Study of the Water Vapor Desublimation Effect on the Camber Morphing Wing Considering Cryogenic Environments
Abstract
1. Introduction
2. Model Definition and the Numerical Simulation Method
2.1. Model Definition
2.1.1. Cryogenic Wind Tunnel Drying Hall
2.1.2. Supercritical Airfoil
2.2. Numerical Simulation Method
2.2.1. Governing Equations
2.2.2. Spalart–Allmaras Turbulence Model
2.2.3. Computational Grid and Grid Independence Validation
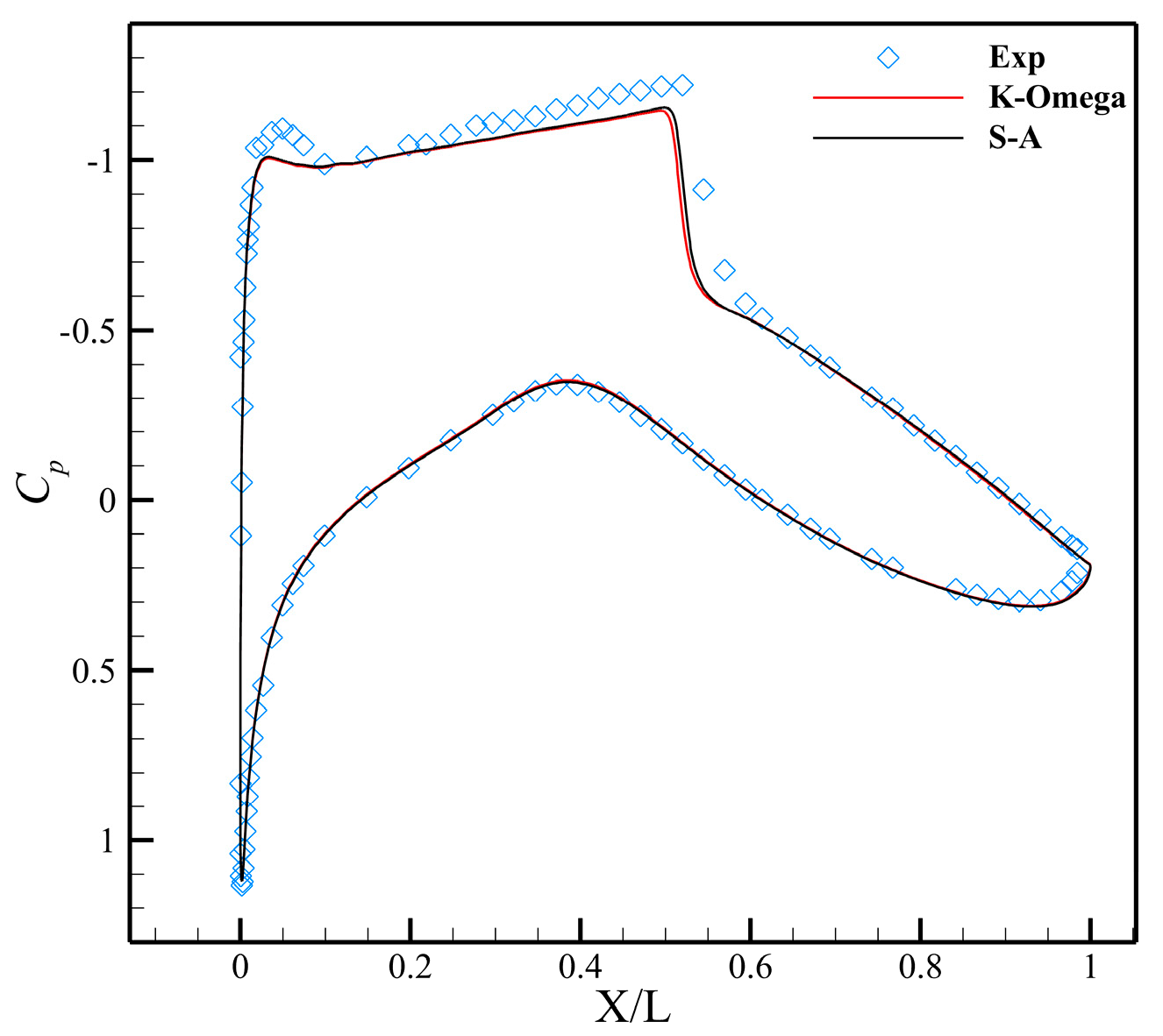
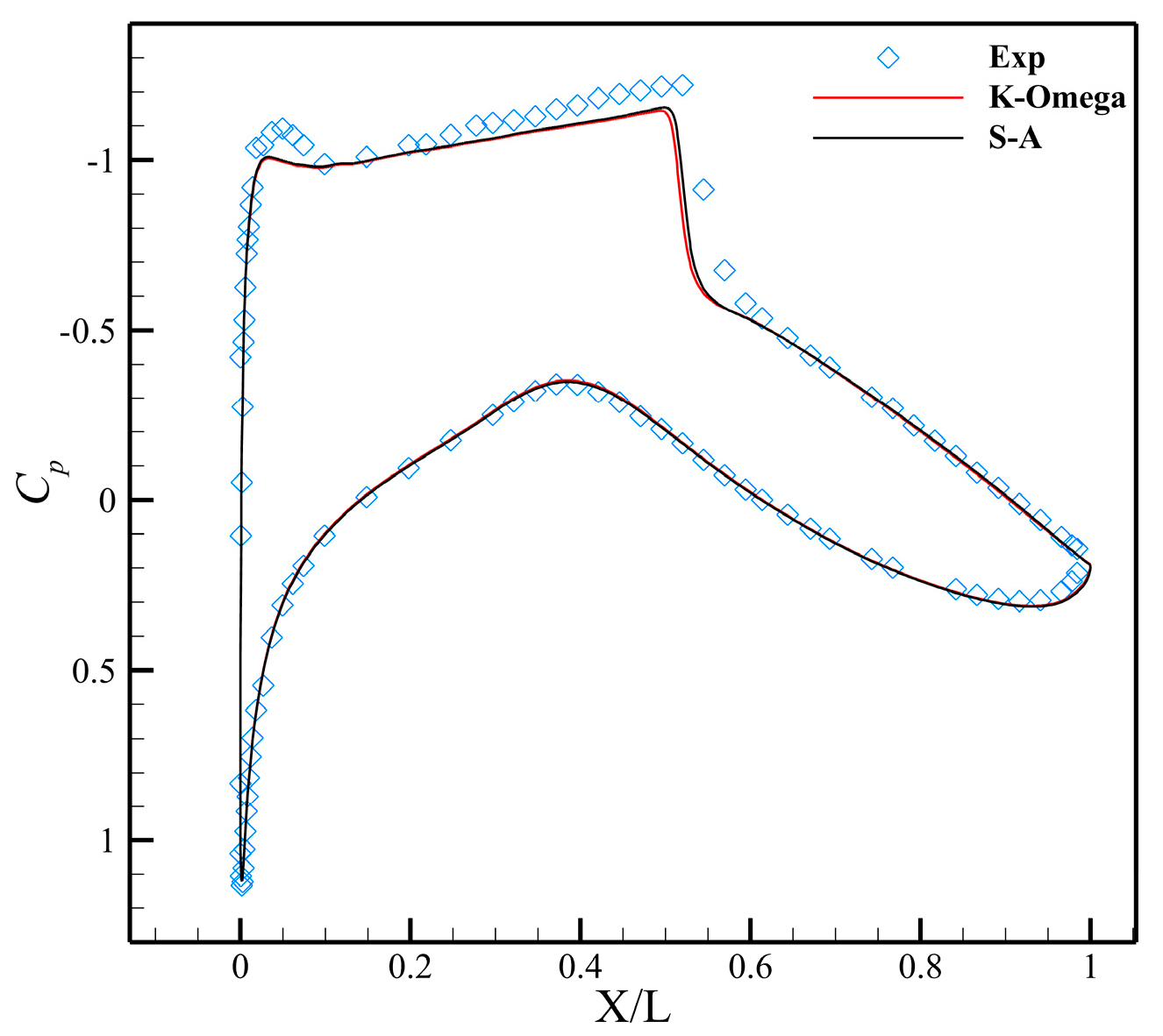
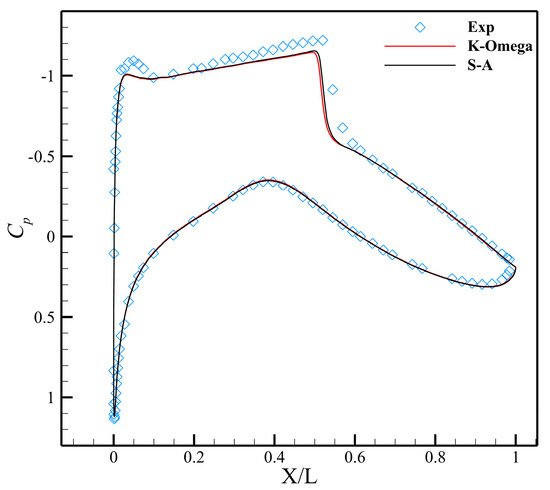
2.2.4. Validation of Computational Methods
- (1)
- Far-Field Boundary Conditions
- (2)
- Wall Boundary Conditions
3. Effect of the Water Vapor De-Sublimation on the Airfoil Shape
3.1. Measuring Method
3.1.1. Ultra-Low Dew Point Test Environment Creation and Desublimation Test
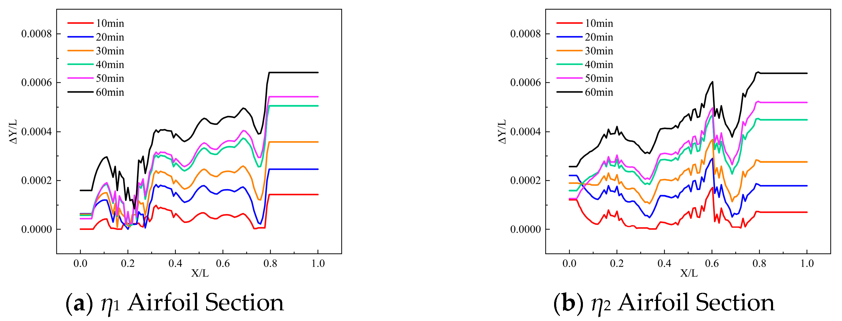
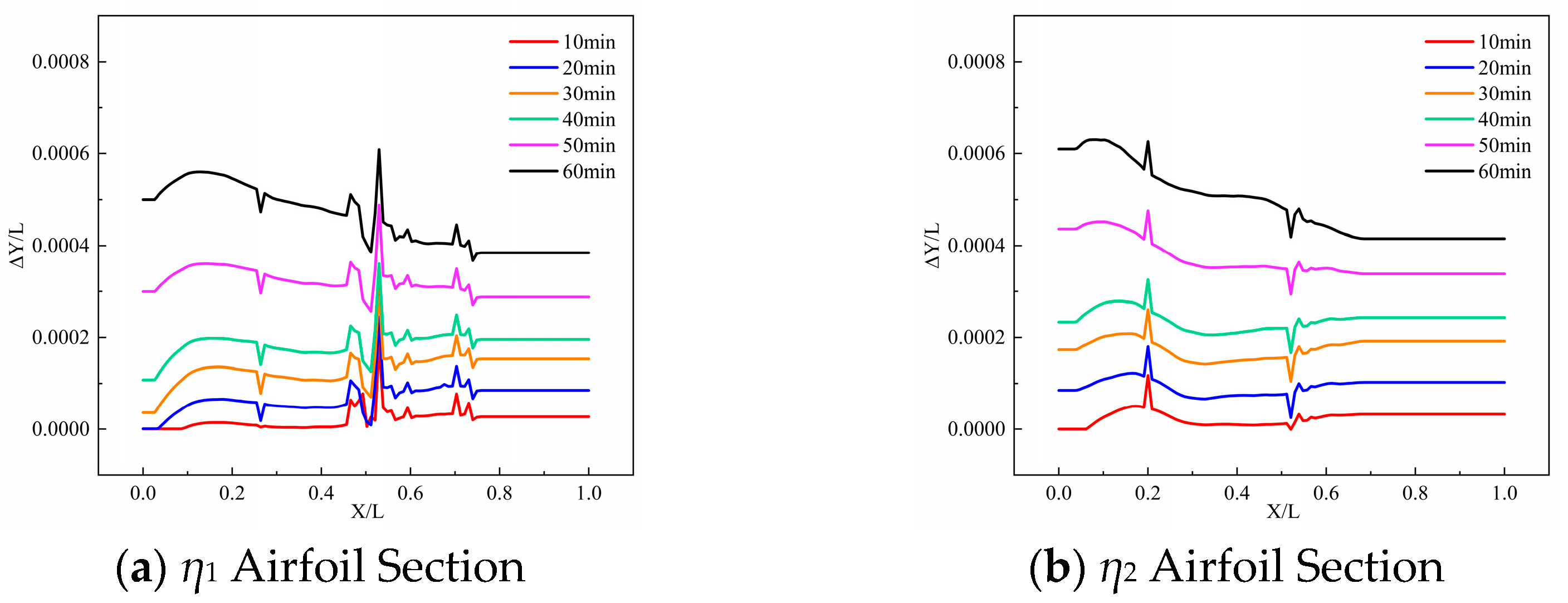
3.1.2. Methods for Measuring Frost
3.2. Measuring Result
4. Effect of the Water Vapor De-Sublimation on the Aerodynamic Characteristics
4.1. Impact Simulation of Frost Layer on Airfoil Aerodynamic Profile
