Analysis of Load Loss Characteristics of FeCo Alloy High Speed Permanent Magnet Motor
Abstract
1. Introduction
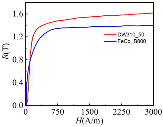
2. Performance Comparison of FeCo_B800 and Silicon Steel DW310_35 Cores
3. Comparison of Efficiency of FeCo Motor and Silicon Steel Motor
4. Contrastive Analysis of FeCo Motor and Silicon Steel Motor Loss
4.1. Motor Loss Separation Method
4.2. Validation and Analysis of Loss Calculation Results
5. Conclusions
- (1)
- The saturation magnetic density of FeCo_B800 stator material and the magnetic permeability in the common range of iron core are lower than those of silicon steel DW315_50 stator material, but FeCo_B800 stator iron core has a very obvious advantage of low loss density.
- (2)
- Due to the excellent loss characteristics of FeCo_B800 stator core, the loss of FeCo_B800 stator core is significantly lower than that of silicon steel DW315_50 core at light load, and the efficiency advantage is obvious.
- (3)
- With the increase of the load rate, the FeCo_B800 stator iron core is seriously saturated, and the loss caused by the winding magnetomotive force and armature reaction harmonics is higher than that of the silicon steel motor, which leads to the FeCo motor efficiency advantage gradually decreases with the increase of the load rate.
Author Contributions
Funding
Institutional Review Board Statement
Informed Consent Statement
Data Availability Statement
Conflicts of Interest
References
- Hou, P.; Ge, B.; Tao, D.; Pan, B.; Wang, Y. Rotor Strength Analysis of FeCo-Based Permanent Magnet High Speed Motor. Machines 2022, 10, 462. [Google Scholar] [CrossRef]
- Liu, N.-W.; Hung, K.-Y.; Yang, S.-C.; Lee, F.-C.; Liu, C.-J. Design of High-Speed Permanent Magnet Motor Considering Rotor Radial Force and Motor Losses. Energies 2020, 13, 5872. [Google Scholar] [CrossRef]
- Pan, B.; Tao, D.; Ge, B.; Wang, L.; Hou, P. Analysis of Eddy Current Loss of 120-kW High-Speed Permanent Magnet Synchronous Motor. Machines 2022, 10, 346. [Google Scholar] [CrossRef]
- Johnson, L.A.; Cornell, E.P.; Bailey, D.J.; Hegyi, S.M. Application of Low Loss Amorphous Metals in Motors and Transformers. IEEE Power Eng. Rev. 1982, PAS-101, 2109–2114. [Google Scholar]
- Dems, M.; Komeza, K. Performance Characteristics of a High-Speed Energy-Saving Induction Motor with an Amorphous Stator Core. IEEE Trans. Ind. Electron. 2014, 61, 3046–3055. [Google Scholar] [CrossRef]
- Tarımer, I.; Arslan, S.; Güven, M.E. Investigation for Losses of M19 and Amorphous Core Materials Asynchronous Motor by Finite Elements Methods. Elektron. Elektrotech. 2012, 18, 15–18. [Google Scholar] [CrossRef][Green Version]
- Wang, Z.; Masaki, R.; Morinaga, S.; Enomoto, Y.; Itabashi, H.; Ito, M.; Tanigawa, S. Development of an Axial Gap Motor with Amorphous Metal Cores. IEEE Trans. Ind. Appl. 2011, 47, 1293–1299. [Google Scholar] [CrossRef]
- Wang, Z.; Enomoto, Y.; Masaki, R.; Souma, K.; Itabashi, H.; Tanigawa, S. Development of A High Speed Motor Using Amorphous Metal Cores. In Proceedings of the 8th International Conference on Power Electronics—ECCE Asia, Jeju, Korea, 30 May–3 June 2011; IEEE: Piscataway, NJ, USA, 2011; pp. 1940–1945. [Google Scholar]
