Next Article in Journal
Investigation of the Influence of Cutting Parameters on Conical Pick Cutting Performance and Rock Damage
Previous Article in Journal
Air Combat Maneuver Decision Method Based on A3C Deep Reinforcement Learning
 
 
Font Type:
Arial Georgia Verdana
Font Size:
Aa Aa Aa
Line Spacing:
Column Width:
Background:
Article

Optimal Selection of Suspension and Tires for Vehicles’ Cornering Performance

1
Vehicle Safety R&D Center, Korea Automotive Technology Institute (KATECH), 201, Gukgasandanseo-ro, Guji-myeon, Dalseong-gun, Daegu 43011, Korea
2
Department of Mechanical Design Engineering, Pukyong National University, Busan 48513, Korea
*
Author to whom correspondence should be addressed.
Machines 2022, 10(11), 1032; https://doi.org/10.3390/machines10111032
Submission received: 8 August 2022 / Revised: 30 October 2022 / Accepted: 3 November 2022 / Published: 5 November 2022
(This article belongs to the Section Vehicle Engineering)

Abstract

It is difficult to accurately simulate the cornering performance of a vehicle using a simplified vehicle model; therefore, a proper evaluation process should be conducted from an experimental perspective. In addition, there are several possible combinations of subparts in suspension modules, such as springs, dampers, stabilizers, or other parts, and the characteristic identification of each part may require significant costs and time. In this study, the cornering performance of a vehicle system was experimentally evaluated using several combinations of subparts in the suspension module as well as candidate tire cases. All characteristic parameters used in the two indices were previously identified as separate steps, and vehicle tests were performed according to all the required test scenarios for cornering performance. The evaluation of the cornering performance of a vehicle was proposed using the suspension characteristic cornering performance (SCCP) index and suspension and tire characteristic cornering performance based-on-tests (STCT) index, respectively, using measured data from a vehicle test. The STCT index is revised from the SCCP index by considering the tires’ effects, and the optimal selection of the suspension and tires can be obtained from the proposed indices. The feasibility of the proposed STCT index was verified by evaluating the cornering performance from all the prepared test results.

