The Spatio-Temporal Equalization Sliding-Window Distribution Distance Maximization Based on Unsupervised Learning for Online Event-Related Potential-Based Brain–Computer Interfaces
Abstract
1. Introduction
2. Methods
2.1. EEG Signal Model and Background Noise Estimation
- Task-related components and background noise components are independent of each other;
- Background noise exhibits short-term stationarity;
- Background noise can be approximated as zero-mean Gaussian noise with spatio-temporal correlations.
2.2. Design of the Spatio-Temporal Equalizer
2.3. Application of the Spatio-Temporal Equalizer
2.4. Sliding-Window Distribution Distance Maximization
2.4.1. Single-Trial Classification Process
2.4.2. Fully Online Classification Process
2.5. Spatio-Temporal Equalization Sliding-Window Distribution Distance Maximization (STE-sDDM) Algorithm Flow
3. Experimental Design
3.1. Datasets and Data Processing
3.2. Simulation of Online Experiment Design and Early Stopping Strategy
3.3. Experimental Environment
4. Results
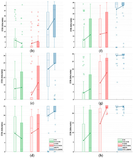
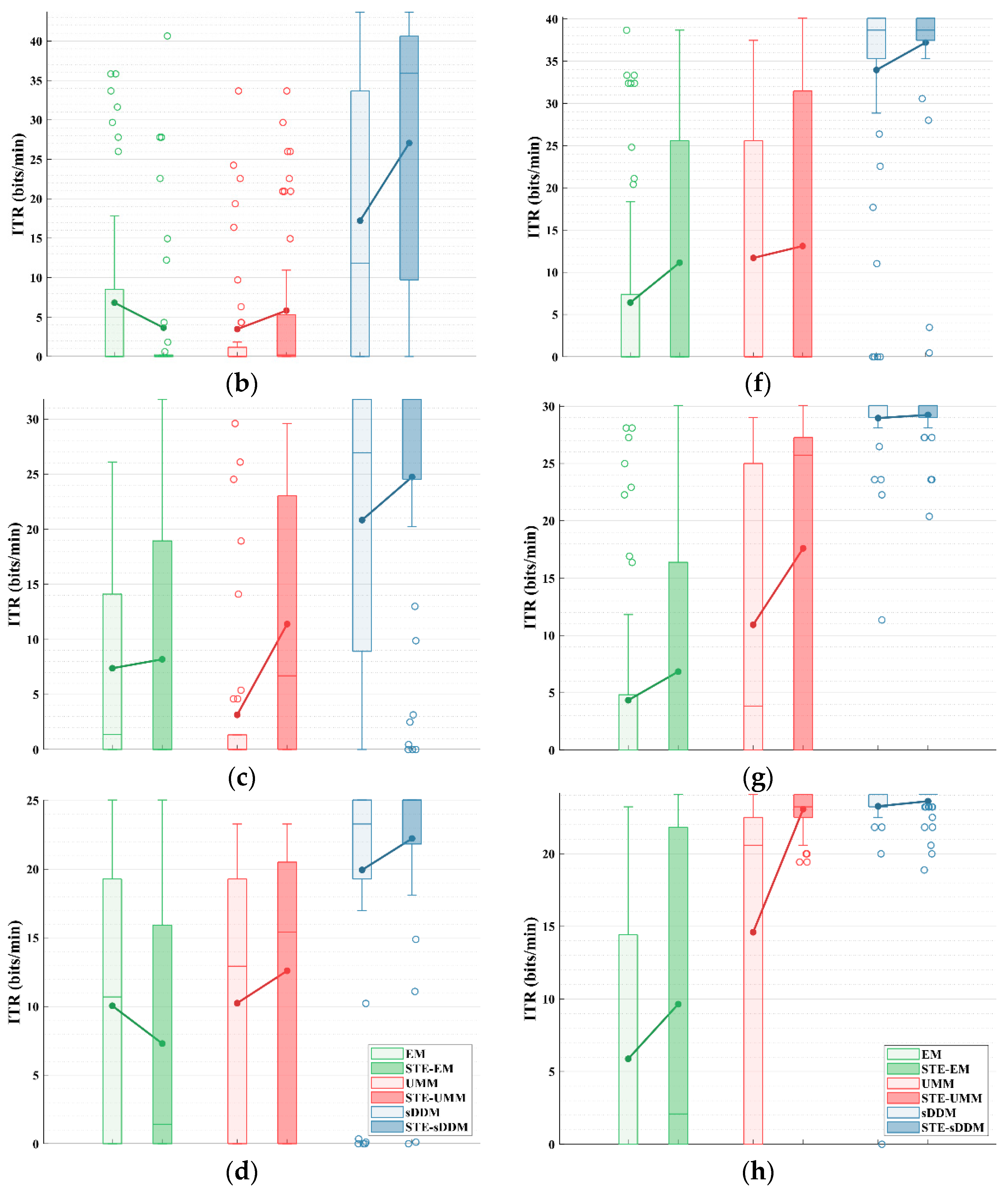
5. Analysis and Discussion
5.1. Performance with Fixed Number of Rounds
5.2. Static vs. Dynamic Spatio-Temporal Equalizer Architectures
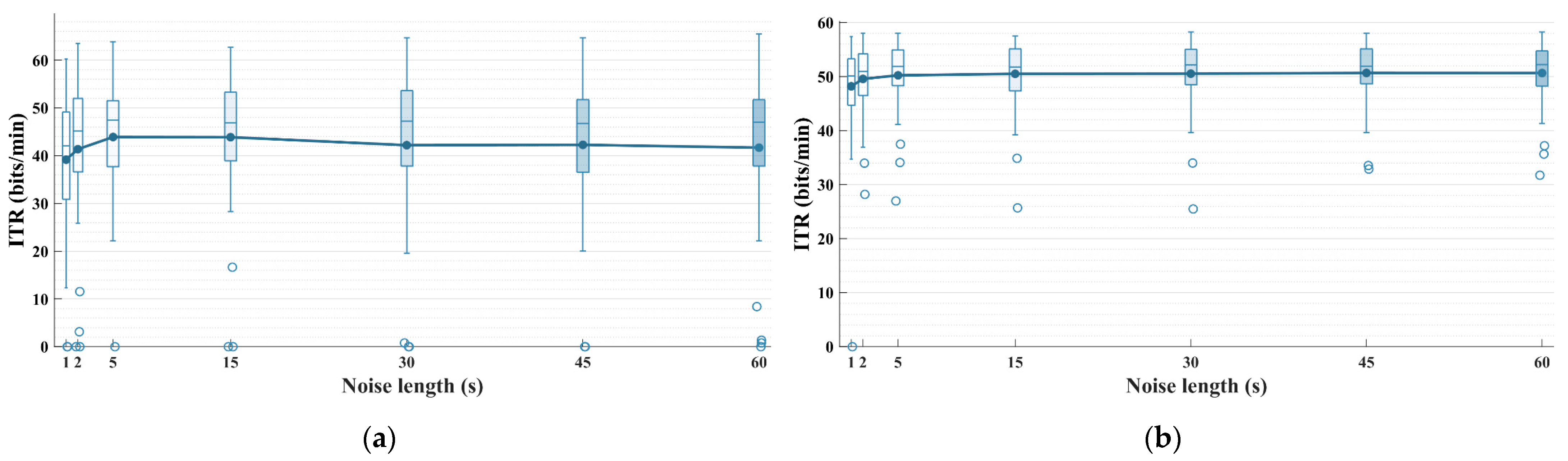
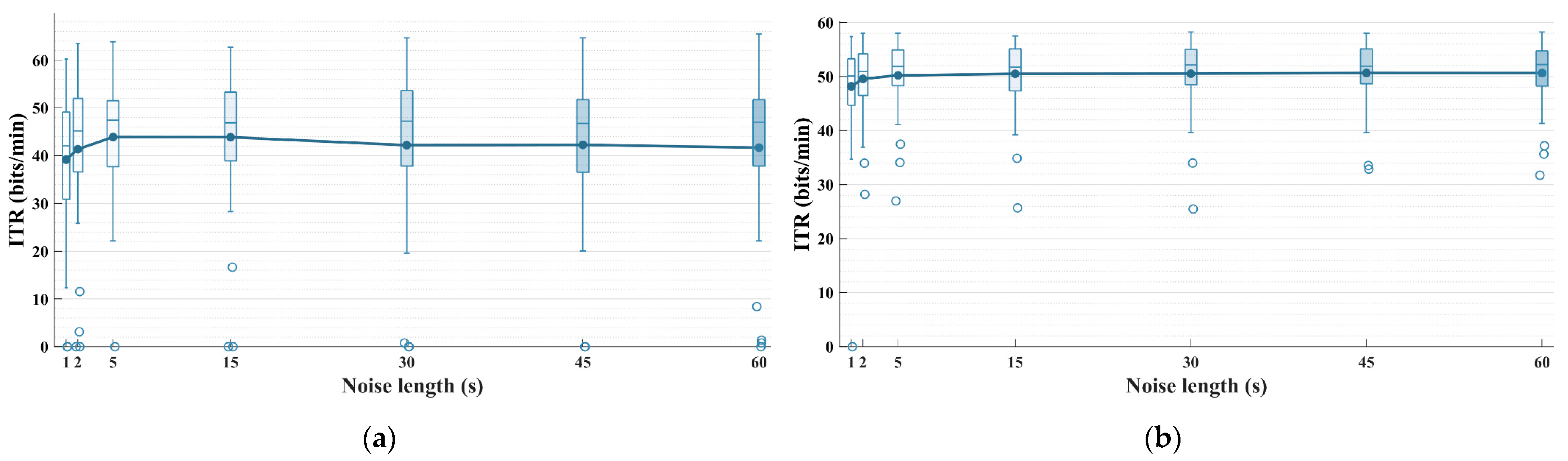
5.3. Evaluation and Selection of the Required Noise Length for the Spatio-Temporal Equalizer
6. Conclusions
Author Contributions
Funding
Institutional Review Board Statement
Informed Consent Statement
Data Availability Statement
Acknowledgments
Conflicts of Interest
References
- Gao, S.; Wang, Y.; Gao, X.; Hong, B. Visual and Auditory Brain–Computer Interfaces. IEEE Trans. Biomed. Eng. 2014, 61, 1436–1447. [Google Scholar] [CrossRef] [PubMed]
- Zhang, H.; Guan, C.; Wang, C. Asynchronous P300-Based Brain–Computer Interfaces: A Computational Approach with Statistical Models. IEEE Trans. Biomed. Eng. 2008, 55, 1754–1763. [Google Scholar] [CrossRef] [PubMed]
- Xu, S.; Liu, Y.; Lee, H.; Li, W. Neural Interfaces: Bridging the Brain to the World beyond Healthcare. Exploration 2024, 4, 20230146. [Google Scholar] [CrossRef]
