Next Article in Journal
The Design and Control of a Footplate-Based Gait Robo-Assisted System for Lower Limb Actuator
Previous Article in Journal
Towards Active Safety Driving: Controller Design of an Active Rear Steering System for Intelligent Vehicles
 
 
Font Type:
Arial Georgia Verdana
Font Size:
Aa Aa Aa
Line Spacing:
Column Width:
Background:
Article

Intelligent Parametric Adaptive Hybrid Active–Passive Training Control Method for Rehabilitation Robot

1
Institute of Rehabilitation Engineering and Technology, University of Shanghai for Science and Technology, Shanghai 200093, China
2
Shanghai Engineering Research Center of Assistive Devices, Shanghai 200093, China
3
Key Laboratory of Neural-Functional Information and Rehabilitation Engineering of the Ministry of Civil Affairs, Shanghai 200093, China
*
Author to whom correspondence should be addressed.
Machines 2022, 10(7), 545; https://doi.org/10.3390/machines10070545
Submission received: 12 June 2022 / Revised: 2 July 2022 / Accepted: 4 July 2022 / Published: 6 July 2022
(This article belongs to the Section Robotics, Mechatronics and Intelligent Machines)

Abstract

Rehabilitation robots facilitate patients to take part in physical and occupational training. Most of the rehabilitation robots used in clinical practice adopt pure passive training or active training, which cannot sense the active participation of patients during passive training and lack adaptive dynamic adjustment of training parameters for patients. In this paper, an intelligent hybrid active–passive training control method is proposed to enhance the active participation of patients in passive training mode. Firstly, the patients’ joint mobility and maximum muscle power are modelized and calibrated. Secondly, the robot joints are actuated to train according to joint mobility and speed for two cycles. The human–machine coupled force interaction control model can recognize the patients’ active participation in the training process. Finally, the passive training joint motion speed for the next training cycle is adaptively updated by the proposed control method. The experimental results demonstrate that the control method can sense the patients’ active participation and adjust the passive training speed according to the patients’ active force interaction. In conclusion, the hybrid active–passive training control method proposed in this paper achieves the desired goal and effectively improves the patients’ rehabilitation effect.

1. Introduction

Physical and functional impairments due to aging and disease, particularly in the lower limbs, can limit a patient’s mobility and ability to work. Restricted daily activities result in a significant reduction in muscle mass and strength. Patients may become bedridden or immobilized, accelerating the deterioration of the neuromusculoskeletal system and its interactions. Rehabilitation medicine can help people with physical dysfunction and neurological injuries to regain improved mobility and restore normal life abilities through rehabilitation therapy [1]. Due to the shortage of therapists and the high cost of various types of rehabilitation, a great number of studies have been carried out to apply robotics to the field of rehabilitation. Various devices have also been developed. Examples include the standing lower limb rehabilitation robots Lokomat [2], ReWalk [3], and Ailegs [4], and the sitting/lying lower limb rehabilitation robots Motion Maker [5,6], LR2 [7], LRR-Ro [8]. These rehabilitation robots can provide passive training, active training, and assisted training.
Lower limb training in a sitting/lying position reduces the load of body weight on the hip and leg, improves the stability of the patient’s rehabilitation, and increases the range of motion of the lower limb joints [1,2]. The Federal Institute of Technology of Lausanne in Switzerland made a sitting/lying lower limb rehabilitation robot, MotionMaker [3,4], and Yanshan University developed a lower limb rehabilitation robot, LRR-Ro [5,6], unilateral with three degrees of freedom to help the patient with passive training and active motor training. However, it can be difficult to adapt rehabilitation training parameters for different individuals. The Yaskawa Electric Company(Fukuoka-ken, Japan) developed an LR2 lower limb rehabilitation robot, which helps to train the lower limbs in unilateral multimodal flexion and extension of three joints and is an application of industrial robots in the field of rehabilitation. Its control system uses impedance control for active compliance to avoid secondary injuries to the patient [7], but the joint reference position, velocity, and acceleration for impedance control are always derived from a specific motion trajectory.
The human–machine interaction control strategy of a rehabilitation robot is a vital factor in the effectiveness of rehabilitation. Through research into the current requirements of people with lower-limb dysfunction and a review of the literature on current research advances in lower limb rehabilitation robots, lower limb rehabilitation robots used in clinical practice generally use a position control strategy, such as classical PID control or sliding mode control [8]. However, purely passive training follows a strictly pre-defined trajectory by the physician, without any form of interaction between the patient and the rehabilitation robot during the entire exercise process [9]. Patients eventually lose their active participation in passive training. The accuracy of passive training parameters is largely limited by the experience of the therapist and cannot be fully adapted to the requirements of individual training parameters. Research findings [10] in movement rehabilitation medicine show that active participation during training has a crucial impact on the recovery of movement learning ability and improvement in rehabilitation because some patients with severe motility impairments can produce muscle activity but no movement or strength.
This paper proposes an intelligent parametric adaptive active–passive hybrid training control method for rehabilitation training robots. A scientific training prescription is formulated based on the rehabilitation techniques of the rehabilitator and human movement characteristics, combined with a human–machine coupled force interaction control model to analyze the active participation of the patient in the training process. An intelligent algorithm adaptively updates the passive training joint movement speed. The algorithm improves the rationality of the rehabilitation training parameters.

