Next Article in Journal
Occlusion-Aware Interactive End-to-End Autonomous Driving for Right-of-Way Conflicts
Previous Article in Journal
Estimation of Railway Track Vertical Alignment Using Instrumented Wheelsets and Contact Force Recordings
 
 
Font Type:
Arial Georgia Verdana
Font Size:
Aa Aa Aa
Line Spacing:
Column Width:
Background:
Article

Multi-Objective Process Parameter Optimization for Abrasive Air Jet Machining Using Artificial Bee Colony Algorithm

School of Computer and Artificial Intelligence, Beijing Technology and Business University, Beijing 100048, China
*
Author to whom correspondence should be addressed.
Machines 2025, 13(10), 964; https://doi.org/10.3390/machines13100964
Submission received: 7 September 2025 / Revised: 13 October 2025 / Accepted: 16 October 2025 / Published: 18 October 2025
(This article belongs to the Section Advanced Manufacturing)

Abstract

Abrasive air jet machining is a burgeoning non-traditional machining technology particularly suitable for machining brittle non-metallic materials and metals with high hardness. It is very challenging to select the optimal process parameters to achieve desirable machining performance metrics, such as maximizing material removal rate and minimizing machining width while controlling machining depth. In this study, we aimed to achieve multi-objective process parameter optimization for abrasive air jet machining of silicon based on the artificial bee colony algorithm. A series of experiments was carried out to investigate the effect of process parameters, including air pressure, standoff distance, and nozzle traverse speed, on material removal rate, machining width, and machining depth. Mathematical models for machining performance metrics were developed by regression analysis, and a multi-objective optimization model was further formulated. The artificial bee colony algorithm was proposed to solve the optimization problem, and a set of Pareto-optimal solutions was found. The results indicate that the artificial bee colony algorithm is an effective method for multi-objective process parameter optimization in abrasive air jet machining.

1. Introduction

Abrasive air jet (AAJ) machining has been a burgeoning non-traditional machining technology over the past couple of decades [1]. In the machining process, fine and sharp abrasive particles are accelerated by a stream of high-velocity airflow and projected against the target. Then, the target material is removed by means of erosion [2,3]. This machining process possesses a number of attractive advantages, including the fact that there is a negligible heat-affected zone, the high material removal rate, the facilitation of small cutting forces, and the capability to machine a wide variety of materials [4,5]. It is particularly suitable for machining highly brittle non-metallic materials and metals with high hardness. At present, this technology has been proven to be highly effective in the micro-channel and micro-hole machining of glass, silicon, quartz, ceramics, and other hard and brittle materials [6,7,8]. In order to utilize the AAJ machining technology efficiently and economically, it is essential to select optimal process parameters. During the past two decades, many investigations have been carried out to study the influence of abrasive jet input variables on machining performance metrics and deal with the optimization of process parameters.
Wang et al. [2] investigated AAJ machining of micro-channels in quartz crystals. The effect of process parameters on machining performance metrics, such as machining depth and machining width, has been analyzed. In order to improve the machining performance by selecting the process parameters properly, the plausible trends for machining performance metrics with respect to the process parameters have been discussed, and predictive models have been built. Jafar et al. [9,10] developed an erosion rate model for AAJ machining of micro-channels in glass, which is a function of abrasive particle size, particle velocity, and jet impact angle. They indicated that the erosion rate is directly proportional to the particle kinetic energy. Zhang et al. [11] studied the influence of jet impact angle on the normalized erosion rate and erosion depth during AAJ machining of polydimethylsiloxane (PDMS). The results show that the maximum normalized erosion rate can be obtained with a jet impact angle of 15°. The erosion depth increases with an increase in jet impact angle. Luo et al. [12] studied the aerodynamic focusing of abrasive air jet by employing a pair of bounding air jets. The results indicate that the abrasive air jet can be focused by the bounding air jets, resulting in a decrease in machining width and an increase in machining depth.
Jain et al. [13] applied the genetic algorithm to optimize process parameters for maximizing the material removal rate while controlling surface roughness in the AAJ machining process. Nassef et al. [14] proposed a predictive artificial neural network model for kerf taper in AAJ drilling of glass. They then optimized the process parameters to achieve minimum kerf taper using the genetic algorithm. These efforts primarily focused on single-objective optimization.
As for AAJ machining, the material removal rate, which indicates the processing time of the workpiece, is one of the most important machining performance metrics for production efficiency and cost-effectiveness. The machining width is directly related to the characteristic line-width (processing resolution) of the micro-machining. The machining depth should be controlled within a specific range to meet the technical requirements. Hence, process parameters should be selected to maximize the material removal rate and minimize the machining width while maintaining the machining depth. Although a large amount of work has been carried out to study the effects of input variables on machining performance metrics and single-objective process parameter optimization, few attempts have been made to investigate multi-objective process parameter optimization. At present, the process parameters, which are primarily selected based on operator experience, are always far from the optimum state. This is a major barrier to utilizing AAJ machining efficiently and economically. Hence, a study on the multi-objective optimization of process parameters for AAJ machining is essential.
The Artificial Bee Colony (ABC) algorithm was proposed by Karaboga and Basturk [15] in 2005. This algorithm is a popular meta-heuristic optimization method based on the simulation of the foraging behavior of honey bees [16]. It has the advantages of having few control parameters, a fast convergence speed, and high convergence accuracy, and it is easy to implement [17,18]. In recent years, the ABC algorithm has been under development, and it has been applied in various fields, such as communications, power systems, and transportation. It has become an effective method for solving multi-objective global optimization problems. However, multi-objective process parameter optimization for AAJ machining based on the ABC algorithm has received little attention.
In this paper, the ABC algorithm is utilized to solve the multi-objective process parameter optimization problem for AAJ machining. First, the effects of process parameters on machining performance metrics, including material removal rate, machining width, and machining depth, are analyzed based on a series of AAJ machining experiments. Next, empirical regression models for machining performance metrics are developed. The multi-objective optimization model for process parameters is then formulated. Subsequently, the ABC algorithm is introduced to solve the optimization problem, and the main steps of the optimization process are described. Finally, the desirable combination of process parameters is obtained in the form of a Pareto-optimal solution set.

