Next Article in Journal
Human and Humanoid-in-the-Loop (HHitL) Ecosystem: An Industry 5.0 Perspective
Next Article in Special Issue
Near-Zero Parasitic Shift Rectilinear Flexure Stages Based on Coupled n-RRR Planar Parallel Mechanisms
Previous Article in Journal
MHSAEO Index for Fault Diagnosis of Rolling Bearings in Electric Hoists
Previous Article in Special Issue
A Unified Framework for Automated Testing of Robotic Process Automation Workflows Using Symbolic and Concolic Analysis
 
 
Font Type:
Arial Georgia Verdana
Font Size:
Aa Aa Aa
Line Spacing:
Column Width:
Background:
Article

Multibody Simulation of 1U CubeSat Passive Attitude Stabilisation Using a Robotic Arm

1
Department of Engineering, University of Perugia, Via G. Duranti 93, 06125 Perugia, Italy
2
School of Aerospace Engineering, Sapienza University of Rome, Via Salaria 851, 00138 Rome, Italy
*
Author to whom correspondence should be addressed.
Machines 2025, 13(6), 509; https://doi.org/10.3390/machines13060509
Submission received: 29 March 2025 / Revised: 25 May 2025 / Accepted: 6 June 2025 / Published: 11 June 2025
(This article belongs to the Special Issue Recent Developments in Machine Design, Automation and Robotics)

Abstract

Robotics plays a pivotal role in contemporary space missions, particularly in the development of robotic manipulators for operations in environments that are inaccessible to humans. In accordance with the trend of integrating multiple functionalities into a single system, this study evaluates the feasibility of using a robotic manipulator, termed a C-arm, for passive attitude control of a 1U CubeSat. A simplified multibody model of the CubeSat system was employed to assess the robotic arm’s functionality as a gravity gradient boom and subsequently as a passive magnetic control mechanism by utilising a permanent magnet at its extremity. The effectiveness of the C-arm as a gravitational boom is constrained by size and weight, as evidenced by the simulations; the pitch angle oscillated around ±40°, while roll and yaw angles varied up to 30° and 35°, respectively. Subsequent evaluations sought to enhance pointing accuracy through the utilisation of permanent magnets. However, the absence of dissipative forces resulted in attitude instabilities. In conclusion, the integration of a robotic arm into a 1U CubeSat for passive attitude control shows potential, especially for missions where pointing accuracy can tolerate a certain range, as is typical of CubeSat nanosatellite missions.

1. Introduction

Robotics plays a pivotal role in contemporary space missions. The development of specialized robots has enabled humans to explore and operate in previously inaccessible environments. Of these applications, one of the most significant is the field of manipulators. These are robotic arms that are employed primarily for space activity, docking [1], close-proximity operations [2], assembly, and maintenance in both orbital and planetary surface environments, allowing for the performance of tasks that are infeasible or excessively risky for humans. [3]
Among the various types of manipulators employed in the context of different space missions, it is necessary to highlight the first robotic arm deployed in space: the Remote Manipulator System (RMS) designed specifically for the Space Shuttle, also known as Canadarm-1. This system made its inaugural flight aboard the Space Shuttle Columbia (STS-2) in November 1981. The RMS was primarily designed for the capture and manoeuvring of cargo in free flight. However, it has been employed in a wide variety of other applications as well, including the assembly of the International Space Station, support for extra-vehicular activities, and orbital inspections. Its versatility has made it an experimental platform for materials studies and enabled the performance of unique tasks, including ice removal during shuttle re-entry missions [4]. It is also worth mentioning the manipulators developed for the assembly, maintenance, and scientific research activities of the International Space Station (ISS). These include the Mobile Servicing System (MSS), which comprises the Space Station Remote Manipulator System (SSRMS), Special Purpose Dextrous Manipulator (SPDM), and Mobile Base System (MBS); the Japanese Experiment Module Remote Manipulator System (JEMRMS); and the European Robotic Arm (ERA) [5].
The use of robotic arms in satellites has a more recent history. In particular, the first example of a satellite equipped with a manipulator was the Engineering Test Satellite (ETS-VII), which was launched on 27 November 1997 to conduct automated rendezvous docking and space robot technology experiments [6]. Other pertinent missions involving large satellites equipped with robotic manipulators include the Orbital Express mission developed by the Defense Advanced Research Projects Agency (DARPA) [7]. In this mission, the first autonomous transfer of an additional battery and backup computer to a target spacecraft was successfully executed. Another notable mission is the Spacecraft for the Universal Modification of Orbits (SUMO), which aims to combine stereo-photogrammetry with robotic manipulators in order to facilitate the retrieval of objects from a spacecraft [8].
Although manipulators are a common feature of large satellites, their extension to microsatellites has been slower. For example, we can take a case application on CubeSat-type satellites. These are small satellites based on standard units (commonly referred to as ’U’) with dimensions of 10 × 10 × 10 cm [9,10]. The applications of CubeSats extend to a range of disciplines, including earth monitoring, astrophysics, remote sensing, technology demonstration, and space science [11]. The development of manipulators for these types of satellites currently remains in the planning stage due to the limited space in which this complex technology must be implemented.
Among the most relevant applications are those proposed by Silva et al. [12], who suggested a robotic arm solution integrated into the payload of a CubeSat 2U. This 3-DoF (Degrees of Freedom) manipulator was designed with the objective of assisting or replacing astronauts during Extra-Vehicular Activities (EVA) on the International Space Station. Liu et al. [13] proposed an innovative concept for a deployable robotic arm, designated Cubot. The manipulator is designed for on-orbit servicing, with a particular focus on removal of space debris and maintenance of the space station. The robotic arm, which folds into a space of 1U, comprises three active and three passive joints that lock when the arm is deployed, reducing the effective degrees of freedom from six to three. Örger et al. [14] presented a concept for a CubeSat equipped with two robotic arms, each with 5 degrees of freedom. Their design is intended for on-orbit servicing, with a particular focus on inspection and control of spacecraft through cameras mounted on the arms. In [15], McCormick et al. presented the REMORA project, which aims to implement a robotic arm that can be adapted to CubeSats with 6/12 U configurations. Their article presents an interesting case study of a satellite equipped with a 5-DoF robotic arm that can be folded into a 2U configuration. The objective of the satellite is to mitigate the risk of collisions with large debris in Low-Earth Orbit (LEO). The article describes the mission design phases, starting with the launch of the satellite and ending with the docking of the debris object. It also presents the robotic payload and the design of the arm in order to illustrate the choice of end-effector type. In [16], McCormick et al. illustrate the feasibility study of a small satellite platform with Cluster-Forming On-Board Robotic Manipulators (CFORM), i.e., a robotic arm designed for docking. This study is of particular interest due to the high packing capacity of the system, which can fit into a 0.5 U CubeSat. Zeis et al. [17] presented a very interesting modular robotic arm for small satellites called the Little Inspection and Servicing Arm (LISA). This prototype is equipped with 24 degrees of freedom and takes up only 1U when folded. The most significant scientific outcome in the field of CubeSats with manipulators is represented by the RSat project [18]. This work is of particular interest; it differs from those previously discussed in that it was successfully launched into orbit in 2018 as part of NASA’s Educational Launch of Nanosatellites (ELaNa) Mission 19. The RSat is a 3U CubeSat equipped with two robotic manipulators for on-orbit servicing. The RSat project is part of the larger Intelligent Space Assembly Robot (ISAR) project, which aims to advance in-orbit assembly technology to the point where a constellation of satellites can perform semi-autonomous or autonomous assembly operations in space [19].
The current technological landscape demonstrates growing interest in the development of miniaturised robotic systems for CubeSats, as evidenced by the numerous design solutions presented in the scientific literature. Though mostly still in the on-orbit testing phase, these prototypes demonstrate the ability to perform a range of operations, including component maintenance and repair, sample collection, and establishing links between multiple satellites. Their applications are primarily focused on tasks such as in-orbit servicing, assembly, or inspection.
To date, however, no dedicated applications have been developed leveraging a robotic arm to control the attitude of CubeSat satellites, a function that is typically managed by standard attitude control systems [20,21,22]. Specifically, the innovative concept of utilizing a robotic manipulator as an integrated passive component for spacecraft attitude stabilization remains largely unexplored in the scientific literature.
Our study addresses this research gap by investigating the feasibility of employing a robotic manipulator for passive attitude stabilization, specifically, a C-arm designed for a 1U CubeSat. We propose a novel approach in which the C-arm is initially utilized as a gravity gradient boom and subsequently enhanced with a permanent magnet at its extremity to function as a passive magnetic control device. The primary objective is to ascertain the viability and performance of the C-arm in these unconventional roles, particularly for nanosatellite missions where mission constraints often favour simplicity and power efficiency. To achieve this, a simplified multibody model of the entire CubeSat system, including the C-arm, is developed and analysed using numerical simulations to quantify key attitude parameters such as oscillation amplitudes (e.g., maximum angular deviations) and frequencies/periods under various initial conditions. This preliminary investigation aims to lay the foundation for more detailed and complex analyses assessing the coupled dynamics of the C-arm and the CubeSat in an orbital environment.
To effectively achieve the objectives outlined in this study, this paper is meticulously structured as follows. Section 2 lays the groundwork by detailing the comprehensive design and seamless integration of the C-arm. Moving forward, Section 3 thoroughly describes the critical satellite and environmental models, including a clear explanation of the simplified multibody representation used in our analysis. The core of our initial findings is presented in Section 4, which delves into the analysis and compelling results of passive attitude stabilization via gravity gradient. Building on this, Section 5 introduces and rigorously evaluates the significant effect of Earth’s magnetic field on attitude control. Finally, Section 6 provides a concise summary of the key conclusions, candidly discusses the inherent limitations of this preliminary study, and outlines promising directions for future research.