2. Materials and Methods

2.1. Mechanical Design of Leg-Robot

The mechanical structure of Leg-Robot is designed according to the principle of modularity, as shown in Figure 1. Leg-Robot consists of three main modules: (1) the movable chassis module, (2) the weight-reducing support seat module, and (3) the exoskeleton mechanical leg module. Leg-Robot can be adjusted to different sizes and support positions according to individual patient differences. The patients are placed in sitting or lying postures with feet on the pedals of the mechanical leg during the rehabilitation training. The centers of the joints of the lower limbs and the centers of rotation of the robot joints can be aligned automatically. The lower limbs are fixed to the robot through safety straps and aids to prevent secondary injuries caused by overturning during the training process.
The actual operation of the robot is closely related to the drive capacity of the drive joints, so power calculations and the selection of power drive joints are an important part of the robot design process. The power design parameters have to be able to meet the load conditions of the robot. Unlike standing lower limb exoskeleton robots, seated lower limb rehabilitation robots, by virtue of their construction, have a mechanical leg that will carry a greater load during training. For early rehabilitation patients with low muscle strength, the mechanical leg often needs to be able to carry all the weight of the patient’s leg.
After the design of the robot mechanical leg structure is completed, based on the established Solidworks 3D model, add material and density for the mechanical leg components; you can obtain the weight of each component, the mass of the rod is the mass of the corresponding components and the self-weight of each segment of the human body to GB/T 17245-2004 national standard adult human body inertia parameters as the standard for calculation.
The motion simulation module in Solidworks was used to simulate the power moments and add single-degree-of-freedom movement to the hip, knee, and ankle joints independently. As the lower limbs of the human body are subject to muscle stretching and contraction during training, especially during hip flexion and ankle plantarflexion, a higher muscle resistance is required to maintain a higher safety factor during the selection of power components. Motors, reducers, and brakes should also be as light, compact, and small as possible. In summary, the mechanical leg power components of the robot have been selected as shown in Table 1.

