Comprehensive Analysis of Influencing Factors of AC Copper Loss for High-Speed Permanent Magnet Machine with Round Copper Wire Windings
Abstract
:1. Introduction
2. HSPMM Parameters and Structure
3. Influencing Factors of AC Losses at High Frequency
3.1. AC Loss Simulation Model of Round Copper Wire
3.2. AC Copper Loss with Different Frequencies
3.3. Influence of Conductor Diameter on AC Losses
3.4. Influence of Number of Conductors Per Slot on AC Losses
3.5. Influence of the Notch Height of the Stator Slot on AC Losses
3.6. Influence of Operating Temperature on AC Losses
4. Prototype and Experimental Tests
5. Conclusions
- (1)
- Keeping the same number of parallel wires for the conductors, the value of the AC/DC loss ratio kac increased five times at 1000 Hz as the conductor diameter increased from 0.55 mm to 0.85 mm. When the slot fill rate remained the same, the kac values are 3.09 and 4.04 at 1000 Hz under conductor diameters of 0.65 mm and 1.45 mm, respectively. As can be seen, the conductor diameter has an larger impact on AC losses for both cases, and the larger the diameter, the higher the AC copper losses.
- (2)
- The AC/DC loss ratio kac value of six turns is twice that of three turns at 1000 Hz, which means that both the AC loss and the kac curve increase sharply as the number of turns per slot increases, and this phenomenon is obviously under high frequency. The effect of the number of turns per slot on AC losses cannot be ignored in the design of HSPMMs.
- (3)
- When the notch height is 6.72 mm, the AC loss is 608 W at 1000 Hz, and when the notch is 1.29 mm, the AC loss increases to 730 W. Due to the magnetic flux field change in the stator slot, the shorter the notch height, the bigger the AC copper loss. As can be seen, the notch height in the slot is also a crucial factor on AC losses at high frequency.
- (4)
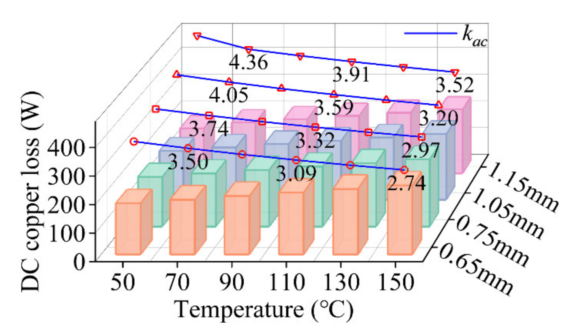
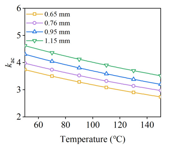
- As the temperature increases, the electrical conductivity of the conductor is decreased. Therefore, the DC losses increase while the kac curve decreases with the rising temperature, which causes the trend of AC loss uncertainty. Through research, when the wire diameter is 1.15 mm, the AC loss at 1000 Hz increases from 814 W to 833 W when the temperature increases from 50 °C to 150 °C. However, when the conductor diameter is less than 1.15 mm, the AC loss of the winding does not keep increasing, which eventually shows a decreasing trend. As can be seen, the changing temperature makes a significant variation in AC losses for different conductor diameters. As the temperature rises, the AC losses increase and then decrease for smaller diameter conductors. However, the AC losses keep increasing after the diameter is larger than a specific value.
Author Contributions
Funding
Data Availability Statement
Conflicts of Interest
References
- Ismagilov, F.R.; Uzhegov, N.; Vavilov, V.E.; Bekuzin, V.I.; Ayguzina, V.V. Multidisciplinary design of ultra-high-speed electrical machines. IEEE Trans. Energy Convers. 2018, 33, 1203–1212. [Google Scholar] [CrossRef]
- Fang, H.; Li, D.; Qu, R.; Li, J.; Wang, C.; Song, B. Rotor design and eddy-current loss suppression for high-speed machines with a solid-PM rotor. IEEE Trans. Ind. Appl. 2018, 55, 448–457. [Google Scholar] [CrossRef]
- Al-Timimy, A.; Giangrande, P.; Degano, M.; Galea, M.; Gerada, C. Investigation of AC Copper and Iron Losses in High-Speed High-Power Density PMSM. In Proceedings of the 2018 XIII International Conference on Electrical Machines (ICEM), Alexandroupoli, Greece, 3–6 September 2018; pp. 263–269. [Google Scholar]
- Gu, Y.; Wang, X.; Gao, P.; Li, X. Mechanical analysis with thermal effects for high-speed permanent-magnet synchronous machines. IEEE Trans. Ind. Appl. 2021, 57, 4646–4656. [Google Scholar] [CrossRef]
