An Efficient High-Order-Moment-Based Reliability Method Combining the Maximum Likelihood Point and Cubic Normal Transformation
Abstract
1. Introduction
2. Overview of Cubic Normal Transformation
3. The Proposed Approach 1
4. The Proposed Approach 2
5. Illustrative Examples
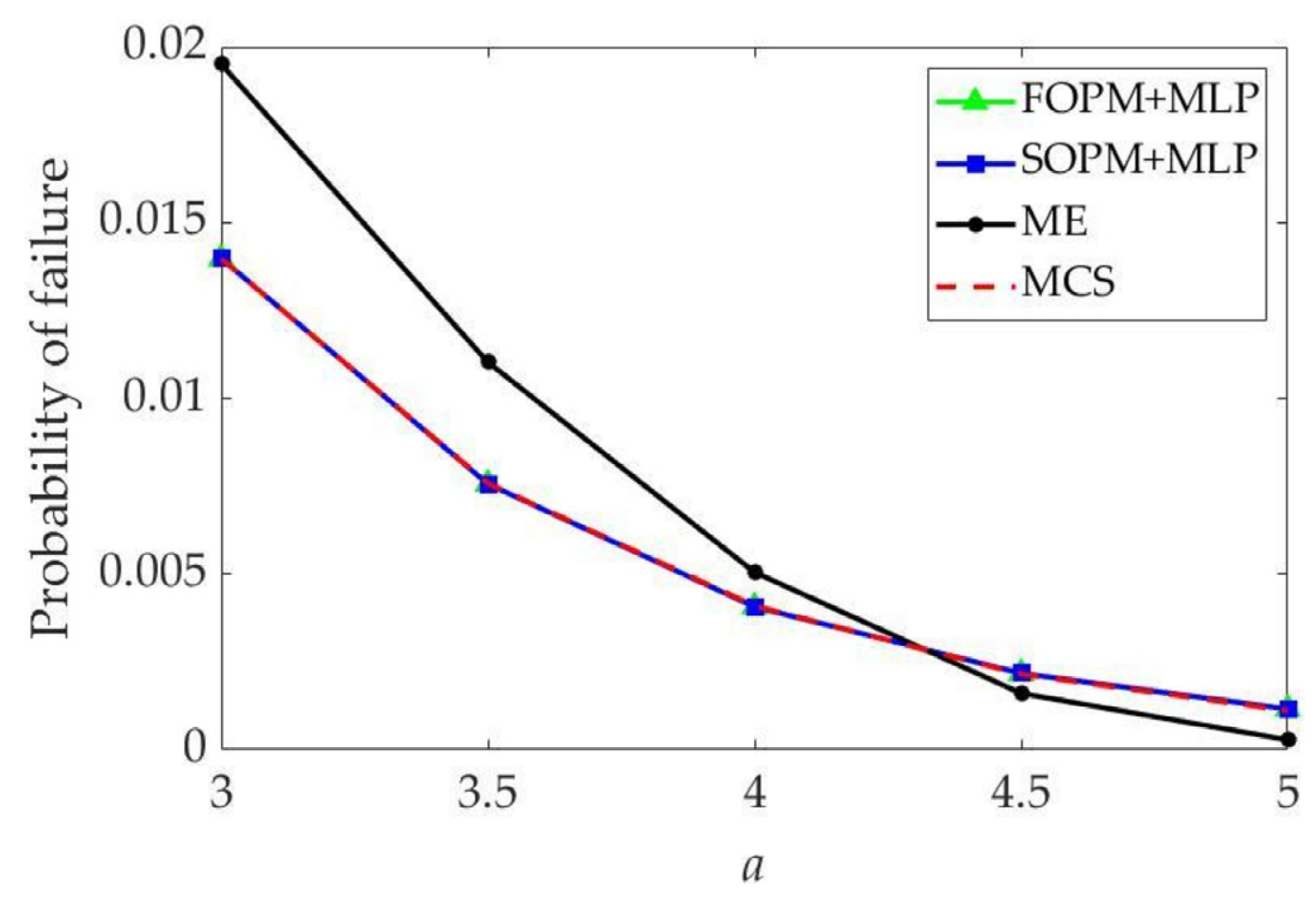
5.1. Example 1: Linear Performance Function
5.2. Example 2: Nonlinear Performance Function
5.3. Example 3: Implicit Performance Function
6. Conclusions
- (1)
- Compared with the traditional moment-based methods, the proposed methods employ the Taylor expansion series evaluated at the MLP to avoid the iteration of nonnormal-to-normal transformation and further improve the accuracy of high-order statistical moments. Moreover, based on the second-order Taylor expansion series evaluated at the MLP, the proposed new computing formulae for the first four statistical moments require only the first four central moments of random variables and are beneficial with respect to engineering applications.
