Numerical Analysis of Unsteady Heat Transfer in the Chamber in the Piston Hybrid Compressor with Regenerative Heat Exchange
Abstract
1. Introduction
2. Theoretical Models
2.1. Assumptions and Governing Equations
2.1.1. Thermodynamic Cycle Simplifications
- The simulated processes are reversible and at equilibrium;
- The fluid (gas) is considered to be continuous;
- The compressed gas is single-phase;
- The variation in the hydrostatic and dynamic energy of the gas is negligible;
- The properties of the fluid follow the perfect gas state equation;
- The heat exchange between the gas and the walls of the compressor chamber is carried out by convection alone and described by Newton’s law;
- A simplification of the lumped parameters is adopted in the modelling of leakages and of the flow through the valves [30]: the gas flow is one-dimensional, isotropic, and in a quasi-steady-state, and the hydraulic coefficients are taken for the steady-state flow;
- The spatial variation of the convection coefficient across the compressor chamber is neglected, i.e., the spatially averaged convection coefficient is accounted for. The temporal variation of this coefficient is related to the instantaneous velocity of the piston.
2.1.2. Unsteady Heat-Transfer Simplifications
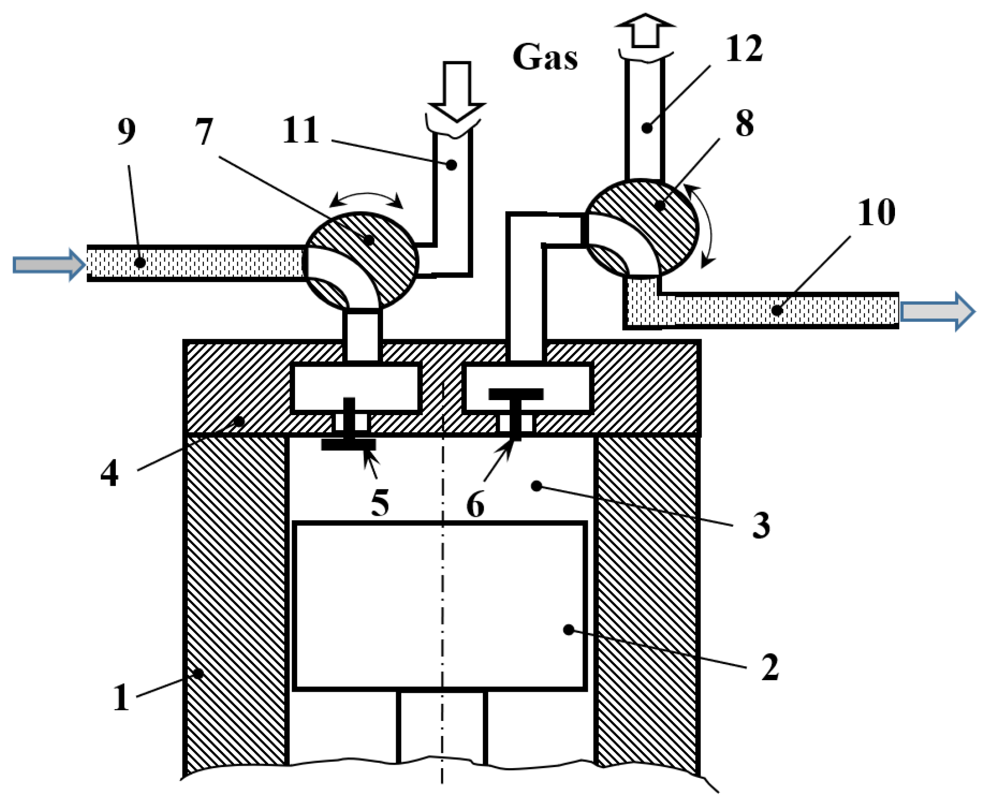
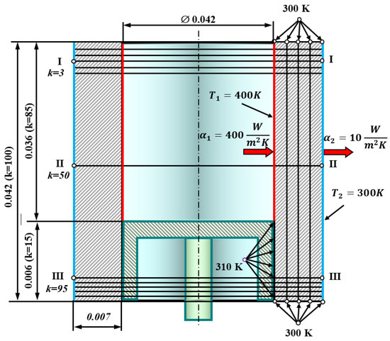
- The complex internal surface of the compressor chamber is split into three simple elements: a cylinder head (valve plate) of constant thickness, a piston of constant thickness, and a cylinder with no fins on its outer surface—see Figure 3;
- The piston and the valve plate are considered to be radially unconstrained, i.e., one-dimensional heat transfer is assumed;
- There is no internal heat generation in the elements of the chamber;
- The external heat convection coefficient is approximated based on the experimental studies;
- The thermophysical properties of the materials are independent of temperature and pressure.
