Effect of Cutting Tool Structures on CFRP Interlaminar Drilling
Abstract
1. Introduction
2. Experimental Design
2.1. Materials and Equipment
2.2. Damage Assessment
3. Results and Discussion
3.1. Axial Force Induced by the Tool Structure Characteristics
3.2. Outlet Damage Induced by the Tool Structures
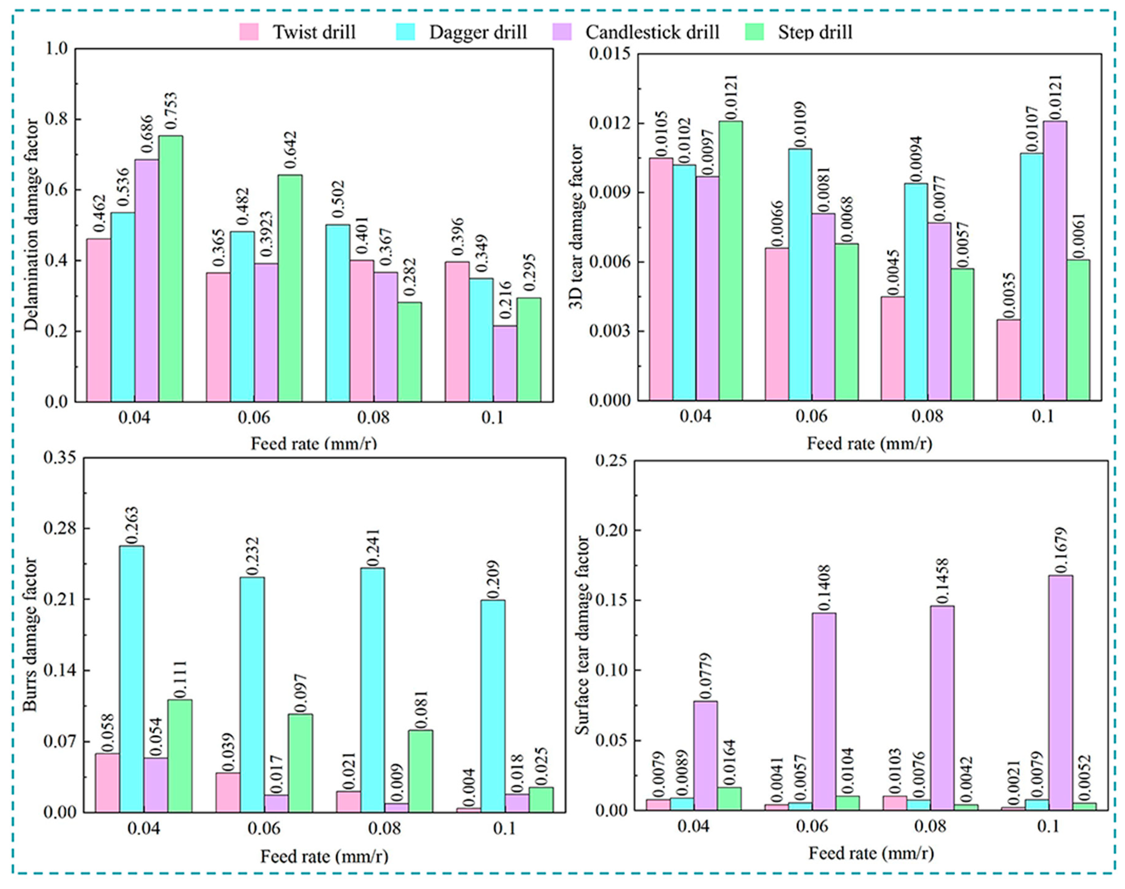
3.3. Effect of Machining Parameters on CFRP Interlaminar Drilling
3.3.1. Axial Force During CFRP Interlaminar Drilling
3.3.2. Material Damage During CFRP Interlaminar Drilling
3.4. Optimization of Process Parameters
4. Conclusions
- (1)
- During the interlaminar drilling process of CFRPs, the axial force time-varying response curve is highly susceptible to the geometric structure of the tool tip. Under the same machining condition (n = 2000 r/min, f = 0.06 mm/r), the peak axial forces of the four types of drills are in the order of dagger drill (126.45 N) > candlestick drill (120.93 N) > twist drill (111.83 N) > step drill (99.62 N).
