Speed Tracking for IFOC Induction Motor Speed Control Using Hybrid Sensorless Speed Estimator Based on Flux Error for Electric Vehicles Application
Abstract
1. Introduction
2. Dynamic Modeling of Induction Motor
3. Indirect Field-Oriented Control
4. Proposed Hybrid Flux and Speed Estimator with Speed Controller
4.1. Sensorless Flux Estimator
4.2. Sensorless Speed Estimator
5. Controller’s Stability on Proposed Hybrid Estimator for IFOC
5.1. Inner Loop Current Control
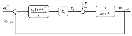
5.2. Outer Loop Speed Control
6. Simulation Results
6.1. IM Performance under Parameter Variation
6.1.1. Rotor Resistance Variation
6.1.2. Stator Resistance Variation
6.1.3. Mutual Inductance Variation
6.2. IM Performance under Variable Speed Trajectory
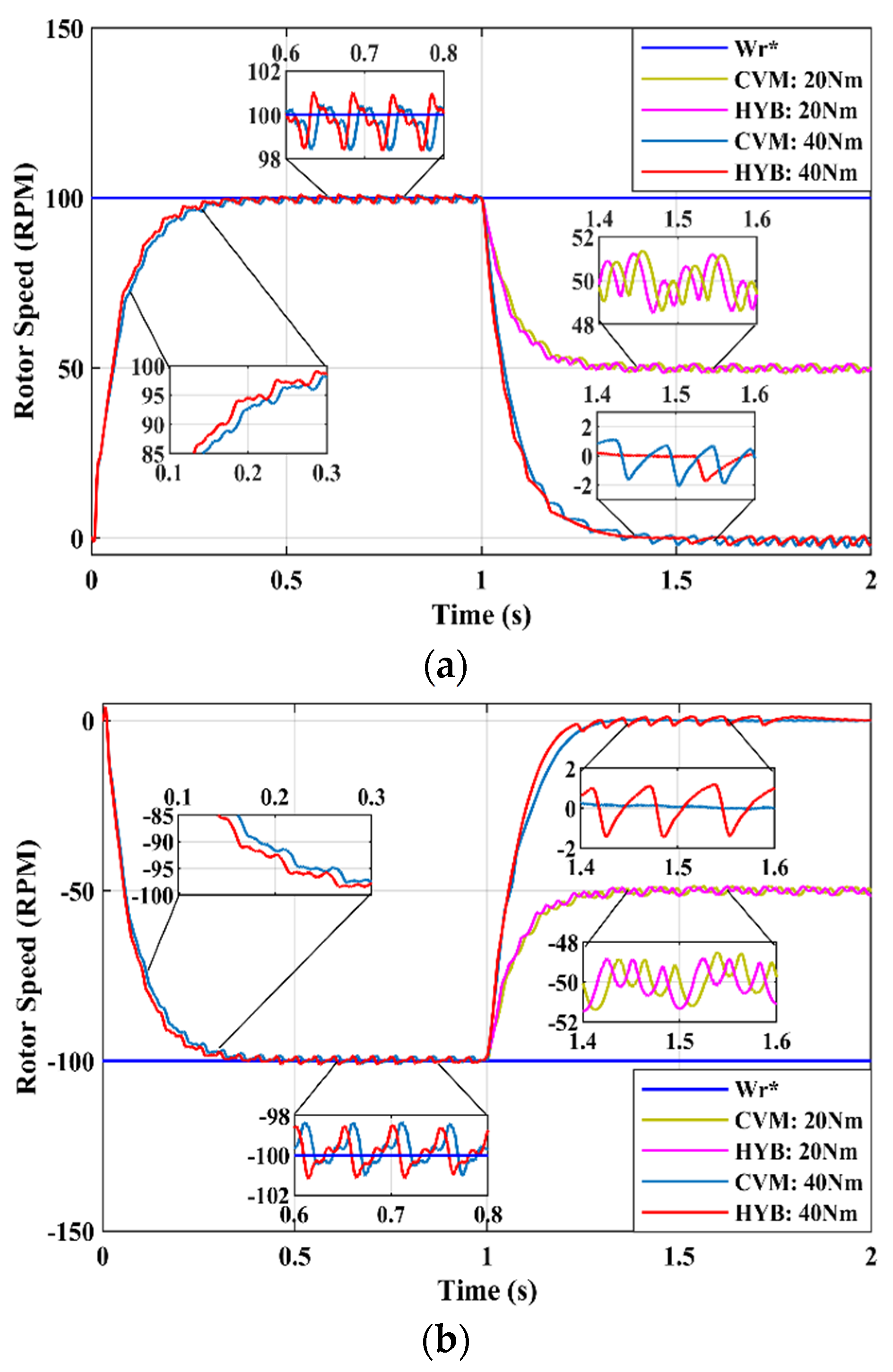
6.3. IM Performance at Very Low Speed under Regenerative Braking and Zero-Speed Conditions
6.4. IM Performance under Load Torque Disturbances
7. Performance Evaluation Comparison
8. Conclusions
Author Contributions
Funding
Data Availability Statement
Acknowledgments
Conflicts of Interest
Appendix A
| Parameter | Value |
|---|---|
| DC voltage | 800 V |
| Inverter frequency | 5 kHz |
| Rated power | 20 hp |
| Rated speed | 1500 rpm |
| Rated voltage | 400 V |
| Frequency | 50 Hz |
| Stator resistance | 0.6 Ω |
| Rotor resistance | 1.15 Ω |
| Stator inductance | 19.561 mH |
| Rotor inductance | 19.561 mH |
| Magnetizing inductance | 18.82 mH |
| Inertia | 0.2 kg.m2 |
| Number of pole pairs | 2 |
References
- Quintero-Manriquez, E.; Sanchez, E.N.; Felix, R.A. Real-time direct field-oriented and second order sliding mode controllers of induction motor for electric vehicles applications. In Proceedings of the 2015 10th System of Systems Engineering Conference (SoSE), San Antonio, TX, USA, 17–20 May 2015; pp. 220–225. [Google Scholar] [CrossRef]
- Chan, C.C. The Rise & Fall of Electric Vehicles in 1828–1930: Lessons Learned [Scanning Our Past]. Proc. IEEE 2013, 101, 206–212. [Google Scholar] [CrossRef]
- Olarescu, N.-V.; Weinmann, M.; Zeh, S.; Musuroi, S.; Sorandaru, C. Optimum torque control algorithm for wide speed range and four quadrant operation of stator flux oriented induction machine drive without regenerative unit. In Proceedings of the 2011 IEEE Energy Conversion Congress and Exposition, Phoenix, AZ, USA, 17–22 September 2011; pp. 1773–1777. [Google Scholar] [CrossRef]
- Odhano, S.A.; Bojoi, R.; Boglietti, A.; Rosu, S.G.; Griva, G. Maximum Efficiency per Torque Direct Flux Vector Control of Induction Motor Drives. IEEE Trans. Ind. Appl. 2015, 51, 4415–4424. [Google Scholar] [CrossRef]
- Paulus, D.; Stumper, J.-F.; Kennel, R. Sensorless Control of Synchronous Machines Based on Direct Speed and Position Estimation in Polar Stator-Current Coordinates. IEEE Trans. Power Electron. 2013, 28, 2503–2513. [Google Scholar] [CrossRef]
