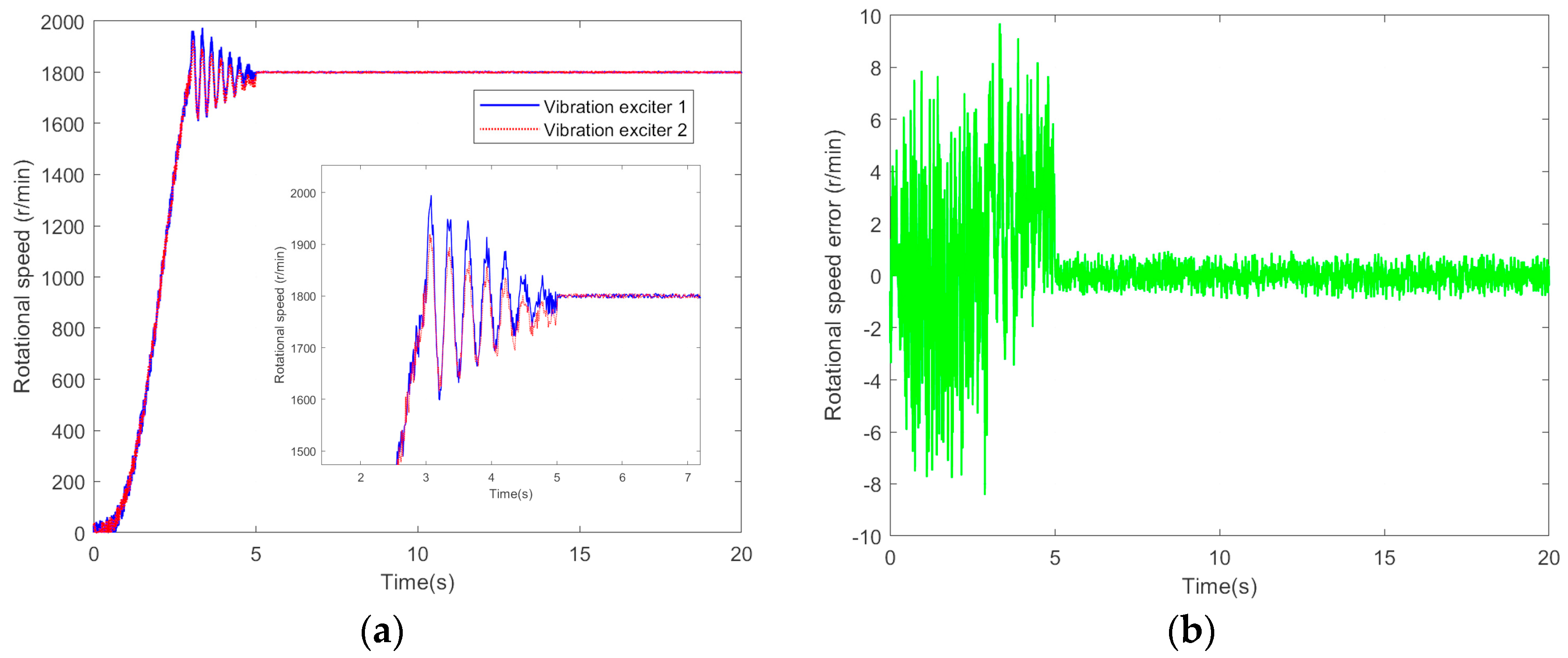
In order to further verify the coupling effect conditions, the driving moment of the double excitation source T 1 T 2 = 0.36 is adjusted in the experiment, giving T 1 T 2 > k x k y m 0 2 ( m 1 r 1 ) ( m 2 r 2 ) = 0.3548 . The coupling synchronization effect represented by Equation (21) is no longer satisfied, and theoretically, the dual excitation sources of the ore sieve prototype in Figure 2 no longer achieve synchronous motion. Through the dual excitation source rotational speed state testing experiment, the rotational speed adjustment process of the dual excitation sources in the mining screen in Figure 4 can be obtained. In Figure 4a, excitation source 1 and excitation source 2 start simultaneously, and an inconsistency in their rotational speeds appears. After approximately 3 s to 4.8 s of speed adjustment, the speeds stabilize at different values (Figure 4a). At this point, the speed difference between the two excitation sources is approximately 4.7 rpm to 7.3 rpm (Figure 4b). From the vibration response state of the mining screen in Figure 2, it can be seen that due to the unidirectional speed difference between the dual excitation sources, the phase difference between the two excitation sources increases, causing the motion trajectory of the mining screen body to change from the designed elliptical trajectory to irregular oscillations, no longer meeting the production requirements. A comparison of the results in Figure 3 and Figure 4 further supports the correctness and validity of the theoretical research findings presented in this paper.