- (2)
- The axial force generated by the four different drills increases with the increase in feed rate. The candlestick drill is most affected by the feed rate, while the twist drill is the least. The peak axial force induced by the four different drills increases with the increase in spindle speed, but the dagger drill shows a trend of first decreasing and then increasing with the increase in spindle speed and reaches its minimum value at the spindle speed of 3000 r/min.
- (3)
- Under the same machining condition, the types of damage produced by the dagger drill and candlestick drill are mainly burrs and large areas of surface tear damage, respectively. But the 3D tear damage produced by twist drills and step drills is more obvious.
- (4)
- The comprehensive damage factor produced by twist drills is the least compared with the other tools, indicating that twist drills are more suitable for the CFRP interlaminar drilling. By constructing a mathematical prediction model for the peak axial force and comprehensive damage factor of CFRP interlaminar drilling, a process parameter optimization analysis is carried out. The optimal combination of process parameters for twist drills is a spindle speed of 4732.87 r/min and a feed rate of 0.137 mm/r.
Author Contributions
Funding
Data Availability Statement
Conflicts of Interest
References
- Sato, K.; Koita, T.; Inutsuka, M.; Yamaguchi, K.; Kimura, M.; Tokoro, C. Disassembly of laminated CFRP using direct pulsed discharge. Compos. Part B Eng. 2025, 297, 112301. [Google Scholar] [CrossRef]
- Fard, M.G.; Baseri, H.; Azami, A.; Zolfaghari, A. Prediction of delamination defects in drilling of carbon fiber reinforced polymers using a regression-based approach. Machines 2024, 12, 783. [Google Scholar] [CrossRef]
- Li, S.J.; Li, Q.Q.; Dai, L.Y.; Liang, W.Y.; Li, C.P.; Li, P.N.; Qiu, X.Y.; Ko, T.J. Formation mechanism of outlet damage in interlaminar drilling of CFRP. Int. J. Adv. Manuf. Technol. 2023, 129, 5117–5133. [Google Scholar] [CrossRef]
- Li, P.N.; Sun, J.; Li, J.; Zhang, R.Y.; Chen, G.Q. Study on drilling force and export defects of CFRP composites in RULTVD. J. Manuf. Process. 2025, 134, 880–890. [Google Scholar] [CrossRef]
- Seprős, S.; Markó, B.; Geier, N. Modelling of tool wear incorporating various feeds in micro-drilling of carbon fibre-reinforced polymer (CFRP) composites. Wear 2025, 574, 206086. [Google Scholar] [CrossRef]
- Li, Y.X.; Jiao, F.; Zhang, Z.Q.; Wang, X.; Niu, Y. Mechanical drilling force model for longitudinal ultrasonic vibration-assisted drilling of unidirectional CFRP. J. Mater. Process. Technol. 2023, 319, 118091. [Google Scholar] [CrossRef]
- Bi, G.J.; Wang, X.N.; Shi, Y.J.; Zhang, C.; Zhao, X.J. Numerical Investigation of the Impact of Processing Conditions on Burr Formation in Carbon Fiber-Reinforced Plastic (CFRP) Drilling with Multiscale Modeling. Materials 2025, 18, 1244. [Google Scholar] [CrossRef]