- (2)
- Through two engineering examples—that of the reinforced concrete beam and that of the main shaft device of the mine hoist—the proposed SOPM + MLP is capable of effectively evaluating reliability in comparison with MCS. Furthermore, the proposed SOPM + MLP lays the foundation for the next reliability-based robust optimization design.
- (3)
- Although the accuracies of the proposed methods were improved given the known statistical moments of the random variables, the proposed methods still have some limitations. When encountering performance functions with complex forms, the proposed methods require multiple redesigns of the starting points to find the MLP and this greatly consumes computing time. When a few random samples of random variables can be obtained, the statistical moments of random variables are affected by the sample size and possess various uncertainties. Thus, the reliability calculated by the proposed methods will be inaccurate for engineering problems with only a few random samples.
Author Contributions
Funding
Data Availability Statement
Conflicts of Interest
References
- Wang, C.; Zhang, H.; Li, Q.W. Moment-based evaluation of structural reliability. Reliab. Eng. Syst. Saf. 2019, 181, 38–45. [Google Scholar] [CrossRef]
- Huang, X.Z.; Li, Y.X.; Zhang, Y.M.; Zhang, X.F. A new direct second-order reliability analysis method. Appl. Math. Model. 2018, 55, 68–80. [Google Scholar] [CrossRef]
- Hu, Z.L.; Mansour, R.; Olsson, M.; Du, X.P. Second-order reliability methods: A review and comparative study. Struct. Multidiscip. Optim. 2021, 64, 3233–3263. [Google Scholar] [CrossRef]
- Lu, H.; Cao, S.; Zhu, Z.C.; Zhang, Y.M. An improved high order moment-based saddle point approximation method for reliability analysis. Appl. Math. Model. 2020, 82, 836–847. [Google Scholar] [CrossRef]
- Li, G.; He, W.X.; Zeng, Y. An improved maximum entropy method via fractional moments with Laplace transform for reliability analysis. Struct. Multidiscip. Optim. 2019, 59, 1301–1320. [Google Scholar] [CrossRef]
- Zhang, L.W. An improved fourth-order moment reliability method for strongly skewed distributions. Struct. Multidiscip. Optim. 2020, 62, 1213–1225. [Google Scholar] [CrossRef]
- Cao, S.; Chen, G.A.; Peng, Y.X.; Lu, H.; Ren, F.B. Uncertainty analysis and time-dependent reliability estimation for the main shaft device of a mine hoist. Mech. Based Des. Struct. Mech. 2022, 50, 2221–2236. [Google Scholar] [CrossRef]
- Zhang, Y.; Xu, J. Efficient reliability analysis with a CDA-based dimension-reduction model and polynomial chaos expansion. Comput. Meth. Appl. Mech. Eng. 2021, 373, 113467. [Google Scholar] [CrossRef]
- Rahman, S.; Xu, H. A univariate dimension-reduction method for multi-dimensional integration in stochastic mechanics. Probab. Eng. Eng. Mech. 2004, 19, 393–408. [Google Scholar] [CrossRef]
- Zhang, X.; Pandey, M.D. Structural reliability analysis based on the concepts of entropy, fractional moment and dimensional reduction method. Struct. Saf. 2013, 43, 28–40. [Google Scholar] [CrossRef]
- Xu, H.; Rahman, S. A generalized dimension-reduction method for multidimensional integration in stochastic mechanics. Int. J. Numer. Methods Eng. 2004, 61, 1992–2019. [Google Scholar] [CrossRef]
