Nonlinear Dynamics and Combination Resonance of a Flexible Turbine Blade with Contact and Friction of Shrouds
Abstract
1. Introduction
2. Governing Equations of Flexible Shrouded Blade
2.1. Dynamic Model of Contact between Adjacent Shrouds
2.2. Governing Equations of Blade Vibration
3. Multiple-Scale Solutions under Combination Resonance
4. Nonlinear Dynamics and Combination Resonance of Shrouded Blade
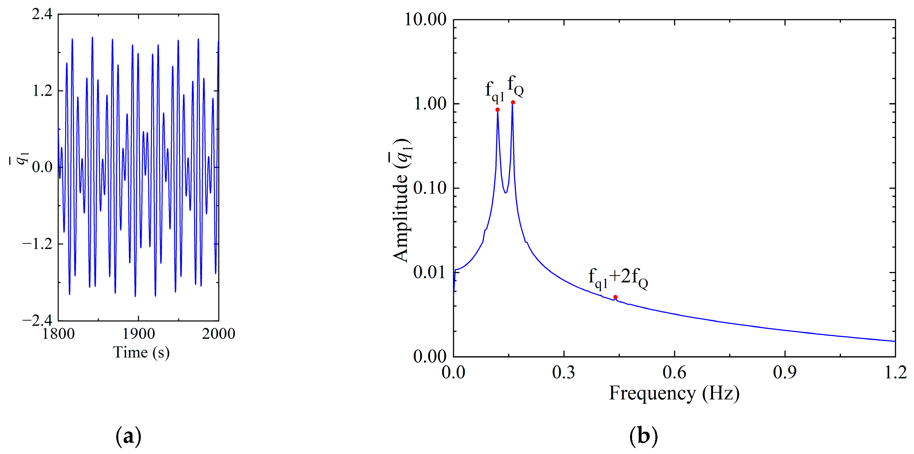
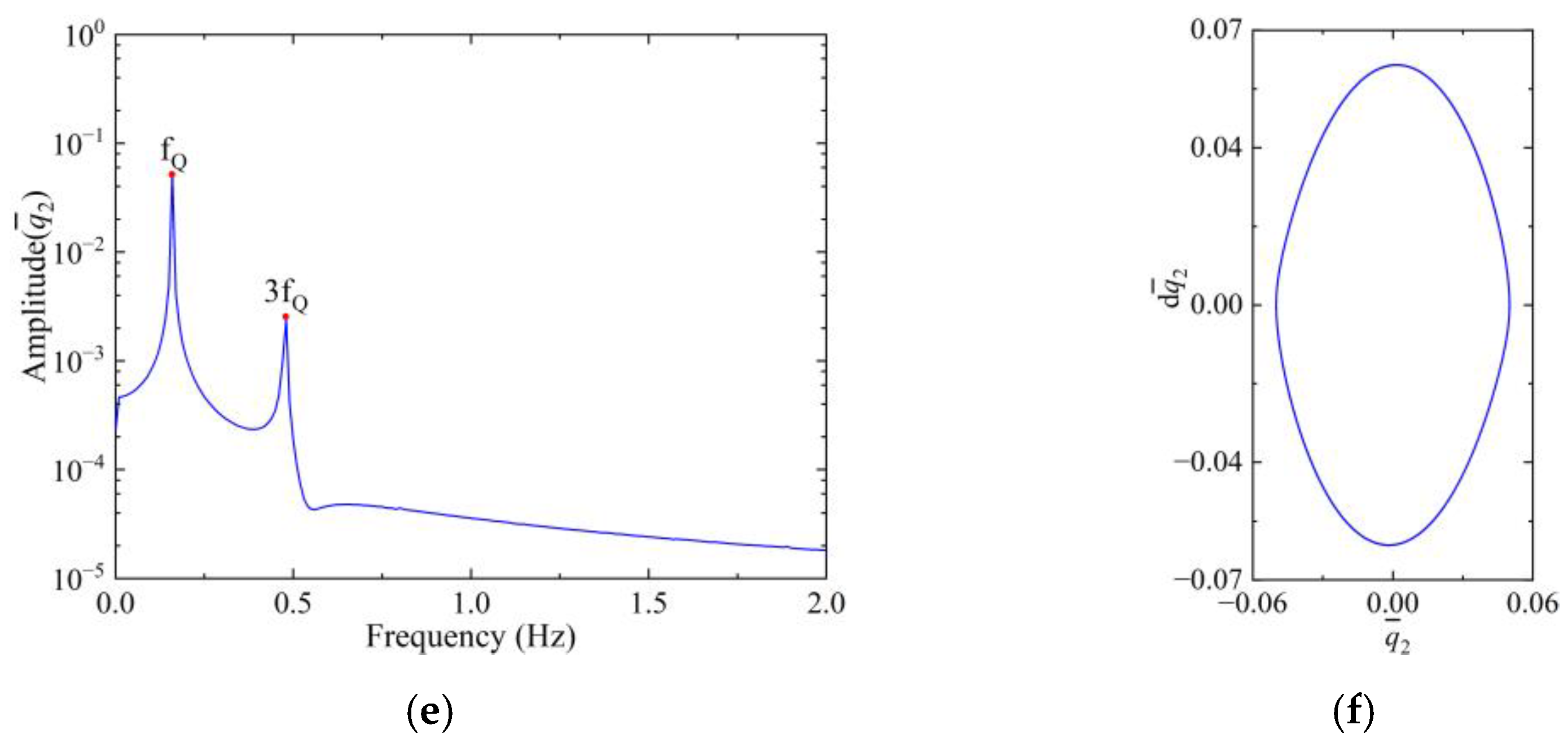
4.1. Steady Responses of Flexible Shrouded Blade
4.1.1. Effect of Tilting Shroud
4.1.2. Effect of Contact Stiffness
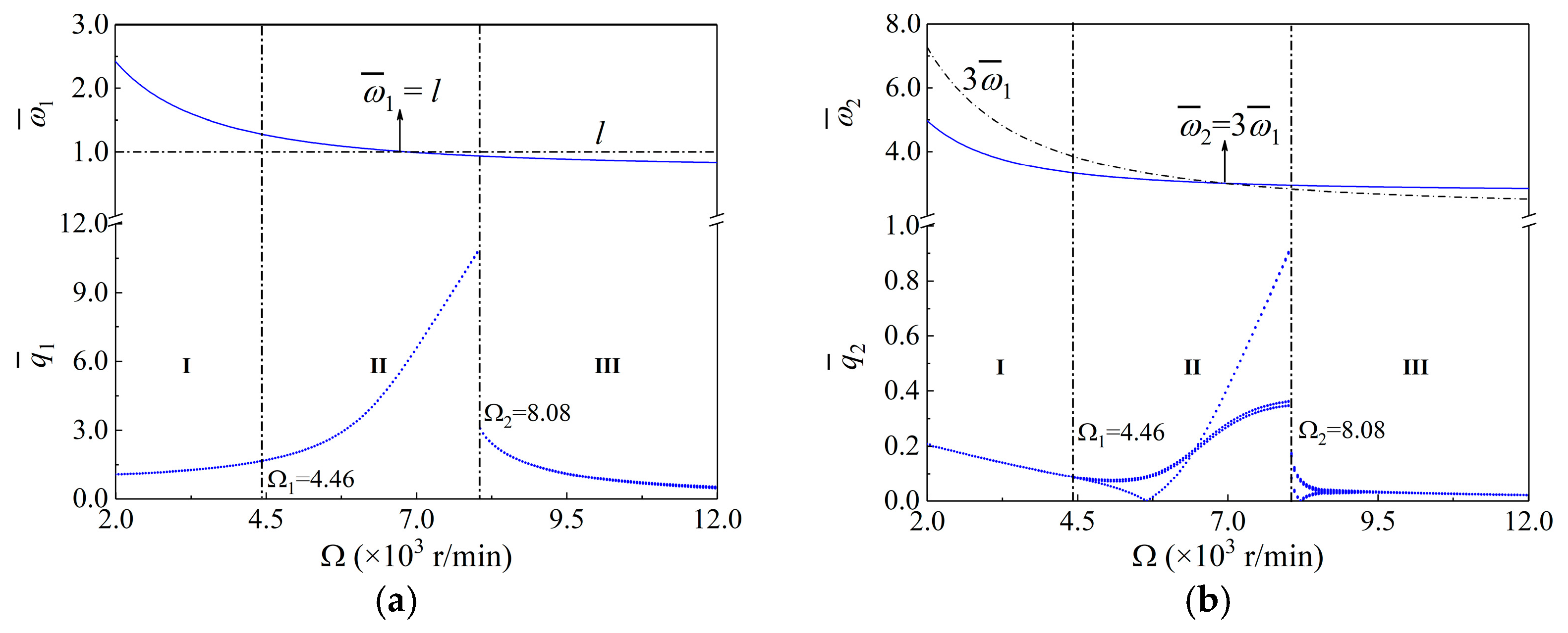
4.1.3. The Effect of Rotation Speed
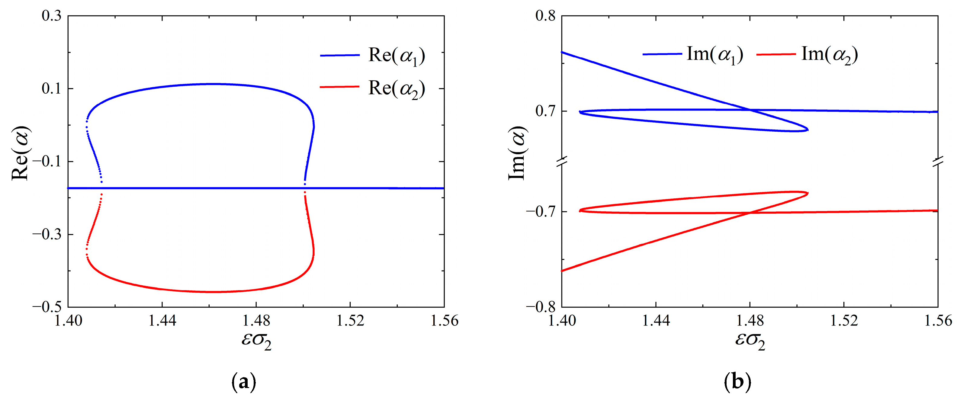
4.2. Parametric Analysis in the Case of Combination Resonance
4.2.1. Effect of with Various Contact Stiffness and Gap Dimension
4.2.2. Effect of with Various Contact Stiffness and Gap Dimension
5. Conclusions
- (1)
- The combination resonance involving the flapwise modes can be triggered by co-existing internal and primary resonances. Nevertheless, such resonance will not likely occur for separated blades where contact and friction on their shroud interfaces are removed.
- (2)
- Motion of the first-order flapwise mode can change from quasi-periodic to period-1 and then back to quasi-periodic with an increasing tilting angle of shroud. As for the second-order mode, it can change from quasi-periodic to period-3 and finally quasi-periodic.
- (3)
- With increasing contact stiffness and rotation speed, the first-order flapwise motion is period-1, while the second modal response can change between period-1 and period-1.
- (4)
- For primary resonance, the hardening spring behavior of the blade is attributed to geometric nonlinearity in the blade motion. On the other hand, such a nonlinearity can lead to a softening spring behavior of the blade in the scenario of internal resonance.
- (5)
- Less shroud contact stiffness and gap dimension can result in a stronger vibration response, wider region of unstable motion in the frequency domain and delayed onset of combination resonance.
Author Contributions
Funding