- Liu, K.; Zhu, Z.Q.; Stone, D.A. Parameter Estimation for Condition Monitoring of PMSM Stator Winding and Rotor Permanent Magnets. IEEE Trans. Ind. Electron. 2013, 60, 5902–5913. [Google Scholar] [CrossRef]
- Kandoussi, Z.; Boulghasoul, Z.; Elbacha, A.; Tajer, A. Fuzzy sliding mode observer based sensorless Indirect FOC for IM drives. In Proceedings of the 2015 Third World Conference on Complex Systems (WCCS), Marrakech, Morocco, 23–25 November 2015; pp. 1–6. [Google Scholar] [CrossRef]
- Alonge, F.; D’Ippolito, F.; Sferlazza, A. Sensorless Control of Induction-Motor Drive Based on Robust Kalman Filter and Adaptive Speed Estimation. IEEE Trans. Ind. Electron. 2014, 61, 1444–1453. [Google Scholar] [CrossRef]
- Harnefors, L.; Saarakkala, S.E.; Hinkkanen, M. Speed Control of Electrical Drives Using Classical Control Methods. IEEE Trans. Ind. Appl. 2013, 49, 889–898. [Google Scholar] [CrossRef]
- Sun, X.; Yi, Y.; Zheng, W.; Zhang, T. Robust PI speed tracking control for PMSM system based on convex optimization algorithm. In Proceedings of the 33rd Chinese Control Conference, Nanjing, China, 28–30 July 2014; pp. 4294–4299. [Google Scholar] [CrossRef]
- Zaky, M.S. A stable adaptive flux observer for a very low speed-sensorless induction motor drives insensitive to stator resistance variations. Ain Shams Eng. J. 2011, 2, 11–20. [Google Scholar] [CrossRef]
- Alsofyani, I.M.; Idris, N. A review on sensorless techniques for sustainable reliablity and efficient variable frequency drives of induction motors. Renew. Sustain. Energy Rev. 2013, 24, 111–121. [Google Scholar] [CrossRef]
- Li, C.; Chen, M.; Gao, S. Fractional order PI speed control for permanent magnet synchronous motor drives. In Proceedings of the 11th World Congress on Intelligent Control and Automation, Shenyang, China, 29 June–4 July 2014; pp. 4681–4685. [Google Scholar]
- Sariyildiz, E.; Yu, H.; Ohnishi, K. A Practical Tuning Method for the Robust PID Controller with Velocity Feed-Back. Machines 2015, 3, 208–222. [Google Scholar] [CrossRef]
- Zemmit, A.; Messalti, S.; Harrag, A. A new improved DTC of doubly fed induction machine using GA-based PI controller. Ain Shams Eng. J. 2018, 9, 1877–1885. [Google Scholar] [CrossRef]
- Mora, A.; Orellana, A.; Juliet, J.; Cardenas, R. Model Predictive Torque Control for Torque Ripple Compensation in Variable-Speed PMSMs. IEEE Trans. Ind. Electron. 2016, 63, 4584–4592. [Google Scholar] [CrossRef]
- Zhou, Y.; Shang, W.; Liu, M.; Li, X.; Zeng, Y. Simulation of PMSM vector control based on a self-tuning fuzzy PI controller. In Proceedings of the 2015 8th International Conference on Biomedical Engineering and Informatics (BMEI), Shenyang, China, 14–16 October 2015; pp. 609–613. [Google Scholar] [CrossRef]