- Hassouna, A.; Mzali, S.; Mezlini, S.; Alrasheedi, N.H.; Hajlaoui, K. 3D micromechanical modeling of orthogonal hole saw cutting on CFRP composites. J. Thermoplast. Compos. 2024, 37, 3212–3237. [Google Scholar] [CrossRef]
- Xu, J.Y.; Li, C.; Mi, S.P.; An, Q.L.; Chen, M. Study of drilling-induced defects for CFRP composites using new criteria. Compos. Struct. 2018, 201, 1076–1087. [Google Scholar] [CrossRef]
- Qiu, X.Y.; Li, P.N.; Li, C.P.; Niu, Q.L.; Chen, A.H.; Ouyang, P.R.; Tae, J.K. Study on chisel edge drilling behavior and step drill structure on delamination in drilling CFRP. Compos. Struct. 2018, 203, 404–413. [Google Scholar] [CrossRef]
- Qiu, X.Y.; Li, P.N.; Niu, Q.L.; Chen, A.H.; Ouyang, P.R.; Li, C.P.; Tae, J.K. Influence of machining parameters and tool structure on cutting force and hole wall damage in drilling CFRP with stepped drills. Int. J. Adv. Manuf. Tech. 2018, 97, 857–865. [Google Scholar] [CrossRef]
- Jia, Z.Y.; Fu, R.; Niu, B.; Qian, B.W.; Bai, Y.; Wang, F.J. Novel drill structure for damage reduction in drilling CFRP composites. Int. J. Mach. Tool Manuf. 2016, 110, 55–65. [Google Scholar] [CrossRef]
- Su, F.; Chen, K.; Liu, X.; Zhang, K.; Ding, X. Research of bamboo rat tooth bionic bit structural design and cutting mechanism for CFRP drilling. Compos. Struct. 2024, 334, 117950. [Google Scholar] [CrossRef]
- Kim, D.; Ashrafi, S.A.; Shin, K.; Kim, T. Fiber pull-out damage formations and their effect on hole quality when drilling carbon fiber reinforced plastic (CFRP) composites using various tool geometries. Mech. Sci. Technol. 2023, 37, 4271–4280. [Google Scholar] [CrossRef]
- Li, S.J.; Dai, L.Y.; Li, C.P.; Chen, R.; Qiu, X.Y.; Li, P.N.; Ko, T.J. Prediction model of chisel edge thrust force and material damage mechanism for interlaminar-direction drilling of UD-CFRP composite laminates. Compos. Struct. 2022, 298, 116023. [Google Scholar] [CrossRef]
- Geier, N.; Szalay, T.; Takács, M. Analysis of thrust force and characteristics of uncut fibres at non-conventional oriented drilling of unidirectional carbon fibre-reinforced plastic (UD-CFRP) composite laminates. Int. J. Adv. Manuf. Technol. 2019, 100, 3139–3154. [Google Scholar] [CrossRef]
- Shunmugesh, K.; Panneerselvam, K. Machinability study of Carbon Fiber Reinforced Polymer in the longitudinal and transverse direction and optimization of process parameters using PSO–GSA. Eng. Sci. Technol. Int. J. 2016, 19, 1552–1563. [Google Scholar] [CrossRef][Green Version]
- Davim, P.J.; Rubio, C.J.; Abrao, A.M. A novel approach based on digital image analysis to evaluate the delamination factor after drilling composite laminates. Compos. Sci. Technol. 2007, 67, 1939–1945. [Google Scholar] [CrossRef]