2. C-Arm System Design and Integration

The deployable C-arm serves as the primary payload of a 1U CubeSat. It can operate independently as a stand-alone satellite; alternatively, it can be integrated as a module into satellites with larger form factors such as 3U or 6U, with the potential for further expansion. Depending on the type of end-effector, the C-arm can be adapted to perform various on-orbit activities such as spacecraft maintenance, on-orbit assembly, deployment of CubeSat clusters in formation, and berthing. Regardless of its primary function, the robotic arm is also used unconventionally as a tool for passive attitude control. It is worth clarifying that even though the robotic arm is an active device (i.e., it requires electric power for motion), it is not moved when used as an attitude control device (i.e., it is preset in its extended position); hence, the resulting attitude control strategy is passive. First, we evaluate its effectiveness as a boom for gravity gradient control. Later, we additionally evaluate the use of passive magnetic attitude control.

2.1. Design Requirements and Goals

Due to the fundamental physical constraints associated with the arm, which has a maximum storage volume of ( 10 × 10 × 5 ) cm (corresponding to 0.5 U (half of a CubeSat unit), one of the principal objectives for the manipulator is to be compatible with the 1U form factor of a CubeSat [23]. This is depicted in Figure 1a. Another crucial limitation is the mass, which must be less than 0.7 kg. Furthermore, the manipulator design is oriented towards maximizing extension within the given geometric constraints. The precision of the end-effector is contingent upon the motor characteristics and the selected control law, which is determined by the mission requirements of the arm. The arm can extend to a length of approximately 23.67 cm and is estimated to weigh around 200 g.
The mechanical design of the C-arm is presented in Figure 1b. The shoulder joint comprises two motors designated A and B. Motor A serves as the rotating base of the arm, enabling angular rotation. The two motors are connected by a specially designed small aluminium plate, designated as F. Motor B is connected to link 1 by plate E, which has been designed to minimise the volume of the arm when it is stowed. Motor D is integrated into link 2 and drives the movement of link 3, as presented in Figure 1c. Link 3 is not equipped with a dedicated end-effector, although it is capable of accommodating a variety of elements, including a gripper for a more conventional utilisation of the manipulator or other features such as sensors or small permanent magnets.

2.2. Component and Material Selection

The motors selected to drive the joints were chosen based on a preference for using flight heritage components. The primary challenge was to find a compact motor that could enable dexterous and precise movements for the robotic arm at a low cost. To meet these requirements, Commercial Off-The-Shelf (COTS) elements were used. The chosen motor type was the XC330-M288-T from the ROBOTIS Dynamixel-X series that is part of the Dynamixel-X series produced by ROBOTIS, Seoul, South Korea.
These servomotors are frequently used in robotic manipulators due to their integrated features, which include a DC motor, encoder, microcontroller, sensors, gear reduction, and network connection in every model.
This motor type is a coreless DC motor known for its improved efficiency, reduced weight and size, low inertia, precise motion, and reduced power consumption. The motor type is equipped with a full metal spur gear that provides a gear ratio of 288.35:1. It also incorporates an integrated position sensor, specifically the ams AS5601 from ams AG, Premstätten, Austria, contactless absolute encoder, which provides 0.0881 × 4069 steps of positioning accuracy.
The microcontroller used is the ARM CORTEX-M0+ from STMicroelectronics, Geneva, Switzerland, which is controlled by a PID controller. The use of a servomotor is advantageous, as it eliminates the need for a separate brake mechanism to hold the joints in place.

3. Satellite and Environmental Model

The conventional approach to modelling satellite orbital and attitude dynamics is to solve the equations of motion while accounting for a range of environmental effects. The dominant force acting on a satellite orbiting in LEO is the gravitational attraction of the Earth. Minor effects are those associated with atmospheric drag, solar radiation pressure, and the luni-solar perturbation. A comprehensive overview of these factors can be found in [24]. Attitude dynamics for a microsatellite can be conveniently modeled assuming that the spacecraft is a rigid body that follows the Euler dynamic equations of motion [25]. Environmental factors exerting influence on the satellite’s attitude include gravity gradient, aerodynamic, magnetic, and solar radiation pressure torques. Wertz et al. (2012) provided a comprehensive analysis of the modelling, mitigation, and management of these factors to ensure precise attitude determination and control [26].
By solving these equations with the inclusion of environmental effects, it is possible to accurately predict and manage the behavior of satellites in space, ensuring their successful operation and fulfillment of the assigned mission. Mathematical models are typically implemented in software such as Matlab version R2025a or Python version 3.13.0 for the purpose of studying the motion of satellites and developing control techniques. In this context, a CubeSat is represented as a 6-DoF rigid body with the capacity to rotate about its principal axes of inertia.
In order to describe the satellite orbit and attitude, three commonly used reference frames are employed. The first reference frame is the Earth-Centered Inertial (ECI, T E C I ) frame, which is an inertial frame with the origin set at the center of the Earth with the x-axis pointing towards the vernal equinox, the z-axis parallel to the Earth’s spin axis, and the y-axis completing the orthogonal frame.
In order to define the attitude propagation of the satellite, it is necessary to introduce two reference systems. The first of these is integral with the satellite but fixed with respect to the orbit, while the second describes the satellite’s current behaviour. The former is designated as the Orbit ( T O ) frame, centered at the spacecraft’s center of mass with the z-axis pointing towards the Earth’s center, the y-axis parallel and opposite to the orbit’s angular momentum vector, and the x-axis completing the left-handed triplet. It is worth noting that for a circular orbit the x-axis is always parallel to the orbital speed. The remaining reference frame is designated the Body ( T B ) frame. This frame is situated at the spacecraft’s center of mass, and its axes are aligned with the primary inertial axes of the satellite. The various reference frames are illustrated in Figure 2.
The orbit is determined by orbital mechanics, while the rotation can be described in an inertial frame centered on the center of mass, as shown in (2). Here, H C represents the total angular momentum, while its derivative with respect to time is the sum of the external perturbation torques and control torques M C . This work exclusively models perturbative effects arising from the action of gravity, specifically the gravity gradient torque ( M g ) and the effects of the Earth’s magnetic field that generate the magnetic disturbance torque ( M m ):
M C = M g + M m .
Only these disturbance effects were modelled, as our simulations were carried out at an altitude where drag effects can be ignored.
M C = d H C d t
Recalling the classical expression of the time derivative of angular momentum
M C = I B ω ˙ B + ω B × I B ω B ,
Euler’s equation, designated as Equation (3), is formulated with respect to the T B reference frame. The angular velocity of the T B frame with respect to T E C I is as follows:
ω B = ω O I + ω B O
where ω B O is the angular velocity of the satellite body axis T B with respect to the T O reference frame and ω O I is the angular velocity of T O with respect to T E C I .
The angular displacement of the satellite ( T B ) from the desired attitude, represented here by ( T O ), can be expressed in terms of the three Euler angles: roll ( ϕ ), pitch ( θ ) and yaw ( ψ ), as in Figure 2.