2.2. Numerical Methods for Transient Heat-Transfer
2.2.1. Cartesian Coordinates: Cylinder Head and Piston
2.2.2. Cylindrical Coordinates: Cylinder Walls
2.3. Thermodynamics of Compressor Cycle
2.4. Implementation of the Numerical Model
2.5. Selection of the Diffusion Equation Integration Step ∆τ1
2.6. Selection of the Time Step ∆τ2 in the Thermodynamic Model
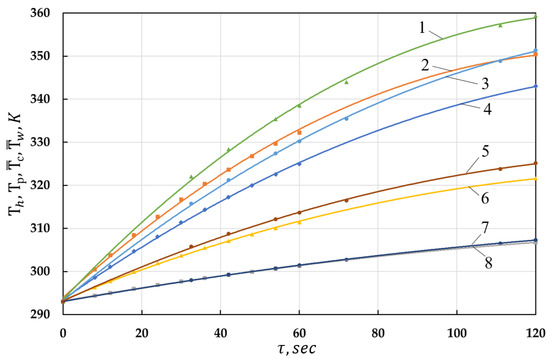
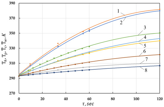
3. Results and Discussion
4. Conclusions
- Starting from the system of assumptions, the thermodynamic model was coupled with the unsteady heat transfer model to study the novel piston hybrid compressor (PHC) with regenerative heat exchange.
- The implicit tridiagonal matrix algorithm was implemented to solve the unsteady thermal diffusion equation subject to boundary conditions of the first and third kinds. The properties of the numerical method were discussed.
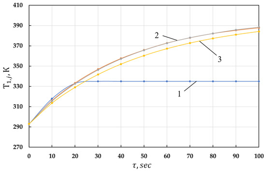
- Numerical stability analysis was performed to determine the ratio between the spatial and temporal resolutions adopted in the tridiagonal matrix algorithm, which ensure the minimization of the computational time while maintaining sufficient accuracy. The finite element solution obtained in the ANSYS software was used as a reference for the comparison of the computation results.
- The integration time step was determined for the thermodynamic model, which was strongly coupled with the heat transfer processes. It was found to be substantially smaller compared to the heat transfer temporal resolution, which is attributed to the relatively small size of the compressor chamber.
- Several numerical experiments were executed using the strongly coupled thermodynamic and heat transfer models which were developed. The following conclusions can be made:- The developed numerical model allowed the retrieval of the time variation of the temperatures in the components of the piston hybrid compressor;
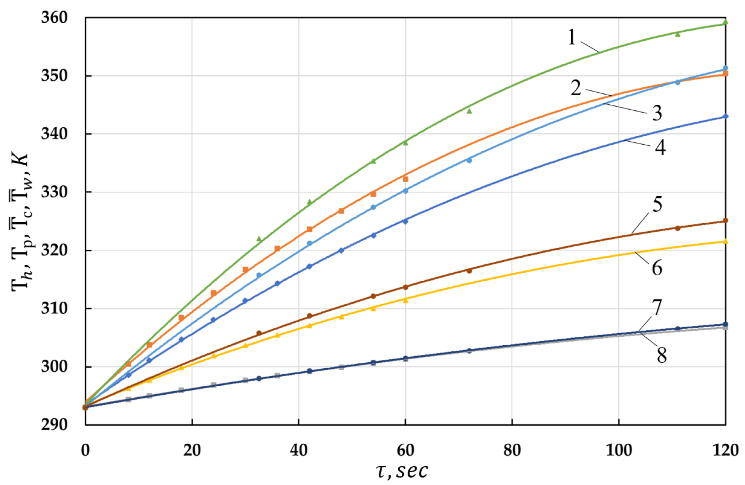
- The dynamics of the heat flows, as well as the integral energetic characteristics of the compressor were studied with consideration of the isothermal, adiabatic, and volumetric efficiencies. A reduction in all efficiencies of around 3% was reported for the studied time interval of 120 s.
