Next Article in Journal
Modeling and Characteristic Test for a Crank-Connecting Rod Mem-Inerter Device
Previous Article in Journal
Study of Cutting Forces in Drilling of Aluminum Alloy 2024-T351
 
 
Font Type:
Arial Georgia Verdana
Font Size:
Aa Aa Aa
Line Spacing:
Column Width:
Background:
Article

Development of Digital Flow Valve Applied to Aero-Engine Fuel Control and Research on Performance of Its Flow Characteristics

1
School of Mechatronics Engineering, Henan University of Science and Technology, Luoyang 471003, China
2
Collaborative Innovation Center of Henan Province for High-End Bearing, Henan University of Science and Technology, Luoyang 471000, China
Machines 2024, 12(12), 936; https://doi.org/10.3390/machines12120936
Submission received: 15 November 2024 / Revised: 6 December 2024 / Accepted: 9 December 2024 / Published: 20 December 2024
(This article belongs to the Section Automation and Control Systems)

Abstract

Digital valves have strong anti-pollution ability and good linearity, so they are more suitable for aero-engine fuel control. However, for high-precision flow control, incremental digital valves require a high-precision, high-dynamic servomotor drive; binary-coded digital valves require many on/off valves; and high-speed switching digital valves can cause flow shock and pulsation. In this study, an aero-engine fuel control decimal-coded digital flow valve was developed, which not only has the advantages of digital valves but also avoids the above problems. Firstly, the structure and operation principle of the decimal-coded digital flow valve is introduced; then, its model is established based on Simulink/Simcape, and its flow characteristics are simulated and analyzed. Then, experiments on the flow characteristics are presented. The simulation and experiment show that under a supply pressure of 1 MPa, 2 MPa, and 3 MPa, the maximum flow of the decimal-coded digital valve is 11.4457 L/min, 16.3719 L/min, and 19.3733 L/min, and the control accuracy is 0.0775 L/min, 0.1086 L/min, and 0.1294 L/min, respectively. In addition, it has very good linearity, and the settling time is less than 0.09s.

1. Introduction

Flow valves for the fuel control of aero-engines play an important role in the take-off and flight performance of aircraft. At present, servovalves are widely used for the flow control of fuel, but it is easy for servovalves to be plugged in due to the contamination of fuel, so they have low reliability. Digital flow valves have a simple structure, low cost, strong anti-pollution and anti-disturbance ability, but their control accuracy is not as good as that of servovalves. Therefore, it is necessary to develop a high-precision flow digital valve for fuel control. At present, digital valves are mainly categorized into three types according to the different control methods, namely, incremental digital valves, coded digital valves, and high-speed switching digital valves [1,2,3,4,5]. Incremental digital valves use a servomotor or stepper motor that drives the spool to realize the output flow rate of the valve proportional to the angle of the motor [3,4]. However, the control accuracy of the output flow of incremental digital valves depends on the dynamic performance and control accuracy of the motors, so in order to improve control accuracy, it is necessary to select high-performance servomotors, which increases the cost of digital valves [3,6]. The structure of binary-coded digital valves is composed of many on/off valves, each of which has only two operating states: on and off. The output flows of a binary-coded digital valve are designed according to a binary sequence. Binary-coded digital valves have the advantages of better linearity, high repeatability, and high resistance to contamination [7,8,9,10]. However, the accuracy of binary-coded digital valves depends on the number of on/off valves; the higher the number, the smaller the minimum control flow and the higher the accuracy [7]. If binary-coded digital valves are required to achieve high accuracy, a larger number of on/off valves are needed, and the structure becomes more complex, and that makes the cost and complexity of this valve increase [7,11]. The principle of high-speed switching digital valves is to make the valve switch at high speed using pulse width modulation (PWM) [12,13,14,15,16]. The minimum control flow depends on the switching frequency. High-frequency switching digital valves are very expensive. In addition, the pressure shock and pulsation caused by high-speed switching of the valves are difficult to solve [17,18].
Lantela [19] designed and developed a small, high-flow digital hydraulic valve with fast response times, which is made up of 32 pilot-operated miniature on/off valves, enabling the formation of four independently controlled metering edges. However, these valves are hydraulically operated and use pilot pressure from the main flow path, so their response time increases significantly at differential pressures below 1 MPa. Lauri Siivonen [13] proposed a new high-pressure on/off valve concept to improve the reliability and availability of water hydraulic actuator components onboard ships. Experiments showed that the tracking accuracy was almost 10 times better than that of conventional servovalves, but some design faults occurred, and the system had faulty components. Mircea Badescu [20] designed a flow control valve that includes a digitized flow control valve with a multi-path and multi-stage pressure-reducing structure in order to meet the high demands of flow control valves for high pressures, high flows, limited power, and limited space. However, current electrical connector adapters could not fit in the space designed for the six flow paths, so a more compact design was needed, or the motor could be staggered axially to accommodate the wiring connectors. Matti Linjama [21] investigated a digital hydraulic servodrive driven by a variable-speed servomotor. The size of the electric motor was reduced by about 57%. However, the prototype uses off-the-shelf components and is, therefore, a bulky solution, suitable only for research purposes. The number of pistons was also too small for a high-performance system.
Aiming at solving the above problems of digital valves, a decimal-coded digital flow valve (DDFV) is developed in this paper, which has the advantages of good linearity, high repetition accuracy, strong anti-pollution ability, simple structure, low cost, and low precision requirements for the drive motor. It will lay the foundation for the application and development of the digital hydraulic valve.
The main goals of this paper are to develop a DDFV and analyze its performance. Firstly, the structure and operation principle of the DDFV are introduced. The model of the DDFV is then given. Finally, the flow characteristics of the DDFV are researched using a simulation and experiment.