3.1. CubeSat and C-Arm Multibody Model

In addition to the utilisation of precise mathematical models to characterize the dynamics of the satellite and evaluate the performance of the orbit control system, multibody simulation can be a valuable tool for investigating the coupled evolution of the satellite’s orbit and attitude without the necessity for a two-phase approach, including the execution of complex tasks such as robotic manipulator movements. The equations of motion are solved directly, and any kind of perturbation can be readily implemented. In this context, the complex system comprising the CubeSat satellite and C-arm is modelled in ADAMS/View and depicted in Figure 1. As illustrated in Figure 1, the satellite and C-arm were decomposed into three rigidly constrained bodies. These bodies serve to identify the three main components depicted in Figure 3. The cube represents the structure of the 1U CubeSat, the cylinder simplifies the C-arm in full extension, and the final sphere represents the potential end-effector of the C-arm.
The three rigid bodies depicted in Figure 3 are constrained from moving independently with a fixed joint. This configuration results in a system that behaves as a rigid body with a total of six degrees of freedom. To ensure that the mass properties of the real system are accurately represented, the mass and inertia moments synthesized in Table 1 were respectively assigned to each body at the corresponding center of mass.
It is important to note that this multibody model represents a preliminary simplification to assess the fundamental feasibility of the C-arm’s influence on attitude dynamics. While it accurately captures the overall mass and inertia properties, it intentionally simplifies the internal complexities of the robotic arm, including individual joint flexibilities and detailed kinematic constraints beyond fixed connections. This approach allows us to obtain a foundational understanding of the coupled system’s behavior under the influence of environmental torques before proceeding to more intricate and computationally demanding models.

3.2. Orbit Description and Initial Condition of Motion

This paper presents a case study that evaluates the evolution in time of a satellite’s attitude in the presence of a gravity gradient. The presented simulations are based on the orbital parameters described in Table 2. To guarantee the satellite’s movement along the prescribed orbit in the multibody simulation, the gravitational attraction force between the CubeSat and the Earth was incorporated into the ADAMS/View model. Equation (5) illustrates the translational equation of motion, with the solution referred to as the classical solution to the two-body problem:
F g = G M m s | r s | 3 r s = m s r ¨ s
where G = 6.67 × 10 11 m3 kg−1 s−2 is the gravitational constant, M and m s are the respective masses of the Earth and the satellite, r s is the satellite’s position in T E C I and the double dot indicates the double derivative in time. As previously stated in Section 3, the satellite’s orbit is subject to environmental disturbances; however, for the sake of simplicity these are not considered in this particular case study.
The CubeSat attitude is employed as the study parameter, which is fully delineated by the Euler angles of roll ( ϕ ), pitch ( θ ), and yaw ( ψ ) describing the deviation of the T B with respect to the T O . Furthermore, we work under the hypothesis that the initial angular rates reported in Table 3 are equal to zero. The initial velocity conditions are presented in Table 3.
Table 2 illustrates that a circular posigrade orbit has been selected, with randomly generated values for the Right Ascension of the Ascending Node (RAAN) and the argument of the perigee.

4. Study of the Gravitational Action on Attitude

The CubeSat experiences a gradient of gravitational force along its body, with the greatest attraction occurring on the masses that are closer to the Earth. This phenomenon leads to a gravity gradient torque, which is dependent on the altitude, attitude, and inertia characteristics of the satellite. In particular, the torque, denoted as M g , can be expressed with respect to the body-fixed frame T B , as shown in Equation (6) in the cited work by Sidi [27]:
M g T B = 3 μ R 3 I z I y s i n ϕ c o s ϕ c o s 2 θ I z I x c o s ϕ s i n θ c o s θ I x I y s i n ϕ s i n θ c o s θ
where μ is the Earth gravitational parameter, R is the orbit radius, I x , I y , I z are the principal moments of inertia of the satellite, and ϕ , θ are the roll and pitch angle of the spacecraft, respectively.

4.1. Multibody Implementation

The model presented in Section 3.1 must include gravitational forces. These forces are applied at the barycentre of each of the three rigid bodies, implicitly defining the torque induced by the gravity gradient on the whole satellite. This torque counteracts any displacement of the CubeSat from its equilibrium state. This induces a counter-rotation around the global Center of Mass (CoM). However, in order to accurately represent the effect of the gravitational force on the entire satellite, it is necessary to include the effect of the gravitational gradient on each rigid body by adding additional torque contributions. Therefore, based on Equation (6), gravitational gradient torques are applied to the center of mass of each rigid body, as illustrated in Figure 4.

