Investigation of the Pressure Fluctuation of Piston Chambers with Variable Slot Geometry
Abstract
1. Introduction
2. Mathematical Model
2.1. Modelling of the Kinematic of the Pistons
2.2. Modelling of the Valve plate Opening Area
2.3. Modelling of the Inlet and Outlet Flow
2.4. Flow Continuity Equation of the Piston Chamber
2.5. Solution of the Pressure Fluctuation Model
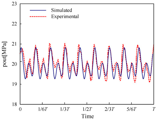
3. Experiments and Validation
4. Results and Discussions
4.1. Pressure Fluctuation of the Piston Chamber
4.2. Effect of the Slot Geometry
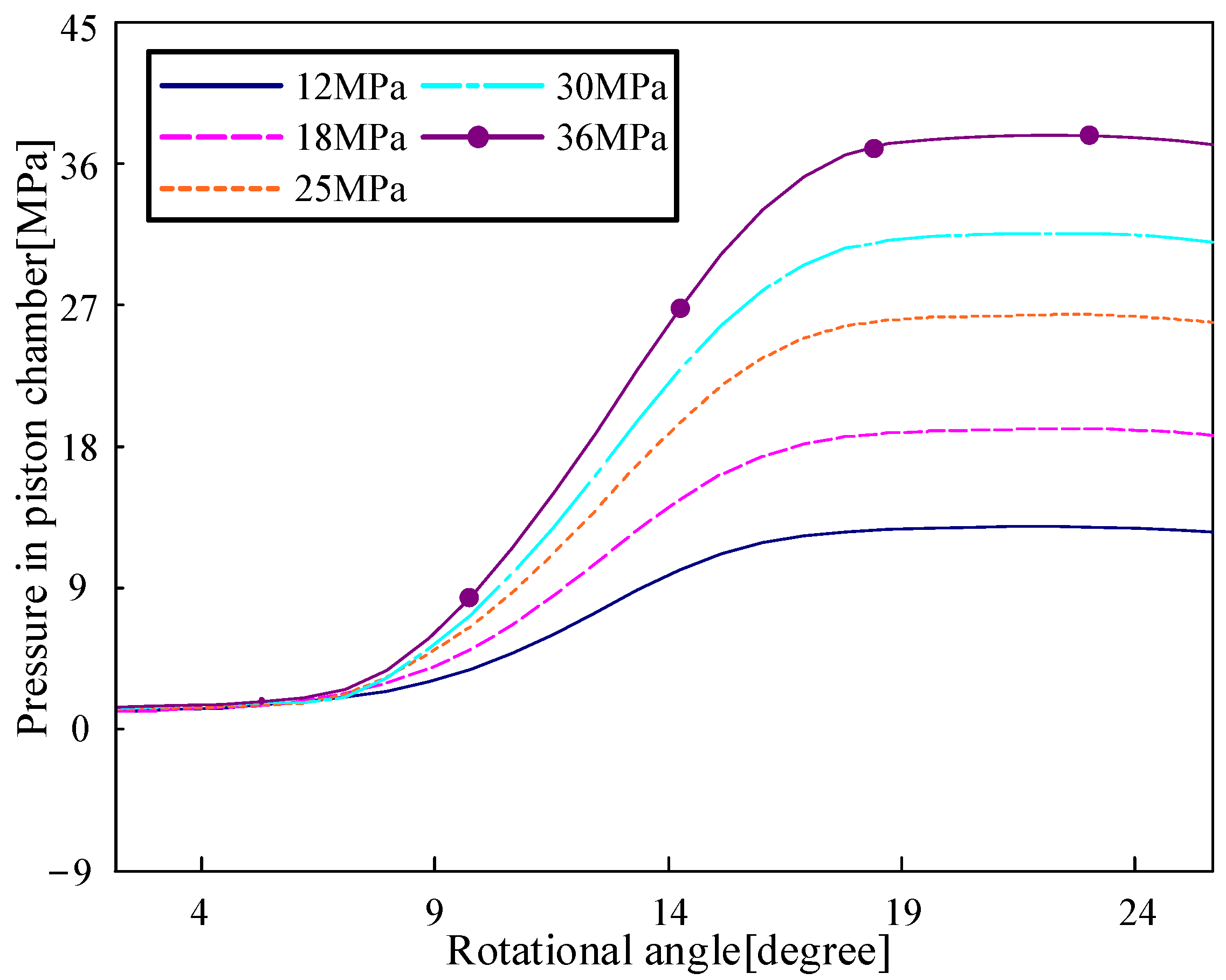
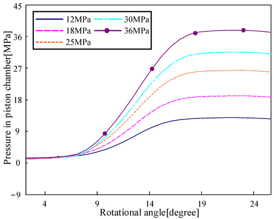
4.3. Effect of the Working Conditions
5. Conclusions
- (1)
- Among the existing triangular groove parameter combinations, the optimal ones are G1 (10°, 20°, 90.10°) and G3 (10°, 25°, 103.86°). If the volume of the triangular slot remains constant, it would be better to increase θ2 and θ1 to reduce the undershoot of the piston chamber pressure in order to avoid cavitation during the transition region;
- (2)
- At different speeds, the overshoot of the pressure in the piston chamber shows no significant difference, while the undershoot of the piston chamber pressure is obviously larger under higher speed conditions. It indicates that increasing the speed will accelerate the pressure release rate and, as a result, aggravate pressure impact and cavitation;
- (3)
- Outlet pressure has a significant effect on the pressure fluctuation of the piston chamber. The fluctuation amplitude and undershoot are higher if increasing the discharge pressure. In actual engineering applications, a large undershoot is more likely to cause cavitation damage at the start-up stage since the outlet pressure not yet reach the maximum value.