2. Experimental Procedure

The experiments were conducted using an abrasive air jet setup, as shown in Figure 1. The AAJ setup consists of an air compressor, an abrasive jet machine (Basic Master Abrasive Jet Machine, Renfert GmbH, Hilzingen, Germany), a blasting chamber, a CNC 3-axis guiding system, and a vacuum cleaner. The abrasives are mixed with dehumidified compressed air and fed into the hermetically sealed blasting chamber through a small nozzle. A CNC 3-axis guiding system, with a working area of 200 mm × 200 mm × 300 mm, controls the scanning motion of the nozzle. Dust generated during the experiment is evacuated from the blasting chamber by a vacuum cleaner.
Although many process parameters are involved in AAJ machining, the process parameter that significantly affects the machining performance and is easy to adjust was chosen as the input variable for the experiment. These process parameters include air pressure, P; standoff distance, SOD; and nozzle traverse speed, u. The levels of these input process variables are reported in Table 1. A total of 64 experimental runs were conducted using the full factorial experiment design.
The cylindrical nozzle was made of boron carbide, with an inner diameter of 0.65 mm. The abrasive used was aluminum oxide with a nominal diameter of 50 μm. The density of the abrasive was 3950 kg/m3, and the Vickers hardness of the abrasive was 2.1 GPa. The abrasive flow rate was 21 g/min. The jet impact angle was maintained at 90°, meaning the nozzle was always perpendicular to the surface of the specimen.
The specimen used in the experiments was a silicon wafer, which is a typical hard and brittle material. Monocrystalline silicon is widely used in micro-electro-mechanical systems and photovoltaic power generation systems. In these applications, the fabrication of micro-channels on monocrystalline silicon is required. The most common methods for micro-channel machining can be classified into chemical etching techniques (such as photolithography and reactive ion etching) and mechanical etching techniques (such as ultra-precision turning, milling, and laser processing). The equipment cost associated with chemical etching techniques is relatively high, making them suitable for large-scale production of micro-structures. Furthermore, the corrosive chemical solutions used have adverse effects on the processing environment. Mechanical etching techniques may result in large cutting forces or heat-affected zones. AAJ machining technology offers a number of attractive advantages, including a negligible heat-affected zone, a high material removal rate, small cutting forces, low equipment costs, high flexibility, and the capability to machine a wide variety of materials. Moreover, the abrasive particles used and workpiece debris generated during the machining process can be collected promptly without harming the environment. This makes AAJ machining technology suitable for fabricating micro-channels on silicon. The mechanical properties of the specimen are given in Table 2.
The 3D digital microscope (VHX-600, Keyence Corporation of China, Shanghai, China) was used to measure the machining width (W), the machining depth (D), and the cross-sectional profile of the micro-channel. Typical measurement results are shown in Figure 2. The 3D topography of the micro-channel is shown in Figure 2a. The cross-sectional profile of the micro-channel is shown in Figure 2b. The figures show that the machining depth is 966.6 μm, and the machining width is 119 μm. The cross-sectional area A can be calculated using the cross-sectional profile data of the micro-channel.
The material removal rate (MRR) is defined as the mass of material removed per unit time and can be expressed as
M R R = M t t = ρ A L t = ρ A L L u = ρ A u
where Mt is the total mass of material removed during the entire machining process, t is the machining time, ρ is the workpiece density, A is the cross-sectional area which can be calculated by cross-sectional profile data of the micro-channel, and L is the machining length.
Three measurements for each performance metric were taken on each specimen, and the average value was taken as the final reading. Based on the experimental data, the effects of process parameters on the machining performance metrics are analyzed below.

3. Influence of Process Parameters on Machining Performance Metrics

According to the experimental data in this study, MRR ranges from 0.34 to 2.34 g/s. The main effect of process parameters on the material removal rate is shown in Figure 3a. It is evident that the material removal rate increases with an increase in air pressure. The material removal rate first increases and then decreases with increasing standoff distance. The maximum material removal rate is achieved with a nozzle traverse speed of 2.7 mm/s. From the figure, it is observed that the optimal process parameters for obtaining the maximum material removal rate are P4SOD3u2.
According to the experimental data in this study, W ranges from 912.6 to 1132.6 μm. The main effect of process parameters on machining width is shown in Figure 3b. It is evident that the machining width increases with an increase in air pressure and standoff distance. Conversely, with the increase in nozzle traverse speed, machining width decreases gradually. The optimal process parameters for achieving the minimum machining width are P1SOD1u4.
According to the experimental data in this study, D ranges from 26.4 to 322.4 μm. The main effect of process parameters on the machining depth is shown in Figure 3c. It can be seen from the figure that machining depth increases with an increase in air pressure, whereas the traverse speed has a negative effect on the machining depth. The standoff distance appears to have a negligible effect on machining depth.
The interactive effects of process parameters on MRR, W, and D are shown in Figure 4, Figure 5 and Figure 6. It can be seen that the effect of process parameters on MRR, W, and D is consistent with that in the main effect analysis.
Machining efficiency is important for abrasive air jet machining. A higher material removal rate corresponds to greater machining efficiency. The size of the machining width indicates the processing resolution of abrasive air jet machining. Reducing the machining width may improve the processing resolution, as well as expand the application of abrasive air jet machining in micro-structure fabrication. The realization of micro-channels with small machining width is a challenge. Qualitatively, it can be seen that there is a conflict between maximizing MRR and minimizing W. Two objectives cannot achieve an optimal state at the same time. Hence, no single solution represents the optimal combination of process parameters for this problem. A viable approach for this problem is to find a set of trade-off non-dominate solutions by applying a multi-objective optimization algorithm, trying to make the two objectives reach the optimum state. It is necessary to formulate an optimization model before the multi-objective optimization algorithm is used. Thus, the development of an optimization model will be considered below.

4. Development of Multi-Objective Optimization Model

In order to provide objective functions and constraints for multi-objective process parameter optimization, it is essential to develop mathematical models of machining performance metrics.

4.1. Regression Models for Machining Performance Metrics

The multiple linear regression analysis approach was employed to model the material removal rate, machining width, and machining depth. Independent variables with an insignificant effect on the dependent variable can be excluded, allowing the model to be simplified [19]. The regression analysis was carried out at a confidence interval of 95%.
According to the experimental results, the mathematical models of MRR, W, and D were established, as shown in Equations (2)–(4).
M R R = 1.9028 2.3129 S O D + 2.5202 u + 1.0049 S O D 2 0.762 u 2     + 6.9077 P S O D + 0.0711 u 3 2.8035 P S O D 2
W = 979.05 + 373.58 P S O D 0121.57 P u 505.7 P 2 S O D + 151.19 P 2 + 172.05 P 2 u
D = 80.5 + 47.6 S O D + 515 P 2 25.68 u 2 109.2 P S O D + 146.5 P u + 4.55 u 3 33.7 P u 2

