Enhancing Yarn Quality Wavelength Spectrogram Analysis: A Semi-Supervised Anomaly Detection Approach with Convolutional Autoencoder
Abstract
1. Introduction
- Introduction of a semi-supervised anomaly detection method for WSG data utilizing a CAE. In contrast to traditional WSG anomaly detection techniques, this approach eliminates the need for extensive manual expertise and is not constrained by data labeling requirements.
- The method incorporates Kernel Density Estimation (KDE) in conjunction with grid search to establish a threshold value for identifying anomalies based on reconstruction errors. The adaptive nature of the threshold selection ensures effective anomaly detection across diverse datasets under varying process conditions.
- Comparative analysis reveals that, when compared to commonly utilized machine learning techniques, the proposed anomaly detection method exhibits superior performance in accurately identifying abnormal data within an unsupervised setting.
2. Related Works
2.1. Fault Diagnosis by Wavelet Spectrogram Analysis (WSA)
2.2. Anomaly Detection Methods for Industrial Data
3. Proposed Approach
3.1. Anomaly Detection Process
3.2. CAE
3.3. Prediction Error Calculation
3.4. Probability Density Estimation of Prediction Error
3.5. Anomaly Decision-Making
4. Experimental Procedure
4.1. Evaluation Metrics
- True Positive (TP): The actual category of the sample is positive, and the model correctly recognizes it as positive.
- False Negative (FN): The actual category of the sample is positive, but the model incorrectly identifies it as a negative class.
- False Positive (FP): The actual category of the sample is negative, but the model incorrectly identifies it as a positive class.
- True Negative (TN): The actual category of the sample is negative, and the model correctly identifies it as negative.
4.2. Case 1
4.2.1. Bearing Dataset
4.2.2. Experimental Setup
4.2.3. Experimental Results
4.3. Case 2
4.3.1. WSG Dataset
4.3.2. Experimental Setup
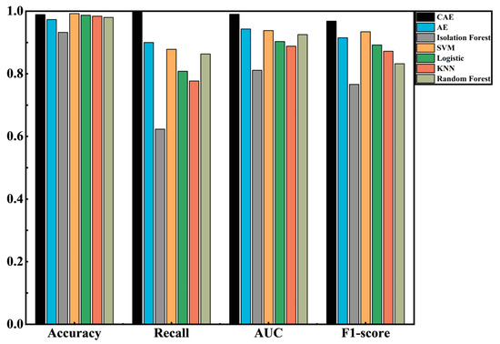
4.3.3. Experimental Results
5. Conclusions
- The semi-supervised anomaly detection method, grounded in CAE, outperforms conventional anomaly detection techniques. This model exhibits commendable performance across various evaluation metrics, including Accuracy, Recall, AUC, and F1-score.
- The proposed anomaly detection approach adeptly distinguishes between anomalous samples and normal samples within WSG data. However, due to the relatively intricate nature of anomaly detection applications, further analysis and validation will be conducted in subsequent work, particularly regarding scenarios involving the simultaneous occurrence of multiple faults or the linear superposition of normal data resulting in anomalous data.
- Owing to the fact that WSG data imply fault types, this method demonstrates superior interpretability compared to other machine learning techniques. In subsequent research, we shall delve into the machine learning fault diagnosis method predicated on WSG, building upon the detection outcomes of this study.