- Vangi, M.; Brogi, C.; Topini, A.; Secciani, N.; Ridolfi, A. Enhancing sEMG-Based Finger Motion Prediction with CNN-LSTM Regressors for Controlling a Hand Exoskeleton. Machines 2023, 11, 747. [Google Scholar] [CrossRef]
- Borboni, A.; Elamvazuthi, I.; Cusano, N. EEG-Based Empathic Safe Cobot. Machines 2022, 10, 603. [Google Scholar] [CrossRef]
- Dmytriyev, Y.; Insero, F.; Carnevale, M.; Giberti, H. Brain–Computer Interface and Hand-Guiding Control in a Human–Robot Collaborative Assembly Task. Machines 2022, 10, 654. [Google Scholar] [CrossRef]
- Xiao, X.; Xu, M.; Jin, J.; Wang, Y.; Jung, T.-P.; Ming, D. Discriminative Canonical Pattern Matching for Single-Trial Classification of ERP Components. IEEE Trans. Biomed. Eng. 2020, 67, 2266–2275. [Google Scholar] [CrossRef]
- Rezeika, A.; Benda, M.; Stawicki, P.; Gembler, F.; Saboor, A.; Volosyak, I. Brain–Computer Interface Spellers: A Review. Brain Sci. 2018, 8, 57. [Google Scholar] [CrossRef]
- Kübler, A. The History of BCI: From a Vision for the Future to Real Support for Personhood in People with Locked-in Syndrome. Neuroethics 2020, 13, 163–180. [Google Scholar] [CrossRef]
- Jin, J.; Chen, Z.; Xu, R.; Miao, Y.; Wang, X.; Jung, T.-P. Developing a Novel Tactile P300 Brain-Computer Interface with a Cheeks-Stim Paradigm. IEEE Trans. Biomed. Eng. 2020, 67, 2585–2593. [Google Scholar] [CrossRef]
- Farwell, L.A.; Donchin, E. Talking off the Top of Your Head: Toward a Mental Prosthesis Utilizing Event-Related Brain Potentials. Electroencephalogr. Clin. Neurophysiol. 1988, 70, 510–523. [Google Scholar] [CrossRef]
- Aggarwal, S.; Chugh, N. Review of Machine Learning Techniques for EEG Based Brain Computer Interface. Arch. Comput. Methods Eng. 2022, 29, 3001–3020. [Google Scholar] [CrossRef]
- Krusienski, D.J.; Sellers, E.W.; McFarland, D.J.; Vaughan, T.M.; Wolpaw, J.R. Toward Enhanced P300 Speller Performance. J. Neurosci. Methods 2008, 167, 15–21. [Google Scholar] [CrossRef] [PubMed]
- Hoffmann, U.; Vesin, J.-M.; Ebrahimi, T.; Diserens, K. An Efficient P300-Based Brain–Computer Interface for Disabled Subjects. J. Neurosci. Methods 2008, 167, 115–125. [Google Scholar] [CrossRef]