4.2. Model Verification

The adequacy of the developed regression models was evaluated using the R-squared statistic (R2) and adjusted R-squared statistic (adjusted R2). The R2 values for the three models are 82.87%, 89.90%, and 91.15%, respectively. Additionally, the adjusted R2 values for the three models are 80.73%, 89.02%, and 90.05%, respectively. The R2 and adjusted R2 values reveal reasonable agreement, which indicates that the models are adequate for prediction. The correlation between the empirical and its corresponding experimental data is high.
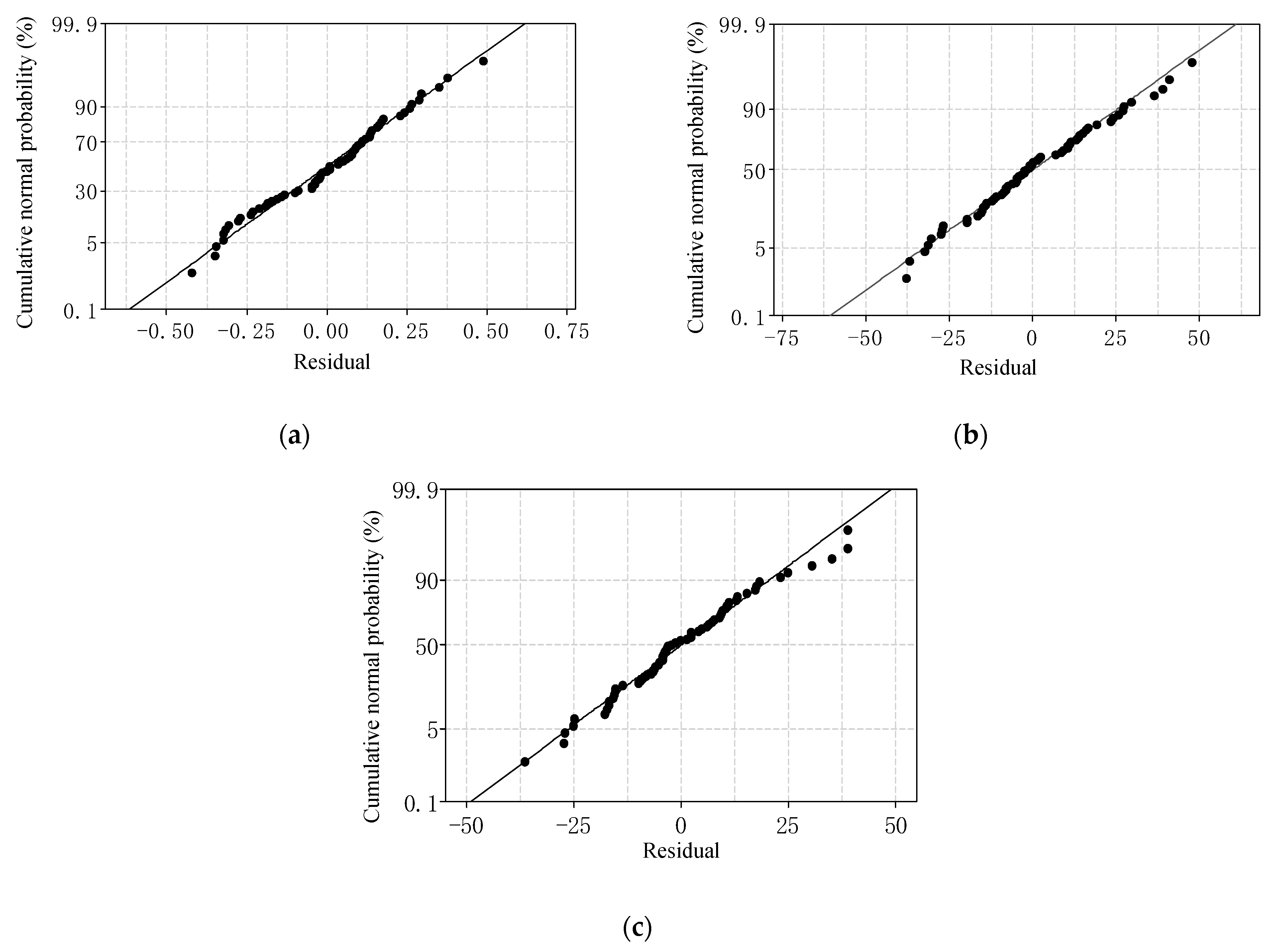
In addition, the regression results of the models have been evaluated using normal probability plots of the residuals. Figure 7 shows the normal probability plots of the residuals for MRR, W, and D, respectively. It is evident in each graph of Figure 7 that the points on the normal probability plot fall close to a straight line, indicating that the residuals follow a normal distribution. Therefore, the developed models are sufficiently significant [19]. The percentage deviations between the empirical and its corresponding experimental data were also calculated. The average percentage deviations for MRR, W, and D are −1.44%, 0.02%, and 3.06%, with standard deviations of 23.14%, 1.49%, and 21.74%, respectively. It is also demonstrated that the empirical values correlate with the experimental data very well.
The significance of each model for machining performance metrics was evaluated using analysis of variance (ANOVA). Table 3, Table 4 and Table 5 show the ANOVA results for the regression models. The analyses were carried out at a 95% confidence level. The p-values for each model are less than 0.05, indicating that the regression models are statistically significant [19].
Confirmation experiments were carried out, and the results are shown in Table 6. The process parameters for confirmation experiments were randomly selected within the range defined in the current experimental investigation, as described in Section 2. It can be seen that the errors between the predicted and experimental values are less than 5%. This demonstrates that the predictions of the three models are in good agreement with their corresponding experimental results. Consequently, the established regression models can be used as objective functions and constraints to formulate the optimization model.

4.3. Formulation of the Multi-Objective Optimization Model

In the optimization problem, the optimization goal is always to find the minimum value of the objective function, and hence, the empirical equation for material removal rate is transformed into Equation (5):
M M R = M M R
The multi-objective optimization model can be given by Equation (6):
We   minimize   f ( P , S d , u ) = [ f 1 , f 2 ] = [ M R R , W ] subject   to   P min P P max S O D min S O D S O D max   u min u u max D min D D max
The ABC algorithm is employed to solve the multi-objective optimization problem. The main steps of the optimization process are described below.