- Xu, J.; Zhou, L.J. An adaptive trivariate dimension-reduction method for statistical moments assessment and reliability analysis. Appl. Math. Model. 2020, 82, 748–765. [Google Scholar] [CrossRef]
- Hong, H.P. An efficient point estimate method for probabilistic analysis. Reliab. Eng. Syst. Saf. 1998, 59, 261–267. [Google Scholar] [CrossRef]
- Zhao, Y.G.; Ono, T. New point estimates for probability moments. J. Eng. Mech. 2000, 126, 433–436. [Google Scholar] [CrossRef]
- Zhou, C.C.; Lu, Z.Z.; Li, W. Sparse grid integration based solutions for moment-independent importance measures. Prob. Eng. Eng. Mech. 2015, 39, 46–55. [Google Scholar] [CrossRef]
- Zhang, Y.M. Principle of maximum entropy for reliability analysis in the design of machine components. Front. Mech. Eng. 2019, 14, 21–32. [Google Scholar] [CrossRef]
- Dai, H.Z.; Zhang, H.; Wang, W. A new maximum entropy-based importance sampling for reliability analysis. Struct. Saf. 2016, 63, 71–80. [Google Scholar] [CrossRef]
- Meng, Z.; Pu, Y.X.; Zhou, H.L. Adaptive stability transformation method of chaos control for first order reliability method. Eng. Comput. 2018, 34, 671–683. [Google Scholar] [CrossRef]
- Kang, B.; Mun, J.; Lim, J.; Choi, K.K.; Kim, D.H. Most probable failure point update method for accurate first-order reliability-based electromagnetic designs. J. Magn. 2019, 24, 408–412. [Google Scholar] [CrossRef]
- Peng, X.; Gao, Q.L.; Li, J.Q.; Liu, Z.Y.; Yi, B.; Jiang, S.F. Probabilistic representation approach for multiple types of epistemic uncertainties based on cubic normal transformation. Appl. Sci. 2020, 10, 4698. [Google Scholar] [CrossRef]
- Cao, S.; Lu, H.; Peng, Y.X.; Ren, F.B. A novel fourth-order L-moment reliability method for L-correlated variables. Appl. Math. Model. 2021, 95, 806–823. [Google Scholar] [CrossRef]






| a | MLP | FOPM + MLP | SOPM + MLP | |||||||
|---|---|---|---|---|---|---|---|---|---|---|
| 3.0 | 3.1213 | 3.1213 | 4.2426 | 1.4142 | −1.4142 | 6 | 4.2426 | 1.4142 | −1.4142 | 6 |
| 3.5 | 3.4749 | 3.4749 | 4.9497 | 1.4142 | −1.4142 | 6 | 4.9497 | 1.4142 | −1.4142 | 6 |
| 4.0 | 3.8284 | 3.8284 | 5.6569 | 1.4142 | −1.4142 | 6 | 5.6569 | 1.4142 | −1.4142 | 6 |
| 4.5 | 4.1820 | 4.1820 | 6.3640 | 1.4142 | −1.4142 | 6 | 6.3640 | 1.4142 | −1.4142 | 6 |
| 5.0 | 4.5355 | 4.5355 | 7.0711 | 1.4142 | −1.4142 | 6 | 7.0711 | 1.4142 | −1.4142 | 6 |
| a | - | - | ME | MCS (106) | ||||||
| 3.0 | - | - | 4.2426 | 1.4142 | −1.4142 | 6 | 4.2421 | 1.4148 | −1.4137 | 6.0090 |
| 3.5 | - | - | 4.9497 | 1.4142 | −1.4142 | 6 | 4.9495 | 1.4144 | −1.4134 | 5.9917 |
| 4.0 | - | - | 5.6569 | 1.4142 | −1.4142 | 6 | 5.6535 | 1.4158 | −1.4070 | 5.9521 |
| 4.5 | - | - | 6.3640 | 1.4142 | −1.4142 | 6 | 6.3645 | 1.4157 | −1.4188 | 6.0478 |
| 5.0 | - | - | 7.0711 | 1.4142 | −1.4142 | 6 | 7.0735 | 1.4123 | −1.4144 | 5.9999 |
| a | FOPM + MLP and SOPM + MLP (Relative Errors, %) | ME (Relative Errors, %) | ||||||
|---|---|---|---|---|---|---|---|---|
| 3.0 | 0.0084 | −0.0564 | −0.4505 | −0.7783 | 0.0084 | −0.0564 | −0.4505 | −0.7783 |
| 3.5 | 0.0422 | −0.1077 | −0.2496 | −0.4917 | 0.0422 | −0.1077 | −0.2496 | −0.4917 |
| 4.0 | 0.0074 | −0.0042 | −0.0058 | −0.1011 | 0.0074 | −0.0042 | −0.0058 | −0.1011 |