6. Conclusions

Based on the vibration motion of heavy-duty mining screens, dual excitation sources can realize synchronous vibration motion. Its mechanism is based on the vibration response of the mining screen, and the energy redistribution between the two excitation sources is realized. The performance is that if the rotor of an excitation source is ahead, the action of the vibration system on it is a load; if the rotor of an exciter lags behind, the vibration system acts on it as a driving torque and finally synchronizes the speeds of the two exciter sources.
In this paper, by analyzing the coupling intensity factor of double excitation sources, the coupling synchronization conditions of double excitation sources are effectively proven. In the design of heavy-duty ore screens, the structural parameters of multi-excitation sources are generally as close as possible, and the stiffness of the supporting spring of the ore screen is fixed after design, so the synchronization of excitation sources is directly related to the output torque difference T = T 1 T 2 . The smaller the T , the easier it is for the excitation source to achieve synchronous vibration motion. At the same time, when the ore screen loses synchronization due to the influence of bad working conditions, it can be synchronized again by adjusting and increasing the parameter vibration mass m 0 , but the increase in the parameter vibration mass will lead to a smaller amplitude of the ore screen and a reduction in working efficiency. Therefore, in practical engineering applications, it is necessary to select the synchronization parameters according to the actual working requirements. In reference [3,24], the relationship characteristics of double-motor speed synchronization derived by the Hamilton method are consistent. This shows the correctness of the theoretical analysis of the coupling synchronization of double excitation sources in this paper. At the same time, it is also proven that this paper theoretically derives the synchronization relationship characteristics based on the analysis of the vibration coupling effect of multiple excitation sources.
The analytical method adopted provides a theoretical basis for the analysis of dynamic coupling synchronization of heavy-duty mining screens with double excitation sources. The dynamic parameters of the vibration synchronization of the double excitation sources studied in this paper can provide a reference for the structural design and mechanical structural parameter selection of mining screen machinery. The coupling effect method of the excitation sources proposed in this paper has good reference value for the research of synchronization of heavy-duty mine equipment driven by three excitation sources, four excitation sources, and even multiple excitation sources.

Author Contributions

Conceptualization, X.L.; methodology, X.L. and Y.Z.; validation, Y.Z., Y.W. and M.B.; writing—original draft preparation, X.L.; writing—review and editing, X.L. and Y.Z.; visualization, Y.W.; supervision, X.L.; project administration, Y.Z. and M.B. All authors have read and agreed to the published version of the manuscript.

Funding

This research was supported by the Corps Science and Technology Plan Projects (grant no. 2025DA043).

Data Availability Statement

The original contributions presented in this study are included in this article.

Acknowledgments

Thanks to Ansteel Mining Machinery Manufacturing Co., Ltd. for assisting in processing the experimental bench.

Conflicts of Interest

The authors declare no conflicts of interest.