Author Contributions
Funding
Conflicts of Interest
Nomenclature
| R | cylinder pitch radius [m] |
| Rp | piston radius [m] |
| hp | average film thickness of piston/cylinder interface [m] |
| hs | average film thickness of slipper/swash plate interface [m] |
| hv | average film thickness of cylinder block/valve plate interface [m] |
| β | inclination angle of the swash plate [degree] |
| φ | angle of the piston relative to the outer dead center [degree] |
| ω | angular velocity [m/s] |
| t | Time [s] |
| n | speed of piston pump [r/min] |
| L | piston displacement [m] |
| Lf | coupling length of piston/cylinder interface [m] |
| u | circumferential speed of the piston [m/s] |
| dd | diameter of damping hole of piston ball head [m] |
| ld | length of damping hole of piston ball head [m] |
| din | inner diameter of slipper sealing belt [m] |
| dout | outer diameter of slipper sealing belt [m] |
| v | axial velocity of the piston [m/s] |
| p | piston chamber pressure [Pa] |
| pcase | housing pressure of piston pump [Pa] |
| a | axial acceleration of the piston [m2/s] |
| Smin | minimum flow area [m2] |
| SS | area of the shaded part [m2] |
| θ1 | depth angle of transverse section of triangular vibration damping groove [degree] |
| θ2 | width angle of transverse section of triangular vibration damping groove [degree] |
| θ3 | width angle of longitudinal section of triangular vibration damping groove [degree] |
| r | radius of starting and ending circles of kidney groove [m] |
| z | number of pistons [-] |
| m | number of piston chamber connected with the high-pressure side of the valve plate [-] |
| α | piston angular distance [degree] |
| Q | theoretical oil delivery rate [m3/s] |
| Vh | volumes of the high-pressure pipeline [m3] |
| Vl | volumes of the low-pressure pipeline [m3] |
| qleak,hp | leakage flows of the high-pressure port of the valve plate [m3/s] |
| qleak,lp | leakage flows of the low-pressure port of the valve plate [m3/s] |
| K | volume modulus [-] |
| qback,hp | sum of the backflow of all piston chambers connected with the high-pressure port of the valve plate [m3/s] |
| qback,lp | backflow connected with the low-pressure port of the valve plate [m3/s] |
| ΔPhp | pressure difference at the orifice of the high-pressure port [Pa] |
| ΔPlp | pressure difference at the orifice of the low-pressure port [Pa] |
| Qt | theoretical displacement of piston pump [m3/r] |
| C | discharge coefficient [-] |
| ρ | oil density [kg/m3] |
| μ | dynamic viscosity of oil [Pa.s] |
| Vc | volume of oil in piston chamber [m3] |
| qback,valve | backflow when communicating with high-pressure side or low-pressure side of the valve plate [m3/s] |
| qleaka,piston | leakage flow of the piston/cylinder interface [m3/s] |
| qleaka,slipper | leakage flow of the slipper/swash plate interface [m3/s] |
| qleaka,valve | leakage flow of the cylinder block/valve plate interface of the single piston chamber [m3/s] |
| R1 | radius of inner oil seal of valve plate [m] |
| R2 | inner radius of the kidney groove of valve plate [m] |
| R3 | outside radius of the kidney groove of valve plate [m] |
| R4 | radius of outside oil seal of valve plate [m] |
References
- Yang, H.Y.; Pan, M. Engineering research in fluid power: A review. J. Zhejiang Univ. Sci. A 2015, 16, 427–442. [Google Scholar] [CrossRef]
- Chao, Q.; Zhang, J.H.; Xu, B.; Huang, H.; Pan, M. A Review of High-Speed Electro-Hydrostatic Actuator Pumps in Aerospace Applications: Challenges and Solutions. ASME J. Mech. Des. 2019, 141, 050801. [Google Scholar] [CrossRef]
- Cho, I.S. A study on the optimum design for the valve plate of a swash plate-type oil hydraulic piston pump. J. Mech. Sci. Technol. 2015, 29, 2409–2413. [Google Scholar] [CrossRef]