Data Availability Statement
Acknowledgments
Conflicts of Interest
Appendix A
Appendix B
References
- Cigeroglu, E. Development of Microslip Friction Models and Forced Response Prediction Methods for Frictionally Constrained Turbine Blades. Ph.D. Thesis, The Ohio State University, Columbus, OH, USA, 2007. [Google Scholar]
- Xie, F.; Ma, H.; Cui, C.; Wen, B. Vibration response comparison of twisted shrouded blades using different impact models. J. Sound Vib. 2017, 397, 171–191. [Google Scholar] [CrossRef]
- Ju, D.; Sun, Q. Modeling of a Wind Turbine Rotor Blade System. J. Vib. Acoust. 2017, 139, 051013. [Google Scholar] [CrossRef]
- Chiu, Y.J.; Chen, D.Z.; Yang, C.H. Influence on Coupling Vibration of Rotor System with Grouped Blades due to Mistuned Lacing Wire. Appl. Mech. Mater. 2011, 101–102, 1119–1125. [Google Scholar] [CrossRef]
- Ma, H.; Xie, F.; Nai, H.; Wen, B. Vibration characteristics analysis of rotating shrouded blades with impacts. J. Sound Vib. 2016, 378, 92–108. [Google Scholar] [CrossRef]
- Chatterjee, A.; Kotambkar, M.S. Modal characteristics of turbine blade packets under lacing wire damage induced mistuning. J. Sound Vib. 2015, 343, 49–70. [Google Scholar] [CrossRef]
- Shadmani, M.; Tikani, R.; Ziaei-Rad, S. On using a distributed-parameter model for modal analysis of a mistuned bladed disk rotor and extracting the statistical properties of its in-plane natural frequencies. J. Sound Vib. 2019, 438, 324–343. [Google Scholar] [CrossRef]
- Zhou, X.; Huang, K.; Li, Z. Geometrically nonlinear beam analysis of composite wind turbine blades based on quadrature element method. Int. J. Non-Linear Mech. 2018, 104, 87–99. [Google Scholar] [CrossRef]
- Karimi, A.H.; Shadmani, M. Nonlinear vibration analysis of a beam subjected to a random axial force. Arch. Appl. Mech. 2019, 89, 385–402. [Google Scholar] [CrossRef]
- Griffin, J.H. Friction Damping of Resonant Stresses in Gas Turbine Engine Airfoils. J. Eng. Power 1980, 102, 329–333. [Google Scholar] [CrossRef]
- Menq, C.-H.; Bielak, J.; Griffin, J. The influence of microslip on vibratory response, part I: A new microslip model. J. Sound Vib. 1986, 107, 279–293. [Google Scholar] [CrossRef]