- Feng, J.; Wang, Y.; Guo, S.; Chen, Z.; Wang, Y.; Zhu, Z. Split ratio optimisation of high-speed permanent magnet brushless machines considering mechanical constraints. IET Electr. Power Appl. 2018, 13, 81–90. [Google Scholar] [CrossRef]
- Gerada, D.; Mebarki, A.; Brown, N.L.; Gerada, C.; Cavagnino, A.; Boglietti, A. High-speed electrical machines: Technologies, trends, and developments. IEEE Trans. Ind. Electron. 2013, 61, 2946–2959. [Google Scholar] [CrossRef]
- Borisavljevic, A.; Polinder, H.; Ferreira, J.A. On the speed limits of permanent-magnet machines. IEEE Trans. Ind. Electron. 2009, 57, 220–227. [Google Scholar] [CrossRef]
- Gieras, J.F.; Saari, J. Performance calculation for a high-speed solid-rotor induction motor. IEEE Trans. Ind. Electron. 2011, 59, 2689–2700. [Google Scholar] [CrossRef]
- Uzhegov, N.; Kurvinen, E.; Nerg, J.; Pyrhonen, J.; Sopanen, J.T.; Shirinskii, S. Multidisciplinary design process of a 6-slot 2-pole high-speed permanent-magnet synchronous machine. IEEE Trans. Ind. Electron. 2015, 63, 784–795. [Google Scholar] [CrossRef]
- Pechlivanidou, M.S.C.; Kladas, A.G. Litz Wire Strand Shape Impact Analysis on AC Losses of High-Speed Permanent Magnet Synchronous Motors. In Proceedings of the 2021 IEEE Workshop on Electrical Machines Design, Control and Diagnosis (WEMDCD), Modena, Italy, 8–9 April 2021; IEEE: Piscataway, NJ, USA, 2001; pp. 95–100. [Google Scholar] [CrossRef]
- Gurumurthy, S.R.; Agarwal, V.; Sharma, A. Optimal energy harvesting from a high-speed brushless DC generator-based flywheel energy storage system. IET Electr. Power Appl. 2013, 7, 693–700. [Google Scholar] [CrossRef]
- Khan, H.A.; Khan, F.; Khan, S.; Ahmad, N.; Soomro, J.B.; Sami, I. Design and performance investigation of 3-slot/2-pole high speed permanent magnet machine. IEEE Access 2021, 9, 41603–41614. [Google Scholar] [CrossRef]
- Liu, L.; Guo, Y.; Lei, G.; Zhu, J.; Jin, J. Power Loss Analysis of High Speed Permanent Magnet Machine. In Proceedings of the 2020 IEEE International Conference on Applied Superconductivity and Electromagnetic Devices (ASEMD), Tianjin, China, 16–18 October 2020. [Google Scholar]
- Tenconi, A.; Vaschetto, S.; Vigliani, A. Electrical machines for high-speed applications: Design considerations and tradeoffs. IEEE Trans. Ind. Electron. 2013, 61, 3022–3029. [Google Scholar] [CrossRef]
- Gonzalez, D.A.; Saban, D.M. Study of the Copper Losses in a High-Speed Permanent-Magnet Machine With Form-Wound Windings. IEEE Trans. Ind. Electron. 2013, 61, 3038–3045. [Google Scholar] [CrossRef]
- Bharatkar, S.S.; Yanamshetti, R.; Chatterjee, D.; Ganguli, A.K. Dual-mode switching technique for reduction of commutation torque ripple of brushless dc motor. IET Electr. Power Appl. 2011, 5, 193–202. [Google Scholar] [CrossRef]
- Wojda, R.P.; Kazimierczuk, M.K. Analytical optimization of solid-round wire-windings. IEEE Trans. Ind. Electron. 2012, 60, 1033–1041. [Google Scholar] [CrossRef]
- Sullivan, C.R. Optimal choice for number of strands in a Litz-wire transformer winding. IEEE Trans. Power Electron. 1999, 14, 283–291. [Google Scholar] [CrossRef]
- Thang, C.X.; Sullivan, R. Stranded wire with uninsulated strand as a low-cost alternative to Litz wire. In Proceedings of the IEEE 34th Annual Conference on Power Electronics Specialist, 2003. PESC’03, Acapulco, Mexico, 15–19 June 2003. [Google Scholar] [CrossRef]
- Nan, X.; Sullivan, C.R. An equivalent complex permeability model for Litz-wire windings. IEEE Trans. Ind. Appl. 2009, 45, 854–860. [Google Scholar] [CrossRef]
- Uzhegov, N.; Smirnov, A.; Park, C.H.; Ahn, J.H.; Heikkinen, J.; Pyrhonen, J. Design aspects of high-speed electrical machines with active magnetic bearings for compressor applications. IEEE Trans. Ind. Electron. 2017, 64, 8427–8436. [Google Scholar] [CrossRef]
- Bianchi, N.; Bolognani, S.; Luise, F. Potentials and limits of high-speed PM motors. IEEE Trans. Ind. Appl. 2004, 40, 1570–1578. [Google Scholar] [CrossRef]