4.2. Results of Gravity Gradient Action

The results of our simulations conducted under the initial conditions of Table 4 are presented in Figure 5. The propagation of the pitch angle does not affect the evolution of roll or yaw; thus, these remain at zero values in Figure 5. This behaviour is consistent with theoretical predictions for gravity gradient stabilization in a circular orbit, where the equilibrium position is typically along the local vertical and any initial pitch displacement leads to oscillations around this equilibrium. If not perturbed, the roll and yaw motions tend to remain stable or oscillate around zero in the absence of coupling from pitch or initial angular rates; however, as further illustrated below, the inherent coupling in the Euler equations becomes evident when initial roll or yaw perturbations are introduced, leading to more complex dynamic interactions.
When only an initial pitch angle perturbation is applied (Table 4), the simulation results in Figure 5 reveal that the pitch angle consistently oscillates around the equilibrium position ( θ = 0 ). Quantitatively, the maximum amplitude of these oscillations is observed to be approximately ± 40 across the tested initial conditions (ranging from 0 to 20 ). The oscillation frequency remained consistently low, characteristic of passive gravity gradient stabilization. Notably, under these specific initial conditions, the roll ( ϕ ) and yaw ( ψ ) angles remain at or very close to zero, demonstrating minimal coupling in the absence of initial perturbations in these axes. This behaviour is consistent with theoretical predictions for gravity gradient stabilization in a circular orbit, where the equilibrium position is typically along the local vertical.
Introducing initial roll perturbations (Table 5) significantly alters the system’s dynamics. As shown in Figure 6a, the roll angle itself oscillates, with maximum amplitudes reaching approximately ± 20 for initial values up to 20 . A critical observation is the strong coupling between the roll and yaw angles. Figure 6c quantitatively demonstrates that an initial roll perturbation directly induces significant oscillations in the yaw angle, reaching maximum amplitudes of up to ± 25 . Conversely, the pitch angle (Figure 6b) shows only minimal influence from initial roll perturbations, with its amplitude and phase largely unaffected
The yaw angle similarly oscillates around its initial value when the system is subjected to initial yaw perturbations (Table 6), as seen in Figure 7c, with maximum amplitudes up to 25 . Figure 7a illustrates that these yaw perturbations induce oscillations in the roll angle. However, the amplitude of the induced roll oscillations (up to approximately ± 15 ) is quantitatively smaller than the amplitude of yaw oscillations induced by initial roll perturbations. The pitch angle (Figure 7b) again exhibits minimal change, confirming its relative isolation from direct roll and yaw influences under these specific initial conditions.
Although the results to this point demonstrate the manner in which the effect of the gravity gradient varies with the initial attitude angles, the case studies analysed thus far are of limited representativeness for a real-life situation in which attitude angles can have different values at the same time. Consequently, numerical simulations were conducted with the particular initial attitude conditions shown in Table 7.
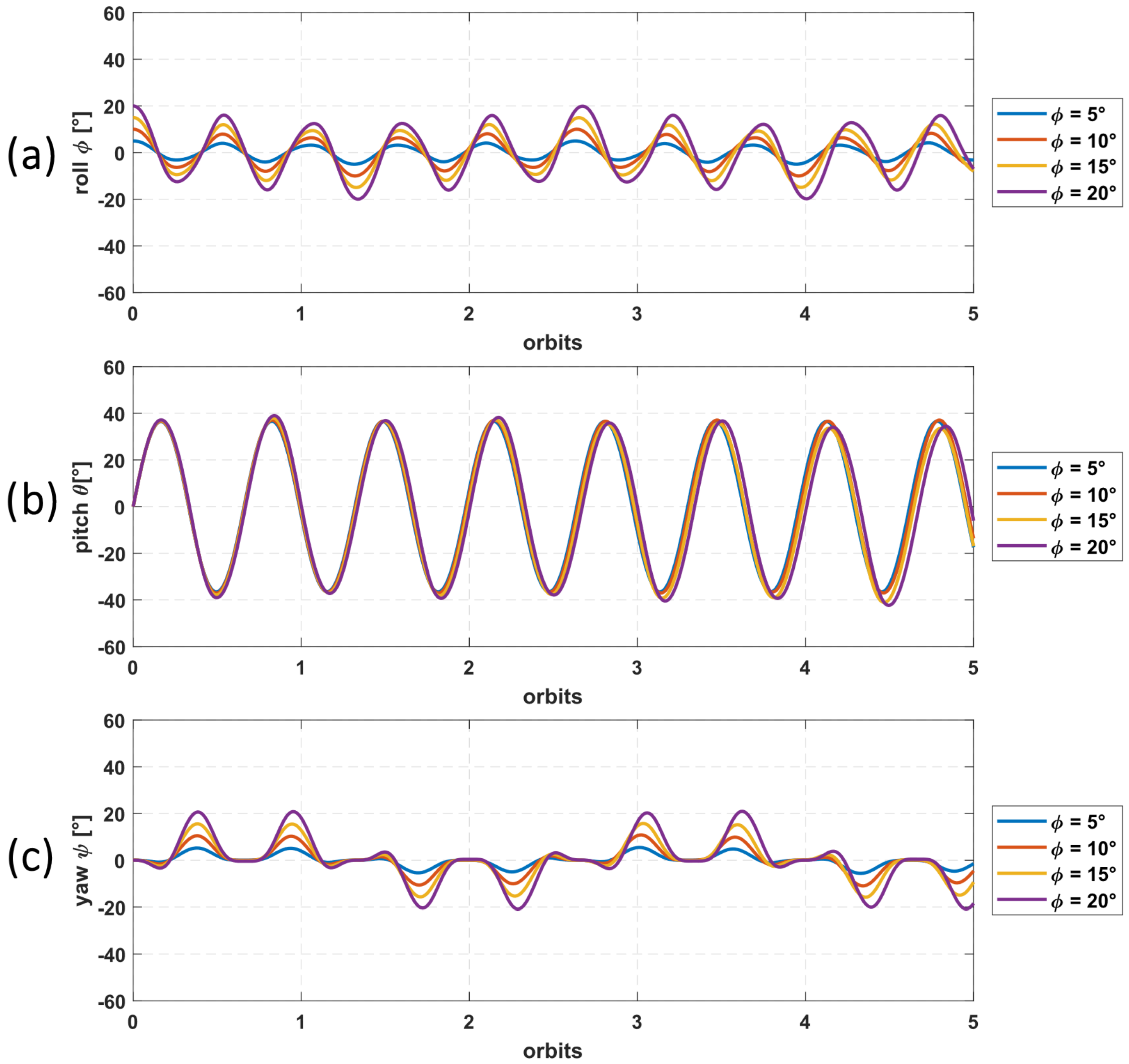
To represent more realistic scenarios where multiple attitude angles can be perturbed simultaneously, simulations were conducted with combined initial conditions (Table 7). Figure 8 presents these results. While the behaviour becomes more complex due to the simultaneous coupling, the observed maximum amplitudes for pitch, roll, and yaw remain within the ranges previously identified (pitch ± 40 , roll ± 20 , yaw ± 25 ). These simulations further underscore the inherent nonlinearity and strong coupling between the roll and yaw axes under gravity gradient stabilization.
In summary, it is observed that as the initial attitude angles change, the behaviour of the CubeSat with C-arm changes when subjected to the effect of the gravity gradient alone. In particular, the simulation results demonstrate how the pitch angle always oscillates around θ = ± 40 when the initial conditions vary. The roll and yaw angles exhibit a more variable trend, with a maximum of ϕ 20 and ψ 25 in case (e). The next step is to incorporate the effect of the Earth’s magnetic field on the satellite’s attitude, with the aim of exploiting a permanent magnet to reduce the pitch angle for improved pointing.

5. Implementing the Action of the Earth’s Magnetic Field on Attitude

The outcomes of the investigation conducted in Section 4.2 employing passive gravity gradient control demonstrates that the robotic manipulator is unable to orient the CubeSat to the predefined target using only this tool.
This subsequent step ascertains whether the incorporation of a magnetic passive control system can enhance the satellite’s attitude. The objective is to utilize the manipulator to orient permanent magnets in accordance with the CubeSat’s desired orientation. The magnets are positioned in a slot specifically designed for this purpose and located in link 3 of the robotic manipulator, as illustrated in Figure 9.
The selection of permanent magnets was based on their reliability in maintaining uniaxial attitude control. This is due to their high magnetic moment, which aligns the satellite with the tangent of the Earth’s magnetic field. For communication purposes, uniaxial orientation is sufficient.
Based on previous research [28], four cylindrical neodymium magnets with external and internal diameters of 7 mm and 3.4 mm, respectively, and a height of 11.5 mm are placed on the corresponding plate to create a magnetic field in link 3 of the C-arm. Each magnet has a dipole moment of m M = 0.3095 Am2 along the axis of symmetry, while the radial component is negligible.
The magnetic torque is a consequence of the interaction between the Earth’s magnetic field and the satellite’s magnetic dipole moment.
M M = m M × B
In addition to the dipole moment of the permanent magnet, the effect of residual magnetic disturbances in the CubeSat must be considered. The effect of all these magnetic moments is denoted as m m in Equation (7).
The Earth’s magnetic field, designated as B in Equation (7), is represented by the International Geomagnetic Reference Field-13 (IGRF-13) model. It was necessary to recreate the model in the ADAMS multibody software, although the geomagnetic field model is fully defined in [29] and there are numerous programs and software that implement it.
The IGRF describes the main geomagnetic field B ( r , θ , ϕ , t ) as the gradient of a scalar potential B = V and the potential (8) as a finite series expansion in terms of spherical harmonic coefficients g n m , h n m , also known as Gauss coefficients:
V ( r , θ , ϕ , t ) = a n = 1 N a r n + 1 m = 0 n g n m ( t ) cos m ϕ + h n m ( t ) sin m ϕ P n m ( cos θ )
where r , θ , ϕ refer to coordinates in a geocentric spherical coordinate system ( T E C E F ), with r as the radial distance from the Earth’s center and θ , ϕ respectively representing the geocentric latitude and longitude. A reference radius a = 6371.2 km is chosen to approximate the mean radius of the Earth. Here, P n m ( cos θ ) are Schmidt semi-normalised associated Legendre functions of degree n and order m. The parameter N indicates the maximum degree of spherical harmonic expansion. For the objectives predicted for this work, the series expansion was stopped at the first order, obtaining the potential of the dipole model of the geomagnetic field (Equation (9)):
V ( r , θ , ϕ , t ) = a 3 r 2 g 1 0 P 1 0 ( θ ) + g 1 1 cos ϕ + h 1 1 sin ϕ P 1 1 ( θ ) .
The components of B are provided in Equation (10) with respect to a geocentric non-inertial coordinate system. The Gauss coefficients for the year 2023 are shown in Table 8.
B r = V r = 2 a r 3 g 1 0 cos θ + g 1 1 cos ϕ + h 1 1 sin ϕ sin θ B θ = 1 r V θ = a r 3 g 1 0 sin θ g 1 1 cos ϕ + h 1 1 sin ϕ cos θ B ϕ = 1 r sin θ V ϕ = a r 3 g 1 1 sin ϕ h 1 1 cos ϕ
Equation (10) expresses the Earth’s magnetic field in a non-inertial geocentric frame of reference. It should be noted for the sake of completeness that to calculate the magnetic external torque it is first necessary to transform the B component to the body reference frame T B . The magnetic moment of the magnets is designated as M M , as illustrated in Figure 10, and calculated in accordance with the methodology outlined in Equation (7).