- Saleem, O.; Omer, U. EKF-based self-regulation of an adaptive nonlinear PI speed controller for a DC motor. Turk. J. Electr. Eng. Comput. Sci. 2017, 25, 4131–4141. [Google Scholar] [CrossRef]
- Lftisi, F.; George, G.; Aktaibi, A.; Butt, C.; Rahman, M.A. Artificial neural network based speed controller for induction motors. In Proceedings of the IECON 2016–42nd Annual Conference of the IEEE Industrial Electronics Society, Florence, Italy, 23–26 October 2016; pp. 2708–2713. [Google Scholar] [CrossRef]
- Hasan, A.; Mishra, R.K.; Singh, S. Speed Control of DC Motor Using Adaptive Neuro Fuzzy Inference System Based PID Controller. In Proceedings of the 2019 2nd International Conference on Power Energy, Environment and Intelligent Control (PEEIC), Greater Noida, India, 18–19 October 2019; pp. 138–143. [Google Scholar] [CrossRef]
- Areed, F.G.; Haikal, A.Y.; Mohammed, R.H. Adaptive neuro-fuzzy control of an induction motor. Ain Shams Eng. J. 2010, 1, 71–78. [Google Scholar] [CrossRef]
- Zolfaghari, M.; Taher, S.A.; Munuz, D.V. Neural network-based sensorless direct power control of permanent magnet synchronous motor. Ain Shams Eng. J. 2016, 7, 729–740. [Google Scholar] [CrossRef]
- Sepeeh, M.S.; Zulkifli, S.A.; Sim, S.Y.; Pathan, E. A Comprehensive Review of Field-Oriented Control in Sensorless Control Techniques for Electric Vehicle. Int. Rev. Electr. Eng. (IREE) 2018, 13, 461–475. [Google Scholar] [CrossRef]
- Farah, N.; Talib, M.H.N.; Shah, N.S.M.; Abdullah, Q.; Ibrahim, Z.; Lazi, J.B.M.; Jidin, A. A Novel Self-Tuning Fuzzy Logic Controller Based Induction Motor Drive System: An Experimental Approach. IEEE Access 2019, 7, 68172–68184. [Google Scholar] [CrossRef]
- Doumit, N.; Danoumbé, B.; Capraro, S.; Chatelon, J.-P.; Blanc-Mignon, M.-F.; Rousseau, J.-J. Temperature impact on inductance and resistance values of a coreless inductor (Cu/Al2O3). Microelectron. Reliab. 2017, 72, 30–33. [Google Scholar] [CrossRef]
- Satish, S.; Ansari, M.A.; Saxena, A.K. Determination and comparison of temperature coefficients of standard inductors using different methods. In Proceedings of the 2012 Conference on Precision electromagnetic Measurements, Washington, DC, USA, 1–6 July 2012; pp. 404–405. [Google Scholar] [CrossRef]
- Sepeeh, M.S.; Zulkifli, S.A.; Sim, S.Y. A Simulation on Hybrid Speed and Flux Estimation-Based Back EMF Integration with Rotor Flux-Oriented Current Model. Int. Rev. Model. Simul. (IREMOS) 2020, 13, 97–107. [Google Scholar] [CrossRef]
- Orlowska-Kowalska, T.; Dybkowski, M. Stator-Current-Based MRAS Estimator for a Wide Range Speed-Sensorless Induction-Motor Drive. IEEE Trans. Ind. Electron. 2010, 57, 1296–1308. [Google Scholar] [CrossRef]
- Wang, G.; Xu, D.; Yu, Y.; Chen, W. Improved rotor flux estimation based on voltage model for sensorless field-oriented controlled induction motor drives. In Proceedings of the 2008 IEEE Power Electronics Specialists Conference, Rhodes, Greece, 15–19 June 2008; pp. 1887–1890. [Google Scholar] [CrossRef]