- Fan, T.; Li, Q.; Wen, X. Development of a High Power Density Motor Made of Amorphous Alloy Cores. IEEE Trans. Ind. Electron. 2014, 61, 4510–4518. [Google Scholar] [CrossRef]
- Okamoto, S.; Denis, N.; Kato, Y.; Ieki, M.; Fujisaki, K. Core Loss Reduction of an Interior Permanent-Magnet Synchronous Motor Using Amorphous Stator Core. IEEE Trans. Ind. Appl. 2016, 52, 2261–2268. [Google Scholar] [CrossRef]
- Kolano, R.; Kolano-Burian, A.; Krykowski, K.; Hetmanczyk, J.; Hreczka, M.; Polak, M.; Szynowski, J. Amorphous Soft Magnetic Core for the Stator of the High-Speed PMBLDC Motor with Half-Open Slots. IEEE Trans. Magn. 2016, 52, 1–5. [Google Scholar] [CrossRef]
- Kahourzade, S.; Ertugrul, N.; Soong, W.L. Loss Analysis and Efficiency Improvement of an Axial-Flux PM Amorphous Magnetic Material Machine. IEEE Trans. Ind. Electron. 2018, 65, 5376–5383. [Google Scholar] [CrossRef]
- Liu, Y.; Ou, J.; Schiefer, M.; Breining, P.; Grilli, F.; Doppelbauer, M. Application of an Amorphous Core to an Ultra-High-Speed Sleeve-Free Interior Permanent-Magnet Rotor. IEEE Trans. Ind. Electron. 2018, 65, 8498–8509. [Google Scholar] [CrossRef]
- Tong, W.; Sun, R.; Zhang, C.; Wu, S.; Tang, R. Loss and Thermal Analysis of a High-Speed Surface-Mounted PMSM with Amorphous Metal Stator Core and Titanium Alloy Rotor Sleeve. IEEE Trans. Magn. 2019, 55, 1–4. [Google Scholar] [CrossRef]
- Tong, W.; Dai, S.; Wu, S.; Tang, R. Performance Comparison Between an Amorphous Metal PMSM and a Silicon Steel PMSM. IEEE Trans. Magn. 2019, 55, 1–5. [Google Scholar] [CrossRef]
















| Parameter | Value | Parameter | Value |
|---|---|---|---|
| Output power/kW | 100 | Rotor out diameter/mm | 94 |
| Rated speed/rpm | 18,000 | PM thickness/mm | 7 |
| Rated voltage/V | 380 | Sleeve thickness/mm | 5 |
| Mechanical air gap/mm | 2 | Stator slot | 24 |
| Pole number | 2 | pole arc coefficient | 1 |
| PM | NdFeB | Length of PM/mm | 80 |
| Core Material | kh | α | ke |
|---|---|---|---|
| FeCo_B800 | 0.0059 | 1.81 | 5.65 × 10−5 |
| DW315_50 | 0.0213 | 2.03 | 5.83 × 10−5 |
Publisher’s Note: MDPI stays neutral with regard to jurisdictional claims in published maps and institutional affiliations. |
© 2022 by the authors. Licensee MDPI, Basel, Switzerland. This article is an open access article distributed under the terms and conditions of the Creative Commons Attribution (CC BY) license (https://creativecommons.org/licenses/by/4.0/).
Share and Cite
Tao, D.; Li, G.; Hou, P.; Hu, G. Analysis of Load Loss Characteristics of FeCo Alloy High Speed Permanent Magnet Motor. Machines 2022, 10, 735. https://doi.org/10.3390/machines10090735
Tao D, Li G, Hou P, Hu G. Analysis of Load Loss Characteristics of FeCo Alloy High Speed Permanent Magnet Motor. Machines. 2022; 10(9):735. https://doi.org/10.3390/machines10090735
Chicago/Turabian StyleTao, Dajun, Guifen Li, Peng Hou, and Gang Hu. 2022. "Analysis of Load Loss Characteristics of FeCo Alloy High Speed Permanent Magnet Motor" Machines 10, no. 9: 735. https://doi.org/10.3390/machines10090735
APA StyleTao, D., Li, G., Hou, P., & Hu, G. (2022). Analysis of Load Loss Characteristics of FeCo Alloy High Speed Permanent Magnet Motor. Machines, 10(9), 735. https://doi.org/10.3390/machines10090735