References

  1. Wen, B.C.; Liu, S.Y. Modern Vibrating Screening Technology and Equipment Design; Metallurgical Industry Press: Beijing, China, 2013; pp. 10–57. [Google Scholar]
  2. Ma, L.F.; Zhai, T. Mining Machinery and Intelligent Technology; China Machine Press: Beijing, China, 2024; pp. 105–132. [Google Scholar]
  3. Wen, B.C.; Fan, J.; Zhao, C.Y.; Xiong, W.L. Vibratory Synchronization and Controlled Synchronization in Engineering; Science Press: Beijing, China, 2009; pp. 111–174. [Google Scholar]
  4. Wen, B.C.; Huang, X.L.; Li, Y.N.; Zhang, Y.M. Vibration Utilization Engineering; Huazhong University of Science & Technology Press: Beijing, China, 2023; pp. 5–101. [Google Scholar]
  5. He, L.; Shuai, C.G. Vibration Theory and Engineering Applications; Science Press: Beijing, China, 2015; pp. 78–153. [Google Scholar]
  6. Li, X.H.; Gao, R.; Shen, T. Analysis of material motion characteristics of vertical nonlinear synchronous vibration dryer. Trans. Can. Soc. Mech. Eng. 2019, 43, 560–568. [Google Scholar] [CrossRef]
  7. Yamapi, R.; Filatrella, G. Strange attractors and synchronization dynamics of coupled Van der Pol–Duffing oscillators. Commun. Nonlinear Sci. 2008, 13, 1121–1130. [Google Scholar] [CrossRef]
  8. Szmit, Z. Vibration, synchronization and localization of three-bladed rotor: Theoretical and experimental studies. Eur. Phys. J. Spec. Top. 2021, 230, 3615–3625. [Google Scholar] [CrossRef]
  9. Fang, P.; Sun, H.C.; Cai, K.; Hou, Y.J.; Kang, W.T. Synchronization mechanism of dual-body dynamic vibration absorption system with multiple-rotor and double-frequency actuation. J. Mech. Eng. 2024, 60, 156–167. [Google Scholar] [CrossRef]
  10. Wang, G.H.; Jia, L.; Pan, C.; Wang, C.; Yang, J.K. Research on controlled synchronization of vibrating screen driven by two induction motors. Manuf. Technol. Mach. Tool 2023, 7, 108–115. [Google Scholar] [CrossRef]
  11. Zhang, X.L.; Zhang, X.; Hu, W.C.; Zhang, W.; Chen, W.H.; Wang, Z.H.; Wen, B.C. Theoretical, numerical and experimental studies on multi-cycle synchronization of two pairs of reversed rotating exciters. Mech. Syst. Signal Process. 2022, 167, 108501. [Google Scholar] [CrossRef]
  12. Zhang, X.L.; Wen, B.C.; Zhao, C.Y. Vibratory synchronization transmission of two exciters in a super-resonant vibrating system. J. Mech. Sci. Technol. 2014, 28, 2049–2058. [Google Scholar] [CrossRef]
  13. Huang, Z.L.; Song, G.Q.; Li, Y.M.; Sun, M.N. Synchronous control of two counter-rotating eccentric rotors in nonlinear coupling vibration system. Mech. Syst. Signal Process. 2019, 114, 68–83. [Google Scholar] [CrossRef]
  14. Li, X.H.; Chen, S.P.; Liu, J. Harmonic vibration synchronization analysis of nonlinear vibration system based on frequency catching phenomenon. J. Mech. Eng. 2014, 50, 100–107. [Google Scholar] [CrossRef]
  15. Kong, X.X.; Zhang, X.L.; Chen, X.Z.; Wen, B.C.; Wang, B. Synchronization analysis and control of three eccentric rotors in a vibrating system using adaptive sliding mode control algorithm. Mech. Syst. Signal Process. 2016, 72–73, 432–450. [Google Scholar] [CrossRef]
  16. Kong, X.X.; Chen, X.Z.; Wen, B.C. Composite synchronization of three eccentric rotors driven by induction motors in a vibrating system. Mech. Syst. Signal. Process. 2018, 102, 158–179. [Google Scholar] [CrossRef]
  17. Younesian, D.; Cao, D.Q.; Wu, Z.Q. Nonlinear vibration of a three-dimensional moving gantry crane subjected to a travelling trolley hoisting a swinging object. Trans. Can. Soc. Mech. Eng. 2010, 34, 333–350. [Google Scholar] [CrossRef]
  18. Lai, W.J.; Cai, C.S.; Huang, C.Y.; Gao, H.M.; Zhang, S.Q. Dynamics characteristics analysis of rigid-flexible model under electromechanical coupling effect. J. Vib. Shock 2025, 44, 10–18. [Google Scholar] [CrossRef]
  19. Ren, G.Q. Structural optimization and experimental verification of vibrating screen box. Automat. Appl. 2025, 66, 97–99. [Google Scholar] [CrossRef]
  20. Zuo, W.J. Application and teaching of Lagrangian dynamics equations in derivation of elastic body equation. Mech. Eng. 2024, 46, 1286–1292. [Google Scholar] [CrossRef]
  21. Fredrik, O.; Johannes, G.B.; Ruth, E.B. On the correspondence between symmetries of two-dimensional autonomous dynamical systems and their phase plane realisations. Phys. D 2024, 461, 134113. [Google Scholar] [CrossRef]
  22. Hu, H.Y.; Jin, D.Q.; Wang, Z.H. Application of Nonlinear Dynamics, 2nd ed.; Beihang University Press: Beijing, China, 2025; pp. 186–208. [Google Scholar]
  23. Pikovsky, A.; Rosenblum, M.; Kurths, J.; Robert, C.H. Synchronization: A Universal Concept in Nonlinear Science. Am. J. Phys. 2002, 70, 655. [Google Scholar] [CrossRef]
  24. Chen, B.; Xia, X.O.; Wang, X.B. Synchronization and vibratory synchronization transmission of a weakly damped far-resonance vibrating system. PLoS ONE 2019, 14, e0209703. [Google Scholar] [CrossRef] [PubMed]
Figure 1. Simplified dynamic model of heavy-duty mining screen with dual-source excitation.
Figure 1. Simplified dynamic model of heavy-duty mining screen with dual-source excitation.
Machines 14 00041 g001
Figure 2. Ratio size reduction prototype of a mining screen with a dual excitation vibration source.
Figure 2. Ratio size reduction prototype of a mining screen with a dual excitation vibration source.
Machines 14 00041 g002
Figure 3. Synchronous transition process under coupled working conditions of dual excitation sources in the mining screen: (a) speed adjustment synchronization process; (b) synchronization transition process speed difference.
Figure 3. Synchronous transition process under coupled working conditions of dual excitation sources in the mining screen: (a) speed adjustment synchronization process; (b) synchronization transition process speed difference.
Machines 14 00041 g003
Figure 4. Transition process of dual excitation sources for a mining screen that do not meet the coupling synchronization conditions: (a) speed adjustment synchronization process; (b) synchronization transition process speed difference.
Figure 4. Transition process of dual excitation sources for a mining screen that do not meet the coupling synchronization conditions: (a) speed adjustment synchronization process; (b) synchronization transition process speed difference.
Machines 14 00041 g004
Disclaimer/Publisher’s Note: The statements, opinions and data contained in all publications are solely those of the individual author(s) and contributor(s) and not of MDPI and/or the editor(s). MDPI and/or the editor(s) disclaim responsibility for any injury to people or property resulting from any ideas, methods, instructions or products referred to in the content.