- Iwan, W.D. On a Class of Models for the Yielding Behavior of Continuous and Composite Systems. J. Appl. Mech. 1967, 34, 612–617. [Google Scholar] [CrossRef]
- Yang, B.; Menq, C. Characterization of 3D contact kinematics and prediction of resonant response of structures having 3D frictional constraint. J. Sound Vib. 1998, 217, 909–925. [Google Scholar] [CrossRef]
- Nan, G.; Lou, J.; Song, C.; Tang, M. A New Approach for Solving Rub-Impact Dynamic Characteristics of Shrouded Blades Based on Macroslip Friction Model. Shock. Vib. 2020, 2020, 8147143. [Google Scholar] [CrossRef]
- Brach, R.M. Mechanical Impact Dynamics: Rigid Body Collisions; John Wiley & Sons: New York, NY, USA, 1991. [Google Scholar]
- He, B.; Ouyang, H.; He, S.; Ren, X.; Mei, Y. Dynamic analysis of integrally shrouded group blades with rubbing and impact. Nonlinear Dyn. 2018, 92, 2159–2175. [Google Scholar] [CrossRef]
- He, S.; Si, K.; He, B.; Yang, Z.; Wang, Y. Rub-Impact Dynamics of Shrouded Blades under Bending-Torsion Coupling Vibration. Symmetry 2021, 13, 1073. [Google Scholar] [CrossRef]
- Mashayekhi, F.; Nobari, A.; Zucca, S. Hybrid reduction of mistuned bladed disks for nonlinear forced response analysis with dry friction. Int. J. Non-Linear Mech. 2019, 116, 73–84. [Google Scholar] [CrossRef]
- She, H.; Li, C.; Tang, Q.; Wen, B. Veering and merging analysis of nonlinear resonance frequencies of an assembly bladed disk system. J. Sound Vib. 2021, 493, 115818. [Google Scholar] [CrossRef]
- Wei, S.-T.; Pierre, C. Localization Phenomena in Mistuned Assemblies with Cyclic Symmetry Part II: Forced Vibrations. J. Vib. Acoust. 1988, 110, 439–449. [Google Scholar] [CrossRef]
- Fang, X.; Tang, J.; Jordan, E.; Murphy, K. Crack induced vibration localization in simplified bladed-disk structures. J. Sound Vib. 2006, 291, 395–418. [Google Scholar] [CrossRef]
- Picou, A.; Capiez-Lernout, E.; Soize, C.; Mbaye, M. Robust dynamic analysis of detuned-mistuned rotating bladed disks with geometric nonlinearities. Comput. Mech. 2020, 65, 711–730. [Google Scholar] [CrossRef]