5. Main Steps of the Multi-Objective ABC Algorithm

In the ABC algorithm, food sources and artificial bees are two essential components [18,20]. The food sources contain information for a candidate solution to the optimization problem. In the colony, artificial bees are categorized as employed bees, onlooker bees, and scout bees [21]. During the optimization process, the three groups of bees work cooperatively with a due division of labor, and a set of optimal solutions is found after a predetermined number of iterations.
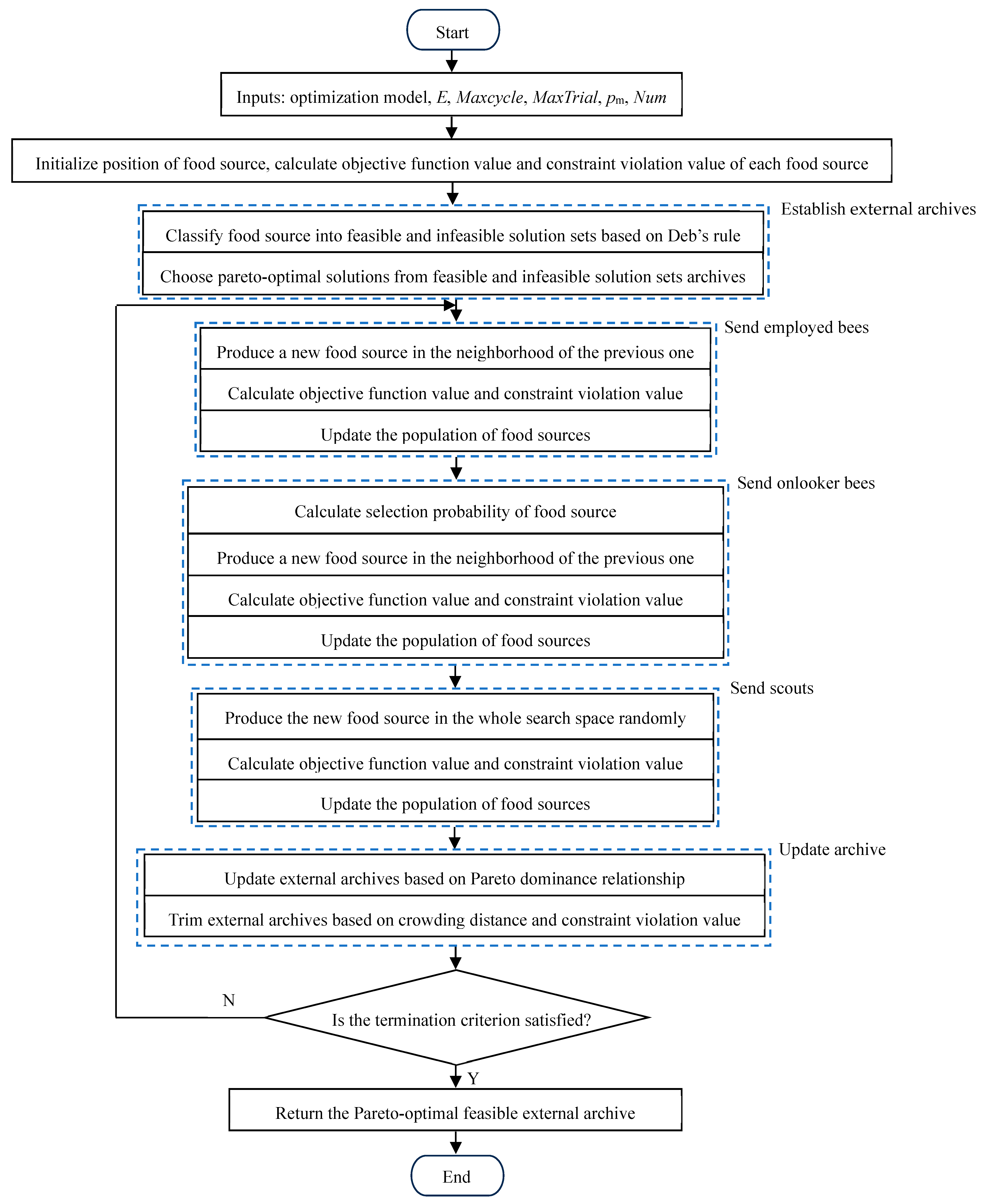
The flowchart of the multi-objective ABC algorithm is shown in Figure 8. The main steps consist of initialization, establishing an external archive, sending employed bees, sending onlooker bees, sending scout bees, and updating the archive. These steps are explained in the following sections.

5.1. Initialization

The pseudocode for the initialization phase is shown in Algorithm 1. In this phase, a set of food sources with size E needs to be generated. Each food source has three characteristics: position vector, nectar amount, and number of trials.
Algorithm 1: Initialization
1:Input: optimization model, size of food sources
2:for i = 1 to E do
3:    for j = 1 to n do
4:        Calculate xij according to Equation (7)
5:     end for
6:    Calculate objective function value f(Xi) according to Equation (6)
7:    Calculate constraint violation function value constr(Xi) according to Equation (8)
8:    Trial = 0
9:end for
  10:Output: food sources
The food source is denoted by an n-dimensional vector. The vector dimension corresponds to the number of decision variables to be optimized. The ith food source can be expressed as X i = ( x i 1 , x i 2 , , x i n ) . The n-dimensional vector also represents the position vector of a food source, which corresponds to a candidate solution to the optimization problem. Here, a solution indicates a combination of process parameters such as P, SOD, and u.
The jth dimension of the ith food source is initialized by the following equation:
x i j = x j min + R 1 ( x j max x j min )
where j is an integer in [1, n]; R1 is a randomly generated number uniformly distributed within [0, 1]. x j max and x j min are the upper and lower boundaries of the jth dimension, respectively.
The nectar amount of a food source represents the quality of the corresponding candidate solution. The quality of a solution is characterized by the values of objective functions and the constraint violation function. The value of the constraint violation function is calculated by the following equation [22]:
c o n s t r ( X ) = 1 M q = 1 M c q ( X ) c q max
where   c q ( X ) = max { g q ( X ) , 0 } ,             q = 1 , 2 , , U max { h q J ( X ) , 0 } ,                   q = U + 1 , , U + V ,   c q max = max { c q ( X ) } ,
g ( X ) 0 is the inequality constraint, h ( X ) = 0 is the equality constraint, U is the number of inequality constraints, V is the number of equality constraints, and M is the number of objective functions in the optimization problem.
The control parameter Trial, named as the number of trials, is employed to determine whether a food source is exhausted and should be abandoned. It can be expressed as T r a i l = [ T r i a l 1 , T r i a l 2 , , T r a i l E ] and set to zero for each food source.
In the case of real honey bees, food sources are exploited by employed bees at this stage. They collect the nectar from the food source and return to the hive. Then, they share the position and nectar amount information with onlooker bees in the dancing area of the hive [15]. In the multi-objective ABC algorithm, each employed bee is associated with only one food source, and hence, the number of employed bees is equal to the number of food sources E. The information of position and nectar amount of the associated food sources is kept by the employed bees. Employed bees also share the position and nectar amount information with onlooker bees during the optimization process.
Usually, the number of onlooker bees is equal to the number of employed bees E. There are no scout bees in the swarm at this stage, because all scout bees are converted from employed bees during optimization based on the Trial [15].

5.2. Establish External Archives

The pseudocode for establishing external archives is shown in Algorithm 2. In order to provide neighboring information of a food source for optimization, archives are established [23]. In constrained optimization problems, infeasible solutions also contain valuable information for optimization besides feasible solutions. Hence, infeasible solutions are allowed to participate in the process of updating the positions of food sources in the multi-objective ABC algorithm [17]. The archives are categorized into feasible and infeasible archives.
Algorithm 2: Establishing External Archives
1:Input: food sources
2:Classify food sources into feasible and infeasible solution sets based on Deb’s rules
3:Establish Pareto-optimal feasible and Pareto-optimal infeasible solution sets based on Pareto dominance relationship
4:Output: External Archives
After the initialization phase, the set of candidate solutions, which are represented by the position vectors of food sources, is divided into feasible and infeasible solution sets according to Deb’s rules [22]. In Deb’s rules, the tournament selection operator is employed, where two solutions are randomly selected from the candidate solution set at a time and compared.
(1)
If both solutions are feasible, the Pareto dominance relationship is applied. The Pareto dominance relationship is described as follows: one candidate solution vector X α is said to dominate another candidate solution X β (denoted as X α X β )
if f q ( X α ) f q ( X β ) , q = 1 , 2 , , M , q = 1 , 2 , , M .
The Pareto-dominant solution, which is f q ( X α ) < f q ( X β ) and superior to the other, is selected and added to the feasible solution set temp1.
(2)
If both solutions are infeasible, the values of the constraint violation function are compared. If c o n s t r ( X α ) < c o n s t r ( X β ) , then X α is superior to X β . Therefore, X α is selected and added to the infeasible solution set temp2.
(3)
Otherwise, the feasible solution is selected and added to the feasible solution set temp1.
The Pareto-optimal solution, for a candidate solution, can be expressed as X α ; if no candidate solution dominates, X α is considered Pareto-optimal. According to the definition of the Pareto-optimal solution, the Pareto-optimal solutions are selected from the feasible solution set temp1 and the infeasible solution set temp2, respectively, and then stored in the archives Rpop1 and Rpop2.