- Krishna, S.M.; Daya, J.F. MRAS speed estimator with fuzzy and PI stator resistance adaptation for sensorless induction motor drives using RT-lab. Perspect. Sci. 2016, 8, 121–126. [Google Scholar] [CrossRef]
- Farasat, M.; Trzynadlowski, A.M.; Fadali, M.S. Efficiency improved sensorless control scheme for electric vehicle induction motors. IET Electr. Syst. Transp. 2014, 4, 122–131. [Google Scholar] [CrossRef]
- Pal, A.; Kumar, R.; Das, S. Sensorless Speed Control of Induction Motor Driven Electric Vehicle Using Model Reference Adaptive Controller. In Proceedings of the Energy Procedia 5th International Conference on Advances in Energy Research, (ICAER 2015), Mumbai, India, 15–17 December 2015; pp. 540–551. [Google Scholar] [CrossRef]
- Ta, C.-M.; Uchida, T.; Hori, Y. MRAS-based speed sensorless control for induction motor drives using instantaneous reactive power. In Proceedings of the 27th Annual Conference of the IEEE Industrial Electronics Society (IECON’01), Denver, CO, USA, 29 November–2 December 2001; pp. 1417–1422. [Google Scholar] [CrossRef]
- Yujie, L.; Shaozhong, C. Model reference adaptive control system simulation of permanent magnet synchronous motor. In Proceedings of the 2015 IEEE Advanced Information Technology, Electronic and Automation Control Conference (IAEAC), Chongqing, China, 19–20 December 2015; pp. 498–502. [Google Scholar] [CrossRef]
- Zhifu, W.; Jun, F.; Zhijian, S.; Qiang, S. Study on Speed Sensor-less Vector Control of Induction Motors Based on AMEsim-Matlab/Simulink Simulation. In Proceedings of the 8th International Conference on Applied Energy (ICAE2016), Beijing, China, 8–11 October 2016; pp. 2378–2383. [Google Scholar] [CrossRef]
- Bensiali, N.; Etien, E.; Benalia, N. Convergence analysis of back-EMF MRAS observers used in sensorless control of induction motor drives. Math. Comput. Simul. 2015, 115, 12–23. [Google Scholar] [CrossRef]



















| Mode | Step Info | Rotor Resistance Variation, Rr = 1.15 Ω | |||||
|---|---|---|---|---|---|---|---|
| Rr | 25% Rr | 50% Rr | |||||
| CVM | HYB | CVM | HYB | CVM | HYB | ||
| Forward | Settling time (s) | 0.309 | 0.278 | 0.310 | 0.279 | 0.310 | 0.272 |
| Rise time (s) | 0.169 | 0.152 | 0.168 | 0.151 | 0.166 | 0.143 | |
| Overshoot (%) | 0.035 | 0.025 | 0.038 | 0.022 | 0.048 | 0.038 | |
| Speed error (rpm) | 4.699 | 2.375 | 4.861 | 2.573 | 4.970 | 2.664 | |
| Reverse | Settling time (s) | 0.343 | 0.319 | 0.343 | 0.317 | 0.342 | 0.316 |
| Rise time (s) | 0.189 | 0.177 | 0.188 | 0.175 | 0.187 | 0.176 | |
| Overshoot (%) | 0.006 | 0.007 | 0.005 | 0.016 | 0.005 | 0.010 | |
| Speed error (rpm) | 3.448 | 2.760 | 3.752 | 0.652 | 4.007 | 0.957 | |