2. Structure of DDFV

The structure of the DDFV is illustrated in Figure 1. It is mainly composed of a stepping motor, valve cover, valve body, sleeve, spool, and four cartridge solenoid on/off valves. The two-dimensional structure of the spool, sleeve, and valve body are shown in Figure 2a–c. The stepping motor is fixed to the valve cover, the valve cover is fixed to the valve body, the spool is in the sleeve, the upper part of the spool is in the shape of a step and is covered with a bearing, the output shaft of the stepping motor is in the valve cover, and the output shaft of the stepping motor is connected to the spool by a screw thread. The spool and sleeve are fitted to ensure that the stepper motor-driven valve spool in the valve sleeve can rotate freely. The sleeve and valve body are fit through the interference to prevent the sleeve from rotating owing to the spool or hydrodynamic force of the influence of the relative movement and to tighten being fixed with the top wire. Four cartridge solenoid on/off valves are evenly distributed around the valve body. The lower end of the spool and the valve body leave a gap to avoid friction caused by the rotation of the spool.
As shown in Figure 2, the upper end of the spool is set in a stepped shape, and the uppermost end is machined with threads for a threaded connection with the stepper motor shaft. The spool is internally opened with a spool cavity, and the outer surface is machined with an annular groove and a ones-place distribution flow orifice. The inner cavity of the spool and the annular groove are open with a tens-place distribution flow orifice in the communication. The ones-place distribution flow orifice is directly connected to the inner cavity of the spool, and the spool and sleeve have a clearance fit. The lower outer surface of the spool and the valve body are also a clearance fit, which supports the spool and ensures that the spool can rotate freely without being affected.
The sleeve is an annular structure with four tens-place orifices and nine ones-place orifices provided on the outer surface in the shape of round holes. One of the tens-place orifices is the smaller of the four stepped holes, and the larger of the stepped holes is connected to each of the four cartridge valves. The sleeve is provided with an annular groove, and the ones-place orifices are evenly distributed in the peripheral direction. The orifices are designed as the thin-walled orifice to reduce the influence of temperature on the flow coefficient of the orifices.
The oil inlet channel of the valve body is connected with the annular groove of the valve sleeve through the ones-place orifice. The oil ports of the four solenoid on/off valves mounted on the valve body are connected to each other to form a square and are connected to the oil inlet passage of the valve body. The oil outlet passage of the valve body is connected to the outlet of the inner cavity of the spool and is coaxial.
During the rotation of the valve spool, the ones-place distribution flow orifice of the spool communicates with any one of the nine ones-place orifices on the valve sleeve. The annular groove of the spool is connected to the tens-place orifices set on the outer surface of the sleeve, which are small holes in the four stepped holes. The passage area of the tens-place flow distribution orifice should be larger than the sum of the four tens-place orifices, the width of the annular groove on the outer surface of the spool should be larger than the maximum throughput of the tens-place orifices on the sleeve, and the diameter of the ones-place flow distribution orifice on the spool should be larger than the maximum diameter of the ones-place orifices.