| 4.5 | −0.0209 | 0.0570 | 0.2225 | 0.3386 | −0.0209 | 0.0570 | 0.2225 | 0.3386 |
| 5.0 | −0.0088 | 0.0063 | −0.0596 | 0.0491 | −0.0088 | 0.0063 | −0.0596 | 0.0491 |
| Variables | Mean | Standard Deviation | Distribution |
|---|---|---|---|
| D (m) | 0.3 | 0.06 | Lognormal |
| Ts (MPa) | 360 | 54 | Lognormal |
| Tc (MPa) | 40 | 10 | Lognormal |
| Mb (MNm) | 0.016 | 0.008 | Lognormal |
| Methods | MLP | |||||||
|---|---|---|---|---|---|---|---|---|
| D* | Ts* | Tc* | Mb* | |||||
| FOPM + MLP | 0.2548 | 329.3336 | 36.3490 | 0.0204 | 0.01 | 0.0099 | −0.7557 | 5.1527 |
| SOPM + MLP | 0.2548 | 329.3336 | 36.3490 | 0.0204 | 0.0103 | 0.0105 | −0.5062 | 4.8768 |
| ME | - | - | - | - | 0.0103 | 0.0104 | −0.5398 | 4.7706 |
| MCS (106) | - | - | - | - | 0.0103 | 0.0104 | −0.5283 | 4.8967 |
| SOPM + MLP (Relative Errors, %) | ME (Relative Errors, %) | ||||||
|---|---|---|---|---|---|---|---|
| −2.9072 × 10−4 | 0.0103 | −0.0418 | −0.0054 | 3.3185 × 10−4 | 6.5335 × 10−4 | 0.0218 | −0.027 |
| Variables | Symbol | Description | Mean | COV | Distribution |
|---|---|---|---|---|---|
| X1 (mm) | L1 | Length of shaft segment 1 | 119 | 0.005 | Normal |
| X2 (mm) | L4 | Length of shaft segment 4 | 400 | 0.005 | Normal |
| X3 (mm) | L5 | Length of shaft segment 5 | 1210 | 0.005 | Normal |
| X4 (mm) | L6 | Length of shaft segment 6 | 689.5 | 0.005 | Normal |
| X5 (mm) | L8 | Length of shaft segment 8 | 146 | 0.005 | Normal |
| X6 (mm) | L10 | Length of shaft segment 10 | 335 | 0.005 | Normal |
| X7 (mm) | r | Radius of shaft segment 4 | 230 | 0.005 | Normal |
| X8 (MPa) | P | Constraining force | 5.04 | 0.2 | Lognormal |
| X9 (N) | F1 | Radial concentrated force | 90,000 | 0.2 | Lognormal |
| X10 (Nm) | M | Moment | 113,000 | 0.2 | Lognormal |
| Method | FOPM + MLP | SOPM + MLP | ME | MCS |
|---|---|---|---|---|
| 1.374 | 1.356 | 1.352 | 1.357 | |
| Relative errors (%) | 1.25 | −0.07 | −0.37 | - |
Publisher’s Note: MDPI stays neutral with regard to jurisdictional claims in published maps and institutional affiliations. |
© 2022 by the authors. Licensee MDPI, Basel, Switzerland. This article is an open access article distributed under the terms and conditions of the Creative Commons Attribution (CC BY) license (https://creativecommons.org/licenses/by/4.0/).
Share and Cite
Cao, S.; Lu, H. An Efficient High-Order-Moment-Based Reliability Method Combining the Maximum Likelihood Point and Cubic Normal Transformation. Machines 2022, 10, 1140. https://doi.org/10.3390/machines10121140
Cao S, Lu H. An Efficient High-Order-Moment-Based Reliability Method Combining the Maximum Likelihood Point and Cubic Normal Transformation. Machines. 2022; 10(12):1140. https://doi.org/10.3390/machines10121140
Chicago/Turabian StyleCao, Shuang, and Hao Lu. 2022. "An Efficient High-Order-Moment-Based Reliability Method Combining the Maximum Likelihood Point and Cubic Normal Transformation" Machines 10, no. 12: 1140. https://doi.org/10.3390/machines10121140
APA StyleCao, S., & Lu, H. (2022). An Efficient High-Order-Moment-Based Reliability Method Combining the Maximum Likelihood Point and Cubic Normal Transformation. Machines, 10(12), 1140. https://doi.org/10.3390/machines10121140