- Wang, Y.; Dong, H.K.; He, Y.L. A novel approach for predicting inlet pressure of aircraft hydraulic pumps under transient conditions. Chin. J. Aeronaut. 2019, 32, 2566–2576. [Google Scholar] [CrossRef]
- Chao, Q.; Zhang, J.H.; Xu, B. Centrifugal effects on cavitation in the cylinder chambers for high-speed axial piston pumps. Meccanica 2019, 54, 815–829. [Google Scholar] [CrossRef]
- Dong, H.K.; He, Y.L.; Wang, Y.; Kou, G.Y. Numerical investigation of effect of a centrifugal boost impeller on suction performance of an aircraft hydraulic pump. Chin. J. Aeronaut. 2022, 35, 236–248. [Google Scholar] [CrossRef]
- Zhang, X.; Wu, H.Y.; Chen, C.C.; Wang, D.Y. Oil film lubrication state analysis of piston pair in piston pump based on coupling characteristics of the fluid thermal structure. Eng. Fail. Anal. 2022, 140, 106521. [Google Scholar] [CrossRef]
- Bergada, J.M.; Davies, D.L. The hydrostatic/hydrodynamic behaviour of an axial piston pump slipper with multiple lands. Meccanica 2010, 45, 585–602. [Google Scholar] [CrossRef]
- Zhang, B.; Ma, J.E.; Hong, H.C.; Yang, H.Y. Analysis of the flow dynamics characteristics of an axial piston pump based on the computational fluid dynamics method. Eng. Appl. Comp. Fluid Mech. 2017, 11, 86–95. [Google Scholar] [CrossRef]
- Shah, Y.G.; Vacca, A.; Frosina, E. A fast lumped parameter approach for the prediction of both aeration and cavitation in Gerotor pumps. Meccanica 2018, 53, 175–191. [Google Scholar] [CrossRef]
- Jiang, J.H.; Wang, K.L.; Sun, Y. The Impact of Bushing Thickness on the Piston/Cylinder Interface in Axial Piston Pump. IEEE Access 2019, 7, 24971–24977. [Google Scholar]
- Jiang, J.H.; Wang, Z.B.; Li, G.Q. The Impact of Slipper Microstructure on Slipper-Swashplate Lubrication Interface in Axial Piston Pump. IEEE Access 2020, 8, 222865–222875. [Google Scholar] [CrossRef]
- Zhao, B.; Guo, W.W.; Quan, L. Cavitation of a Submerged Jet at the Spherical Valve Plate/Cylinder Block Interface for Axial Piston Pump. Chin. J. Mech. Eng. 2020, 33, 67. [Google Scholar] [CrossRef]
- Fang, Y.; Zhang, J.H.; Xu, B.; Huang, C.S. A study on increasing the speed limit of axial piston pumps by optimizing the suction duct. Chin. J. Mech. Eng. 2021, 34, 105. [Google Scholar] [CrossRef]
- Chao, Q.; Zi, X.; Tao, J.F.; Liu, C.L. Capped piston: A promising design to reduce compressibility effects, pressure ripple and cavitation for high-speed and high-pressure axial piston pumps. Alex. Eng. J. 2023, 62, 509–521. [Google Scholar] [CrossRef]
- Manring, N.D. Valve-Plate Design for an axial piston pump operating at low displacements. ASME J. Mech. Des. 2003, 125, 200–205. [Google Scholar] [CrossRef]
- Johansson, A.; Olvander, J.; Palmberg, J.O. Experimental verification of cross-angle for noise reduction in hydraulic piston pumps. Proc. Inst. Mech. Eng. Part I J. Syst. Control. Eng. 2005, 221, 321–330. [Google Scholar] [CrossRef]
- Ivantysynova, M.; Seeniraj, G.K. Impact of Valve Plate Design on Noise, Volumetric Efficiency and Control Effort in an Axial Piston Pump. In Proceedings of the ASME 2006 International Mechanical Engineering Congress and Exposition, Chicago, IL, USA, 5–10 November 2006. [Google Scholar]
- Seeniraj, G.K.; Ivantysynova, M. Multi-Objective Optimization Tool for Noise Reduction in Axial Piston Machines. In Proceedings of the SAE International Commercial Vehicle Engineering Congress & Exhibition, Rosemont, IL, USA, 7–9 October 2008. [Google Scholar]
- Seeniraj, G.K.; Ivantysynova, M. A multi-parameter multi-objective approach to reduce pump noise generation. Int. J. Fluid Power 2011, 12, 7–17. [Google Scholar] [CrossRef]