5.1. Multibody Implementation

To incorporate the resulting moment caused by the interaction between the Earth’s magnetic field and the satellite’s dipole moment, an update to the model presented in Section 4.1 is required. In an initial step, we assessed the magnitude of the magnetic perturbations acting on the satellite. The satellite is equipped with electronic components, including circuit boards, robotic arm motors, and batteries, which are sources of magnetic perturbations and are modelled as a dipole moment. The study parameter we employed was the dipole moment ( m m ), with the reference values provided in Table 9. The parameters were selected with a degree of conservatism, using values generally in excess of the actual order of magnitude of the CubeSat’s dipole moments. The moment acting on the body due to this perturbation, denoted as M m , is applied to the center of mass (CoM) of the CubeSat and calculated in a manner analogous to that described in Equation (7).
It was anticipated that the simulations presented in Section 5.2 would be illustrated only with the perturbation defined in Test 2, since the effect of the magnet is stronger than that of the residual dipole effects. Therefore, the results of every test of Table 9 are very similar. After defining the action of the magnetic perturbation torque and the action of the permanent magnet torque, we integrated these torques into the multibody model, as illustrated in Figure 10.
Simulations were performed using the orbit described in Section 4.1, as previously; however, the initial conditions of the attitude (provided in Table 10) differed from those used in the case of gravitational control. In this case, we assumed ideal initial conditions of motion at equilibrium.
In this way, the magnetic moment effect was incorporated into the simplified multibody model. At this stage, the model incorporates the effects of both the gravity gradient torque and the magnetic moment.

5.2. Final Results

The simulations utilizing a permanent magnet revealed a complex and predominantly unstable attitude behaviour. While the magnet is intended to provide a pointing mechanism, the results (particularly those shown in Figure 11c) indicate the induction of unstable rotation around the z-axis (yaw angle ψ ). Quantitatively, yaw oscillations frequently exceeded 35 . Similarly, pitch oscillations continued to exhibit amplitudes in the range of ± 40 and roll oscillations frequently exceeded 30 , as is visible in Figure 11a,b. This widespread instability across multiple axes stems from the tight coupling of rotations inherent in the Euler equations (Equation (3)). Consequently, instability originating or amplified in any one axis is propagated, causing the pitch and roll angles to exceed the desired limits.
A critical and distinct quantitative observation from these simulations is the emergence of significantly higher-frequency oscillations superimposed on the underlying low-frequency gravity gradient motion, which is particularly noticeable in Figure 11a,c. These rapid oscillations, with periods observed to be on the order of a few tens of seconds (markedly shorter than the orbital period of approximately 90 min), are a direct consequence of the permanent magnet’s continuous and rapid attempt to align with the dynamic local geomagnetic field. This active interaction introduces additional kinetic energy into the system, emphasizing the critical need for robust damping mechanisms that can dissipate this induced energy and achieve stable pointing.

6. Conclusions and Future Work

The objective of this study was to evaluate the effectiveness of utilising a robotic arm as a passive device to control the attitude of a microsatellite. In particular, a robotic arm that is compatible with a 1U CubeSat, designated the C-arm, was developed in this study. The compact dimensions of the robotic arm imposed notable constraints in terms of size and weight (the latter reaching 200 g). This was particularly evident in the maximum extension length of the arm, which when retracted occupied 0.5 U. Subsequently, simulations of attitude propagation conducted using a simplified multibody satellite model demonstrated the efficacy of this innovative approach as a tool for achieving the objectives of this research activity. The effectiveness of two passive actions on the satellite’s attitude control was evaluated: the gravitational effect produced by the extended arm, and the action of the Earth’s magnetic field when a permanent magnet was introduced at the end of the C-arm.
The results of simulations that exclusively considered the gravitational effect demonstrated that despite the small size of the robotic arm, its influence on the temporal evolution of the satellite’s attitude motion as a consequence of the torque exerted by the gravitational gradient is not negligible. Our results showed that even though the effects of this external torque are negligible for a 1U CubeSat (and for compact microsatellites in general), this is not the case when the C-arm linked with the satellite is completely deployed. In particular, we found that when the initial conditions vary, the pitch angle always oscillates at a low frequency around θ = ± 40 . The roll and yaw angles exhibit a more variable trend but always at low frequency, with maximum values lower than the pitch angle at ϕ 30 and ψ 35 . These results, while significant for a 1U CubeSat, suggest that a purely passive gravity gradient approach with this C-arm configuration may be suitable for missions with less demanding pointing accuracy requirements, as is typical of many nanosatellite applications.
In a subsequent step, we incorporated the effect of the Earth’s magnetic field on the satellite’s attitude. This was achieved by exploiting a permanent magnet to reduce the pitch angle and achieve improved pointing. The interaction provides a magnetic dipole moment parallel to the longitudinal axis of the robotic arm (in an extended position), ensuring a three-dimensional attitude motion even when the initial value of the Euler angles and angular rates are null. The pitch, roll, and yaw angles do not exhibit significant maximum value variations; however, the magnetic interaction results in high-frequency oscillations of all the Euler angles, which overlap with the low-frequency oscillations associated with the gravity gradient torque. Consequently, the aforementioned desired attitude is established in a shorter time frame. Notably, we observed a temporary reduction in pitch oscillations with the use of magnets.
In conclusion, the results of this study prove that integration of a robotic arm into a CubeSat has a strong influence on the attitude motion of the satellite, and as such can be considered as a valid and effective tool to passively control the attitude of the CubeSat with medium/high accuracy of the pitch angle.