4.2. Influence of Water Vapor Content
- (a)
- Numerical Simulation Results for Tmodel = 110 K and CH2O = 6.45 ppm
- (b)
- Numerical Simulation Results for Tmodel = 110 K and CH2O = 21.10 ppm
- ΔCL shows a monotonic increase with frost accumulation duration in both cases. Furthermore, comparable ΔCL variation patterns are observed across both cases with increasing angle of attack. During the increase of angle of attack, ΔCL at the same frost duration shows a trend of decreasing, then increasing, and finally decreasing again.
- ΔCD exhibits comparable variation trends with the angle of attack across both cases. During the angle of attack increase from −2° to 2.31°, a consistent ascending tendency in ΔCD is observed. Furthermore, the variation patterns of ΔCD demonstrate similar consistency with increasing frost accretion duration under both conditions.
- Both Case 1 and Case 2 exhibit comparable overall trends in ΔK and ΔCm variations with frost accretion duration and angle of attack.
- (1)
- There are distinct differences between the wall pressure coefficient distributions of baseline and frost-accreted airfoils. The baseline airfoil exhibits smooth pressure gradients across the surface, while the frost-accreted airfoils demonstrate enhanced oscillatory characteristics with localized pressure coefficient deviations. Significant variations in the upper surface pressure distribution occur, particularly at airfoil X/L = 0.05~0.4.
- (2)
- Frost accretion modifies the flow field structure on the airfoil’s upper surface, such as fluctuations in the Q-criterion. These alterations arise from frost-induced geometric profile changes, which perturb boundary layer flow characteristics and destabilize the flow. Furthermore, the influence of frost accretion on the airfoil flow structure progressively intensifies with increasing frost accretion duration.
- (3)
- Compared to η2, the spanwise position η1 shows more noticeable frost-induced changes in the flow field structure and pressure distribution, as seen by larger pressure fluctuation amplitudes and more complicated vortex structures.
- (4)
- Streamwise gradients in frost layer thickness critically influence pressure distributions and flow field structures of frost-accreted airfoils. Analysis of the frost layer thickness at the airfoil surface reveals significant pressure coefficient fluctuations at chordwise locations with substantial frost thickness variations. It is evident that the streamwise gradients in frost layer thickness exert a pronounced effect on the modifications to the flow field structure of frost-accreted airfoils.
4.3. Influence of Model Temperature
5. Conclusions
- (1)
- Frost layer thickness on the model surface increases with decreasing model temperature, elevated water vapor concentration, and prolonged cryogenic exposure duration.
- (2)
- Water vapor desublimation impacts the lift–drag coefficient, lift-to-drag ratio, and moment coefficient of airfoils. The aerodynamic modifications exhibit significant commonality across conditions: the variation trends of aerodynamic deviations with angle of attack demonstrate notable consistency under different conditions, while the deviations themselves progressively amplify with increasing frost accretion duration.