- Sosulski, J.; Tangermann, M. Introducing Block-Toeplitz Covariance Matrices to Remaster Linear Discriminant Analysis for Event-Related Potential Brain–Computer Interfaces. J. Neural Eng. 2022, 19, 066001. [Google Scholar] [CrossRef]
- Lawhern, V.J.; Solon, A.J.; Waytowich, N.R.; Gordon, S.M.; Hung, C.P.; Lance, B.J. EEGNet: A Compact Convolutional Neural Network for EEG-Based Brain–Computer Interfaces. J. Neural Eng. 2018, 15, 056013. [Google Scholar] [CrossRef]
- Schirrmeister, R.T.; Springenberg, J.T.; Fiederer, L.D.J.; Glasstetter, M.; Eggensperger, K.; Tangermann, M.; Hutter, F.; Burgard, W.; Ball, T. Deep Learning with Convolutional Neural Networks for EEG Decoding and Visualization. Hum. Brain Mapp. 2017, 38, 5391–5420. [Google Scholar] [CrossRef]
- Wang, Z.; Chen, C.; Li, J.; Wan, F.; Sun, Y.; Wang, H. ST-CapsNet: Linking Spatial and Temporal Attention with Capsule Network for P300 Detection Improvement. IEEE Trans. Neural Syst. Rehabil. Eng. 2023, 31, 991–1000. [Google Scholar] [CrossRef]
- Jin, J.; Sellers, E.W.; Zhang, Y.; Daly, I.; Wang, X.; Cichocki, A. Whether Generic Model Works for Rapid ERP-Based BCI Calibration. J. Neurosci. Methods 2013, 212, 94–99. [Google Scholar] [CrossRef]
- Zhao, Y.; Wang, Z.; Zhang, Z.; Liu, J.; Chen, L.; Qi, H.; Jiao, X.; He, F.; Zhou, P.; Ming, D. A Transplantation of Subject-Independent Model in Cross-Platform BCI. Int. J. Mach. Learn. Cyber. 2018, 9, 959–967. [Google Scholar] [CrossRef]
- Jin, J.; Li, S.; Daly, I.; Miao, Y.; Liu, C.; Wang, X.; Cichocki, A. The Study of Generic Model Set for Reducing Calibration Time in P300-Based Brain–Computer Interface. IEEE Trans. Neural Syst. Rehabil. Eng. 2020, 28, 3–12. [Google Scholar] [CrossRef]
- Gao, W.; Huang, W.; Li, M.; Gu, Z.; Pan, J.; Yu, T.; Yu, Z.L.; Li, Y. Eliminating or Shortening the Calibration for a P300 Brain–Computer Interface Based on a Convolutional Neural Network and Big Electroencephalography Data: An Online Study. IEEE Trans. Neural Syst. Rehabil. Eng. 2023, 31, 1754–1763. [Google Scholar] [CrossRef]