2.2. Human–Machine Coupled Force Interaction Control Modeling

In this paper, a pressure sensor-based human–computer interaction force recognition mechanism is proposed, with pressure sensors installed in the mid-thigh, mid-calf, and sole of the feet, respectively. Based on the human dynamic model, the relationship between the pressure on the human leg in the direction of the pressure sensor and the joint angle, angular velocity, and angular acceleration is analyzed, and the joint torque is calculated. From the difference between the calculated value of the human dynamic model and the value collected by the pressure sensor, the patient’s movement intention is known, a human–machine coupled force interaction control model is established, the human–machine interaction force is derived, and the interaction force is fed back to the control system to obtain the corresponding joint movement speed offset, and the motor action is controlled according to the speed offset to realize the active–passive hybrid training. The human–machine coupled force interaction control model is shown in Figure 2. Based on the references [11,12], this paper assumes that the lower limb joints of the human body are simplified to a stationary center of rotation.
The three-link model of the human lower limb is shown in Figure 2. Each joint coordinate is a combination of Cartesian and generalized coordinates, where the generalized angle is the angle between the links and the Y-axis, and the coordinate origin O1 is set at the center of rotation of the hip joint. The center of rotation of the hip joint, knee, and ankle joint locates at points A, B, and C, respectively; D is the end of the foot; G i is the center of mass of each link; l i is the length of each link; and r i is the distance between the center of mass of each link and the center of rotation of the joint. The geometric method can be used to calculate the position of D, as shown in Equations (1) and (2), as follows:
{ x D = l 1 cos θ 1 + l 2 sin ( θ 1 + θ 2 ) + l 3 sin ( θ 1 + θ 2 + θ 3 ) y D = l 1 sin θ 1 l 2 cos ( θ 1 + θ 2 ) l 3 cos ( θ 1 + θ 2 + θ 3 )
{ x D ˙ = l 1 sin θ 1 θ 1 ˙ + l 2 cos ( θ 1 + θ 2 ) ( θ 1 ˙ + θ 2 ˙ ) + l 3 cos ( θ 1 + θ 2 + θ 3 ) ( θ 1 ˙ + θ 2 ˙ + θ 3 ˙ ) y D ˙ = l 1 cos θ 1 θ 1 ˙ + l 2 sin ( θ 1 + θ 2 ) ( θ 1 ˙ + θ 2 ˙ ) + l 3 sin ( θ 1 + θ 2 + θ 3 ) ( θ 1 ˙ + θ 2 ˙ + θ 3 ˙ )
Deriving Equation (1), the velocity at D is given by Equation (3) as follows:
v 2 = x D ˙ 2 + y D ˙ 2
The Lagrangian operator L is the difference between the kinetic energy K and the potential energy P of the system, as shown in Equation (4).
L = K P
K i = 1 2 m i v i 2 K = i = 1 n K i
P i = m i g h i P = i = 1 n P i
That is, the Lagrangian equation is as follows:
d d t L θ ˙ L θ = τ
where θ is the generalized coordinates of the kinetic and potential energy of the system, θ ˙ is the generalized velocity, and τ is the joint driving torque. The ankle, knee, and hip torques are shown in Equations (8)–(10), respectively. Note that s 123 refers to sin ( θ 1 + θ 2 + θ 3 ) and c 123 refers to cos ( θ 1 + θ 2 + θ 3 ) ; other expressions are similar.