- Bardalai, A.; Zhang, X.; Zou, T.; Gerada, D.; Li, J.; Gerada, C. Comparative Analysis of AC losses with round magnet wire and Litz wire winding of a High–Speed PM Machine. In Proceedings of the 22nd International Conference on Electrical Machines and Systems (ICEMS), Harbin, China, 11–14 August 2019. [Google Scholar] [CrossRef]
- Popescu, M.; Dorrell, D.G. Proximity Losses in the Windings of High-Speed Brushless Permanent Magnet AC Motors With Single Tooth Windings and Parallel Paths. IEEE Trans. Magn. 2013, 49, 3913–3916. [Google Scholar] [CrossRef]
- Mellor, P.; Wrobel, R.; Simpson, N. AC losses in high frequency electrical machine windings formed from large section conductors. In Proceedings of the IEEE Energy Conversion Congress and Exposition (ECCE), Pittsburgh, PA, USA, 14–18 September 2014. [Google Scholar] [CrossRef]
- Gyselinck, J.; Dular, P.; Sadowski, N.; Kuo-Peng, P.; Sabariego, R.V. Homogenization of Form-Wound Windings in Frequency and Time Domain Finite-Element Modeling of Electrical Machines. IEEE Trans. Magn. 2010, 46, 2852–2855. [Google Scholar] [CrossRef]
- Wrobel, R.; Salt, D.E.; Griffo, A.; Simpson, N.; Mellor, P.H. Derivation and Scaling of AC Copper Loss in Thermal Modeling of Electrical Machines. IEEE Trans. Ind. Electron. 2014, 61, 4412–4420. [Google Scholar] [CrossRef]
- Du, G.; Ye, W.; Zhang, Y.; Wang, L.; Pu, T.; Huang, N. Comprehensive Analysis of the AC Copper Loss for High Speed PM Machine With Form-Wound Windings. IEEE Access 2022, 10, 9036–9047. [Google Scholar] [CrossRef]
- Du, G.; Xu, W.; Zhu, J.; Huang, N. Power Loss and Thermal Analysis for High-Power High-Speed Permanent Magnet Machines. IEEE Trans. Ind. Electron. 2020, 67, 2722–2733. [Google Scholar] [CrossRef]






























| Name | Value |
|---|---|
| Rated power (kW) | 60 |
| Rated voltage (V) | 380 |
| Rated torque (Nm) | 19 |
| Pole number | 4 |
| Stator slot number | 24 |
| Conductor strands | 51 |
| Stator outer diameter (mm) | 155 |
| Core length (mm) | 110 |
| PM thickness (mm) | 8 |
| Copper Diameter | Strands Number | Slot Fill |
|---|---|---|
| 0.65 mm | 67 | 0.5389 |
| 0.75 mm | 51 | 0.5418 |
| 0.95 mm | 32 | 0.5395 |
| 1.15 mm | 22 | 0.5396 |
| 1.35 mm | 16 | 0.5381 |
| 1.47 mm | 14 | 0.5421 |
| Notch Height | Slot Depth |
|---|---|
| 1.29 mm | 19 mm |
| 4.52 mm | 22 mm |
| 6.72 mm | 24 mm |
| Conductor Diameter | Strand Number | |
|---|---|---|
| Case 1 | 0.60 mm | 51 |
| Case 2 | 0.65 mm | 67 |
| Case 3 | 0.55 mm | 60 |
| Case 4 | 0.50 mm | 68 |
Publisher’s Note: MDPI stays neutral with regard to jurisdictional claims in published maps and institutional affiliations. |
© 2022 by the authors. Licensee MDPI, Basel, Switzerland. This article is an open access article distributed under the terms and conditions of the Creative Commons Attribution (CC BY) license (https://creativecommons.org/licenses/by/4.0/).
Share and Cite
Du, G.; Ye, W.; Zhang, Y.; Wang, L.; Pu, T. Comprehensive Analysis of Influencing Factors of AC Copper Loss for High-Speed Permanent Magnet Machine with Round Copper Wire Windings. Machines 2022, 10, 731. https://doi.org/10.3390/machines10090731
Du G, Ye W, Zhang Y, Wang L, Pu T. Comprehensive Analysis of Influencing Factors of AC Copper Loss for High-Speed Permanent Magnet Machine with Round Copper Wire Windings. Machines. 2022; 10(9):731. https://doi.org/10.3390/machines10090731
Chicago/Turabian StyleDu, Guanghui, Weilin Ye, Yufeng Zhang, Lu Wang, and Tao Pu. 2022. "Comprehensive Analysis of Influencing Factors of AC Copper Loss for High-Speed Permanent Magnet Machine with Round Copper Wire Windings" Machines 10, no. 9: 731. https://doi.org/10.3390/machines10090731
APA StyleDu, G., Ye, W., Zhang, Y., Wang, L., & Pu, T. (2022). Comprehensive Analysis of Influencing Factors of AC Copper Loss for High-Speed Permanent Magnet Machine with Round Copper Wire Windings. Machines, 10(9), 731. https://doi.org/10.3390/machines10090731