- Seeniraj, G.K.; Ivantysynova, M. Effect of combining precompression grooves, PCFV And DCFV on pump noise generation. Int. J. Fluid Power 2011, 12, 53–63. [Google Scholar] [CrossRef]
- Wang, S. Improving the Volumetric Efficiency of the Axial Piston Pump. ASME J. Mech. Des. 2012, 134, 111001. [Google Scholar] [CrossRef]
- Ma, J.E.; Fang, Y.T.; Xu, B.; Yang, H.Y. Optimization of Cross Angle Based on the Pumping Dynamics Model. J. Zhejiang Univ. Sci. A 2010, 11, 181–190. [Google Scholar] [CrossRef]
- Xu, B.; Sun, Y.H.; Zhang, J.H.; Sun, T.; Mao, Z.B. A new design method for the transition region of the valve plate for an axial piston pump. J. Zhejiang Univ. Sci. A 2015, 16, 229–240. [Google Scholar] [CrossRef]
- Xu, B.; Ye, S.G.; Zhang, J.H.; Zhang, C.F. Flow ripple reduction of an axial piston pump by a combination of cross-angle and pressure relief grooves: Analysis and optimization. J. Mech. Sci. Technol. 2016, 30, 2531–2545. [Google Scholar] [CrossRef]
- Ye, S.G.; Zhang, J.H.; Xu, B. Noise reduction of an axial piston pump by valve plate optimization. Chin. J. Mech. Eng. 2018, 31, 31–57. [Google Scholar] [CrossRef]




















| Position | Expression |
|---|---|
| Component | Description | Value |
|---|---|---|
| Tested pump | Number of pistons (null) | 9 |
| Pitch radius of pistons (mm) | 41.9 | |
| Diameter of piston (mm) | 20 | |
| Rated speed (r/min) | 3050 | |
| Hydraulic fluid | Rated pressure (bar) | 400 |
| Density (20 °C, kg/m3) | 875 | |
| Kinematic viscosity (mm2/s) | 46 | |
| Isentropic bulk modulus (Pa) | 1.6 × 109 |
| Sensors | Range | Frequency Response | Accuracy |
|---|---|---|---|
| Speed sensor | 0–2000 r/min | 0.5% FS | |
| Flow meter | 0–500 L/min | 0.5% FS | |
| Out pressure sensor | 0–600 bar | >3 kHz | 0.5% FS |
| The Combination of Triangular Groove Parameter | G1 | G2 | G3 | G4 | G5 |
|---|---|---|---|---|---|
| Depth angle of the transverse section of triangular vibration damping groove θ1 (°) | 10 | 10 | 10 | 15 | 5 |
| Width angle of the transverse section of triangular vibration damping groove θ2 (°) | 20 | 15 | 25 | 20 | 20 |
| Width angle of the longitudinal section of triangular vibration damping groove θ3 (°) | 90.10 | 74.34 | 103.86 | 68.53 | 127.40 |
Disclaimer/Publisher’s Note: The statements, opinions and data contained in all publications are solely those of the individual author(s) and contributor(s) and not of MDPI and/or the editor(s). MDPI and/or the editor(s) disclaim responsibility for any injury to people or property resulting from any ideas, methods, instructions or products referred to in the content. |
© 2023 by the authors. Licensee MDPI, Basel, Switzerland. This article is an open access article distributed under the terms and conditions of the Creative Commons Attribution (CC BY) license (https://creativecommons.org/licenses/by/4.0/).
Share and Cite
Wang, D.; Chen, C.; Dong, H. Investigation of the Pressure Fluctuation of Piston Chambers with Variable Slot Geometry. Machines 2023, 11, 225. https://doi.org/10.3390/machines11020225
Wang D, Chen C, Dong H. Investigation of the Pressure Fluctuation of Piston Chambers with Variable Slot Geometry. Machines. 2023; 11(2):225. https://doi.org/10.3390/machines11020225
Chicago/Turabian StyleWang, Dongyun, Congcong Chen, and Hongkang Dong. 2023. "Investigation of the Pressure Fluctuation of Piston Chambers with Variable Slot Geometry" Machines 11, no. 2: 225. https://doi.org/10.3390/machines11020225
APA StyleWang, D., Chen, C., & Dong, H. (2023). Investigation of the Pressure Fluctuation of Piston Chambers with Variable Slot Geometry. Machines, 11(2), 225. https://doi.org/10.3390/machines11020225