τ 1 = [ 4 3 m 1 r 1 2 + m 2 l 2 2 + m 2 r 2 2 2 m 2 l 1 l 2 s 1 c 12 + 2 m 2 l 1 r 2 c 1 s 12 + m 3 l 1 2 + m 3 l 2 2 + m 3 r 3 2 2 m 3 l 1 l 2 s 1 c 12 + 2 m 3 l 2 r 3 c 12 c 123 2 m 3 l 1 r 3 s 1 c 123 + 2 m 3 l 1 l 2 cos θ 1 s 12 + 2 m 3 l 1 r 3 c 1 s 123 + 2 m 3 l 2 r 3 s 12 s 123 ] θ 1 .. + [ m 2 r 2 2 m 2 l 1 r 2 s 1 c 12 + m 2 l 1 r 2 c 1 s 12 + m 3 l 2 2 + m 3 r 3 2 m 3 l 1 l 2 s 1 c 12 + 2 m 3 l 2 r 3 c 12 c 123 m 3 l 1 r 3 s 1 c 123 + m 3 l 1 l 2 c 1 s 12 + m 3 l 1 r 3 c 1 s 123 + 2 m 3 l 2 r 3 s 12 s 123 ] θ 2 . . + [ m 3 r 3 2 + m 3 l 2 r 3 c 12 c 123 m 3 l 1 r 3 s 1 c 123 + m 3 l 1 r 3 c 1 s 123 + m 3 l 2 r 3 s 12 s 123 ] θ 3 . . + [ m 2 l 1 r 2 s 1 s 12 + m 2 l 1 r 2 c 1 c 12 + m 3 l 1 l 2 s 1 s 12 + 2 m 3 l 1 r 3 s 1 s 123 + m 3 l 1 l 2 c 1 c 12 + 2 m 3 l 1 r 3 c 1 c 123 ] θ 2 2 . + [ m 3 l 2 r 3 c 12 s 123 + m 3 l 1 r 3 s 1 s 123 + m 3 l 1 r 3 c 1 c 123 + m 3 l 2 r 3 s 12 c 123 ] θ 3 2 . + [ 2 m 2 l 1 r 2 s 1 s 12 + 2 m 2 l 1 r 2 c 1 c 12 + 2 m 3 l 1 l 2 s 1 s 12 + 3 m 3 l 1 r 3 s 1 s 123 + 2 m 3 l 1 l 2 c 1 c 12 + 3 m 3 l 1 r 3 c 1 c 123 ] θ 1 . θ 2 . + [ 2 m 3 l 2 r 3 c 12 s 123 + 3 m 3 l 1 r 3 s 1 s 123 + 3 m 3 l 1 r 3 c 1 c 123 + 2 m 3 l 2 r 3 s 12 c 123 ] θ 2 . θ 3 . + [ 2 m 3 l 2 r 3 c 12 s 123 + 2 m 3 l 1 r 3 s 1 s 123 + 2 m 3 l 1 r 3 c 1 c 123 + 2 m 3 l 2 r 3 s 12 c 123 ] θ 1 . θ 3 . + m 1 g r 1 c 1 + m 2 g d 1 c 1 + m 2 g r 2 s 12 + m 3 g d 1 c 1 + m 3 g d 2 s 12 + m 3 g r 3 s 123
τ 2 = [ m 2 r 2 2 m 2 l 1 r 2 s 1 c 12 + m 2 l 1 r 2 c 1 s 12 + m 3 l 2 2 + m 3 r 3 2 m 3 l 1 l 2 s 1 c 12 + 2 m 3 l 2 r 3 c 12 c 123 m 3 l 1 r 3 s 1 c 123 + m 3 l 1 l 2 c 1 s 12 + m 3 l 1 r 3 c 1 s 123 + 2 m 3 l 2 r 3 s 12 s 123 ] θ 1 . . + [ 4 3 m 2 r 2 2 + m 3 l 2 2 + m 3 r 3 2 + 2 m 3 l 2 r 3 c 12 c 123 + 2 m 3 l 2 r 3 s 12 s 123 ] θ 2 . . + [ m 3 r 3 2 + m 3 l 2 r 3 c 12 c 123 + m 3 l 2 r 3 s 12 s 123 ] θ 3 . . [ m 2 l 1 r 2 s 1 s 12 + m 2 l 1 r 2 c 1 c 12 + m 3 l 1 l 2 s 1 s 12 + m 3 l 1 r 3 si 1 s 123 + m 3 l 1 l 2 c 1 c 12 + m 3 l 1 r 3 c 1 c 123 ] θ 1 2 . + [ m 3 l 2 r 3 s 12 c 123 m 3 l 2 r 3 c 12 s 123 ] θ 3 2 . + [ 2 m 3 l 2 r 3 s 12 c 123 2 m 3 l 2 r 3 c 12 s 123 ] θ 2 . θ 3 . + [ 2 m 3 l 2 r 3 c 12 s 123 + 2 m 3 l 1 r 3 s 1 s 123 + 2 m 3 l 1 r 3 c 1 c 123 + 2 m 3 l 2 r 3 s 12 c 123 ] θ 1 . θ 3 . + m 2 g r 2 s 12 + m 3 g d 2 s 12 + m 3 g r 3 s 123
τ 3 = [ m 2 r 3 2 + m 3 l 2 r 3 c 12 c 123 m 3 l 1 r 3 s 1 c 123 + m 3 l 1 r 3 c 1 s 123 + m 3 l 2 r 3 s 12 s 123 ] θ 1 . . + [ m 3 r 3 2 + m 3 l 2 r 3 c 12 c 123 + m 3 l 2 r 3 s 12 s 123 ] θ 2 . . + [ 4 3 m 3 r 3 2 ] θ 3 . . + [ m 3 l 2 r 3 c 12 s 123 m 3 l 1 r 3 s 1 s 123 m 3 l 1 r 3 c 1 c 123 m 3 l 2 r 3 s 12 c 123 ] θ 1 2 . + [ m 3 l 2 r 3 c 12 s 123 m 3 l 2 r 3 s 12 c 123 ] θ 2 2 . + [ 2 m 3 l 2 r 3 c 12 s 123 2 m 3 l 2 r 3 s 12 c 123 ] θ 1 . θ 2 . + m 3 g r 3 s 123 .
The human–machine interaction force is mainly identified by the pressure sensors with the human kinematic model. The location of the sensors in the mechanism is shown in Figure 2. F i is the human–machine interaction force, F s i is the force measured by the pull pressure sensor, τ i is the torque calculated for each joint in the human dynamics model, and F t i is the force of the τ i applied to the sensor. Moreover, λ i is the distance between the pressure sensor of the ith joint and the center of rotation of the joint; it represents the magnitude of the joint torque of the ith joint, which can be obtained from the human kinematic model. Then, we have
F i = F s i F t i
F t i = τ i λ i