- The heat flow through the compressor chamber walls was divided into the mean and the oscillating parts. The existence of the non-zero mean heat flow contribution was demonstrated and was in agreement with the existing theories. Moreover, the temperature variation at the compressor chamber surfaces was found to be less than 1 K, which is also supported by the available literature.
 
Author Contributions
Funding
Data Availability Statement
Conflicts of Interest
Nomenclature
| A | the experimentally determined constants in the correlation for the Nusselt number (A = 0.2 ÷ 0.235); | 
| the thermal diffusivity of the cylinder, m2/s; | |
| the thermal diffusivity of the piston material, m2/s; | |
| the thermal diffusivity of the cylinder head, m2/s; | |
| B | the experimentally determined constants in the correlation for the Nusselt number (B = 500 ÷ 800); | 
| the elementary masses of the gas passing during time interval through various cross-sections, kg; | |
| the isobaric specific heat capacy, J/(kg·K); | |
| the isochoric specific heat capacity, J/(kg·K); | |
| the specific heat capacity of the materials of the cylinder head, J/(kg·K); | |
| the specific heat capacity of the piston, J/(kg·K); | |
| the specific heat capacity of the cylinder, J/(kg·K); | |
| the heat exchange surfaceof the piston, m2; | |
| the heat exchange surface of the cylinder head, m2; | |
| the heat exchange surface of the cylinder, m2; | |
| h | the stroke of the valves, m; | 
| i | the specific enthalpy of the gas, J; | 
| the adiabatic index of the gas (indices “sc”, “sc1”, “cmprs1”, “d1”, and “d” refer to the suction gas, the suction cavity, the compression chamber, the discharge cavity, and the discharge gas, respectively); | |
| the piston length, m; | |
| the length of the cylinder, m; | |
| the mass of the gas, kg; | |
| the reduced mass of the valves, kg; | |
| nrev | the number of revolutions per minute of the compressor shaft, rpm; | 
| the area-averaged Nusselt number; | |
| the pressure of the gas, Pa; | |
| the gas discharge pressure, Pa; | |
| the heat flux density vector, W/m2; | |
| the internal heat generation, W/m3; | |
| the specific heat flux caused by friction forces, W/m2; | |
| r | the radial coordinate, m; | 
| the gas constant (indices “sc”, “sc1”, “cmprs1”, “d1”, and “d” refer to the suction gas, the suction cavity, the compression chamber, the discharge cavity, and the discharge gas, respectively), J/(mol·K); | |
| ) | the Reynolds number as a function of the angular shaft coordinate; | 
| the current stroke of the piston, m; | |
| S | the convergence parameter of the difference scheme; | 
| Sd | the size of the dead volume, m; | 
| the stroke of the piston, m; | |
| the temperature of gas, K; | |
| the suction temperature, K; | |
| the temperature of the piston, K; | |
| the temperature of the cylinder head, K; | |
| the temperature of the cylinder, K; | |
| the gas temperature gas in the compressor chamber, K; | |
| the environmental air temperature, K; | |
| the cylinder head temperature at the contact with the cylinder itself, K; | |
| the crankcase temperature at the point of contact with the lower cylinder surface, K; | |
| the temperature of the gas at the time , K; | |
| the temperature of the wall surface with , K; | |
| the total gas internal energy, J; | |
| the volume of the gas, m3; | |
| the dead volume of the compressor chamber, m3; | |
| the total volume of the compressor chamber, m3; | |
| the instantaneous velocity of the piston, m/s; | |
| x | the experimentally determined constants in the correlation for the Nusselt number (x = 0.8 ÷ 0.86); | 
| the convection heat transfer coefficient in the compressor chamber, W/(m2·K); | |
| the convection heat transfer coefficient, W/(m2·K); | |
| the convection heat transfer coefficient between the gas located near at the time , W/(m2·K); | |
| the area-averaged convection heat transfer coefficient, which is a function of the angular shaft coordinate, W/(m2·K); | |