- (3)
- Water vapor desublimation modifies the airfoil surface pressure distribution and flow field structure, alters boundary layer flow characteristics, and elevates flow instability, thereby inducing rearward displacement of the shock wave. Regions with steeper gradients in frost layer thickness along the flow direction exhibit more pronounced alterations in pressure distribution and flow structure.
- (4)
- Aerodynamic deviations exhibit similarity across different spanwise profiles; however, significant differences in flowfield structures are observed among different spanwise profiles. Cryogenic environments with elevated water vapor concentrations induce drastic supersaturation elevation, accelerating desublimation rates and thereby amplifying aerodynamic modifications and flowfield restructuring.
Author Contributions
Funding
Data Availability Statement
Conflicts of Interest
Correction Statement
References
- Su, J.; Sun, G.; Tao, J. An inverse design method for three-dimensional morphing wings based on deep reinforcement learning. Acta Aerodyn. Aerodyn. Sin. 2024, 42, 84–97. [Google Scholar] [CrossRef]
- Chu, L.; Li, Q.; Gu, F.; Du, X.; He, Y.; Deng, Y. Design, modeling, and control of morphing aircraft: A review. Chin. J. Aeronaut. 2022, 35, 220–246. [Google Scholar] [CrossRef]
- Ajaj, R.M.; Beaverstock, C.S.; Friswell, M.I. Morphing aircraft: The need for a new design philosophy. Aerosp. Sci. Technol. 2016, 49, 154–166. [Google Scholar] [CrossRef]
- Ajaj, R.M. Flight Dynamics of Transport Aircraft Equipped with Flared-Hinge Folding Wingtips. J. Aircr. 2021, 58, 98–110. [Google Scholar] [CrossRef]
- Kota, S.; Flick, P.; Collier, F.S. Flight Testing of FlexFloilTM Adaptive Compliant Trailing Edge. In Proceedings of the 54th AIAA Aerospace Sciences Meeting, San Diego, CA, USA, 4–8 January 2016; AIAA SciTech Forum, American Institute of Aeronautics and Astronautics: Reston, VA, USA, 2016. [Google Scholar]
- Barbarino, S.; Bilgen, O.; Ajaj, R.M.; Friswell, M.I.; Inman, D.J. A Review of Morphing Aircraft. J. Intell. Mater. Syst. Struct. 2011, 22, 823–877. [Google Scholar] [CrossRef]
- Reich, G.; Sanders, B. Introduction to Morphing Aircraft Research. J. Aircr. 2007, 44, 1059. [Google Scholar] [CrossRef]
- Lutz, T.; Kleinert, J.; Waldmann, A.; Koop, L.; Yorita, D.; Dietz, G.; Schulz, M. Research Initiative for Numerical and Experimental Studies on High-Speed Stall of Civil Aircraft. J. Aircr. 2023, 60, 623–636. [Google Scholar] [CrossRef]
- Jimenez-Navarro, C.; Tô, J.B.; Rouaix, C.; Doerffer, P.; Marouf, A.; El Akoury, R.; Braza, M. Morphing Effects on the Aerodynamic Performances of a Supercritical Wing’s Prototype in Transonic Flow Conditions. In Advanced Computational Methods and Design for Greener Aviation; Tuovinen, T., Periaux, J., Knoerzer, D., Bugeda, G., Pons-Prats, J., Eds.; Springer International Publishing: Cham, Switzerland, 2024; pp. 159–174. [Google Scholar]
- Wang, Q.; Qian, W.; Ding, D. A review of unsteady aerodynamic modeling of aircrafts at high angles of attack. Acta Aeronaut. Et Astronaut. Sin. 2016, 37, 2331–2347. [Google Scholar] [CrossRef]