3. Operation Principle of DDFV

The oil path of the DDFV is shown in Figure 3.
The oil passes through the inlet port of the valve body and then splits into two ways: one way flows into the low oil inlet hole on the valve body, flows into the annular groove on the valve sleeve, flows through the ones-place orifices in the annular groove, flows into the inner cavity of the spool via the ones-place orifices of the spool, and then passes through the oil outlet; the other way flows into the square oil cavity above the valve body, passes through the oil inlet and oil outlet ports of the open cartridge on/off valve, flows into the tens-place orifices of the sleeve, and then flows into the annular groove of the spool, into the inner cavity of the spool, and through the oil outlet port.
As shown in Figure 4, when the DDFV works, the stepping motor drives the spool to rotate, and when the ones-place flow distribution orifices on the spool are connected with any one of the nine ones-place orifices in the annular groove on the valve sleeve, the oil flows into the inner cavity of the spool from the annular groove on the valve sleeve through the ones-place orifices connected with the ones-place flow distribution orifice on the spool and flows out of the spool through the outlet ports on the valve body.
At the same time, the four cartridge on/off valves are installed on the valve body, the inlet port is connected to the square oil cavity in the valve body, and the outlet port is connected to the four tens-place orifices on the sleeve, respectively, and the four cartridge on/off valves can be opened and closed arbitrarily, without affecting each other. The oil in the square oil cavity flows into the annular groove of the spool through the inlet and outlet ports of the open on/off valve and through the corresponding tens-place orifices on the sleeve, through the tens-place flow distribution orifice on the spool and into the inner cavity of the spool, and it then flows out from the outlet ports after passing through the oil outlet channel on the valve body.
The partial enlargement of the ones-place orifices in the DDFV is shown in Figure 5. The initial position of the spool can be seen in Figure 5. Clockwise is the positive direction of spool rotation, and the area of the low oil port is set to be named from small to large in order from fixed orifice 1 to fixed orifice 9, and α is 20° in Figure 4; that is, the initial position of the ones-place distribution orifice on the spool is in the middle of the angle between fixed orifice 9 and fixed orifice 1. The positions of all the ones-place orifices are fixed.
The stepper motor shaft and spool are threaded, and the spool and motor shaft rotate synchronously. When the command is given, the stepper motor will receive the number of pulses and control the rotation of the motor shaft, and the valve spool is driven by the stepper motor, and the ones-place distribution orifice on the valve spool moves to the position of the ones-place orifice that meets the requirement of the commanded through-flow area. The spool returns to the initial position at the end of the operation. The number of pulses received by the stepper motor does not need to be necessarily accurate, and the diameter of the ones-place flow distribution orifice on the spool should be larger than the diameter of each of the ones-place orifices. It is only necessary for the ones-place orifices to be in complete communication with the ones-place flow distribution orifice on the spool to satisfy the control requirements.
A partially enlarged view of the tens-place orifices in the DDFV is shown in Figure 5, and the four tens-place orifices are set up with the areas of fixed orifice 10, fixed orifice 20, fixed orifice 40, and fixed orifice 80 in order from smallest to largest.
As can be seen in Figure 6, the oil outlet ports of the four cartridge on/off valves correspond to the four tens-place orifices, and an annular groove is opened on the outer surface of the tens-place flow distribution orifice of the spool, so that the flow rate through the four tens-place orifices is pooled together and flows through the tens-place flow distribution orifice into the oil outlet channel. The tens-place flow rate is the sum of the flow rate through the four tens-place orifices.
The stepper motor controls the spool’s orifices to be connected to one of the nine ones-place orifices on the sleeve, and the on/off valves control the on/off status of the four tens-place orifices on the sleeve. The area ratio of the nine ones-place orifices and the four tens-place orifices ai is 1:2:3:4:5:6:7:8:9:10:20:40:80; thus, the stepper motor can control nine discrete flow values. The on/off valves can realize the control of the tens-place passage areas interval of 10 from 0 to 150. By combining the control of the high and low passage areas, it is possible to change the entire passage area interval of 1 from 0 to 159. The equivalent diameter of the maximum passage area for DDFV is d, and the diameter of each orifice is di, as follows:
π d i 2 4 = a i 159 × π d 2 4
The diameters of all the orifices can be calculated from Equation (1), as shown in Table 1.

4. Modeling of DDFV

According to the structure and working principle of the DDFV, a Simulink model is built, which is composed of three parts, including the stepper motor part, the low oil port part and the high oil port part, as shown in Figure 7. (The software version is MATLAB/Simulink 2016b).
The stepper motor model is shown in Figure 8. The stepper motor converts a given command signal into a number of pulses, controls the position of the shaft rotation, and outputs an angular displacement signal.
The Simulink model of ones-place orifices is shown in Figure 9. The model of the ones-place orifices is to convert the angular displacement signal output from the stepper motor module into the on/off signal of the corresponding ones-place orifice, so as to open or close the corresponding ones-place orifice.
The Simulink model of the tens-place orifices is shown in Figure 10. The four cartridge on/off valves are opened or closed according to the command signals decomposed.

5. Simulation for Flow Characteristic of DDFV

By substituting simulation parameters, shown in Table 2, into the Simulink model of the DDFV, the flow characteristic curves under the oil supply pressures of 1 MPa and 3 MPa can be obtained, respectively, as shown in Figure 11a. Figure 11b is a partially enlarged view of the dashed box of Figure 11a, which shows the flow range of the valve control volume in the 20 to 40 interval.
Figure 11 shows that the output flows’ range of the DDFV is 0~12.735373 L/min with the control accuracy of 0.08024 L/min with supply pressure of 1 MPa; when the oil supply pressure is 3 MPa, the output flows’ range is 0~22.058481 L/min with the control accuracy of 0.13898 L/min. The flow characteristic performance values of the DDFV are shown in Table 3.
The output flow curve of the DDFV has a very good linearity, and the output flow increases proportionally and gradually with the gradual increase in the control volume under a certain supply pressure.