2.3. Active–Passive Hybrid Training Control Model and Algorithm Design

The Lower Limb Rehabilitation Robot provides rehabilitation therapy for patients with lower limb motor dysfunction. People with lower limb dysfunction have different rehabilitation therapies due to different parts of the hip, knee, and ankle joints and different causes of dysfunction, requiring the control system to provide individualized rehabilitation treatment plans according to the patient’s situation. The recognition of motor intent and safety of patients with lower limb dysfunction is the most critical part. The effective recognition of patients’ motor intent and the provision of corresponding joint training based on patient participation while ensuring patient safety are important indicators of the effectiveness of the rehabilitation robot. The hybrid active–passive training function proposed in this paper can adjust the training speed of the hip, knee, and ankle joints according to the change in the interaction force between the patient’s lower limbs and the mechanical leg, simulate the rehabilitation therapist’s technique, effectively ensure the patient’s safety, can achieve good human–machine interactivity, and increase the patient’s active participation in the passive training mode.

2.3.1. Models

The active–passive hybrid training function is relative to traditional passive training and is based on adjusting the joint training speed according to changes in human–machine interaction forces through the human–machine coupled force interaction control model and the Hill muscle mechanics model. As passive training is mostly used in the early stages of limb disorders, the patient’s joint speed is still relatively small and the muscle strength is weak, requiring the rehabilitation therapist or the robotic limb to drive the movement of the patient’s limb, without the patient’s active initiative. However, as the rehabilitation time increases, in the early and middle stages of rehabilitation, the speed of joint training will be adjusted according to the patient’s joint participation promptly to better match the rehabilitation pattern of the patient’s lower limbs.
(1)
Hill’s muscle mechanics model
Muscles have very complex mechanical properties that are closely related to muscle excitability and fatigue, and the muscle structure mechanics model is an abstract description that combines the mechanical properties of muscles with the structural features of muscles. In 1938, the famous physiologist A.V. Hill conducted a rapid release experiment on the suture muscle of frogs to determine the relationship between contraction force and velocity during muscle contraction and the energy expenditure during muscle contraction. The experimental results were analyzed according to the first law of thermodynamics, and the equation for the characteristic “force–velocity” relationship during muscle contraction was derived, i.e., Hill’s equation [13], as shown in Equation (13).
( a + T ) ( V + b ) = b ( T 0 + a ) ,
where a and b are experimental parameters, T 0 is the maximum isometric contraction force, V is the velocity and T is the muscle force.
The relationship between muscle contraction force, velocity, and power in Hill’s equation is shown in Figure 3. Muscle power is the product of force and velocity. If force and velocity reach a maximum at the same time during a muscle contraction, the power is maximum, but this is not possible. According to the Hill experiment, the power maximum is 1/6 of the ideal value and is equal to the product of 1/2 of the maximum muscle contraction force and 1/3 of the maximum contraction velocity [14].
(2)
Active–passive hybrid training control model
The active–passive hybrid training proposed in this paper first controls the motor to calibrate the patient’s joint range of motion before the start of training, and uses the calibration angle as the training angle, then obtains the maximum muscle power according to the Hill muscle mechanics model, obtains the human–machine interaction force according to the human–machine coupling force interaction control model, and calculates the mathematical expectation of the difference between the interaction force at all sampling points in the first two adjacent cycles and the power of all sampling points. The difference in power is used to calculate the change in the patient’s participation in the training process, which is equal to the ratio of the current power to the patient’s maximum power; the speed offset is then calculated to adjust the motor speed in the third cycle; the fourth cycle has the same training parameters as the third cycle, and the interaction force difference is calculated again, and so on until the end of the training. The control model for the active–passive hybrid training is shown in Figure 4.

2.3.2. Active–Passive Hybrid Training Control Algorithm

The design of the active–passive hybrid training control algorithm is divided into five main steps: patient joint range of motion and maximum power calibration, human–machine interaction force difference acquisition, patient rehabilitation training participation calculation, speed offset calculation and training speed adjustment. These steps are described in detail below, using single-joint rehabilitation training as an example.
(1)
Calibration of patient joint range of motion and maximum power
From the Hill muscle mechanics model, the maximum power is equal to the product of 1/2 of the maximum muscle contraction force and 1/3 of the maximum contraction velocity. Keeping the joint stationary, the patient’s maximum human–machine interaction force F m a x is measure, F m a x can be regarded as the patient’s maximum muscle contraction force. Let Q be the training angle of this rehabilitation training, V be the average speed of this training, and V be regarded as the patient’s muscle contraction speed; the maximum power P m a x of this patient can be known, as shown in Equation (14).
P m a x = 1 2 F m a x V
(2)
Human–machine interaction force difference
The device is controlled to perform two cycles of passive training at speed V. That is, in both the K th cycle and the K + 1 th cycle, the device is rehabilitated according to the training speed V and the training angle Q. The sampling rate of the hardware system is set to 30 ms and all interaction forces F K 1 ,   F K 2   F K n are obtained for the two cycles, with the direction of the interaction forces being positive if they coincide with the direction of the motor speed and negative if they are opposite. The difference between the interaction forces at the corresponding moments in the two cycles is F 1 ,   F 2 , F n .
(3)
Calculation of patient participation in rehabilitation training
When the patient is rehabilitating, the active participation at the current moment is the ratio of the current power to the calibrated maximum power. The human–machine interaction force is considered to be the patient’s current moment muscle force; the current moment speed is the speed of real-time feedback from the joints during passive training, then the current moment power is the product of the current moment interaction force and the current moment passive training speed. The direction of active participation M is the same as the direction of interactive force. If the patient is highly motivated in the rehabilitation process, there will be more interactive force in the positive direction, and more work will be done in the positive direction, and the passive training joint movement speed will be increased in the next cycle, and conversely, the passive training joint movement speed will be reduced. The flow of the participation difference calculation is shown in Figure 5. F K 1 , F K 2 F K n are the forces at all sampling moments in the Kth cycle and P K 1 , P K 2 P K n are the powers at all sampling moments in the Kth cycle.
P K 1 = F K 1 V K 1 , , P K n = F K n V K n
Similarly, the power at all sampling moments in the K+1st cycle is shown in Equation (16):
P K + 1 1 = F K + 1 1 V K + 1 1 , , P K + 1 n = F K + 1 n V K + 1 n
M K 1 , M K 2 M K n are the active participation of patients in the Kth cycle, respectively; M K + 1 1 , M K + 1 2 M K + 1 n are the active participation of patients in the K+1th cycle, respectively.
M K 1 = P K 1 P m a x , , M K n = P K n P m a x
M K + 1 1 = P K + 1 1 P m a x , , M K + 1 n = P K + 1 n P m a x
(4)
Speed offset calculation
Calculate the difference between active participation M K 1 in the Kth cycle and active participation M K + 1 1 in the K+1th cycle, and keep cycling to calculate the difference between M K n in the Kth cycle and M K + 1 n in the K+1th cycle to obtain M 1 , M 2 M n , and remove the recurring data to obtain M 1 , M 2 M n for all occurrences of x 1 , x 2 x m (m n), and use the recursive function to find x 1 , x 2 x m for all values occurring in: x 1 P 1 , x 2 P 2 x m P m , which in turn leads to the mathematical expectation of active participation μ 1 , as shown in Equation (19).
μ 1 = x 1 P 1 + x 2 P 2 + x m P m
From the above, it can be seen that active participation is the ratio of power, and power is the product of velocity and force, so M 1 , M 2 M n can be calculated in the same way as F 1 , F 2 F n by first using the circular function for F 1 , F 2 F n and filtering out all values y 1 , y 2 y m (m n) that appear in F 1 , F 2 F n , and use the recursive function to find the probability of all values in y 1 , y 2 y m (m n). The probability of all values occurring is y 1 P 1 , y 2 P 2 y m P m , and thus the mathematical expectation of the force μ 2 is as follows:
μ 2 = y P 1 + y P 2 + y m P m
the speed offset V can be calculated as follows.
V = μ 1 P m a x μ 2
(5)
Adaptive passive training joint speed adjustment
Based on the velocity offset calculated above, the rehabilitation training velocity in the K+2th cycle compensates for the velocity offset on the basis of the passive training joint motion velocity in the K+1th cycle.
V K + 2 = V K + V
At the same time, the rehabilitation is carried out in the K + 3th cycle at a speed of V K + 2   with a training angle of the initially calibrated joint mobility Q . The rehabilitation speed in the K + 4th cycle is calculated according to the above, and so on until the end of the rehabilitation time.