Limitations and Future Developments of the Study

This preliminary study offers valuable insights into using a robotic arm for passive CubeSat attitude control. However, it is essential to acknowledge several inherent simplifications which define its current scope. Our multibody model of the C-arm simplifies its structure (representing it as a rigid cylinder and sphere) and neglects detailed joint flexibilities. Crucially, the model also excludes significant dissipative forces such as atmospheric drag, solar radiation pressure, and internal damping, which are vital for achieving stable and settled attitudes in real-world scenarios. In addition, this work focused exclusively on passive control and explored a limited range of initial conditions and scenarios.
These limitations highlight the foundational nature of this research. Future work will directly address these aspects. We plan to refine our multibody models to incorporate more detailed CubeSat and arm characteristics, including joint flexibilities. In addition, we will introduce mechanisms such as soft magnetic devices for dissipating rotational kinetic energy in order to achieve stable oscillations. Further research will expand the analysis in this paper to include other environmental disturbances such as atmospheric drag and solar radiation pressure as well as to explore active control strategies using the robotic arm, potentially integrating magnetic coils or controlled movements for precise pointing and disturbance rejection. Lastly, we aim to investigate a wider range of orbital conditions and C-arm configurations in order to assess its robustness and adaptability.

Author Contributions

Conceptualization, F.F., G.M. and M.D.; data curation, F.F.; formal analysis, F.F. and G.M.; funding acquisition, M.D.; investigation, G.M.; methodology, F.F., G.M. and S.C.; project administration, M.D.; software, F.F. and M.P.; supervision, F.C. and M.D.; validation, M.P.; visualization, S.C. and F.C.; writing—original draft, F.F. and G.M.; writing—review and editing, G.M. and S.C. All authors have read and agreed to the published version of the manuscript.

Funding

The research presented in this paper has been funded by Università degli Studi di Perugia within the UNIPG-ASI Agreement “Accordo ASI Unipg N. 2019-2-HH.0: Realizzazione di attività di Ricerca e Sviluppo competenze innovative”.

Data Availability Statement

Data are contained within the article.

Conflicts of Interest

The authors declare no conflicts of interest.

Nomenclature

aSemi-major axis; Earth’s reference radius
BEarth’s magnetic field vector
B r , B θ , B ϕ Components of Earth’s magnetic field in spherical coordinates
CoMCenter of Mass
C-ArmCubeSat Robotic Arm
dDiameter of cylindrical/spherical body
DoFDegrees of Freedom
eEccentricity
ECIEarth-Centered Inertial frame
ERAEuropean Robotic Arm
ETS-VIIEngineering Test Satellite VII
F g Gravitational force
F g b Gravitational force on cylinder (arm)
F g c Gravitational force on CubeSat body
F g s Gravitational force on sphere (end-effector)
GGravitational constant
g n m , h n m Gauss coefficients for geomagnetic model
H c Total angular momentum of the satellite
iInclination of the orbit
I B Satellite’s inertia tensor
I x , I y , I z Principal moments of inertia of the satellite
IGRF-13International Geomagnetic Reference Field-13
ISSInternational Space Station
JEMRMSJapanese Experiment Module Remote Manipulator System
L x , L y , L z Dimensions of CubeSat body
LEOLow-Earth Orbit
LISALittle Inspection and Servicing Arm
MBSMobile Base System
M c Total external perturbation and control torques
M E Mass of the Earth
M g Gravity gradient torque
M g x , M g y , M g z Components of gravity gradient torque in body frame
M m Magnetic disturbance torque
m m Satellite’s total magnetic dipole moment
m x , m y , m z Components of residual magnetic dipole moment (from disturbances)
M m x , M m y , M m z Components of magnetic disturbance torque in body frame
M M Magnetic torque from permanent magnet
M M x , M M y , M M z Components of magnetic torque from permanent magnet
M s Satellite mass
MSSMobile Servicing System
NMaximum degree of spherical harmonic expansion
P n m Schmidt semi-normalised associated Legendre functions
ROrbit radius
RMSRemote Manipulator System
r s Satellite position vector
r ¨ s Satellite acceleration vector
RSatRobotic Satellite project
SPDMSpecial-Purpose Dextrous Manipulator
SSRMSSpace Station Remote Manipulator System
SUMOSpacecraft for the Universal Modification of Orbits
tTime
T B Body frame
T E C I Earth-centered inertial frame
T O Orbit frame
VGeomagnetic scalar potential
ϕ Roll angle
ϕ 0 Initial roll angle
θ Pitch angle
θ 0 Initial pitch angle
ψ Yaw angle
ψ 0 Initial yaw angle
μ Earth gravitational parameter
Ω Right Ascension of the Ascending Node (RAAN)
ω Argument of periapsis
ω B Angular velocity of body frame with respect to ECI
ω ˙ B Angular acceleration of body frame with respect to ECI
ω B O Angular velocity of the satellite body axis with respect to the orbit frame
ω b x 0 , ω b y 0 , ω b z o Initial angular velocity components in body frame
ω O I Angular velocity of the orbit frame with respect to the Earth-centered inertial frame