6. Experiment of DDFV

6.1. Experimental Platform

The phototype of the DDFV is shown in Figure 12. The cartridge solenoid on/off valves are mounted around the valve body by means of threads with seals at the top of the threads to prevent oil leakage from the cartridge solenoid valve threads. There is a minimum interference fit between the sleeve and the valve body, and the sleeve is fixed with set screws to avoid movement and rotation of the sleeve during operation of the valve. The spool and sleeve are fitted with minimum clearance to ensure that the spool can rotate freely while reducing the amount of oil leakage; the spool and stepper motor shaft are threaded, while the spool is equipped with a rubber-sealed bearing between the spool and the valve body to reduce friction during rotation of the spool and ensure sealing. The inlet and outlet ports of the valve body and the oil circuit block oil ports are equipped with seals to prevent oil leakage from the gap.
In order to accurately measure the flow rate of the DDFV, an experimental system was constructed to derive the output flow rate of the valve from the hydraulic cylinder piston displacement. The schematic diagram of the hydraulic system for measuring the output flow of the digital hydraulic valve is shown in Figure 13. The main experimental equipment specifications and technical parameters are shown in Table 4.
The experimental platform built to measure the output flow of the DDFV is shown in Figure 14. Because of the high price of precision flow sensors, a hydraulic cylinder is used to obtain the flow rate of the DDFV. The flow rate of the DDFV can be obtained by the ratio of the speed of the hydraulic cylinder to the effective area. The speed of the hydraulic cylinder is measured by the displacement sensor.

6.2. Flow Characteristics of DDFV

The experimental flow curve of the DDFV under the supply pressure of 1 MPa is shown in Figure 15a. Figure 15b is a partially enlarged view of the dashed box in Figure 15a, which shows the flow values of the control volume in the interval from 80 to 100.
From Figure 15a, it can be seen that the output flows’ range of the DDFV is 0~11.4457 L/min with the control accuracy of 0.0775 L/min under the supply pressure of 1 MPa.
The linearity of DDFV is defined as
δ = q max 160 q δ 160 q δ × 100 %
where q max is maximum output flow, and q δ is the control accuracy and also the minimum controllable flow.
According to Equation (2), under the supply pressure of 1 MPa, the linearity of the DDFV is 7.7%. Comparison between the simulation and experiment shown in Figure 15 shows the maximum error of flow is 1.2896 L/min and the control accuracy’ error is 0.0027 L/min, and the standard error is 0.5870 L/min.
The supply pressure is set as 2 MPa, and the experimental flow curve of the DDFV is shown in Figure 16a, and Figure 16b is a partial enlargement of the dashed box in Figure 16a.
From Figure 16a, it can be seen that the output flow range of the DDFV is from 0 to 16.3719 L/min with the control accuracy of 0.1086 L/min and the linearity of 5.8% under the supply pressure of 2 MPa. From Figure 16, it can be concluded that the maximum error between the simulation and experiment is 1.6281 L/min, and the standard error is 0.8138 L/min.
The supply pressure is set as 3 MPa, and the output flow curve of the DDFV is shown in Figure 17a, and Figure 17b is a partial enlargement of the dashed box in Figure 17a. It can be seen that the output flow range of the DDFV is 0~19.3733 L/min with the control accuracy of 0.1294 L/min and the linearity of 6.4% under the supply pressure of 3 MPa. The maximum error between the simulation and experiment is 2.6852 L/min, the control accuracy error is 0.0096 L/min, and the standard error is 1.3986 L/min.
Figure 18 is the curve of flow characteristics of a servovalve [22]. Due to the magnetic hysteresis, the output flow rate of a servovalve driven by a proportional electromagnet is nonlinear, and the curve is hysteresis. Meanwhile, the DDFV’s curve is almost linear and there is no hysteresis.
The experimental values of the performance characteristics for the DDFV are shown in Table 5. From the above experimental data, it can be concluded that the experimental flow curve of the DDFV has a good linearity. The DDFV’s opening from 0 to 159 sequentially increases, and the output flow rate also almost proportionally increases by the certain control accuracy.