3. Results

The hybrid active–passive training function proposed in this paper can periodically adjust the passive training speed of the joint according to the interaction force between the patient and the mechanical leg, effectively increasing the patient’s participation and solving the problem of not being able to adaptively adjust the training parameters in traditional passive training, further improving the rehabilitation efficiency of the patient.
To verify whether the hybrid active–passive training function of the sit–lying lower limb rehabilitation robot achieves the desired effect, an adult male of 1650 mm in height and 50 kg in weight was selected as the experimental subject. During the experiment, the initial training position was set to supine, and the zero position of the hip, knee, and ankle joints were set to have the hip and ankle joints parallel to the ground and the knee joint perpendicular to the ground. The patient’s maximum power and joint mobility were first calibrated and the initial training speed was set at 3 °/s. The calibration results were a maximum human–machine interaction force of 43.77 N for the hip joint, 23.45 N for the knee joint, 28.2 N for the ankle joint, and then the maximum power for the hip, knee and ankle joint was found according to the Hill equation. The joint mobility of the hip is 0–60°, the joint mobility of the knee is 0–80°, and the joint mobility of the ankle is 30° of supination and 30° of dorsiflexion, which is used as an indicator to set the training angle of the patient. The experimental scenario is shown in Figure 5.
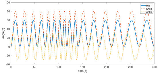
In the course of the experiment, the engagement of the subject during training was calculated for the force of the subject’s interaction with the mechanical leg during training, thus changing the training speed of the joint. The data returned were processed through Matlab to analyze the relationship between the change in joint angle over time and to determine the change in speed during the training process. Considering the coordination of hip, knee, and ankle rehabilitation movements, the active–passive hybrid training mode is only for a single joint. Taking a single leg as an example, when a joint is selected as the main passive mixed training mode, the training cycle of the other joints and the joint movement cycle of the active–passive hybrid training remains the same. In other words, if the hip joint is selected as the main passive joint, the speed of the hip joint is adjusted according to the participation of the hip joint, and the training cycle of the knee and ankle joints is aligned with the training cycle of the hip joint. The hip–knee–ankle angle versus time curve for the hip-active–passive hybrid training mode is shown in Figure 6.
The hip–knee–ankle angle versus time curve during the active–passive hybrid training mode for the knee joint is shown in Figure 7.
The hip–knee–ankle angle versus time curve during the hybrid active–passive training mode for the ankle joint is shown in Figure 8.
As can be seen in Figure 6, Figure 7 and Figure 8, in the mixed active–passive training, there is a significant change in the training speed of the hip, knee, and ankle joints, as seen by the cycle length. When the training cycles are shorter, this indicates that the first two adjacent cycles have increased patient participation, that the patient is more dynamic and does more work on the mechanical leg, and that the patient’s speed overtakes the speed of the mechanical leg, in terms of increasing the speed of the mechanical leg. When the training period is longer, it means that the patient’s participation in the first two adjacent cycles decreases, the patient is less active and does less work on the mechanical leg or even does negative work, then the patient’s speed lags behind the speed of the mechanical leg, so the speed of the mechanical leg is reduced.