Share and Cite

MDPI and ACS Style

Li, X.; Zhou, Y.; Bao, M.; Wang, Y. Coupling Dynamic Behavior Analysis of Multiple Vibration Excitation Sources in Heavy-Duty Mining Screen. Machines 2026, 14, 41. https://doi.org/10.3390/machines14010041

AMA Style

Li X, Zhou Y, Bao M, Wang Y. Coupling Dynamic Behavior Analysis of Multiple Vibration Excitation Sources in Heavy-Duty Mining Screen. Machines. 2026; 14(1):41. https://doi.org/10.3390/machines14010041

Chicago/Turabian Style

Li, Xiaohao, Yang Zhou, Mingzheng Bao, and Yahui Wang. 2026. "Coupling Dynamic Behavior Analysis of Multiple Vibration Excitation Sources in Heavy-Duty Mining Screen" Machines 14, no. 1: 41. https://doi.org/10.3390/machines14010041

APA Style

Li, X., Zhou, Y., Bao, M., & Wang, Y. (2026). Coupling Dynamic Behavior Analysis of Multiple Vibration Excitation Sources in Heavy-Duty Mining Screen. Machines, 14(1), 41. https://doi.org/10.3390/machines14010041

Note that from the first issue of 2016, this journal uses article numbers instead of page numbers. See further details here.

Article Metrics

Article metric data becomes available approximately 24 hours after publication online.
Back to TopTop