5.3. Send Employed Bees

The pseudocode of the send employed bees function is shown in Algorithm 3. During the phase of sending employed bees, the employed bees search for a new nectar source in the vicinity of the previous one.
Algorithm 3: Sending Employed Bees
1:Input: food sources, optimization model, pm, archives
2:for i = 1 to E do
3:    if  ( R 2 p m )  then
4:        Select candidate solution X k from the feasible archive randomly
5:    else
6:        Select candidate solution X k from the infeasible archive randomly
7:     end if
8:    Produce a new food source according to Equation (10)
9:    if the new food source is superior to the previous one then
  10:        Update the food source and T r i a l i = 0
  11:     else
  12:         T r i a l i = T r i a l i + 1
  13:     end if
  14:end for
  15:Output: updated food sources
A parameter pm is a predetermined critical value for the selection probability of the feasible solution set. R2 is a uniformly distributed random number within the interval [0, 1]. If R 2 p m , then the food source X k is selected from the external archive Rpop1; otherwise, the food source X k is chosen from the external archive Rpop2. k is a randomly chosen integer between 1 and the size of the external archive.
The position vector of n e w X i is updated by modifying one dimension of the position vector of the previous food source X i through Equation (10), while the other dimensions remain unchanged.
n e w x i j = x i j + z ( x k j x i j )
where j is a randomly chosen integer within [1, n]. z is a randomly generated number uniformly distributed within the range [−1, 1]. If the value of produced n e w x i j exceeds its predetermined boundary limits, it will be set to the nearest boundary value.
The values of the objective functions, f ( n e w X i ) , will be calculated according to Equation (6). Meanwhile, the value of the constraint violation function, c o n s t r ( n e w X i ) , will be calculated using Equation (8). If the new solution is superior to the old one according to Deb’s rules, it will replace the previous solution, and its Trial value will be reset to 0. If not, the previous solution remains, and its Trial value will be incremented by 1.

5.4. Send Onlooker Bees

The pseudocode for the send onlooker bees is shown in Algorithm 4. The onlooker bee selects one of the food sources shared by the employed bees based on the roulette wheel selection scheme. The selection probability of food source X i can be calculated by the following equation [24]:
p ( X i ) = 1 q = 1 E [ N d o m ( X q ) E ] [ N d o m ( X i ) E ]
where N d o m ( X i ) is the number of food sources dominated by X i . It should be noted that the infeasible solution, with a smaller value of the constraint violation function, dominates the solution with a larger value of the constraint violation function. In this way, the candidate solutions with high quality are more likely to be selected.
Algorithm 4: Sending Onlooker Bees
1:Input: food sources, optimization model, pm, archives
2:Calculate selection probability for each food source
3:int j = 1, i = 1
4:while  ( j E )  do
5:    Generate a random number R3
6:         if  ( R 3 p ( X i ) )   then
7:             if  ( R 4 p m )   then
8:                Select candidate solution X k from the feasible archive randomly
9:             else
  10:                Select candidate solution X k from the infeasible archive randomly
  11:             end if
  12:        Produce a new food source according to Equation (10)
  13:        if the new food source superior to the previous one then
  14:            Update the food source and T r i a l i = 0
  15:         else
  16:              T r i a l i = T r i a l i + 1
  17:         end if
  18:        Increment j by 1
  19:     end if
  20:    Increment i by 1
  21:    if i > E then
  22:        i = 1
  23:     end if
  24:end while
  25:Output: updated food sources
A parameter R 3 , which is also a uniformly distributed random number within the range [0, 1], is generated first. If R 3 p ( X i ) , the food source X i is selected by the onlookers and updated using Equation (10). The way of updating the food source is the same as in the phase where employed bees are sent. This phase is repeated until all the onlookers have completed their search.

5.5. Send Scouts

The pseudocode for sending scout bees is shown in Algorithm 5. After the exploration stages of employed bees and onlooker bees, the updated Trial value for each food source is obtained. If a food source has a Trial value greater than the maximum number of trials MaxTrial, it will be abandoned, and a new food source will be generated randomly by Equation (7).
Algorithm 5: Sending Scout Bees
1:Input: food sources, optimization model, MaxTrial
2:for i = 1 to E do
3:    if (TrialiMaxTrial) then
4:        for j = 1 to n do
5:            Calculate xij according to Equation (7)
6:         end for
7:    Triali = 0
8:     end if
9:end for
  10:Output: updated food sources

5.6. Update External Archive

The pseudocode for updating archives is shown in Algorithm 6. After all the honey bees complete their exploration, the food sources are updated. Similarly to the phase of establishing external archives, the updated food sources are classified as feasible and infeasible solutions based on Deb’s rules and are added to temp3 and temp4, respectively. According to the Pareto dominance relationship, the Pareto-optimal solutions are then selected and pushed into Npop1 and Npop2.
Algorithm 6: Updating Archives
1:Input: food sources, external archives, Num
2:for i = 1 to E do
3:    Classify updated food source into feasible and infeasible solution sets temp3 and temp4 based on Deb’s rules
4:end for
5:Establish new Pareto-optimal feasible and infeasible solution sets Npop1 and Npop2 based on Pareto dominance relationship
6:Merge new Pareto-optimal feasible Npop1 and infeasible solution set Npop2 with Rpop1 and Rpop2, respectively.
7:Update Paret-optimal feasible and infeasible solution sets Rpop1 and Rpop2 based on Pareto dominance relationship
8:while (the size of Rpop1 > Num) do
9:    Compute crowding distance for each candidate solution of Rpop1 according to Equation (12) select candidate solution X k from the infeasible archive randomly
  10:    Delete the candidate solution with smallest crowding distance
  11:end while
  12:while (the size of Rpop2 > Num) do
  13:    Delete the candidate solution with largest value of constraint violation function according to Equation (8)
  14:end while
  15:Output: updated archives
Subsequently, we merge Npop1 with Rpop1 and Npop2 with Rpop2. We employ the Pareto dominance relationship again, and new sets of Pareto-optimal solutions Rpop1 and Rpop2 are established.
As the number of iterations increases, more and more Pareto-optimal solutions will be found. Once the archive size exceeds the predetermined maximum archive size Num, the archive needs to be trimmed using either the crowding distance or the value of the constraint violation function.
For the external archive of feasible solutions Rpop1, the crowding distances of X i are calculated as follows [24]:
d i s ( X i ) = q = 1 M d i c ( X i , q ) 2
where   d i c ( X i , q ) = ( 2 ( f q ( I + 1 ) f q ( I ) ) ( f q max f q min ) ) 2 ,                                   I = 1 ( 2 ( f q ( I ) f q ( I 1 ) ) ( f q max f q min ) ) 2 ,                             I = 2 , , E
and I is the serial number of the particular solution X i in the new sequence, which is sorted in ascending order with the qth objective function value. f q max and f q min are the maximum and minimum objective function values of the qth objective function, respectively. d i c ( X i , q ) is the qth component value of the crowding distance of X i .
The solution with the smallest crowding distance is discarded first. If the size of Rpop1 remains larger than Num, the crowding distances of all solutions are recalculated for the new Rpop1, and the solution with the smallest crowding distance is discarded repeatedly until the size of Rpop1 equals Num. For the external archive of infeasible solutions Rpop2, the solution with the largest constraint violation function value is discarded. If the size of the updated Rpop2 still exceeds Num, solutions with the largest constraint violation function value are discarded until the size of Rpop2 equals Num. After this trimming process, the external archives Rpop1 and Rpop2 are updated.