- Li, Y.; Guan, C.; Li, H.; Chin, Z. A Self-Training Semi-Supervised SVM Algorithm and Its Application in an EEG-Based Brain Computer Interface Speller System. Pattern Recognit. Lett. 2008, 29, 1285–1294. [Google Scholar] [CrossRef]
- Wu, D. Active Semi-Supervised Transfer Learning (ASTL) for Offline BCI Calibration. In Proceedings of the 2017 IEEE International Conference on Systems, Man, and Cybernetics (SMC), Banff, Canada, 5–8 October 2017; pp. 246–251. [Google Scholar]
- Ogino, M.; Kanoga, S.; Ito, S.-I.; Mitsukura, Y. Semi-Supervised Learning for Auditory Event-Related Potential-Based Brain–Computer Interface. IEEE Access 2021, 9, 47008–47023. [Google Scholar] [CrossRef]
- Kindermans, P.-J.; Verstraeten, D.; Schrauwen, B. A Bayesian Model for Exploiting Application Constraints to Enable Unsupervised Training of a P300-Based BCI. PLoS ONE 2012, 7, e33758. [Google Scholar] [CrossRef][Green Version]
- Hubner, D.; Verhoeven, T.; Muller, K.-R.; Kindermans, P.-J.; Tangermann, M. Unsupervised Learning for Brain-Computer Interfaces Based on Event-Related Potentials: Review and Online Comparison [Research Frontier]. IEEE Comput. Intell. Mag. 2018, 13, 66–77. [Google Scholar] [CrossRef]
- Hübner, D.; Verhoeven, T.; Schmid, K.; Müller, K.-R.; Tangermann, M.; Kindermans, P.-J. Learning from Label Proportions in Brain-Computer Interfaces: Online Unsupervised Learning with Guarantees. PLoS ONE 2017, 12, e0175856. [Google Scholar] [CrossRef]
- Verhoeven, T.; Hübner, D.; Tangermann, M.; Müller, K.R.; Dambre, J.; Kindermans, P.J. Improving Zero-Training Brain-Computer Interfaces by Mixing Model Estimators. J. Neural Eng. 2017, 14, 036021. [Google Scholar] [CrossRef]
- Sosulski, J.; Tangermann, M. UMM: Unsupervised Mean-Difference Maximization. arXiv 2023, arXiv:2306.11830. [Google Scholar]
- Paris, A.; Vosoughi, A.; Atia, G. Whitening 1/f-Type Noise in Electroencephalogram Signals for Steady-State Visual Evoked Potential Brain-Computer Interfaces. In Proceedings of the 2014 48th Asilomar Conference on Signals, Systems and Computers, Pacific Grove, CA, USA, 2–5 November 2014; pp. 204–207. [Google Scholar]