| ∆x | the spatial integration step; | 
| the temporal integration step; | |
| the thermal conductivity of the piston, W/(m·K); | |
| the thermal conductivity of the cylinder head, W/(m·K); | |
| the ratio of the piston stroke to the doubled length of the rod; | |
| the thermal conductivity of the gas, W/(m·K); | |
| the dynamic viscosity of the gas, Pa·s; | |
| the density of the gas, kg/m3; | |
| the density of materials of the cylinder head, kg/m3; | |
| the density of materials of the piston, kg/m3; | |
| the density of materials of the cylinder, kg/m3; | |
| the sum of forces acting on the valves, N; | |
| τ | the current physical time, s; | 
| the angular coordinate of the compressor shaft, grad; | |
| the angular velocity of the shaft, rad/s. | 
References
- Radgen, P. Efficiency through Compressed Air Energy Audits. In Proceedings of the Energy Audit Conference, Lahti, Finland, 11–13 September 2006. [Google Scholar]
- Xiaolin, T. Energy Consumption and Energy Saving Research Status of Air Compressor System. In Applied Mechanics & Materials; Xiaolin, T., Shougen, H., Hongbo, Q., Eds.; Trans Tech Publications Ltd.: Zürich, Switzerland, 2014; Volume 628, pp. 225–228. [Google Scholar]
- Sychkov, A.E. The role of efficient cooling systems in modern compressor installations. Megapascal 2009, 4, 36–40. [Google Scholar]
- Mousavi, S. Energy efficiency of compressed air systems. Procedia CIRP 2014, 15, 313–318. [Google Scholar] [CrossRef]
- Tuhovcak, J.; Hejcik, J.; Jicha, M. Comparison of heat transfer models for reciprocating compressor. Appl. Therm. Eng. 2016, 103, 607–615. [Google Scholar] [CrossRef]
- Patil, V.C.; Acharya, P.; Ro, P.I. Experimental investigation of heat transfer in liquid piston compressor. Appl. Therm. Eng. 2019, 146, 169–179. [Google Scholar] [CrossRef]
- Shcherba, V.E.; Aver’yanov, G.S.; Kalekin, V.S.; Korneev, S.V.; Tegzhanov, A.S. Calculation of Rational Values of Discharge Pressures in the Compressor and Pump Sections of a Crossheadless Reciprocating Hybrid Power Machine. Chem. Pet. Eng. 2018, 54, 418–424. [Google Scholar] [CrossRef]
- Shcherba, V.E.; Shalai, V.V.; Nosov, E.Y.; Kondyurin, A.Y.; Nesterenko, G.A.; Tegzhanov, A.S.; Bazhenov, A.M. Comparative Analysis of Results of Experimental Studies of Piston Hybrid Energy-Generating Machine with Smooth and Stepped Slot Seals. Chem. Pet. Eng. 2018, 54, 499–506. [Google Scholar] [CrossRef]
- Shcherba, V.E.; Shalai, V.V.; Grigor’ev, A.V.; Kondyurin, A.Y.; Lysenko, E.A.; Bazhenov, A.M.; Tegzhanov, A.S. Analysis of results of theoretical and experimental studies of the influence of radial gaps in stepped slot seal of piston hybrid energy-generating machine. Chem. Pet. Eng. 2018, 54, 666–672. [Google Scholar] [CrossRef]
- Shcherba, V.E.; Shalai, V.V.; Kondyurin, A.Y.; Ovsyannikov, A.Y.; Dorofeev, E.A.; Kryukov, K.S. Influence of Deformation, Mass Transfer, and Heating on Pump Compression. Russ. Eng. Res. 2019, 39, 1–5. [Google Scholar] [CrossRef]
- Shcherba, V.E.; Shalai, V.V.; Kuzhbanov, A.K.; Zaloznov, I.P.; Kryukov, K.S.; Tegzhanov, A.S. Utilization of Compressed Gas Heat for Fluid Compression and Movement in a Displacement Pump. Chem. Pet. Eng. 2019, 55, 216–222. [Google Scholar] [CrossRef]
- Pat. for the invention 2686536 Russian Federation, IPC F 04 B 19/06. Hybrid volumetric machine with a tron piston. In Applicant and Patent Holder; Shcherba, V.E., Tegzhanov, A.S., Bolshtyansky, A.P., Nosov, E.Y., Eds.; Omsk State Techn. University: Omsk, Russia, 2018. [Google Scholar]
- Development of a Prototype of Crosshead-Free Piston Hybrid Power Machine; Shcherba, V.E., Tegzhanov, A.S., Nosov, E.Y., Eds.; Bulletin of Irkutsk State Technical University: Irkutsk, Russia, 2018; Volume 22. [Google Scholar]
- Russian Federation. Method of Operation of the Liquid Cooling System of a Volumetric Machine and Device for Its Implementation. Patent 2763099, 27 December 2021.