5.7. Termination

The multi-objective ABC algorithm terminates after a predetermined maximum number of iterations Maxcycle. If the termination criterion is met, the optimization process stops, and the external archive Rpop1 will be output. Otherwise, the process returns to Step 5.3.

6. Process Parameter Optimization of AAJ Machining

In order to verify the effectiveness of the proposed ABC algorithm for AAJ machining process parameter optimization, a case study was carried out. The AAJ optimization model is shown in Equation (6).
The machining depth constraints considered in this case are given by Equations (14) and (15):
130 D 0
D 160 0
The bounds on the process parameters are expressed by Equations (16)–(18):
0.3   MPa P 0.6   MPa
0.5   mm S O D 2   mm
1.4   mm / s u 5.3   mm / s
The control parameters selected are as follows: the food source size E is set as 20, the maximum number of iterations Maxcycle is set as 500, the food source maximum number of trials MaxTrial is set as 60, the selection probability of the feasible solution set pm is set as 0.2, and the capacity of the external archive Num is set as 100.
The obtained Pareto-optimal solutions, which are non-dominated by any other solution, according to the proposed ABC algorithm, are shown in Table 7. It can be seen from Table 7 that the ranges of MRR, W, and D are 1.09–1.73 g/s, 983.7–1045.8 μm, and 130–160 μm, respectively. The range of 983.7–1045.8 μm indicates an achievable processing resolution with a non-inferior material removal rate of 1.09–1.73 g/s. This provides a basis for predicting whether AAJ machining technology can meet the required processing efficiency and machining resolution. The ranges of optimal machining parameters are P of 0.48–0.6 MPa, SOD of 0.5–1.37 mm, and u of 3.26–4.62 mm/s. A set of AAJ machining process parameters falling in these regions may be an optimum selection to meet the requirements for MRR, W, and D.
The Pareto fronts are plotted in Figure 9. It can be seen that the minimum W with the minimum MRR can be obtained at point A. On the other hand, the maximum MRR can be obtained at point B, where W is also at its maximum. The points between A and B are also feasible solutions, representing trade-offs between maximizing MRR and minimizing W. These solutions are equally good, and any of them can be selected to achieve optimal objectives. The selection of the optimal solution depends on the engineering requirement and the personal preferences of the operator.
The machining results before and after optimization are compared to further illustrate the effectiveness of the ABC algorithm. Based on the process parameter combination with P of 0.6 MPa, SOD of 0.5 mm, and u of 4 mm/s, described in Section 2, the machining results are as follows: MRR is 1.3742 g/s, W is 1010.2 μm, and D is 149.15 μm. After ABC optimization, an optimal combination of process parameters was obtained (No. 15). It is clear that the MRR could be increased by 9.41% while maintaining nearly the same W and without violating any constraints. Thus, the Pareto-optimal solution set obtained by the ABC algorithm provides effective guidance for selecting optimal process parameters to meet technical requirements.

7. Conclusions

A multi-objective process parameter optimization for AAJ machining of silicon was achieved based on experiments, regression analysis, and the artificial bee colony algorithm.
  • The main effects of process parameters on machining performance metrics have been analyzed. The results indicate that the influence of process parameters on machining performance metrics differs. There is a conflict between maximizing MRR and minimizing W. A multi-objective optimization method is necessary to identify a set of optimal process parameters for obtaining maximum MRR and minimum W while controlling D;
  • A multi-objective optimization model was established by regression analysis. The artificial bee colony algorithm was proposed to solve the optimization problem, and a set of Pareto-optimal solutions was obtained. It has been proven that the ABC algorithm is an effective approach for abrasive air jet machining process parameter optimization.

Author Contributions

Conceptualization, X.F. and Q.L.; methodology, X.F. and Q.L.; validation, X.F. and Q.L.; formal analysis, X.F. and Q.L.; investigation, X.F. and H.Y.; resources, X.F. and Q.L.; data curation, X.F. and Q.L.; writing—original draft preparation, X.F. and H.Y.; writing—review and editing, Q.L. and H.Y.; visualization, X.F.; supervision, Q.L. and W.Z.; project administration, Q.L. and W.Z.; funding acquisition, Q.L. and W.Z. All authors have read and agreed to the published version of the manuscript.

Funding

This research was funded by National Natural Science Foundation of China (grant number 32102141).

Data Availability Statement

The data presented in this study are available on request from the corresponding author.

Conflicts of Interest

The authors declare no conflicts of interest.