- He, B.J. Scale-Free Brain Activity: Past, Present, and Future. Trends Cogn. Sci. 2014, 18, 480–487. [Google Scholar] [CrossRef]
- Baillet, S.; Mosher, J.C.; Leahy, R.M. Electromagnetic Brain Mapping. IEEE Signal Process. Mag. 2001, 18, 14–30. [Google Scholar] [CrossRef]
- Britten, K.H.; Shadlen, M.N.; Newsome, W.T.; Movshon, J.A. The Analysis of Visual Motion: A Comparison of Neuronal and Psychophysical Performance. J. Neurosci. 1992, 12, 4745–4765. [Google Scholar] [CrossRef]
- Yang, C.; Han, X.; Wang, Y.; Saab, R.; Gao, S.; Gao, X. A Dynamic Window Recognition Algorithm for SSVEP-Based Brain-Computer Interfaces Using a Spatio-Temporal Equalizer. Int. J. Neural Syst. 2018, 28, 1850028. [Google Scholar] [CrossRef] [PubMed]
- Yang, C.; Zhang, H.; Zhang, S.; Han, X.; Gao, S.; Gao, X. The Spatio-Temporal Equalization for Evoked or Event-Related Potential Detection in Multichannel EEG Data. IEEE Trans. Biomed. Eng. 2020, 67, 2397–2414. [Google Scholar] [CrossRef]
- Jin, J.; He, X.; Allison, B.Z.; Qin, K.; Wang, X.; Cichocki, A. Leveraging Spatiotemporal Estimation for Online Adaptive Steady-State Visual Evoked Potential Recognition. IEEE Trans. Cogn. Dev. Syst. 2024, 16, 1943–1954. [Google Scholar] [CrossRef]
- Akaike, H. Autoregressive Model Fitting for Control. Ann. Inst. Stat. Math. 1971, 23, 163–180. [Google Scholar] [CrossRef]
- Schwarz, G. Estimating the Dimension of a Model. Ann. Stat. 1978, 6, 461–464. [Google Scholar]
- Jin, J.; Allison, B.Z.; Sellers, E.W.; Brunner, C.; Horki, P.; Wang, X.; Neuper, C. Optimized Stimulus Presentation Patterns for an Event-Related Potential EEG-Based Brain–Computer Interface. Med. Biol. Eng. Comput. 2011, 49, 181–191. [Google Scholar] [CrossRef]
- Lee, M.-H.; Kwon, O.-Y.; Kim, Y.-J.; Kim, H.-K.; Lee, Y.-E.; Williamson, J.; Fazli, S.; Lee, S.-W. EEG Dataset and OpenBMI Toolbox for Three BCI Paradigms: An Investigation into BCI Illiteracy. GigaScience 2019, 8, giz002. [Google Scholar] [CrossRef]
- Yeom, S.-K.; Fazli, S.; Müller, K.-R.; Lee, S.-W. An Efficient ERP-Based Brain-Computer Interface Using Random Set Presentation and Face Familiarity. PLoS ONE 2014, 9, e111157. [Google Scholar] [CrossRef]