- Zhao, W.; Zhang, D.; Xie, Y. Vibration analysis of mistuned damped blades with nonlinear friction and contact. J. Low Freq. Noise Vib. Act. Control. 2019, 38, 1505–1521. [Google Scholar] [CrossRef]
- Larsen, J.W.; Nielsen, S.R.K. Nonlinear parametric instability of wind turbine wings. J. Sound Vib. 2007, 299, 64–82. [Google Scholar] [CrossRef]
- Karimi, B.; Moradi, H. Nonlinear kinematics analysis and internal resonance of wind turbine blade with coupled flapwise and edgewise vibration modes. J. Sound Vib. 2018, 435, 390–408. [Google Scholar] [CrossRef]
- Zhang, W.; Liu, G.; Siriguleng, B. Saturation phenomena and nonlinear resonances of rotating pretwisted laminated composite blade under subsonic air flow excitation. J. Sound Vib. 2020, 478, 115353. [Google Scholar] [CrossRef]
- Chu, S.; Cao, D.; Sun, S.; Pan, J.; Wang, L. Impact vibration characteristics of a shrouded blade with asymmetric gaps under wake flow excitations. Nonlinear Dyn. 2013, 72, 539–554. [Google Scholar] [CrossRef]
- Allara, M. A model for the characterization of friction contacts in turbine blades. J. Sound Vib. 2009, 320, 527–544. [Google Scholar] [CrossRef]
- Pai, P.; Rommel, B.; Schulz, M.J. Non-linear vibration absorbers using higher order internal resonances. J. Sound Vib. 2000, 234, 799–817. [Google Scholar] [CrossRef]
- Sayed, M.; Kamel, M. 1:2 and 1:3 internal resonance active absorber for non-linear vibrating system. Appl. Math. Model. 2012, 36, 310–332. [Google Scholar] [CrossRef]
- Eftekhari, M.; Ziaei-Rad, S.; Mahzoon, M. Vibration suppression of a symmetrically cantilever composite beam using internal resonance under chordwise base excitation. Int. J. Non-Linear Mech. 2013, 48, 86–100. [Google Scholar] [CrossRef]
- Li, L.; Li, Y.; Liu, Q.; Lv, H. Flapwise non-linear dynamics of wind turbine blades with both external and internal resonances. Int. J. Non-linear Mech. 2014, 61, 1–14. [Google Scholar] [CrossRef]
- Yuan, G.; Wang, Y. Internal, primary and combination resonances of a wind turbine blade with coupled flapwise and edgewise motions. J. Sound Vib. 2021, 514, 116439. [Google Scholar] [CrossRef]