| Step Info | Rotor Resistance Variation, Rr = 1.15 Ω | ||
|---|---|---|---|
| Rr | 25% Rr | 50% Rr | |
| Settling time (s) | 0.244 | 0.234 | 0.207 |
| Rise time (s) | 0.017 | 0.012 | 0.010 |
| Peak value (Wb) | 0.996 | 1.087 | 1.145 |
| Overshoot (%) | 3.336 | 12.858 | 19.032 |
| Mode | Step Info | Rotor Resistance Variation, Rs = 0.6 Ω | |||||
|---|---|---|---|---|---|---|---|
| Rs | 25% Rs | 50% Rs | |||||
| CVM | HYB | CVM | HYB | CVM | HYB | ||
| Forward | Settling time (s) | 0.309 | 0.278 | 0.304 | 0.275 | 0.300 | 0.270 |
| Rise time (s) | 0.169 | 0.152 | 0.167 | 0.150 | 0.164 | 0.146 | |
| Overshoot (%) | 0.035 | 0.025 | 0.029 | 0.005 | 0.010 | 0.013 | |
| Speed error (rpm) | 4.699 | 2.375 | 4.678 | 2.327 | 4.656 | 2.282 | |
| Reverse | Settling time (s) | 0.343 | 0.319 | 0.342 | 0.316 | 0.339 | 0.313 |
| Rise time (s) | 0.189 | 0.177 | 0.187 | 0.175 | 0.185 | 0.173 | |
| Overshoot (%) | 0.006 | 0.007 | 0.005 | 0.017 | 0.003 | 0.011 | |
| Speed error (rpm) | 3.448 | 2.760 | 3.376 | 0.186 | 3.312 | 0.109 | |
| Mode | Step Info | Rotor Resistance Variation, Lm = 18.82 mH | |||||
|---|---|---|---|---|---|---|---|
| Lm | 25% Lm | 50% Lm | |||||
| CVM | HYB | CVM | HYB | CVM | HYB | ||
| Forward | Settling time (s) | 0.309 | 0.279 | 0.310 | 0.280 | 0.308 | 0.278 |
| Rise time (s) | 0.169 | 0.152 | 0.169 | 0.152 | 0.168 | 0.151 | |
| Overshoot (%) | 0.016 | 0.037 | 0.018 | 0.002 | 0.070 | 0.033 | |
| Speed error (rpm) | 4.693 | 2.374 | 4.641 | 2.362 | 4.662 | 2.337 | |
| Reverse | Settling time (s) | 0.344 | 0.318 | 0.342 | 0.316 | 0.344 | 0.318 |
| Rise time (s) | 0.189 | 0.178 | 0.188 | 0.176 | 0.188 | 0.176 | |
| Overshoot (%) | 0.014 | 0.025 | 0.030 | 0.056 | 0.029 | 0.042 | |
| Speed error (rpm) | 3.448 | 0.277 | 3.452 | 0.315 | 3.457 | 0.358 | |
| Mode | Step Info | Rotor Speed Variation (rpm) | |||
|---|---|---|---|---|---|
| 500 rpm | 1000 rpm | ||||
| CVM | HYB | CVM | HYB | ||
| Forward | Time lag (s) | 0.544 | 0.480 | 0.533 | 0.447 |
| Speed error (rpm) | 1.215 | 0.408 | 2.851 | 1.323 | |
| Reverse | Time lag (s) | 0.527 | 0.476 | 0.530 | 0.397 |
| Speed error (rpm) | 0.421 | 2.047 | 1.550 | 0.678 | |
| Mode | Step Info | Reference Low Speed, ωr = 100 rpm | |||
|---|---|---|---|---|---|
| τm = 20 Nm | τm = 40 Nm | ||||
| CVM | HYB | CVM | HYB | ||
| Forward braking | Settling time (s) | 1.236 | 1.193 | 1.279 | 1.115 |
| Rise time (s) | 0.163 | 0.136 | 0.187 | 0.159 | |
| Overshoot (%) | 1.334 | 1.652 | 2.000 | 2.518 | |
| Speed error (rpm) | 0.750 | 0.741 | 1.269 | 0.925 | |
| Reverse braking | Settling time (s) | 1.231 | 1.218 | 1.258 | 1.215 |
| Rise time (s) | 0.164 | 0.138 | 0.168 | 0.142 | |
| Overshoot (%) | 1.135 | 0.811 | 0.505 | 0.837 | |
| Speed error (rpm) | 0.751 | 0.728 | 0.767 | 0.750 | |
| Mode | Step Info | Load Torque Disturbances (Nm) | |||||
|---|---|---|---|---|---|---|---|