| Dataset | UMM | STE-UMM | sDDM | STE-sDDM |
|---|---|---|---|---|
| Dataset 1 | 4.4308 | 4.1749 | 3.6138 | 3.3757 |
| Dataset 2 | 3.6288 | 2.7890 | 2.7662 | 2.6409 |
Disclaimer/Publisher’s Note: The statements, opinions and data contained in all publications are solely those of the individual author(s) and contributor(s) and not of MDPI and/or the editor(s). MDPI and/or the editor(s) disclaim responsibility for any injury to people or property resulting from any ideas, methods, instructions or products referred to in the content. |
© 2025 by the authors. Licensee MDPI, Basel, Switzerland. This article is an open access article distributed under the terms and conditions of the Creative Commons Attribution (CC BY) license (https://creativecommons.org/licenses/by/4.0/).
Share and Cite
Wang, H.; Jin, J.; He, X.; Li, S.; Cichocki, A. The Spatio-Temporal Equalization Sliding-Window Distribution Distance Maximization Based on Unsupervised Learning for Online Event-Related Potential-Based Brain–Computer Interfaces. Machines 2025, 13, 282. https://doi.org/10.3390/machines13040282
Wang H, Jin J, He X, Li S, Cichocki A. The Spatio-Temporal Equalization Sliding-Window Distribution Distance Maximization Based on Unsupervised Learning for Online Event-Related Potential-Based Brain–Computer Interfaces. Machines. 2025; 13(4):282. https://doi.org/10.3390/machines13040282
Chicago/Turabian StyleWang, Haoye, Jing Jin, Xinjie He, Shurui Li, and Andrzej Cichocki. 2025. "The Spatio-Temporal Equalization Sliding-Window Distribution Distance Maximization Based on Unsupervised Learning for Online Event-Related Potential-Based Brain–Computer Interfaces" Machines 13, no. 4: 282. https://doi.org/10.3390/machines13040282
APA StyleWang, H., Jin, J., He, X., Li, S., & Cichocki, A. (2025). The Spatio-Temporal Equalization Sliding-Window Distribution Distance Maximization Based on Unsupervised Learning for Online Event-Related Potential-Based Brain–Computer Interfaces. Machines, 13(4), 282. https://doi.org/10.3390/machines13040282