6.3. Dynamic Performance of DDFV

In order to analyze the dynamic performance of the DDFV, the hydraulic cylinder piston displacement curves were measured at 25%, 50%, 75%, and 100% of the maximum opening of the DDFV, respectively. The stability of the output flow rate of the DDFV is determined by whether the hydraulic cylinder piston can operate stably. The responsiveness of the DDFV is determined by the time it takes for the hydraulic cylinder to reach a smooth speed.
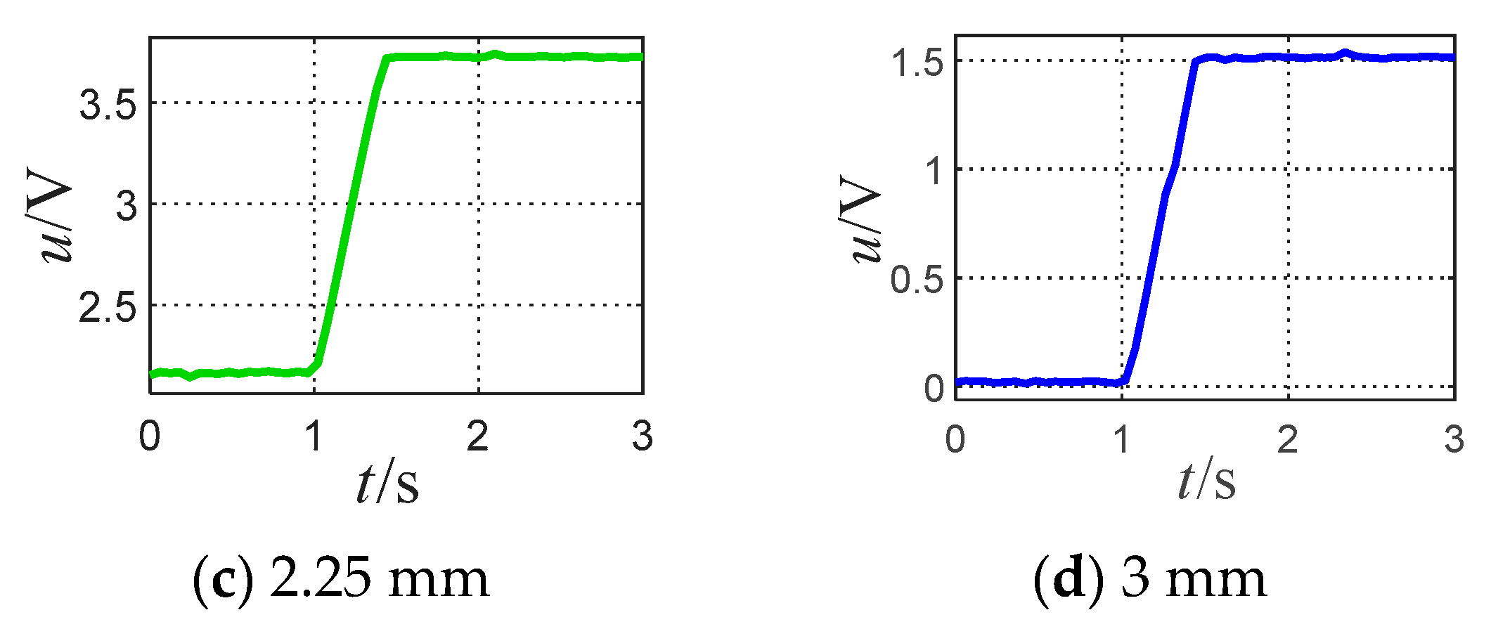
The maximum opening of the DDFV is 3 mm, so the operating curves of the DDFV with openings of 0.75 mm, 1.5 mm, 2.25 mm, and 3 mm were measured, respectively. When the oil supply pressure is 1 MPa, 2 MPa, and 3 MPa, respectively, the valve port is opened for 0.2 s at the time of 1 s, and the piston rod displacement voltage output curves are shown in Figure 19, Figure 20 and Figure 21.
From Figure 19a, Figure 20a and Figure 21a, it can be concluded that the output flow rate of the valve is as shown in Figure 22a when the DDFV pass-through is 0.75 mm (the valve port opening is 25% of the total pass-through), and the valve output flow rate is as shown in Figure 22a when the step command is given at the supply pressures of 1 MPa, 2 MPa, and 3 MPa, respectively. From Figure 19d, Figure 20d and Figure 21d, it can be concluded that the output flow rate of the valve is as shown in Figure 22b when the DDFV’s equivalent diameter of passage area is 3 mm (the valve port opening is 100% of the total pass-through), and the valve output flow rate is as shown in Figure 22b when the step command is given at the supply pressures of 1 MPa, 2 MPa, and 3 MPa, respectively.
From Figure 22, the settling times required for the output flow to reach the steady-state values for the DDFV’s openings of 0.75 mm and 3 mm under different supply pressures are shown in Table 6. From Table 5, it can be seen that the time required for the DDFV to reach the steady-state value is less than 0.09 s.