- She, H.; Li, C. Effects of centrifugal stiffening and spin softening on nonlinear modal characteristics of cyclic blades with impact–friction coupling. Nonlinear Dyn. 2022, 110, 3229–3254. [Google Scholar] [CrossRef]
- Nayfeh, A.H.; Mook, D.T. Nonlinear Oscillations; John Wiley & Sons: New York, NY, USA, 1995. [Google Scholar]







































| Parameter | Value | Parameter | Value |
|---|---|---|---|
| 10 N·s/m | e | 0.25 m | |
| EI | 5.41 × 104 N·m2 | EA | 1.08 × 109 N |
| 3.55 MN/m | L | 1.05 m | |
| 40.13 kg/m | 0.2 kg | ||
| 50 | α | 60° | |
| 2.0 × 10−5 m | l | 1 | |
| μ | 0.3 | Ω | 6900 r/min |
Disclaimer/Publisher’s Note: The statements, opinions and data contained in all publications are solely those of the individual author(s) and contributor(s) and not of MDPI and/or the editor(s). MDPI and/or the editor(s) disclaim responsibility for any injury to people or property resulting from any ideas, methods, instructions or products referred to in the content. |
© 2024 by the authors. Licensee MDPI, Basel, Switzerland. This article is an open access article distributed under the terms and conditions of the Creative Commons Attribution (CC BY) license (https://creativecommons.org/licenses/by/4.0/).
Share and Cite
Li, H.; Yuan, G.; Yu, Z.; Wang, Y.; Marmysh, D. Nonlinear Dynamics and Combination Resonance of a Flexible Turbine Blade with Contact and Friction of Shrouds. Machines 2024, 12, 59. https://doi.org/10.3390/machines12010059
Li H, Yuan G, Yu Z, Wang Y, Marmysh D. Nonlinear Dynamics and Combination Resonance of a Flexible Turbine Blade with Contact and Friction of Shrouds. Machines. 2024; 12(1):59. https://doi.org/10.3390/machines12010059
Chicago/Turabian StyleLi, Hua, Gaofei Yuan, Zifeng Yu, Yuefang Wang, and Dzianis Marmysh. 2024. "Nonlinear Dynamics and Combination Resonance of a Flexible Turbine Blade with Contact and Friction of Shrouds" Machines 12, no. 1: 59. https://doi.org/10.3390/machines12010059
APA StyleLi, H., Yuan, G., Yu, Z., Wang, Y., & Marmysh, D. (2024). Nonlinear Dynamics and Combination Resonance of a Flexible Turbine Blade with Contact and Friction of Shrouds. Machines, 12(1), 59. https://doi.org/10.3390/machines12010059