- Waldmann, A.; Ehrle, M.C.; Kleinert, J.; Yorita, D.; Lutz, T. Mach and Reynolds number effects on transonic buffet on the XRF-1 transport aircraft wing at flight Reynolds number. Exp. Fluids 2023, 64, 102. [Google Scholar] [CrossRef]
- Wu, J.; Kong, W.; Li, G.; Tian, S. Progress and prospect on Reynolds number effects of advanced aircraft. Acta Aerodyn. Sin. 2024, 42, 35–59. [Google Scholar] [CrossRef]
- Lai, H.; Chen, W.; Sun, D.; Nie, X.; Zhu, C. The structural design for 0.3 m cryogenic continuous transonic wind tunnel. J. Exp. Fluid Mech. 2020, 34, 89–96. [Google Scholar] [CrossRef]
- Goodyer, M.J. The cryogenic wind tunnel. Prog. Aerosp. Sci. 1992, 29, 193–220. [Google Scholar] [CrossRef]
- Kilgore, R. Evolution and Development of Cryogenic Wind Tunnels. In Proceedings of the 43rd AIAA Aerospace Sciences Meeting and Exhibit, Reno, NV, USA, 10–13 January 2005. [Google Scholar]
- Kilgore, R.A. Cryogenic Wind Tunnels-A Brief Review. In Advances in Cryogenic Engineering; Kittel, P., Ed.; Springer US: Boston, MA, USA, 1994; pp. 63–70. [Google Scholar]
- Kilgore, R.A. Cryogenic Wind Tunnels for Aerodynamic Testing. In Flow at Ultra-High Reynolds and Rayleigh Numbers: A Status Report; Donnelly, R.J., Sreenivasan, K.R., Eds.; Springer: New York, NY, USA, 1998; pp. 66–80. [Google Scholar]
- Wegener, P.P. Cryogenic transonic wind tunnels and the condensation of nitrogen. Exp. Fluids 1991, 11, 333–338. [Google Scholar] [CrossRef]
- Goodyer, M.J.; Kilgore, R.A. High-Reynolds-Number Cryogenic Wind Tunnel. AIAA J. 1973, 11, 613–619. [Google Scholar] [CrossRef]
- Ahlefeldt, T.; Ernst, D.; Goudarzi, A.; Raumer, H.-G.; Spehr, C. Aeroacoustic testing on a full aircraft model at high Reynolds numbers in the European Transonic Windtunnel. J. Sound Vib. 2023, 566, 117926. [Google Scholar] [CrossRef]
- Schauerte, C.; Bosbach, J.; Konrath, R.; Geisler, R.; Philipp, F.; Schreyer, A.-M. Characterization of Transonic Buffet on a Swept Wing by Means of Cryogenic PIV. In Proceedings of the Deutscher Luft- und Raumfahrtkongress 2022, Dresden, Germany, 29 September 2023; pp. 1–10. [Google Scholar]
- Ba, Y.; Chen, Y.; Liu, Y.; Zhang, L. Experimental Investigation of Model Deformation on a High Aspect Ratio Aircraft at Transonic Speeds in ETW. In Proceedings of the 2023 Asia-Pacific International Symposium on Aerospace Technology (APISAT 2023) Proceedings, Singapore, 2 July 2024; pp. 1154–1164. [Google Scholar]
- Gao, J.; Tyrrell, O.K.; Danehy, P.M.; Chan, D.T. Velocity Measurements in the Wake of the Swept Wing Flow Test Model at the National Transonic Facility. In Proceedings of the AIAA SCITECH 2025 Forum, Orlando, FL, USA, 6–10 January 2025; AIAA SciTech Forum, American Institute of Aeronautics and Astronautics: Reston, VA, USA, 2025. [Google Scholar]
- Green, J.; Quest, J. A short history of the European Transonic Wind Tunnel ETW. Prog. Aerosp. Sci. 2011, 47, 319–368. [Google Scholar] [CrossRef]
- Lai, H.; Zhu, C.; Chen, W.; Liao, D.; Sun, D. Key technology for mechanical design in large-scale cryogenic wind tunnel. J. Exp. Fluid Mech. 2022, 36, 19–26. [Google Scholar] [CrossRef]
- Chen, J.; Liu, B.; Chen, W.; Liao, D.; Lai, H. Key technology for model access system in cryogenic wind tunnel. J. Exp. Fluid Mech. 2022, 36, 37–43. [Google Scholar] [CrossRef]