- Prasad, B.G.S. Heat Transfer in Reciprocating Compressors—A Review. In Proceedings of the ASME 1998 International Mechanical Engineering Congress and Exposition, Anaheim, CA, USA, 15–20 November 1998; Paper 1349. Available online: https://docs.lib.purdue.edu/icec/1349 (accessed on 4 January 2023).
- Adair, R.P.; Qvale, E.B. Pearson Instantaneous Heat Transfer to the Cylinder Wall in Reciprocating Compressors. Proc. Purdue Compress. Conf. 1972, 521–526. [Google Scholar]
- Liu, Z.; Yang, X.; Yang, X.; Zhai, H.; Duan, Z. Performance Evaluation on the In-Cylinder Heat Transfer of a Reciprocating Compressor using CO2 as a Working Fluid. J. Therm. Sci. 2022, 31, 1518–1530. [Google Scholar] [CrossRef]
- Ocheduszko, S. Teoria Maszyn Cieplnych, ume 3; Państwowe Wydawnictwo Naukowe: Warszawa, Poland, 1953. [Google Scholar]
- Szargut, J. Exergy Method: Technical and Ecological Applications; WIT Press: Cambridge, MA, USA, 2005; Volume 18. [Google Scholar]
- Mahbod, H.; Mehdi, M.; Alfred, R. Design, modeling and experimental validation of a novel finned reciprocating compressor for isothermal compressed air energy storage applications. Energy 2017, 140, 1252–1266. [Google Scholar]
- Maria, A.C.; Michael, S.; Sapin, P.; Christos, N. Markides Off-design optimisation of organic rankine cycle (orc) engines with piston expanders for medium-scale combined heat and power applications. Appl. Energy 2019, 238, 1211–1236. [Google Scholar]
- Richard, M.; Christos, N.M.; Alexander, J. White A framework for the analysis of thermal losses in reciprocating compressors and expanders. Heat Tran. Eng. 2014, 35, 1435–1449. [Google Scholar]
- Recktenwald, G.W.; Ramsey, J.W.; Patankar, S.V. Predictions of Heat Transfer in Compressor Cylinders. In Proceedings of the International Compressor Engineering Conference, West Lafayette, IN, USA, 4–7 August 1986; Paper 523. Available online: http://docs.lib.purdue.edu/icec/523 (accessed on 4 January 2023).
- Tuhovcak, J.; Jicha, M. Heat Transfer Analysis in the Cylinder of Reciprocating Compressor; Purdue University: West Lafayette, IN, USA, 2016. [Google Scholar]
- Shcherba, V.E. Method for estimating the operating time in the compressor mode of a volumetric piston hybrid power machine with regenerative heat exchange. News of higher educational institutions. Engineering 2022, 751, 96–102. [Google Scholar]
- Plastinin, P.I. Reciprocating Compressors; Kolos: Moscow, Russia, 2006; p. 456. [Google Scholar]
- Landau, L.; Lifshitz, E. Continuum Mechanics. In Hydrodynamics and the Theory of Elasticity; State Publishing House of Technical and Theoretical Literature: Leningrad, Russia, 1944; Volume 3, 624p. [Google Scholar]
- Emtsev, B.T. Technical Hydromechanics; Mashinostroenie: Moscow, Russia, 1987; 440p. [Google Scholar]
- Isachenko, V.P.; Osipova, V.A.; Sukomel, A.S. Heat Transfer/Textbook for Universities, 3rd ed.; Mir Publishers: Moscow, Russia, 1975; 488p. [Google Scholar]
- Cui, M.; Peng, H.F.; Xu, B.B. A new radial integration polygonal boundary element method for solving heat conduction problems. Int. J. Heat Mass Transf. 2018, 123, 252–260. [Google Scholar] [CrossRef]
- Annafi, T.A.; Gyeabour, A.A.; Akaho, E.H.K. Finite difference analysis of the transient temperature profile within GHARR-1 fuel element. Ann. Nucl. Energy 2014, 68, 204–208. [Google Scholar] [CrossRef]