7. Conclusions

A decimal-coded digital flow valve is developed. A Simulink model is given to analyze the flow characteristic of the DDFV. The experiments are carried out for the flow characteristic’s investigation of the DDFV. The conclusions are as follows:
(1)
The DDFV is controlled by a stepper motor and four on/off valves. It can control 160 values. When the supply pressure is 1 MPa, 2 MPa, and 3 MPa, the rated flows are 11.4457 L/min, 16.3719 L/min, and 19.3733 L/min, with accuracies of 0.0775 L/min, 0.1086 L/min, and 0.1294 L/min, respectively.
(2)
The DDFV has a good linearity. Under the supply pressures of 1 MPa, 2 MPa, and 3 MPa, the linearities are 7.7%, 5.8%, and 6.4%, respectively.
(3)
The settling time reaching the maximum flow of the DDFV is less than 0.09 s.

Funding

This research received no external funding.

Data Availability Statement

Data are contained within the article.

Conflicts of Interest

The author declares no conflicts of interest.

References

  1. Yang, H.; Wang, S.; Zhang, B.; Hong, H.C.; Zhong, Q. Development and prospect of digital hydraulic valve and valve control system. J. Jilin Univ. Eng. Technol. Ed. 2016, 46, 1494–1505. [Google Scholar]
  2. Yang, M. Study on the Digital Hydraulic Driving System of the Belt Conveyor. Machines 2022, 10, 417. [Google Scholar] [CrossRef]
  3. Li, Y. Steady-state modelling and performance of a rotary direct drive digital valve. Meas. Control 2020, 53, 311–319. [Google Scholar] [CrossRef]
  4. Andrzej, M.; Jarosław, O. Electrohydraulic linear actuator with two stepping motors controlled by overshoot-free algorithm. Mech. Syst. Signal Process. 2017, 96, 45–57. [Google Scholar]
  5. Pan, M.; Plummer, A. Digital switched hydraulics. Front. Mech. Eng 2018, 13, 225–231. [Google Scholar] [CrossRef]
  6. Zhou, S.; Dong, D.; Li, F. A nonlinear control method for asymmetric hydraulic cylinder based on incremental digital valve control. In Proceedings of the 2019 International Conference on Intelligent Computing, Automation and Systems (ICICAS), Chongqing, China, 6–8 December 2019. [Google Scholar]
  7. Paloniitty, M.; Linjama, M. High-linear digital hydraulic valve control by an equal coded valve system and novel switching schemes. Proc. Inst. Mech. Eng. Part I J. Syst. Control Eng. 2018, 232, 258–269. [Google Scholar] [CrossRef]
  8. Yang, Z.; Ying, J.; Zhang, Q.Z.; Peng, C. Sliding Mode Control of Digital Directional Valve Drive System Based on New Approach Rate. J. Nanoelectron. Optoelectron. 2023, 18, 52–58. [Google Scholar]
  9. Zhang, J.; Yang, M.; Xu, B. Design and experimental research of a miniature digital hydraulic valve. Micromachines 2018, 9, 283. [Google Scholar] [CrossRef] [PubMed]
  10. Bin, Y.U.; Zheng, G.; Xiang, W.; Wen, T.; Yan, H.; Hua, S.; Hai, X. Analysis of Dynamic Performance and Experimental Study of Position Control System for an Incremental Digital Valve-controlled Cylinder. Adv. Eng. Sci. 2020, 52, 183–189. [Google Scholar]
  11. Linjama, M.; Vilenius, M. Digital hydraulics-towards perfect valve technology. Ventil-journal for Hydraulics. Autom. Mechatron. 2008, 14, 138–148. [Google Scholar]
  12. Siivonen, L.; Paloniitty, M.; Linjama, M.; Sairiala, H.; Esqué, S. Digital valve system for ITER remote handling-design and prototype testing. Fusion Eng. Des. 2019, 146, 1637–1641. [Google Scholar] [CrossRef]
  13. Zhuo, G.; Wang, H. Modeling and simulation of high speed on-off valve based on AMESim. In Proceedings of the 2011 International Conference on Electrical and Control Engineering IEEE, Yichang, China, 16–18 September 2011; pp. 2342–2346. [Google Scholar]
  14. Gao, Q.; Zhu, Y.; Liu, J. Dynamics modelling and control of a novel fuel metering valve actuated by two binary-coded digital valve arrays. Machines 2022, 10, 55. [Google Scholar] [CrossRef]
  15. Zhu, K.; Gu, L.; Chen, Y.; Li, W. High speed on/off valve control hydraulic propeller. Chin. J. Mech. Eng. 2012, 25, 463–473. [Google Scholar] [CrossRef]
  16. Wang, H.; Chen, Z.; Huang, J.; Quan, L.; Zhao, B. Development of high-speed on–off valves and their applications. Chin. J. Mech. Eng. 2022, 35, 67. [Google Scholar] [CrossRef]
  17. Zhao, J.; Zhang, B.; Zhao, Z.; Wang, Z.; Yao, J. Static and dynamic characteristics of high-speed on-off digital valves. China Mech. Eng. 2018, 29, 145–150. [Google Scholar]