Author Contributions
Funding
Data Availability Statement
Conflicts of Interest
Nomenclature
| AE | Autoencoder |
| AUC | Area Under the Curve |
| CAE | Convolutional Autoencoder |
| CV% | Coefficient of Variation |
| KDE | Kernel Density Estimation |
| MSE | Mean Square Error |
| WSA | Wavelet Spectrogram Analysis |
| WSG | Wavelength Spectrogram |
References
- Barbariol, T.; Feltresi, E.; Susto, G.A. Self-Diagnosis of Multiphase Flow Meters through Machine Learning-Based Anomaly Detection. Energies 2020, 13, 3136. [Google Scholar] [CrossRef]
- Oh, D.Y.; Yun, I.D. Residual Error Based Anomaly Detection Using Auto-Encoder in SMD Machine Sound. Sensors 2018, 18, 1308. [Google Scholar] [CrossRef]
- Meng, Q.H.; Zhu, S.Y. Anomaly detection for construction vibration signals using unsupervised deep learning and cloud computing. Adv. Eng. Inform. 2023, 55, 101907. [Google Scholar] [CrossRef]
- Han, N.J.; Zhang, B.; Zhao, W.G.; Zhang, H. Truss bridge anomaly detection using quasi-static rotation response. J. Civ. Struct. Health Monit. 2022, 12, 579–591. [Google Scholar] [CrossRef]
- Dias, M.A.; da Silva, E.A.; de Azevedo, S.C.; Casaca, W.; Statella, T.; Negri, R.G. An Incongruence-Based Anomaly Detection Strategy for Analyzing Water Pollution in Images from Remote Sensing. Remote Sens. 2020, 12, 43. [Google Scholar] [CrossRef]
- Chander, B.; Kumaravelan, G. Outlier detection strategies for WSNs: A survey. J. King Saud Univ.-Comput. Inf. Sci. 2022, 34, 5684–5707. [Google Scholar] [CrossRef]
- Akoglu, L.; Tong, H.H.; Koutra, D. Graph based anomaly detection and description: A survey. Data Min. Knowl. Discov. 2015, 29, 626–688. [Google Scholar] [CrossRef]
- Cheng, Z.; Wang, S.W.; Zhang, P.; Wang, S.Q.; Liu, X.W.; Zhu, E. Improved autoencoder for unsupervised anomaly detection. Int. J. Intell. Syst. 2021, 36, 7103–7125. [Google Scholar] [CrossRef]
- Baradaran, M.; Bergevin, R. A critical study on the recent deep learning based semi-supervised video anomaly detection methods. Multimed. Tools Appl. 2023, 83, 27761–27807. [Google Scholar] [CrossRef]
- Samanta, B.; Al-Balushi, K.R. Artificial neural network based fault diagnostics of rolling element bearings using time-domain features. Mech. Syst. Signal Process. 2003, 17, 317–328. [Google Scholar] [CrossRef]
- Zhang, Q.; Huo, R.P.; Zheng, H.D.; Huang, T.; Zhao, J. A Fault Diagnosis Method With Bitask-Based Time- and Frequency-Domain Feature Learning. IEEE Trans. Instrum. Meas. 2023, 72, 3527211. [Google Scholar] [CrossRef]
- Rassam, M.A.; Zainal, A.; Maarof, M.A. Advancements of Data Anomaly Detection Research in Wireless Sensor Networks: A Survey and Open Issues. Sensors 2013, 13, 10087–10122. [Google Scholar] [CrossRef] [PubMed]
- Pang, G.S.; Shen, C.H.; Cao, L.B.; Van den Hengel, A. Deep Learning for Anomaly Detection: A Review. Acm Comput. Surv. 2021, 54, 38. [Google Scholar] [CrossRef]
- Ciprijanovic, A.; Lewis, A.; Pedro, K.; Madireddy, S.; Nord, B.; Perdue, G.N.; Wild, S.M. DeepAstroUDA: Semi-supervised universal domain adaptation for cross-survey galaxy morphology classification and anomaly detection. Mach. Learn.-Sci. Technol. 2023, 4, 025013. [Google Scholar] [CrossRef]