- Khashaba, U.A. A novel approach for characterization of delamination and burr areas in drilling FRP composites. Compos. Struct. 2022, 290, 115534. [Google Scholar] [CrossRef]
- Voß, R.; Henerichs, M.; Rupp, S.; Kuster, F.; Wegener, K. Evaluation of bore exit quality for fibre reinforced plastics including delamination and uncut fibres. CIRP J. Manuf. Sci. Technol. 2016, 12, 56–66. [Google Scholar] [CrossRef]
- Liu, L.P.; Qi, C.L.; Wu, F.; Zhang, X.F.; Zhu, X.M. Analysis of thrust force and delamination in drilling GFRP composites with candle stick drills. Int. J. Adv. Manuf. Tech. 2018, 95, 2585–2600. [Google Scholar] [CrossRef]
- Zhang, B.Y.; Wang, F.J.; Wang, Q.; Zhao, X. Novel fiber fracture criteria for revealing forming mechanisms of burrs and cracking at hole-exit in drilling Carbon Fiber Reinforced Plastic. J. Mater. Process. Technol. 2021, 289, 116934. [Google Scholar] [CrossRef]












| Parameter | Value |
|---|---|
| Fiber volume fraction, Vf (%) | 60 |
| Poisson’s ratio, vf | 0.25 |
| Longitudinal Young’s modulus, Ex (GPa) | 230 |
| Lateral Young’s modulus, Ey (GPa) | 15 |
| Longitudinal tensile strength, Xt (MPa) | 1347 |
| Lateral tensile strength, Yt (MPa) | 68.9 |
| Longitudinal compressive strength, Xc (MPa) | 1277 |
| Lateral compressive strength, Yc (MPa) | 112 |
| Number | Spindle Speed (r/min) | Feed Rate (mm/r) | Cutting Speed (m/min) | Feed per Tooth (mm/z) |
|---|---|---|---|---|
| 1 | 2000 | 0.04 | 0.08 | 0.02 |
| 2 | 2000 | 0.06 | 0.12 | 0.03 |
| 3 | 2000 | 0.08 | 0.16 | 0.04 |
| 4 | 2000 | 0.10 | 0.20 | 0.05 |
| 5 | 3000 | 0.04 | 0.12 | 0.02 |
| 6 | 3000 | 0.06 | 0.18 | 0.03 |
| 7 | 3000 | 0.08 | 0.24 | 0.04 |
| 8 | 3000 | 0.10 | 0.30 | 0.05 |
| 9 | 4000 | 0.04 | 0.16 | 0.02 |
| 10 | 4000 | 0.06 | 0.24 | 0.03 |
| 11 | 4000 | 0.08 | 0.32 | 0.04 |
| 12 | 4000 | 0.10 | 0.40 | 0.05 |
| 13 | 5000 | 0.04 | 0.20 | 0.02 |
| 14 | 5000 | 0.06 | 0.30 | 0.03 |
| 15 | 5000 | 0.08 | 0.40 | 0.04 |
| 16 | 5000 | 0.10 | 0.50 | 0.05 |
| Number | Spindle Speed (r/min) | Feed Rate (mm/r) | Peak Axial Force (N) | Comprehensive Damage Factor |
|---|---|---|---|---|
| 1 | 2000 | 0.04 | 101.9 | 0.19588 |
| 2 | 2000 | 0.06 | 111.83 | 0.1802 |
| 3 | 2000 | 0.08 | 118.38 | 0.16662 |
| 4 | 2000 | 0.10 | 125.86 | 0.16642 |
| 5 | 3000 | 0.04 | 111.43 | 0.22425 |
| 6 | 3000 | 0.06 | 122.84 | 0.16715 |
| 7 | 3000 | 0.08 | 124.43 | 0.15261 |
| 8 | 3000 | 0.10 | 128.12 | 0.12791 |
| 9 | 4000 | 0.04 | 113.12 | 0.17691 |
| 10 | 4000 | 0.06 | 123.61 | 0.14768 |
| 11 | 4000 | 0.08 | 131.51 | 0.14302 |
| 12 | 4000 | 0.10 | 134.21 | 0.14053 |
| 13 | 5000 | 0.04 | 112.86 | 0.25629 |
| 14 | 5000 | 0.06 | 128.73 | 0.19158 |
| 15 | 5000 | 0.08 | 136.05 | 0.17579 |
| 16 | 5000 | 0.10 | 143.2 | 0.11707 |
| Parameter | Sum of Squares | Degree of Freedom | Mean Square Value | F | p | Evaluate |
|---|---|---|---|---|---|---|