References

  1. Melentiev, R. Physical theories of solid particle erosion and abrasive jet wear. J. Manuf. Process. 2023, 106, 422–452. [Google Scholar] [CrossRef]
  2. Wang, J.; Moridi, A.; Mathew, P. Micro-grooving on quartz crystals by an abrasive air jet. Proc. Inst. Mech. Eng. Part C J. Mech. Eng. Sci. 2011, 225, 2161–2173. [Google Scholar] [CrossRef]
  3. Qi, H.; Fan, J.; Wang, J.; Li, H. On the erosion process on quartz crystals by the impact of multiple high-velocity micro-particles. Tribol. Int. 2016, 95, 462–474. [Google Scholar] [CrossRef]
  4. Li, H.Z.; Wang, J.; Fan, J.M. Analysis and modelling of particle velocities in micro-abrasive air jet. Int. J. Mach. Tools Manuf. 2009, 49, 850–858. [Google Scholar] [CrossRef]
  5. Fan, J.M.; Li, H.Z.; Wang, J. A study of the flow characteristics in micro-abrasive jets. Exp. Therm. Fluid. Sci. 2011, 35, 1097–1106. [Google Scholar] [CrossRef]
  6. Wang, Z.; Li, H.N.; Yu, T.B.; Chen, H.; Zhao, J. On the predictive modelling of machined surface topography in abrasive air jet polishing of quartz glass. Int. J. Mech. Sci. 2019, 152, 1–18. [Google Scholar] [CrossRef]
  7. Melentiev, R.; Fang, F. Fabrication of micro-channels on Co-Cr-Mo joints by micro-abrasive jet direct writing. J. Manuf. Process. 2020, 56, 667–677. [Google Scholar] [CrossRef]
  8. Kang, C.; Liang, F.; Shen, G.; Wu, D.; Fang, F. Study of micro-dimples fabricated on alumina-based ceramics using micro-abrasive jet machining. J. Mater. Process. Technol. 2021, 297, 117181. [Google Scholar] [CrossRef]
  9. Jafar, R.H.M.; Spelt, J.K.; Papini, M. Numerical simulation of surface roughness and erosion rate of abrasive jet micro-machined channels. Wear 2013, 303, 302–312. [Google Scholar] [CrossRef]
  10. Jafar, R.H.M.; Spelt, J.K.; Papini, M. Surface roughness and erosion rate of abrasive jet micro-machined channels: Experiments and analytical model. Wear 2013, 303, 138–145. [Google Scholar] [CrossRef]
  11. Zhang, G.; Sun, Y.; Gao, H.; Zuo, D.; Liu, X. A theoretical and experimental investigation of particle embedding and erosion behaviour of PDMS in micro-abrasive air-jet machining. Wear 2021, 486–487, 204118. [Google Scholar] [CrossRef]
  12. Luo, X.; Palumbo, J.; Papini, M.; Spelt, J.K. Aerodynamic focusing of an abrasive air jet and its effect on machining resolution. Int. J. Mach. Tools Manuf. 2019, 143, 92–106. [Google Scholar] [CrossRef]
  13. Jain, N.K.; Jain, V.K.; Deb, K. Optimization of process parameters of mechanical type advanced machining processes using genetic algorithms. Int. J. Mach. Tools Manuf. 2007, 47, 900–919. [Google Scholar] [CrossRef]
  14. Nassef, A.; Elkaseer, A.; Abdelnasser, E.S.; Negm, M.; Abu Qudeiri, J. Abrasive jet drilling of glass sheets: Effect and optimisation of process parameters on kerf taper. Adv. Mech. Eng. 2018, 10, 1687814017748435. [Google Scholar] [CrossRef]
  15. Karaboga, D.; Basturk, B. On the performance of artificial bee colony (ABC) algorith. Appl. Soft. Comput. 2008, 8, 687–697. [Google Scholar] [CrossRef]
  16. Wang, H.; Xiao, D.; Rahnamayan, S.; Li, W.; Zhao, J. Artificial bee colony algorithm based on multiple indicators for many-objective optimization with irregular Pareto fronts. Expert. Sys. Appl. 2025, 262, 125613. [Google Scholar] [CrossRef]
  17. Karaboga, D.; Akay, B. A modified Artificial Bee Colony (ABC) algorithm for constrained optimization problems. Appl. Soft. Comput. 2011, 11, 3021–3031. [Google Scholar] [CrossRef]
  18. Karaboga, D.; Ozturk, C.; Karaboga, N.; Gorkemli, B. Artificial bee colony programming for symbolic regression. Inf. Sci. Comput. 2012, 209, 1–15. [Google Scholar] [CrossRef]
  19. Montgomery, D.C.; Kowalski, S.M. Design and Analysis of Experiments: Minitab Companion; Wiley: New York, NY, USA, 2012. [Google Scholar]
  20. Akbari, R.; Hedayatzadeh, R.; Ziarati, K.; Hassanizadeh, B. A multi-objective artificial bee colony algorithm. Swarm. Evol. Comput. 2012, 2, 39–52. [Google Scholar] [CrossRef]
  21. Comert, S.E.; Yazgan, H.R. A new approach based on hybrid ant colony optimization-artificial bee colony algorithm for multi-objective electric vehicle routing problems. Eng. Appl. Artif. Intell. 2023, 123, 106375. [Google Scholar] [CrossRef]
  22. Qu, B.Y.; Suganthan, P.N. Constrained multi-objective optimization algorithm with diversity enhanced differential evolution. In Proceedings of the IEEE Congress on Evolutionary Computation, Barcelona, Spain, 18–23 July 2010; Volume 5, pp. 1–5. [Google Scholar] [CrossRef]
  23. Kishor, A.; SinghJain, P.K.; Prakash, J. NSABC: Non-dominated sorting based multi-objective artificial bee colony algorithm and its application in data clustering. Neurocomputing 2016, 216, 514–533. [Google Scholar] [CrossRef]
  24. Zhang, R.; Chang, P.C.; Song, S.; Wu, C. A multi-objective artificial bee colony algorithm for parallel batch-processing machine scheduling in fabric dyeing processes. Knowl.-Based Syst. 2017, 116, 114–129. [Google Scholar] [CrossRef]
Figure 1. Abrasive air jet setup.
Figure 1. Abrasive air jet setup.
Machines 13 00964 g001
Figure 2. Microscope imaging of the AAJ machining of the micro-channel (P = 0.6 MPa, SOD = 1.5 mm, and u = 4 mm/s): (a) 3D measured plot of the micro-channel; (b) cross-sectional profile of the micro-channel.
Figure 2. Microscope imaging of the AAJ machining of the micro-channel (P = 0.6 MPa, SOD = 1.5 mm, and u = 4 mm/s): (a) 3D measured plot of the micro-channel; (b) cross-sectional profile of the micro-channel.
Machines 13 00964 g002
Figure 3. Main effect of process parameters on machining performance metrics: (a) main effect of process parameters on material removal rate; (b) main effect of machining parameters on machining width; (c) main effect of machining parameters on machining depth.
Figure 3. Main effect of process parameters on machining performance metrics: (a) main effect of process parameters on material removal rate; (b) main effect of machining parameters on machining width; (c) main effect of machining parameters on machining depth.
Machines 13 00964 g003
Figure 4. Interactive effect of process parameters on the material removal rate: (a) influence of interaction between air pressure and standoff distance on the material removal rate; (b) influence of interaction between air pressure and nozzle traverse speed on the material removal rate; (c) influence of interaction between standoff distance and nozzle traverse speed on the material removal rate.
Figure 4. Interactive effect of process parameters on the material removal rate: (a) influence of interaction between air pressure and standoff distance on the material removal rate; (b) influence of interaction between air pressure and nozzle traverse speed on the material removal rate; (c) influence of interaction between standoff distance and nozzle traverse speed on the material removal rate.
Machines 13 00964 g004
Figure 5. Interactive effect of process parameters on the machining width: (a) influence of interaction between air pressure and standoff distance on the machining width; (b) influence of interaction between air pressure and nozzle traverse speed on the machining width; (c) influence of interaction between standoff distance and nozzle traverse speed on the machining width.
Figure 5. Interactive effect of process parameters on the machining width: (a) influence of interaction between air pressure and standoff distance on the machining width; (b) influence of interaction between air pressure and nozzle traverse speed on the machining width; (c) influence of interaction between standoff distance and nozzle traverse speed on the machining width.
Machines 13 00964 g005
Figure 6. Interactive effect of process parameters on the machining depth: (a) influence of interaction between air pressure and standoff distance on the machining depth; (b) influence of interaction between air pressure and nozzle traverse speed on the machining depth; (c) influence of interaction between standoff distance and nozzle traverse speed on the machining depth.
Figure 6. Interactive effect of process parameters on the machining depth: (a) influence of interaction between air pressure and standoff distance on the machining depth; (b) influence of interaction between air pressure and nozzle traverse speed on the machining depth; (c) influence of interaction between standoff distance and nozzle traverse speed on the machining depth.
Machines 13 00964 g006
Figure 7. Normal probability plot of residuals for regression models: (a) normal probability plot of residuals for the material removal rate model; (b) normal probability plot of residuals for the machining width model; (c) normal probability plot of residuals for the machining depth model.
Figure 7. Normal probability plot of residuals for regression models: (a) normal probability plot of residuals for the material removal rate model; (b) normal probability plot of residuals for the machining width model; (c) normal probability plot of residuals for the machining depth model.
Machines 13 00964 g007
Figure 8. Flowchart of multi-objective ABC algorithm.
Figure 8. Flowchart of multi-objective ABC algorithm.
Machines 13 00964 g008
Figure 9. Pareto-optimal front obtained with multi-objective ABC algorithm.
Figure 9. Pareto-optimal front obtained with multi-objective ABC algorithm.
Machines 13 00964 g009
Table 1. Input process parameters and their levels for AAJ machining of silicon.
Table 1. Input process parameters and their levels for AAJ machining of silicon.
Process ParametersLevel 1Level 2Level 3Level 4
Air pressure P (MPa)0.30.40.50.6
Standoff distance SOD (mm)0.51.01.52.0
Nozzle traverse speed u (mm/s)1.42.74.05.3
Table 2. Major mechanical properties of the specimen.
Table 2. Major mechanical properties of the specimen.
Mechanical PropertyValue
Density (kg/m3)2329
Elastic modulus (GPa)131
Vickers hardness (GPa)10
Fracture toughness (MPa·m1/2)1
Table 3. ANOVA results for material removal rate.
Table 3. ANOVA results for material removal rate.
SourceDFAdj SSAdj MSFp
Model712.15461.7363638.700.000
SOD11.36641.3663530.460.000
u10.87240.8724019.450.000
SOD210.97870.9787021.820.000
u210.74950.7495316.710.000
P × SOD14.35724.3572497.130.000
u310.66820.6681714.890.000
P × SOD212.10962.1096447.030.000
Residual562.51230.04486
Total6314.6668
DF: degree of freedom; Adj SS: adjusted sum of squares; Adj MS: adjusted mean of square; F: F-ratio; p: percentage of contribution.
Table 4. ANOVA results for machining width.
Table 4. ANOVA results for machining width.
SourceDFAdj SSAdj MSFp
Model5134,43226,886.4103.200.000
P2114811481.15.680.020
P × SOD124,95924,958.795.800.000
P × u117,94417,943.868.880.000
P2 × SOD111,97611,976.245.970.000
P2 × u194099409.536.120.000
Residual5815,110260.5
Total63149,542
DF: degree of freedom; Adj SS: adjusted sum of squares; Adj MS: adjusted mean of square; F: F-ratio; p: percentage of contribution.
Table 5. ANOVA results for machining depth.
Table 5. ANOVA results for machining depth.
SourceDFAdj SSAdj MSFp
Model7334,52447,789.182.410.00
SOD127352734.54.720.03
P2178027801.813.450.00
u2181898189.514.120.00
P × SOD131043103.55.350.02
P × u120142013.63.470.07
u3184368435.614.550.00
P × u2146914690.78.090.01
Residual5632,472579.9
Total63366,996
DF: degree of freedom; Adj SS: adjusted sum of squares; Adj MS: adjusted mean of square; F: F-ratio; p: percentage of contribution.
Table 6. Comparison of measured and predicted results.
Table 6. Comparison of measured and predicted results.
No.P
(MPa)
SOD
(mm)
u
(mm/s)
MeasuredPredictedError(%)
MRR
(g/s)
W
(μm)
D
(μm)
MRR
(g/s)
W
(μm)
D
(μm)
MRRWD
10.451.83.81.121078.994.61.171052.492.44.99−2.46−2.33
20.5513.51.601029.5153.81.581025.4159.3−1.13−0.403.57
Table 7. Optimization results with multi-objective ABC algorithm.
Table 7. Optimization results with multi-objective ABC algorithm.
No.P
(MPa)
SOD
(mm)
u
(mm/s)
MRR
(g/s)
W
(μm)
D
(μm)
10.60000.76354.51441.491015.9132.2
20.54790.72913.74111.381007.0146.9
30.48790.50003.28611.11985.7141.7
40.49880.50003.54551.09983.7133.0
50.57840.53374.36931.22998.9131.9
60.57601.36183.70551.731045.8155.6
70.57331.12393.75981.671033.2154.4
80.59630.50004.61821.221002.0130.2
90.56821.37013.76971.681044.0147.5
100.56450.79773.82211.471014.1150.5
110.55350.94843.67411.541021.0151.2
120.51340.51503.26821.20993.3157.5
130.56060.50003.82541.21998.0152.2
140.50300.79053.55291.291002.1132.7
150.53260.85003.68111.401010.4140.6
160.57821.12134.15631.621029.1133.8
170.55040.66313.71941.341004.6150.4
180.55640.73373.80881.401008.7147.6
Disclaimer/Publisher’s Note: The statements, opinions and data contained in all publications are solely those of the individual author(s) and contributor(s) and not of MDPI and/or the editor(s). MDPI and/or the editor(s) disclaim responsibility for any injury to people or property resulting from any ideas, methods, instructions or products referred to in the content.