| 50 Nm | 75 Nm | 100 Nm | |||||
| CVM | HYB | CVM | HYB | CVM | HYB | ||
| Forward | Time lag (s) | 0.436 | 0.357 | 0.405 | 0.328 | 0.394 | 0.315 |
| Speed error (rpm) | 42 | 38 | 60 | 56 | 77 | 73 | |
| Reverse | Time lag (s) | 0.417 | 0.333 | 0.386 | 0.325 | 0.357 | 0.323 |
| Speed error (rpm) | 40 | 36 | 58 | 54 | 76 | 72 | |
| Authors | [28,29] | [30,31,32] | [33,34] | [35,36] | Proposed |
|---|---|---|---|---|---|
| Type of FOC | Sensorless IFOC | Sensorless IFOC | Sensorless DFOC | Sensorless IFOC | Sensorless IFOC |
| Control variable | V & I | I & Wr | V & I | V & I | I, Wr & EMF |
| Inverter control | PWM | SV-PWM | PWM | SV-PWM | SV-PWM |
| Speed control | Fuzzy | PI | PI | PI | PI |
| Estimation method | V & I model | Fictitious resistance based on V & I model | Reactive power based on V & I model | EMF based on V & I model | EMF compensation based on V & rotor flux-oriented I model |
| Complexity | MED | MED | HI | MED | MED |
| * Average speed error (%) | LS: 26.67 HS: 33.00 | Constant LS: 1.00 | Conventional: 0.20 (Act) 2.30 (Est) Proposed: 0.10 (Act) 0.40 (Est) | LS: 0.50 | Conventional (Est): LS: 0.24 (F), 0.08 (R) HS: 0.32 (F), 0.24 (R) Proposed (Est): LS: 0.08 (F), 0.40 (R) HS: 0.16 (F), 0.06 (R) |
Publisher’s Note: MDPI stays neutral with regard to jurisdictional claims in published maps and institutional affiliations. |
© 2022 by the authors. Licensee MDPI, Basel, Switzerland. This article is an open access article distributed under the terms and conditions of the Creative Commons Attribution (CC BY) license (https://creativecommons.org/licenses/by/4.0/).
Share and Cite
Sepeeh, M.S.; Zulkifli, S.A.; Sim, S.Y.; Chiu, H.-J.; Wanik, M.Z.C. Speed Tracking for IFOC Induction Motor Speed Control Using Hybrid Sensorless Speed Estimator Based on Flux Error for Electric Vehicles Application. Machines 2022, 10, 1089. https://doi.org/10.3390/machines10111089
Sepeeh MS, Zulkifli SA, Sim SY, Chiu H-J, Wanik MZC. Speed Tracking for IFOC Induction Motor Speed Control Using Hybrid Sensorless Speed Estimator Based on Flux Error for Electric Vehicles Application. Machines. 2022; 10(11):1089. https://doi.org/10.3390/machines10111089
Chicago/Turabian StyleSepeeh, Muhamad Syazmie, Shamsul Aizam Zulkifli, Sy Yi Sim, Huang-Jen Chiu, and Mohd Zamri Che Wanik. 2022. "Speed Tracking for IFOC Induction Motor Speed Control Using Hybrid Sensorless Speed Estimator Based on Flux Error for Electric Vehicles Application" Machines 10, no. 11: 1089. https://doi.org/10.3390/machines10111089
APA StyleSepeeh, M. S., Zulkifli, S. A., Sim, S. Y., Chiu, H.-J., & Wanik, M. Z. C. (2022). Speed Tracking for IFOC Induction Motor Speed Control Using Hybrid Sensorless Speed Estimator Based on Flux Error for Electric Vehicles Application. Machines, 10(11), 1089. https://doi.org/10.3390/machines10111089