| Model | 1710.4513 | 5 | 342.090258 | 55.836237 | 0.000001 | Significant |
| n | 13.2497 | 1 | 13.249746 | 2.162634 | 0.172154 | |
| f | 74.5601 | 1 | 74.560055 | 12.16975 | 0.005837 | |
| n2 | 6.8382 | 1 | 6.838225 | 1.11614 | 0.315605 | |
| nf | 15.6975 | 1 | 15.697474 | 2.562154 | 0.140532 | |
| f2 | 44.4890 | 1 | 44.488951 | 7.261521 | 0.022516 | |
| Residual error | 61.2667 | 10 | 6.126671 | |||
| Total variance | 1771.7180 | 15 |
| Parameter | Sum of Squares | Degree of Freedom | Mean Square Value | F | p | Evaluate |
|---|---|---|---|---|---|---|
| Model | 0.0152 | 5 | 0.003037 | 8.62794 | 0.002144 | Significant |
| n | 0.0006 | 1 | 0.000571 | 1.621182 | 0.231728 | |
| f | 0.0003 | 1 | 0.000265 | 0.753954 | 0.405584 | |
| n2 | 0.0018 | 1 | 0.001802 | 5.118446 | 0.047176 | |
| nf | 0.0016 | 1 | 0.001619 | 4.598887 | 0.057596 | |
| f2 | 0.0004 | 1 | 0.000406 | 1.153697 | 0.30801 | |
| Residual error | 0.0035 | 10 | 0.000352 | |||
| Total variance | 0.0187 | 15 |
| Parameter | Value |
|---|---|
| Standard deviation | 10.8681 |
| Average value | 123.0050 |
| Coefficient of variation | 0.0884 |
| Coefficient R2 | 0.9654 |
| Adjust R2 | 0.9481 |
| Predict R2 | 0.7830 |
| Signal-to-noise ratio | 14.4589 |
| Parameter | Value |
|---|---|
| Standard deviation | 0.0353 |
| Average value | 0.1706 |
| Coefficient of variation | 0.2070 |
| Coefficient R2 | 0.8118 |
| Adjust R2 | 0.7177 |
| Predict R2 | 0.3509 |
| Signal-to-noise ratio | 6.3488 |
Disclaimer/Publisher’s Note: The statements, opinions and data contained in all publications are solely those of the individual author(s) and contributor(s) and not of MDPI and/or the editor(s). MDPI and/or the editor(s) disclaim responsibility for any injury to people or property resulting from any ideas, methods, instructions or products referred to in the content. |
© 2025 by the authors. Licensee MDPI, Basel, Switzerland. This article is an open access article distributed under the terms and conditions of the Creative Commons Attribution (CC BY) license (https://creativecommons.org/licenses/by/4.0/).
Share and Cite
Yang, P.; Li, Q.; Li, S.; Li, P.; Chang, T. Effect of Cutting Tool Structures on CFRP Interlaminar Drilling. Machines 2025, 13, 919. https://doi.org/10.3390/machines13100919
Yang P, Li Q, Li S, Li P, Chang T. Effect of Cutting Tool Structures on CFRP Interlaminar Drilling. Machines. 2025; 13(10):919. https://doi.org/10.3390/machines13100919
Chicago/Turabian StyleYang, Peng, Qingqing Li, Shujian Li, Pengnan Li, and Tengfei Chang. 2025. "Effect of Cutting Tool Structures on CFRP Interlaminar Drilling" Machines 13, no. 10: 919. https://doi.org/10.3390/machines13100919
APA StyleYang, P., Li, Q., Li, S., Li, P., & Chang, T. (2025). Effect of Cutting Tool Structures on CFRP Interlaminar Drilling. Machines, 13(10), 919. https://doi.org/10.3390/machines13100919