- Cui, M.; Zhao, Y.; Xu, B.B. Inverse analysis for simultaneously estimating multi-parameters of temperature-dependent thermal conductivities of an Inconel in a reusable metallic thermal protection system. Appl. Therm. Eng. 2017, 125, 480–488. [Google Scholar] [CrossRef]
- Li, W.; Yu, B.; Wang, X.R. A finite volume method for cylindrical heat conduction problems based on local analytical solution. Int. J. Heat Mass Transf. 2012, 55, 5570–5582. [Google Scholar] [CrossRef]
- Han, S. Finite volume solution of two-step hyperbolic conduction in casting sand. Int. J. Heat Mass Transf. 2016, 93, 1116–1123. [Google Scholar] [CrossRef]
- Clarac, F.; Goussard, F.; Teresi, L. Do the ornamented osteoderms influence the heat conduction through the skin? A finite element analysis in Crocody lomorpha. J. Therm. Biol. 2017, 69, 39–53. [Google Scholar] [CrossRef]
- Cebula, A. Heat flux and temperature determination in a cylindrical element with the use of Finite Volume Finite Element. Int. J. Therm. Sci. 2018, 127, 142–157. [Google Scholar] [CrossRef]
- Sladek, J.; Sladek, V.; Zhang, C. Transient heat conduction analysis in functionally graded materials by the meshless local boundary integral equation method. Comput. Mater. Sci. 2003, 28, 494–504. [Google Scholar] [CrossRef]
- Joldes, G.R.; Chowdhury, H.; Wittek, A.; Miller, K. A new method for essential boundary conditions imposition in explicit meshless methods. Eng. Anal. Bound. Elem. 2017, 80, 94–104. [Google Scholar] [CrossRef]
- Wrobel, L.C. Boundary Element Methods in Heat Transfer; Wrobel, L.C., Brebbia, C.A., Eds.; Southampton: Boston, MA, USA, 1992; 294p. [Google Scholar]
- Yu, B.; Xu, C.; Yao, W.A.; Meng, Z. Estimation of boundary condition on the furnace inner wall based on precise integration BEM without iteration. Int. J. Heat Mass Transf. 2018, 122, 823–845. [Google Scholar] [CrossRef]
- Ling, J.; Yang, D.S.; Zhai, B.W. Solving the single-domain transient heat conduction with heat source problem by virtual boundary meshfree Galerkin method. Int. J. Heat Mass Transf. 2017, 115, 361–367. [Google Scholar] [CrossRef]
- Hua, T.; Zhao, Y.C.; Guo, Z.Y. Optimization of the one-dimensional transient heat conduction problems using extended entransy analyzes. Int. J. Heat Mass Transf. 2018, 116, 166–172. [Google Scholar] [CrossRef]
- Choi, W.; Ooka, R.; Shukuya, M. Exergy analysis for unsteady-state heat conduction. Int. J. Heat Mass Transf. 2018, 116, 1124–1142. [Google Scholar] [CrossRef]
- Demidovich, B.P.; Maron, I.A.; Shuvalova, E.Z. Numerical methods of analysis. In Approximation of Functions, Differential and Integral Equations, 3rd ed.; Nauka: Moscow, Russia, 1967; 368p. [Google Scholar]
- Fotin, B.S.; Pirumov, I.B.; Prilutsky, I.K.; Plastinin, P.I. Piston compressors. In Proc. Allowance for University Students, Under the Total; Engineering Leningrad Department: Leningrad, Russia, 1987; 372p. [Google Scholar]

















| Current Heating Time | Node Number by Cylinder Wall Thickness | Node Number along the Generatrix of the Cylinder | ||
|---|---|---|---|---|
| K = 3 | K = 50 | K = 95 | ||
| 33.35 s | 1 | 325.605 | 339.751 | 309.988 | 
| 4 | 325.444 | 339.364 | 309.983 | |
| 8 | 325.268 | 338.958 | 309.965 | |
| 12 | 325.140 | 338.668 | 309.950 | |
| 14 | 325.093 | 338.567 | 309.945 | |
| 16 | 325.060 | 338.495 | 309.940 | |
| 18 | 325.040 | 338.453 | 309.937 | |
| 20 | 325.033 | 338.439 | 309.935 | |
| 66.576 s | 1 | 334.901 | 365.409 | 310 | 
| 4 | 334.839 | 365.186 | 309.983 | |
| 8 | 334.465 | 364.949 | 309.965 | |