4. Discussion

The results show that the hybrid active–passive training control scheme proposed in this paper can adjust the joint training speed according to the changes in the interaction forces between the patient and the mechanical leg and effectively sense the patient’s joint motion. The previous research [5] proposed a passive training trajectory planning method, which did not consider the patient’s participation during the training process and could not adjust the passive training parameters according to the patient’s actual motor ability. The paper [15] proposed to use the potential field method and ADRC position control to plan the trajectory and assist the patient in training, which required the patient to have a certain movement ability to complete the training. Compared to these methods, our hybrid active–passive training proposed improves the active participation of patients in the passive training mode. Moreover, it increases patients’ motivation in rehabilitation training and adjusts the training parameters according to their movement ability. Our method adapts to the rehabilitation training of patients in different recovery periods.

5. Conclusions

Rehabilitation robots using a hybrid active–passive training control method to sense the patient’s active participation during training and adaptively adjust the passive training speed based on the patient’s active force interaction information. The hybrid active–passive training control method proposed in this paper achieves the desired goal and is useful in improving the rehabilitation effect of the patients. However, the robot can only adjust the training speed through a hybrid active–passive control method. It is not yet able to dynamically adjust the range of motion. The following research will increase the adjustment of parameters such as range of motion and add assisted training based on EMG control and virtual reality interaction to improve patient engagement further.

Author Contributions

Conceptualization, J.H.; data curation, Y.Z. (Yudi Zhu); methodology, J.H.; software, J.H. and Y.Z. (Yuantao Zhuang); supervision, Q.M. and H.Y.; writing—original draft, J.H.; writing—review and editing, J.H. All authors have read and agreed to the published version of the manuscript.

Funding

This work was supported in part by the National Natural Science Foundation of China under Grant [62073224].

Institutional Review Board Statement

Not applicable.

Informed Consent Statement

Not applicable.

Data Availability Statement

The data are made available through the corresponding authors’ emails.

Acknowledgments

The authors would like to thank the National Natural Science Foundation of China under Grant [62073224].

Conflicts of Interest

No conflict of interest exists in the submission of this manuscript, and the manuscript has been approved by all authors for publication.