References

  1. Lion, L.; Caon, A.; Olivieri, L.; Branz, F.; Francesconi, A. Kinematic tests on a docking mechanism for microsatellites. CEAS Space J. 2024, 16, 445–455. [Google Scholar] [CrossRef]
  2. Basana, F.; Pavanello, Z.; Branz, F.; Francesconi, A.; Borelli, G.; Invernizzi, D.; Massari, M.; Lovera, M. Satellite and robotic arm combined control for spacecraft close-proximity operations. CEAS Space J. 2024, 17, 309–335. [Google Scholar] [CrossRef]
  3. Sąsiadek, J. Space Robotics and its Challenges. In Aerospace Robotics: Selected Papers from I Conference on Robotics in Aeronautics and Astronautics; Sąsiadek, J., Ed.; Springer: Berlin/Heidelberg, Germany, 2013; pp. 1–8. [Google Scholar] [CrossRef]
  4. Hiltz, M.; Rice, C.; Boyle, K.; Allison, R. CANADARM: 20 Years of Mission Success Through Adaptation. In Proceedings of the 6th International Symposium on Artificial Intelligence and Robotics & Automation in Space: I-SAIRAS 2001, St-Hubert, QC, Canada, 18–22 June 2001. [Google Scholar]
  5. Laryssa, P.; Lindsay, E.; Layi, O.; Marius, O.; Nara, K.; Aris, L.T. International Space Station Robotics: A Comparative Study of ERA, JEMRMS and MSS. In Proceedings of the 7th ESA Workshop on Advanced Space Technologies for Robotics and Automation (ASTRA), ESTEC, Noordwijk, The Netherlands, 19–21 November 2002. [Google Scholar]
  6. Oda, M. ETS-VII: Achievements, Troubles and Future. In Proceedings of the 6th International Symposium on Artificial Intelligence and Robotics & Automation in Space: I-SAIRAS 2001, St-Hubert, QC, Canada, 18–22 June 2001. [Google Scholar]
  7. Friend, R.B. Orbital Express program summary and mission overview. In Proceedings of the Sensors and Systems for Space Applications II; Howard, R.T., Motaghedi, P., Eds.; International Society for Optics and Photonics: Bellingham, WA, USA, 2008; Volume 6958, p. 695803. [Google Scholar] [CrossRef]
  8. Bosse, A.B.; Barnds, W.J.; Brown, M.A.; Creamer, N.G.; Feerst, A.; Henshaw, C.G.; Hope, A.S.; Kelm, B.E.; Klein, P.A.; Pipitone, F.; et al. SUMO: Spacecraft for the universal modification of orbits. In Proceedings of the Spacecraft Platforms and Infrastructure; SPIE: Bellingham, WA, USA, 2004; Volume 5419, pp. 36–46. [Google Scholar] [CrossRef]
  9. Agenzia Spaziale Italiana (ASI). Tecnologia e Ingegneria di Micro e Nanosatelliti. Available online: https://www.asi.it/tecnologia-ingegneria-micro-e-nanosatelliti/ (accessed on 27 March 2024).
  10. Millan, R.M.; von Steiger, R.; Ariel, M.; Bartalev, S.; Borgeaud, M.; Campagnola, S.; Castillo-Rogez, J.C.; Fléron, R.; Gass, V.; Gregorio, A.; et al. Small satellites for space science: A COSPAR scientific roadmap. Adv. Space Res. 2019, 64, 1466–1517. [Google Scholar] [CrossRef]
  11. Poghosyan, A.; Golkar, A. CubeSat evolution: Analyzing CubeSat capabilities for conducting science missions. Prog. Aerosp. Sci. 2017, 88, 59–83. [Google Scholar] [CrossRef]
  12. Au, A.S.; Peña, R.; Martinez, J.M.; Greig, A.D.; Quintana, J.; Flores-Abad, A.; Choudhuri, A. Elastically Actuated Small Robotic Arm for CubeSat Platforms. In Proceedings of the ASCEND 2021, Las Vegas, NV, USA & Virtual, 15–17 November 2021. [Google Scholar] [CrossRef]
  13. Liu, J.; Zhao, P.; Chen, K.; Zhang, X.; Zhang, X. 1U-Sized Deployable Space Manipulator for Future On-Orbit Servicing, Assembly, and Manufacturing. Space Sci. Technol. 2022, 2022, 9894604. [Google Scholar] [CrossRef]
  14. Örger, N.C.; Karyot, T.B. A symmetrical robotic arm design approach with stereo-vision ability for CubeSats. In Proceedings of the 2013 6th International Conference on Recent Advances in Space Technologies (RAST), Istanbul, Turkey, 12–14 June 2013; pp. 961–965. [Google Scholar] [CrossRef]
  15. McCormick, R.; Austin, A.; Wehage, K.; Backus, S.; Miller, R.; Leith, J.; Bradley, B.; Durham, P.; Mukherjee, R. REMORA CubeSat for large debris rendezvous, attachment, tracking, and collision avoidance. In Proceedings of the 2018 IEEE Aerospace Conference, Big Sky, MT, USA, 3–10 March 2018; pp. 1–13. [Google Scholar] [CrossRef]
  16. McCormick, R.; Austin, A.; Cubrich, L.; Marth, B.; Mukherjee, R.; Wenger, T.; Patel, M.; Ho, K. Development of miniature robotic manipulators to enable SmallSat clusters. In Proceedings of the 2017 IEEE Aerospace Conference, Big Sky, MT, USA, 4–11 March 2017; pp. 1–15. [Google Scholar] [CrossRef]
  17. Zeis, C.; de Alba-Padilla, C.A.; Schroeder, K.U.; Grzesik, B.; Stoll, E. Fully Modular Robotic Arm Architecture Utilizing Novel Multifunctional Space Interface. IOP Conf. Ser. Mater. Sci. Eng. 2022, 1226, 012096. [Google Scholar] [CrossRef]
  18. Hanlon, E.A.; Keegan, B.P.; Lange, M.E.; Pittman, J.K.; Wenberg, D.L.; Roser, J.G.; Kang, J.S. Leveraging the Autonomous Mobile On-Orbit Diagnostic System to Initiate a Doctrinal Shift in Spacecraft Operations. In Space Operations: Contributions from the Global Community; Springer International Publishing: Cham, Switzerland, 2017; pp. 53–86. [Google Scholar] [CrossRef]
  19. Wenberg, D.L.; Hanlon, E.A.; Rubiocastaneda, B.; Lai, T.; Kang, J. Intelligent Space Assembly Robot: Design and Ground Testing. In Proceedings of the AIAA SPACE and Astronautics Forum and Exposition, Orlando, FL, USA, 12–14 September 2017. [Google Scholar] [CrossRef]
  20. Ruf, O.; von Arnim, M.; Kempf, F.; Haber, R.; Elsner, L.; Dauner, J.; Dombrovski, S.; Kramer, A.; Schilling, K. Advanced test environment for automated attitude control testing of fully integrated CubeSats on system level. CEAS Space J. 2024, 16, 491–510. [Google Scholar] [CrossRef]
  21. Eggert, M.; Bötsch-Zavřel, L.; Fugmann, M.; Holeczek, C.; Koller, M.T.; Kranz, M.; Lengowski, M.; Löffler, T.; Loidold, L.-M.; Maier, P.; et al. Qualification of the attitude control system of the E-band CubeSat EIVE. CEAS Space J. 2024, 17, 293–308. [Google Scholar] [CrossRef]
  22. Henna, H.; Toubakh, H.; Kafi, M.R.; Sayed-Mouchaweh, M.; Djemai, M. Hybrid supervision scheme for satellite attitude control with sensor faults. CEAS Space J. 2023, 16, 753–767. [Google Scholar] [CrossRef]
  23. Girardello, C.; Tajmar, M.; Scharlemann, C. GREATCUBE+: Conceptual design tool for CubeSat’s design. CEAS Space J. 2024, 16, 375–392. [Google Scholar] [CrossRef]
  24. Curtis, H.D. Orbital Mechanics for Engineering Students: Revised Reprint; Butterworth-Heinemann: Oxford, UK, 2020. [Google Scholar]
  25. Wafi, I.E.; Haloua, M.; Guennoun, Z.; Moudden, Z. Hybrid adaptive sliding mode attitude control for earth pointing nanosatellites. CEAS Space J. 2024, 16, 307–318. [Google Scholar] [CrossRef]
  26. Wertz, J.R. Spacecraft Attitude Determination and Control; Springer Science & Business Media: New York, NY, USA, 2012; Volume 73. [Google Scholar]
  27. Sidi, M.J. Spacecraft Dynamics and Control: A Practical Engineering Approach; Cambridge Aerospace Series; Cambridge University Press: Cambridge, UK, 1997. [Google Scholar]
  28. Carletta, S.; Nascetti, A.; Gosikere Matadha, S.S.; Iannascoli, L.; Baratto de Albuquerque, T.; Maipan Davis, N.; Schirone, L.; Impresario, G.; Pirrotta, S.; Brucato, J.R. Characterization and Testing of the Passive Magnetic Attitude Control System for the 3U AstroBio CubeSat. Aerospace 2022, 9, 723. [Google Scholar] [CrossRef]
  29. Alken, P.; Thébault, E.; Beggan, C.D.; Amit, H.; Aubert, J.; Baerenzung, J.; Bondar, T.N.; Brown, W.J.; Califf, S.; Chambodut, A.; et al. International Geomagnetic Reference Field: The thirteenth generation. Earth Planets Space 2021, 73, 49. [Google Scholar] [CrossRef]
Figure 1. The C-arm robotic manipulator: (a) stowed configuration on a 1U CubeSat; (b) extended configuration, illustrating the full deployment length; and (c) mechanical design schematic with key components.
Figure 1. The C-arm robotic manipulator: (a) stowed configuration on a 1U CubeSat; (b) extended configuration, illustrating the full deployment length; and (c) mechanical design schematic with key components.
Machines 13 00509 g001
Figure 2. Reference frames and Euler angles for satellite attitude dynamics: the Earth-Centered Inertial (ECI) frame ( T E C I ) is illustrated in black, the Orbit ( T O ) frame in blue, and the Body ( T B ) frame in red. The attitude of T B relative to T O is described by the three Euler angles: roll ( ϕ ), pitch ( θ ), and yaw ( ψ ).
Figure 2. Reference frames and Euler angles for satellite attitude dynamics: the Earth-Centered Inertial (ECI) frame ( T E C I ) is illustrated in black, the Orbit ( T O ) frame in blue, and the Body ( T B ) frame in red. The attitude of T B relative to T O is described by the three Euler angles: roll ( ϕ ), pitch ( θ ), and yaw ( ψ ).
Machines 13 00509 g002
Figure 3. Simplified model of 1U CubeSat and C-arm for multibody implementation in ADAMS software version 2024.2.
Figure 3. Simplified model of 1U CubeSat and C-arm for multibody implementation in ADAMS software version 2024.2.
Machines 13 00509 g003
Figure 4. Representation of gravitational forces F g s , F g b , F g c and gravity torque components M g x , M g y , M g z acting on the simplified model.
Figure 4. Representation of gravitational forces F g s , F g b , F g c and gravity torque components M g x , M g y , M g z acting on the simplified model.
Machines 13 00509 g004
Figure 5. Pitch propagation with different initial conditions for the pitch angle θ .
Figure 5. Pitch propagation with different initial conditions for the pitch angle θ .
Machines 13 00509 g005
Figure 6. Propagation of attitude angles for roll (a), pitch (b), and yaw (c) with different initial conditions of roll angle ϕ .
Figure 6. Propagation of attitude angles for roll (a), pitch (b), and yaw (c) with different initial conditions of roll angle ϕ .
Machines 13 00509 g006
Figure 7. Propagation of attitude angles for roll (a), pitch (b), and yaw (c) with different initial conditions of ψ .
Figure 7. Propagation of attitude angles for roll (a), pitch (b), and yaw (c) with different initial conditions of ψ .
Machines 13 00509 g007
Figure 8. This figure demonstrates how the attitude angles change in response to different initial conditions of roll, pitch, and yaw. Each figure corresponds to cases (ae) detailed in Table 7.
Figure 8. This figure demonstrates how the attitude angles change in response to different initial conditions of roll, pitch, and yaw. Each figure corresponds to cases (ae) detailed in Table 7.
Machines 13 00509 g008
Figure 9. Schematic illustration of the alignment magnet concept using a permanent magnet located in link 3 of the robotic manipulator.
Figure 9. Schematic illustration of the alignment magnet concept using a permanent magnet located in link 3 of the robotic manipulator.
Machines 13 00509 g009
Figure 10. Representation of gravitational forces F g s , F g b , F g c , gravity torque components M g x , M g y , M g z , magnetic disturbance torque components M m x , M m y , M m z , and magnetic torque components of permanent magnets M M x , M M y , M M z acting on the simplified model.
Figure 10. Representation of gravitational forces F g s , F g b , F g c , gravity torque components M g x , M g y , M g z , magnetic disturbance torque components M m x , M m y , M m z , and magnetic torque components of permanent magnets M M x , M M y , M M z acting on the simplified model.
Machines 13 00509 g010
Figure 11. Propagation of the angles of attitude ϕ , θ , ψ when motion is performed with permanent magnets placed on the sphere and magnetic perturbation torques acting on the cube.
Figure 11. Propagation of the angles of attitude ϕ , θ , ψ when motion is performed with permanent magnets placed on the sphere and magnetic perturbation torques acting on the cube.
Machines 13 00509 g011
Table 1. Geometric characteristics of a simplified model for multibody implementation in ADAMS.
Table 1. Geometric characteristics of a simplified model for multibody implementation in ADAMS.
BodyDimension [m]Mass [kg]Inertia [kgm2]
Cube L z = 0.13 ,
L x = L y = 0.1
0.4 I x = I y = 8.97 × 10 4 ,
I z = 6.7 × 10 4
Cylinder L z = 0.18 ,
d = 3.69 × 10 2
0.2 I x = I y = 5.57 × 10 4 ,
I z = 3.4 × 10 5
Sphere d = 5 × 10 2 0.7 I x = I y = I z = 1.75 × 10 4
Total L z = 0.335 ,
L x = L y = 0.1
1.3 I x = I y = 2.70 × 10 2 ,
I z = 9 × 10 4
Table 2. Orbital parameters.
Table 2. Orbital parameters.
Orbital ParametersSymbolsValue
Inclinationi 30
Right Ascension of the Ascending Node Ω 40
Argument of periapsis ω 265
Eccentricitye0
Semimajor Axisa6918 km
Table 3. Attitude initial conditions.
Table 3. Attitude initial conditions.
ω b x 0 ω b y 0 ω b z 0
0 / s 0 / s 0 / s
Table 4. Study on the influence of the pitch propagation θ analysed with the initial conditions.
Table 4. Study on the influence of the pitch propagation θ analysed with the initial conditions.
Roll ϕ Pitch θ Yaw ψ
0 0 0
0 5 0
0 10 0
0 15 0
0 20 0
Table 5. Study on the influence of roll propagation ϕ analysed with the initial conditions.
Table 5. Study on the influence of roll propagation ϕ analysed with the initial conditions.
Roll ϕ Pitch θ Yaw ψ
5 0 0
10 0 0
15 0 0
20 0 0
Table 6. Study on the influence of yaw propagation ψ analysed with the initial conditions.
Table 6. Study on the influence of yaw propagation ψ analysed with the initial conditions.
Roll ϕ Pitch θ Yaw ψ
0 0 5
0 0 10
0 0 15
0 0 20
Table 7. Study on the influence of Euler angle propagation analysed with the initial conditions.
Table 7. Study on the influence of Euler angle propagation analysed with the initial conditions.
CaseRoll ϕ Pitch θ Yaw ψ
a 5 5 5
b 10 10 10
c 15 15 15
d 20 20 20
e 15 20 5
Table 8. Gauss coefficients for the year 2023.
Table 8. Gauss coefficients for the year 2023.
CoefficientValue [ nT ]
g 1 0 −29,399.1
g 1 1 −1443.5
h 1 1 4626.6
Table 9. Values of m in Am2.
Table 9. Values of m in Am2.
m m Am2
m x m y m z
Test 1 1 × 10 3 1 × 10 3 1 × 10 3
Test 2 0.1 × 10 3 0.1 × 10 3 0.1 × 10 3
Test 3 0.05 × 10 3 0.05 × 10 3 0.05 × 10 3
Table 10. Initial attitude conditions.
Table 10. Initial attitude conditions.
ϕ 0 θ 0 ψ 0 ω b x 0 ω b y 0 ω b z 0
0 0 0 0 /s 0 /s 0 /s
Disclaimer/Publisher’s Note: The statements, opinions and data contained in all publications are solely those of the individual author(s) and contributor(s) and not of MDPI and/or the editor(s). MDPI and/or the editor(s) disclaim responsibility for any injury to people or property resulting from any ideas, methods, instructions or products referred to in the content.