| 12 | 334.709 | 364.775 | 309.951 | |
| 14 | 334.688 | 364.713 | 309.945 | |
| 16 | 334.672 | 364.666 | 309.941 | |
| 18 | 334.601 | 364.636 | 309.937 | |
| 20 | 334.654 | 364.633 | 309.935 | |
| Designation | Units | 
|---|---|
| piston stroke | 0.0047 m | 
| piston diameter | 0.038 m | 
| piston length | 0.060 m | 
| linear dead space | 0.0018 m | 
| suction cavity diameter | 0.02 m | 
| suction cavity length | 0.01 m | 
| discharge cavity diameter | 0.02 m | 
| length of the discharge cavity | 0.01 m | 
| passage width in the suction valve seat (diameter of the hole in the seat) | 0.0128 m | 
| passage width in the discharge valve seat (diameter of the hole in the seat) | 0.0128 m | 
| suction valve spring stiffness | 300 N/m | 
| pressure valve spring stiffness | 599 N/m | 
| maximum lifting height of the suction valve closure | 0.0018 m | 
| maximum lifting height of the discharge valve closure | 0.001 m | 
| heat transfer coefficient from the surface of the cylinder–piston group to the environment | 0.1 W/(m2∙K) | 
| heat transfer coefficient between the piston head and air from the crankcase side | 1 W/(m2∙K) | 
| cylinder length | 0.067 m | 
| temperature at the bottom of the end surface of the cylinder | 300 K | 
| piston head thickness | 0.0055 m | 
| valve plate thickness | 0.004 m | 
| cylinder wall thickness | 0.003 m | 
| coefficient of thermal conductivity of the material of the parts of the cylinder–piston group | 60 W/m∙K | 
| density of the material of the cylinder–piston group | 7856 kg/m3 | 
| specific isobaric heat capacity of the material of the cylinder–piston group | 502 J/(kg∙K) | 
| the ratio of the full stroke of the piston to the double length of the connecting rod’s | 0.2 | 
| ambient temperature | 293 K | 
| Disclaimer/Publisher’s Note: The statements, opinions and data contained in all publications are solely those of the individual author(s) and contributor(s) and not of MDPI and/or the editor(s). MDPI and/or the editor(s) disclaim responsibility for any injury to people or property resulting from any ideas, methods, instructions or products referred to in the content. | 
© 2023 by the authors. Licensee MDPI, Basel, Switzerland. This article is an open access article distributed under the terms and conditions of the Creative Commons Attribution (CC BY) license (https://creativecommons.org/licenses/by/4.0/).
Share and Cite
Shcherba, V.; Khait, A.; Nosov, E.; Pavlyuchenko, E. Numerical Analysis of Unsteady Heat Transfer in the Chamber in the Piston Hybrid Compressor with Regenerative Heat Exchange. Machines 2023, 11, 363. https://doi.org/10.3390/machines11030363
Shcherba V, Khait A, Nosov E, Pavlyuchenko E. Numerical Analysis of Unsteady Heat Transfer in the Chamber in the Piston Hybrid Compressor with Regenerative Heat Exchange. Machines. 2023; 11(3):363. https://doi.org/10.3390/machines11030363
Chicago/Turabian StyleShcherba, Victor, Anatoliy Khait, Evgeniy Nosov, and Evgeniy Pavlyuchenko. 2023. "Numerical Analysis of Unsteady Heat Transfer in the Chamber in the Piston Hybrid Compressor with Regenerative Heat Exchange" Machines 11, no. 3: 363. https://doi.org/10.3390/machines11030363
APA StyleShcherba, V., Khait, A., Nosov, E., & Pavlyuchenko, E. (2023). Numerical Analysis of Unsteady Heat Transfer in the Chamber in the Piston Hybrid Compressor with Regenerative Heat Exchange. Machines, 11(3), 363. https://doi.org/10.3390/machines11030363
 
        



 
       
       