  18. Gao, Q.; Wang, J.; Zhu, Y.; Wang, J.; Wang, J. Research status and prospects of control strategies for high speed on/off valves. Processes 2023, 11, 160. [Google Scholar] [CrossRef]
  19. Lantela, T.; Pietola, M. High-flow rate miniature digital valve system. Int. J. Fluid Power 2017, 18, 188–195. [Google Scholar] [CrossRef]
  20. Badescu, M.; Sherrit, S.; Lewis, D.; Bao, X.; Bar-Cohen, Y.; Hall, J.L. Digital valve for high pressure high flow applications. In Proceedings of the SPIE, Conference on Industrial and Commercial Applications of Smart Structures Technologies, Las Vegas, NV, USA, 21–22 March 2016; Griffin, S.F., Ed.; Volume 9801, pp. 104–113. [Google Scholar]
  21. Linjama, M.; Vienius, M. Energy-efficient motion control of a digital hydraulic joint actuator. Proc. JFPS Int. Symp. Fluid Power 2011, 2005, 640–645. [Google Scholar] [CrossRef]
  22. AVIC Nanjing Servo Control System Co., Ltd. FF-102 Series Double Nozzle Flapper Force Feedback Flow Control EHSV. 2004. Available online: https://www.njservo.com/dc432683.html (accessed on 1 December 2024).
Figure 1. Structure of DDFV: 1. stepper motor; 2. valve cover; 3. crown wire; 4. sleeve; 5. bearing; 6. spool; 7. valve body; 8. solenoid on/off valve.
Figure 1. Structure of DDFV: 1. stepper motor; 2. valve cover; 3. crown wire; 4. sleeve; 5. bearing; 6. spool; 7. valve body; 8. solenoid on/off valve.
Machines 12 00936 g001
Figure 2. The main parts’ structures of DDFV: 9. annular groove on spool; 10. tens-place distribution flow orifices; 11. ones-place distribution flow orifices; 12. tens-place orifices; 13. annular groove on valve sleeve; 14. ones-place orifices.
Figure 2. The main parts’ structures of DDFV: 9. annular groove on spool; 10. tens-place distribution flow orifices; 11. ones-place distribution flow orifices; 12. tens-place orifices; 13. annular groove on valve sleeve; 14. ones-place orifices.
Machines 12 00936 g002
Figure 3. Oil’s flow direction of DDFV.
Figure 3. Oil’s flow direction of DDFV.
Machines 12 00936 g003
Figure 4. Flowchart of DDFV.
Figure 4. Flowchart of DDFV.
Machines 12 00936 g004
Figure 5. Partial enlargement of the ones-place orifices in the DDFV.
Figure 5. Partial enlargement of the ones-place orifices in the DDFV.
Machines 12 00936 g005
Figure 6. Partial enlargement of the tens-place orifices in the DDFV.
Figure 6. Partial enlargement of the tens-place orifices in the DDFV.
Machines 12 00936 g006
Figure 7. Simulink model of DDFV.
Figure 7. Simulink model of DDFV.
Machines 12 00936 g007
Figure 8. Simulink model of a stepper motor.
Figure 8. Simulink model of a stepper motor.
Machines 12 00936 g008
Figure 9. Simulink model of the ones-place orifices.
Figure 9. Simulink model of the ones-place orifices.
Machines 12 00936 g009
Figure 10. Simulink model of the tens-place orifices.
Figure 10. Simulink model of the tens-place orifices.
Machines 12 00936 g010
Figure 11. Flow characteristic curves of DDFV.
Figure 11. Flow characteristic curves of DDFV.
Machines 12 00936 g011
Figure 12. The phototype of the DDFV.
Figure 12. The phototype of the DDFV.
Machines 12 00936 g012
Figure 13. Experimental platform schematic of DDFV.
Figure 13. Experimental platform schematic of DDFV.
Machines 12 00936 g013
Figure 14. Experimental platform of DDFV.
Figure 14. Experimental platform of DDFV.
Machines 12 00936 g014
Figure 15. Flow characteristics curves of the DDFV under the supply pressure of 1 MPa.
Figure 15. Flow characteristics curves of the DDFV under the supply pressure of 1 MPa.
Machines 12 00936 g015
Figure 16. Flow characteristics curves of the DDFV under the supply pressure of 2 MPa.
Figure 16. Flow characteristics curves of the DDFV under the supply pressure of 2 MPa.
Machines 12 00936 g016
Figure 17. Curve of flow characteristics of the DDHV under the supply pressure of 3 MPa.
Figure 17. Curve of flow characteristics of the DDHV under the supply pressure of 3 MPa.
Machines 12 00936 g017
Figure 18. Curve of flow characteristics of a servovalve (FF-102).
Figure 18. Curve of flow characteristics of a servovalve (FF-102).
Machines 12 00936 g018
Figure 19. Cylinder displacement signals under different openings of the DDFV with the supply pressure of 1 MPa.