- Gao, X.J.; Huang, C.S.; Teng, S.; Chen, G.F. A Deep-Convolutional-Neural-Network-Based Semi-Supervised Learning Method for Anomaly Crack Detection. Appl. Sci. 2022, 12, 9244. [Google Scholar] [CrossRef]
- Santhosh, K.K.; Dogra, D.P.; Roy, P.P.; Mitra, A. Vehicular Trajectory Classification and Traffic Anomaly Detection in Videos Using a Hybrid CNN-VAE Architecture. IEEE Trans. Intell. Transp. Syst. 2022, 23, 11891–11902. [Google Scholar] [CrossRef]
- Tang, X.Y.; Xu, S.J.; Ye, H. Labeling Expert: A New Multi-Network Anomaly Detection Architecture Based on LNN-RLSTM. Appl. Sci. 2023, 13, 581. [Google Scholar] [CrossRef]
- Chow, J.K.; Su, Z.; Wu, J.; Tan, P.S.; Mao, X.; Wang, Y.H. Anomaly detection of defects on concrete structures with the convolutional autoencoder. Adv. Eng. Inform. 2020, 45, 101105. [Google Scholar] [CrossRef]
- Nicholaus, I.T.; Park, J.R.; Jung, K.; Lee, J.S.; Kang, D.K. Anomaly Detection of Water Level Using Deep Autoencoder. Sensors 2021, 21, 6679. [Google Scholar] [CrossRef]
- Esmaeili, F.; Cassie, E.; Nguyen, H.P.T.; Plank, N.O.V.; Unsworth, C.P.; Wang, A.L. Anomaly Detection for Sensor Signals Utilizing Deep Learning Autoencoder-Based Neural Networks. Bioengineering 2023, 10, 405. [Google Scholar] [CrossRef]
- Charte, D.; Charte, F.; García, S.; del Jesus, M.J.; Herrera, F. A practical tutorial on autoencoders for nonlinear feature fusion: Taxonomy, models, software and guidelines. Inf. Fusion 2018, 44, 78–96. [Google Scholar] [CrossRef]
- Chen, Y.S.; Lin, Z.H.; Zhao, X.; Wang, G.; Gu, Y.F. Deep Learning-Based Classification of Hyperspectral Data. IEEE J. Sel. Top. Appl. Earth Obs. Remote Sens. 2014, 7, 2094–2107. [Google Scholar] [CrossRef]
- Liu, Y.Z.; Li, Z.; Zhou, C.; Jiang, Y.C.; Sun, J.S.; Wang, M.; He, X.N. Generative Adversarial Active Learning for Unsupervised Outlier Detection. IEEE Trans. Knowl. Data Eng. 2020, 32, 1517–1528. [Google Scholar] [CrossRef]
- Cheng, D.H.; Fan, Y.C.; Fang, S.L.; Wang, M.T.; Liu, H. ResNet-AE for Radar Signal Anomaly Detection. Sensors 2022, 22, 6249. [Google Scholar] [CrossRef] [PubMed]
- Marimon, X.; Traserra, S.; Jiménez, M.; Ospina, A.; Benítez, R. Detection of Abnormal Cardiac Response Patterns in Cardiac Tissue Using Deep Learning. Mathematics 2022, 10, 2786. [Google Scholar] [CrossRef]
- Yu, J.B.; Liu, X.; Ye, L.J.N. Convolutional Long Short-Term Memory Autoencoder-Based Feature Learning for Fault Detection in Industrial Processes. IEEE Trans. Instrum. Meas. 2021, 70, 3505615. [Google Scholar] [CrossRef]
- Provotar, O.I.; Linder, Y.M.; Veres, M.M. Unsupervised Anomaly Detection in Time Series Using LSTM-Based Autoencoders. In Proceedings of the 2019 IEEE International Conference on Advanced Trends in Information Theory (ATIT), Kyiv, Ukraine, 18–20 December 2019; pp. 513–517. [Google Scholar]
- Yan, S.; Shao, H.D.; Xiao, Y.M.; Liu, B.; Wan, J.F. Hybrid robust convolutional autoencoder for unsupervised anomaly detection of machine tools under noises. Robot. Comput.-Integr. Manuf. 2023, 79, 102441. [Google Scholar] [CrossRef]
- Min, B.; Yoo, J.; Kim, S.; Shin, D.; Shin, D. Network Anomaly Detection Using Memory-Augmented Deep Autoencoder. IEEE Access 2021, 9, 104695–104706. [Google Scholar] [CrossRef]