References

  1. Jones, M.L.; Harness, E.; Denison, P.; Tefertiller, C.; Evans, N.; Larson, C.A. Activity-based Therapies in Spinal Cord Injury: Clinical Focus and Empirical Evidence in Three Independent Programs. Top. Spinal Cord Inj. Rehabil. 2012, 18, 34–42. [Google Scholar] [CrossRef][Green Version]
  2. Dalleck, L.C.; Borresen, E.C.; Parker, A.L.; Abel, K.M.; Habermann, L.A.; McLaughlin, S.J.; Tischendorf, J.S. Development of a Metabolic Equation for the NuStep Recumbent Stepper in Older Adults. Percept. Mot. Ski. 2011, 112, 183–192. [Google Scholar] [CrossRef] [PubMed]
  3. Hu, W.; Li, G.; Sun, Y.; Jiang, G.; Kong, J.; Ju, Z.; Jiang, D. A Review of Upper and Lower Limb Rehabilitation Training Robot. International Conference on Intelligent Robotics and Applications; Springer: Berlin/Heidelberg, Germany, 2017; pp. 570–580. [Google Scholar]
  4. Métrailler, P.; Blanchard, V.; Perrin, I.; Brodard, R.; Frischknecht, R.; Schmitt, C.; Fournier, J.; Bouri, M.; Clavel, R. Improvement of rehabilitation possibilities with the MotionMaker TM. In Proceedings of the First IEEE/RAS-EMBS International Conference on Biomedical Robotics and Biomechatronics, 2006 BioRob 2006, Pisa, Italy, 20–22 February 2006; pp. 359–364. [Google Scholar]
  5. Feng, Y.; Wang, H.; Du, Y.; Chen, F.; Yan, H.; Yu, H. Trajectory planning of a novel lower limb rehabilitation robot for stroke patient passive training. Adv. Mech. Eng. 2017, 9. [Google Scholar] [CrossRef]
  6. Feng, Y.; Wang, H.; Yan, H.; Wang, X.; Jin, Z.; Vladareanu, L. Research on Safety and Compliance of a New Lower Limb Rehabilitation Robot. J. Healthc. Eng. 2017, 2017, 1523068. [Google Scholar] [CrossRef] [PubMed]
  7. Okada, S.; Sakaki, T.; Hirata, R.; Okajima, Y.; Uchida, S.; Tomita, Y. TEM: A therapeutic exercise machine for the lower extremities of spastic patients. Adv. Robot. 2001, 14, 597–606. [Google Scholar] [CrossRef]
  8. Wu, Q.; Chen, Y. Development of an Intention-Based Adaptive Neural Cooperative Control Strategy for Upper-Limb Robotic Rehabilitation. IEEE Robot. Autom. Lett. 2020, 6, 335–342. [Google Scholar] [CrossRef]
  9. Reinkensmeyer, D.; Dewald, J.; Rymer, W. Guidance-based quantification of arm impairment following brain injury: A pilot study. IEEE Trans. Rehabil. Eng. 1999, 7, 750543. [Google Scholar] [CrossRef] [PubMed]
  10. Horton, S.; Howell, A.; Humby, K.; Ross, A. Engagement and learning: An exploratory study of situated practice in multi-disciplinary stroke rehabilitation. Disabil. Rehabil. 2011, 33, 270–279. [Google Scholar] [CrossRef] [PubMed]
  11. Ambrósio, J.A.C.; Kecskeméthy, A. Multibody Dynamics of Biomechanical Models for Human Motion via Optimization; Multibody Dynamics; García Orden, J.C., Goicolea, J.M., Cuadrado, J., Eds.; Springer: Dordrecht, The Netherlands, 2007; pp. 245–272. [Google Scholar]
  12. Silva, M.; Freitas, B.; Andrade, R.; Carvalho, Ó.; Renjewski, D.; Flores, P.; Espregueira-Mendes, J. Current Perspectives on the Biomechanical Modelling of the Human Lower Limb: A Systematic Review. Arch. Comput. Methods Eng. 2021, 28, 601–636. [Google Scholar] [CrossRef]
  13. Baker, J.E.; Thomas, D.D. A thermodynamic muscle model and a chemical basis for AV Hill’s muscle equation. J. Muscle Res. Cell Motil. 2000, 21, 335–344. [Google Scholar] [CrossRef] [PubMed]
  14. Biewener, A.A.; Wakeling, J.M.; Lee, S.S.; Arnold, A.S. Validation of Hill-Type Muscle Models in Relation to Neuromuscular Recruitment and Force-Velocity Properties: Predicting Patterns of In Vivo Muscle Force. Integr. Comp. Biol. 2014, 54, 1072–1083. [Google Scholar] [CrossRef] [PubMed]
  15. Feng, G.; Zhang, J.; Zuo, G.; Li, M.; Jiang, D.; Yang, L. Dual-Modal Hybrid Control for an Upper-Limb Rehabilitation Robot. Machines 2022, 10, 324. [Google Scholar] [CrossRef]
Figure 1. The general structure of the Leg-Robot.
Figure 1. The general structure of the Leg-Robot.
Machines 10 00545 g001
Figure 2. Human–machine interaction control model.
Figure 2. Human–machine interaction control model.
Machines 10 00545 g002
Figure 3. Muscle contraction force, speed, and power relationship figure.
Figure 3. Muscle contraction force, speed, and power relationship figure.
Machines 10 00545 g003
Figure 4. Active–passive hybrid training control model.
Figure 4. Active–passive hybrid training control model.
Machines 10 00545 g004
Figure 5. Hybrid active–passive training control experiment.
Figure 5. Hybrid active–passive training control experiment.
Machines 10 00545 g005
Figure 6. Experiment with hybrid active–passive training of the hip joint.
Figure 6. Experiment with hybrid active–passive training of the hip joint.
Machines 10 00545 g006
Figure 7. Experiment with hybrid active–passive training of the knee joint.
Figure 7. Experiment with hybrid active–passive training of the knee joint.
Machines 10 00545 g007
Figure 8. Experiment with hybrid active–passive training of the ankle joint.
Figure 8. Experiment with hybrid active–passive training of the ankle joint.
Machines 10 00545 g008
Table 1. Motor and brake parameters.
Table 1. Motor and brake parameters.
JointBrake TorqueRated Torque of the MotorReduction RatioEfficiencyJoint Torque
Hip1.24 Nm1 Nm120:180%96 Nm
Knee1.24 Nm1 Nm120:180%96 Nm
Ankle0.62 Nm0.5 Nm120:180%48 Nm
Publisher’s Note: MDPI stays neutral with regard to jurisdictional claims in published maps and institutional affiliations.

Share and Cite

MDPI and ACS Style

Hu, J.; Zhuang, Y.; Zhu, Y.; Meng, Q.; Yu, H. Intelligent Parametric Adaptive Hybrid Active–Passive Training Control Method for Rehabilitation Robot. Machines 2022, 10, 545. https://doi.org/10.3390/machines10070545

AMA Style

Hu J, Zhuang Y, Zhu Y, Meng Q, Yu H. Intelligent Parametric Adaptive Hybrid Active–Passive Training Control Method for Rehabilitation Robot. Machines. 2022; 10(7):545. https://doi.org/10.3390/machines10070545

Chicago/Turabian Style

Hu, Jie, Yuantao Zhuang, Yudi Zhu, Qiaoling Meng, and Hongliu Yu. 2022. "Intelligent Parametric Adaptive Hybrid Active–Passive Training Control Method for Rehabilitation Robot" Machines 10, no. 7: 545. https://doi.org/10.3390/machines10070545

APA Style

Hu, J., Zhuang, Y., Zhu, Y., Meng, Q., & Yu, H. (2022). Intelligent Parametric Adaptive Hybrid Active–Passive Training Control Method for Rehabilitation Robot. Machines, 10(7), 545. https://doi.org/10.3390/machines10070545

Note that from the first issue of 2016, this journal uses article numbers instead of page numbers. See further details here.

Article Metrics

Back to TopTop