Figure 19. Cylinder displacement signals under different openings of the DDFV with the supply pressure of 1 MPa.
Machines 12 00936 g019
Figure 20. Cylinder displacement signals under different openings of the DDFV with the supply pressure of 2 MPa.
Figure 20. Cylinder displacement signals under different openings of the DDFV with the supply pressure of 2 MPa.
Machines 12 00936 g020aMachines 12 00936 g020b
Figure 21. Cylinder displacement signals under different openings of the DDFV with the supply pressure of 3 MPa.
Figure 21. Cylinder displacement signals under different openings of the DDFV with the supply pressure of 3 MPa.
Machines 12 00936 g021
Figure 22. Step response of output flow for DDFV under different supply pressures.
Figure 22. Step response of output flow for DDFV under different supply pressures.
Machines 12 00936 g022
Table 1. Dimensions of all the orifices of the DDFV.
Table 1. Dimensions of all the orifices of the DDFV.
Area ProportionDiameter/mmArea/mm2
ones-place orifices10.240.04524
20.340.09079
30.410.13203
40.480.18096
50.530.22062
60.580.26421
70.630.31172
80.670.35257
90.710.39592
tens-place orifices100.750.44179
201.060.88247
401.501.76715
802.133.56327
Table 2. Simulation parameters of DDFV.
Table 2. Simulation parameters of DDFV.
ParameterValues
Spool’s moment of inertia 3.75 × 10−6 kg·m2
Spool’s rotation damping0.06 N·m/rad/s
Discharge coefficient0.62
Switching times of cartridge valves40 ms
Stepper motor’s NEMANEMA 17
Table 3. Simulation for the flow characteristic of the DDFV.
Table 3. Simulation for the flow characteristic of the DDFV.
Supply PressureRated FlowControl Accuracy
1 MPa12.735373 L/min0.08024 L/min
3 MPa22.058481 L/min0.13898 L/min
Table 4. Specifications and technical parameters of the main experimental equipment.
Table 4. Specifications and technical parameters of the main experimental equipment.
EquipmentSpecificationTechnical Parameters
Vane pumpVP1-15Rated pressure 7 MPa
Stepper motorAK42HS34Torsion 0.26 N, step angle 1.8°
On/off valveDHF08-220Maximum flow rate 30 L/min
Hydraulic cylinderMOB30x100Diameter 30 mm, stroke 100 mm
Displacement sensorKTC-125 mmAccurate 0.05 mm, output voltage 0–5 V
Data acquisition boardNI USB-6009
Single-chip computerArduino UNO R3
Table 5. Performance characteristics of DDFV.
Table 5. Performance characteristics of DDFV.
Supply Pressure1 MPa2 MPa3 MPa
Rated flow11.4457 L/min16.3719 L/min19.3733 L/min
Control accuracy0.0775 L/min0.1086 L/min0.1294 L/min
Maximum error1.2896 L/min1.6281 L/min2.6852 L/min
Standard error0.5870 L/min0.8138 L/min1.3986 L/min
Linearity7.7%5.8%6.4%
Table 6. Settling times to reach steady-state values of DDFV under different pressures.
Table 6. Settling times to reach steady-state values of DDFV under different pressures.
Opening1 MPa2 MPa3 MPa
0.75 mm0.08 s0.09 s0.08 s
3 mm0.08 s0.09 s0.07 s
Disclaimer/Publisher’s Note: The statements, opinions and data contained in all publications are solely those of the individual author(s) and contributor(s) and not of MDPI and/or the editor(s). MDPI and/or the editor(s) disclaim responsibility for any injury to people or property resulting from any ideas, methods, instructions or products referred to in the content.

Share and Cite

MDPI and ACS Style

Li, Y. Development of Digital Flow Valve Applied to Aero-Engine Fuel Control and Research on Performance of Its Flow Characteristics. Machines 2024, 12, 936. https://doi.org/10.3390/machines12120936

AMA Style

Li Y. Development of Digital Flow Valve Applied to Aero-Engine Fuel Control and Research on Performance of Its Flow Characteristics. Machines. 2024; 12(12):936. https://doi.org/10.3390/machines12120936

Chicago/Turabian Style

Li, Yuesong. 2024. "Development of Digital Flow Valve Applied to Aero-Engine Fuel Control and Research on Performance of Its Flow Characteristics" Machines 12, no. 12: 936. https://doi.org/10.3390/machines12120936

APA Style

Li, Y. (2024). Development of Digital Flow Valve Applied to Aero-Engine Fuel Control and Research on Performance of Its Flow Characteristics. Machines, 12(12), 936. https://doi.org/10.3390/machines12120936

Note that from the first issue of 2016, this journal uses article numbers instead of page numbers. See further details here.

Article Metrics

Back to TopTop