- Haase, W. EUROVAL—An European Initiative on Validation of CFD Codes: Results of the EC/BRITE-EURAM Project EUROVAL, 1990–1992, 1st ed.; 1993 ed.; Vieweg+Teubner Verlag: Wiesbaden, Germany, 1993. [Google Scholar]
- Cook, P.H.; McDonald, M.A.; Firmin, M.C.P. Aerofoil Rae 2822: Pressure Distributions, and Boundary Layer and Wake Measurements; ar 138; AGARD Report: Paris, France, 1 November 1981. [Google Scholar]
- Hunt, J.C.R.; Wray, A.A.; Moin, P. Eddies, streams, and convergence zones in turbulent flows. Cent. Turbul. Res. 1988, 193–208. [Google Scholar]
- Jeong, J.; Hussain, F. On the identification of a vortex. J. Fluid Mech. Digit. Arch. 1995, 285, 69–94. [Google Scholar] [CrossRef]
- Liu, C.; Wang, Y.; Yang, Y.; Duan, Z. New omega vortex identification method. Sci. China Phys. Mech. Astron. 2016, 59, 684711. [Google Scholar] [CrossRef]































| Coarse Grid | Medium Grid | Fine Grid | |
|---|---|---|---|
| Y+ | 8 | 1 | 1 |
| Upper surface cell count | 732 | 1001 | 1308 |
| Lower surface cell count | 457 | 457 | 1001 |
| Coarse Grid | Medium Grid | Fine Grid (Reference) | |
|---|---|---|---|
| CL | 0.691907 | 0.697760 | 0.697786 |
| CD | 0.014256 | 0.013716 | 0.013735 |
| Cm | 0.079475 | 0.080201 | 0.080215 |
| Ma∞ | Re∞ | α | T∞ (K) |
|---|---|---|---|
| 0.729 | 6.5 × 106 | 2.31° | 255.56 |
| Water Vapor Concentration (ppm) | Surface Temperature of Model (K) | |
|---|---|---|
| 1 | 6.45 | 110 |
| 2 | 5.08 | 130 |
| 3 | 5.82 | 150 |
| 4 | 10.46 | 110 |
| 5 | 10.57 | 130 |
| 6 | 21.10 | 110 |
| 7 | 19.07 | 130 |
| 8 | 20.19 | 150 |
Disclaimer/Publisher’s Note: The statements, opinions and data contained in all publications are solely those of the individual author(s) and contributor(s) and not of MDPI and/or the editor(s). MDPI and/or the editor(s) disclaim responsibility for any injury to people or property resulting from any ideas, methods, instructions or products referred to in the content. |
© 2025 by the authors. Licensee MDPI, Basel, Switzerland. This article is an open access article distributed under the terms and conditions of the Creative Commons Attribution (CC BY) license (https://creativecommons.org/licenses/by/4.0/).
Share and Cite
Zhang, Y.; Hou, B.; Li, Y.; Wang, Y.; Lv, B.; Lai, G.; Wang, J. Study of the Water Vapor Desublimation Effect on the Camber Morphing Wing Considering Cryogenic Environments. Machines 2025, 13, 834. https://doi.org/10.3390/machines13090834
Zhang Y, Hou B, Li Y, Wang Y, Lv B, Lai G, Wang J. Study of the Water Vapor Desublimation Effect on the Camber Morphing Wing Considering Cryogenic Environments. Machines. 2025; 13(9):834. https://doi.org/10.3390/machines13090834
Chicago/Turabian StyleZhang, Yu, Baobin Hou, Yuchen Li, Yuanjing Wang, Binbin Lv, Guojun Lai, and Jingyuan Wang. 2025. "Study of the Water Vapor Desublimation Effect on the Camber Morphing Wing Considering Cryogenic Environments" Machines 13, no. 9: 834. https://doi.org/10.3390/machines13090834
APA StyleZhang, Y., Hou, B., Li, Y., Wang, Y., Lv, B., Lai, G., & Wang, J. (2025). Study of the Water Vapor Desublimation Effect on the Camber Morphing Wing Considering Cryogenic Environments. Machines, 13(9), 834. https://doi.org/10.3390/machines13090834