Share and Cite

MDPI and ACS Style

Foiani, F.; Morettini, G.; Palmieri, M.; Carletta, S.; Cianetti, F.; Dionigi, M. Multibody Simulation of 1U CubeSat Passive Attitude Stabilisation Using a Robotic Arm. Machines 2025, 13, 509. https://doi.org/10.3390/machines13060509

AMA Style

Foiani F, Morettini G, Palmieri M, Carletta S, Cianetti F, Dionigi M. Multibody Simulation of 1U CubeSat Passive Attitude Stabilisation Using a Robotic Arm. Machines. 2025; 13(6):509. https://doi.org/10.3390/machines13060509

Chicago/Turabian Style

Foiani, Filippo, Giulia Morettini, Massimiliano Palmieri, Stefano Carletta, Filippo Cianetti, and Marco Dionigi. 2025. "Multibody Simulation of 1U CubeSat Passive Attitude Stabilisation Using a Robotic Arm" Machines 13, no. 6: 509. https://doi.org/10.3390/machines13060509

APA Style

Foiani, F., Morettini, G., Palmieri, M., Carletta, S., Cianetti, F., & Dionigi, M. (2025). Multibody Simulation of 1U CubeSat Passive Attitude Stabilisation Using a Robotic Arm. Machines, 13(6), 509. https://doi.org/10.3390/machines13060509

Note that from the first issue of 2016, this journal uses article numbers instead of page numbers. See further details here.

Article Metrics

Back to TopTop