Share and Cite

MDPI and ACS Style

Fan, X.; Li, Q.; Zhang, W.; Yin, H. Multi-Objective Process Parameter Optimization for Abrasive Air Jet Machining Using Artificial Bee Colony Algorithm. Machines 2025, 13, 964. https://doi.org/10.3390/machines13100964

AMA Style

Fan X, Li Q, Zhang W, Yin H. Multi-Objective Process Parameter Optimization for Abrasive Air Jet Machining Using Artificial Bee Colony Algorithm. Machines. 2025; 13(10):964. https://doi.org/10.3390/machines13100964

Chicago/Turabian Style

Fan, Xiaozhi, Quanlai Li, Weipeng Zhang, and Haonan Yin. 2025. "Multi-Objective Process Parameter Optimization for Abrasive Air Jet Machining Using Artificial Bee Colony Algorithm" Machines 13, no. 10: 964. https://doi.org/10.3390/machines13100964

APA Style

Fan, X., Li, Q., Zhang, W., & Yin, H. (2025). Multi-Objective Process Parameter Optimization for Abrasive Air Jet Machining Using Artificial Bee Colony Algorithm. Machines, 13(10), 964. https://doi.org/10.3390/machines13100964

Note that from the first issue of 2016, this journal uses article numbers instead of page numbers. See further details here.

Article Metrics

Back to TopTop