- Lazarevic, A.; Ertoz, L.; Kumar, V.; Ozgur, A.; Srivastava, J. A Comparative Study of Anomaly Detection Schemes in Network Intrusion Detection. In Proceedings of the 2003 SIAM International Conference on Data Mining (SDM), San Francisco, CA, USA, 1–3 May 2003; pp. 25–36. [Google Scholar] [CrossRef]
- Wang, B.; Lei, Y.G.; Li, N.P.; Li, N.B. A Hybrid Prognostics Approach for Estimating Remaining Useful Life of Rolling Element Bearings. IEEE Trans. Reliab. 2020, 69, 401–412. [Google Scholar] [CrossRef]
- Wu, J.Y.; Zhao, Z.B.; Sun, C.; Yan, R.Q.; Chen, X.F. Fault-Attention Generative Probabilistic Adversarial Autoencoder for Machine Anomaly Detection. IEEE Trans. Ind. Inform. 2020, 16, 7479–7488. [Google Scholar] [CrossRef]
- Nassif, A.B.; Talib, M.A.; Nasir, Q.; Dakalbab, F.M. Machine Learning for Anomaly Detection: A Systematic Review. IEEE Access 2021, 9, 78658–78700. [Google Scholar] [CrossRef]














| Models | Accuracy | Recall | AUC | F1-Score |
|---|---|---|---|---|
| Random Forest | 0.980 | 0.863 | 0.925 | 0.832 |
| KNN | 0.984 | 0.777 | 0.888 | 0.872 |
| Logistic | 0.987 | 0.808 | 0.903 | 0.892 |
| SVM | 0.992 | 0.878 | 0.938 | 0.934 |
| Isolation Forest | 0.932 | 0.623 | 0.811 | 0.766 |
| CAE | 0.989 | 1.000 | 0.990 | 0.968 |
| AE | 0.973 | 0.900 | 0.943 | 0.915 |
| Accuracy | Recall | AUC | F1-Score | |
|---|---|---|---|---|
| CAE | 0.984 | 1.000 | 0.990 | 0.955 |
| AE | 0.970 | 0.900 | 0.940 | 0.927 |
| Random Forest | 0.947 | 0.764 | 0.864 | 0.880 |
| KNN | 0.896 | 0.520 | 0.760 | 0.684 |
| Logistic | 0.931 | 0.680 | 0.840 | 0.800 |
| SVM | 0.974 | 0.880 | 0.940 | 0.936 |
| Isolation Forest | 0.784 | 0.240 | 0.587 | 0.324 |
Disclaimer/Publisher’s Note: The statements, opinions and data contained in all publications are solely those of the individual author(s) and contributor(s) and not of MDPI and/or the editor(s). MDPI and/or the editor(s) disclaim responsibility for any injury to people or property resulting from any ideas, methods, instructions or products referred to in the content. |
© 2024 by the authors. Licensee MDPI, Basel, Switzerland. This article is an open access article distributed under the terms and conditions of the Creative Commons Attribution (CC BY) license (https://creativecommons.org/licenses/by/4.0/).
Share and Cite
Wang, H.; Han, Z.; Xiong, X.; Song, X.; Shen, C. Enhancing Yarn Quality Wavelength Spectrogram Analysis: A Semi-Supervised Anomaly Detection Approach with Convolutional Autoencoder. Machines 2024, 12, 309. https://doi.org/10.3390/machines12050309
Wang H, Han Z, Xiong X, Song X, Shen C. Enhancing Yarn Quality Wavelength Spectrogram Analysis: A Semi-Supervised Anomaly Detection Approach with Convolutional Autoencoder. Machines. 2024; 12(5):309. https://doi.org/10.3390/machines12050309
Chicago/Turabian StyleWang, Haoran, Zhongze Han, Xiaoshuang Xiong, Xuewei Song, and Chen Shen. 2024. "Enhancing Yarn Quality Wavelength Spectrogram Analysis: A Semi-Supervised Anomaly Detection Approach with Convolutional Autoencoder" Machines 12, no. 5: 309. https://doi.org/10.3390/machines12050309
APA StyleWang, H., Han, Z., Xiong, X., Song, X., & Shen, C. (2024). Enhancing Yarn Quality Wavelength Spectrogram Analysis: A Semi-Supervised Anomaly Detection Approach with Convolutional Autoencoder. Machines, 12(5), 309. https://doi.org/10.3390/machines12050309