1. Introduction

With the increase in the world population and the number of registered vehicles, the number of deaths in traffic accidents has increased significantly. In order to prevent accidents caused by vehicles, studies on the longitudinal control system of vehicles have been conducted since the 1970s, but longitudinal control systems cannot avoid accidents without overcoming the limitations of the vehicle’s basic structure and design parameters. Accordingly, research into securing driving stability through a vehicle’s lateral control system has been conducted since the 1980s, but these control systems are based on the design of a vehicle’s hard-point and suspension core components. As a technology that utilizes primary cornering performance, it is still necessary to improve performance to secure the driving stability of vehicles [1,2].
The cornering performance of a vehicle depends on various factors, including the basic structure and design parameters such as the overall length, overall width, wheelbase, tread and weight, type of steering system and suspension system, characteristics of the element parts configuring the suspension system, hard-point and tire specifications, and other characteristics. Various studies have been conducted [2,3,4]. Furthermore, to improve the cornering performance of vehicles, research related to variations in the suspension type and the optimization of hard-points, as well as the development of active suspension and integrated chassis control, has been actively conducted [5,6].
In the case of tires, a great deal of research has been conducted on the improvement of driving force and braking force, which are longitudinal motion characteristics, in addition to improving driving stability. In recent years, various studies have been conducted with the aim of improving fuel efficiency, developing eco-friendly materials, and reducing noise [7]. Oh et al. [8] investigated the factors constituting the braking performance in the development stage of tires and a method for optimizing the anti-lock braking system (ABS) characteristics of a vehicle as well as the dynamic characteristics of the tires so that the braking performance could be significantly enhanced.
There is insufficient research on the effect of the combined characteristics of the suspension and tires, which mutually affect each other in a vehicle, on a vehicle’s cornering performance. There is a need for research on the analysis of the effect of the suspension and tires on vehicles to improve cornering performance. Recently, research has been conducted on the development and commercialization of active suspension systems to improve the lateral stability and riding comfort of vehicles. However, there is a disadvantage in that it is difficult for such developments to be prevalent because of the increase in the weight and cost of the suspension system due to the installation of additional actuators. Therefore, an in-depth study of the suspension system and tires constituting the passive-type suspension system is still required.
Various simulation-based studies have been conducted to improve the integrated performance of the suspension and tires, which have a mutual influence on the vehicle unit. Compared with actual vehicle-based test research, simulation-based vehicle dynamics analysis has the advantage of being able to study various vehicle parameters with less time and cost. Vilela et al. [9] compared a computer-aided engineering (CAE)-based virtual tire model with an experimental tire model using a multibody vehicle dynamic-based simulation and concentrated mass-based vehicle dynamic simulation. Xuwang et al. [10] studied the effect of a vehicle’s dynamic response based on seven frictionless vehicle vibration nonlinear models and the suspension friction on a vehicle’s ride comfort and suspension action processes and found that the better the dynamic performance of the vehicle model, the greater the effect of the suspension friction on the ride simulation results. However, in simulation-based research on vehicle cornering performance, information such as the weight and center of gravity of the parts and the parameters for the characteristics of the parts are simplified and input when creating the vehicle’s dynamic model. In particular, it is difficult to reflect the nonlinear characteristics of parts containing rubber materials, such as bushes, mounts, and tires [11]. Ma et al. [12] developed a high-precision, high-efficiency, semi-physical model based on the results of a theoretical model and performed model identification and accuracy verification based on bench test data to improve the abnormal tire state model and verify it experimentally. Therefore, it is difficult to construct a high-accuracy vehicle dynamics analysis model and accurately simulate cornering performance [13]. Accordingly, research based on driving tests is required to experimentally evaluate such models.
In this study, the main focus of research concerns the prediction of the cornering performance of a vehicle based on an actual driving test by considering two main components: the suspension and tires. The suspension system, which was composed of three parts, namely, a spring, damper, and stabilizer bar, and three different tires were considered for the evaluation of the cornering performance. Vehicle-driving test scenarios were conducted for different suspension and tire conditions, and the influence of each component’s characteristic parameter on the cornering performance of the target vehicle was evaluated. All mechanical identification tests for the suspension subparts and tires were previously conducted using expert testing machines, and the cornering performance tests of a target vehicle were also conducted according to the test scenarios. The experimental cornering performance of a vehicle was calculated using the two proposed performance indices: the suspension characteristic cornering performance (SCCP) index and the suspension and tire characteristic cornering performance based-on-tests (STCT) index, respectively. The SCCP index is an indicator of a vehicle’s performance that considers the suspension conditions, springs, and dampers, as well as the speed of a vehicle and its roll angle. The STCT index is a revised version of the SCCP index because the authors found that the effect of the tires’ stiffness is significant on a vehicle’s cornering performance. The evaluation of all possible test results was conducted by ranking them using the proposed indices, both SCCP and STCT, and we discussed them in terms of the vehicle’s conditions. Although the two suggested indices require the measurement of the characteristic parameters of the main components (springs, dampers, stabilizer bars, and tires) and actual vehicular test data, the effective and adequate analysis for the various vehicle cornering performances can be analyzed and quantitative data processing could be applied to solve the trade-off relationship among the characteristic parameters.

2. Measurement of Characteristic Parameters of Main Components

The cornering dynamics and motion characteristics of a vehicle vary according to the structure of the vehicle and various design parameters. In this study, the cornering performance was analyzed by focusing on the suspension and tires of the target vehicle. The characteristic parameters of the suspension and tires were derived by conducting component characteristic tests on the springs, dampers, stabilizer bars, and tires in contact with the road surface, which constitute the suspension systems of the target vehicle.

2.1. Target Vehicle

In this study, to analyze a vehicle’s cornering performance, the target vehicle was selected as a semi-large, front-wheel-drive vehicle of the 2400cc class, which exhibits high cornering performance compared to other vehicles as it has a high degree of freedom of suspension with independence from the front and rear wheels. The detailed shapes and specifications are presented in Figure 1 and Table 1 [14], respectively. The suspension system of the target vehicle was composed of springs, dampers, stabilizer bars, subframes, arms, bushes, and various links, as shown in Figure 2. The characteristics of the suspension system were determined by the properties of the parts such as the springs, dampers, stabilizer bars, bushes, the geometry of the hard points, the lengths of the arms and links, and the location of the hard point.

2.2. Target Vehicle’s Suspension and Tires

To evaluate the vehicle’s cornering performance according to the change in the characteristics of the suspension and tires, three comparative components were selected for each of the three parts: the springs, dampers, and stabilizer bars constituting the suspension. The original suspension system and tires equipped with the target vehicle were selected as the reference components as shown in Table 2.
For the spring comparison components, springs A and B, which can be exchanged as a single unit, were selected. In addition, a spring integrated with a damper was selected as Spring C. The shapes of the spring components are shown in Figure 3. In the case of the damper comparison components, the dampers that could be exchanged as a single unit were selected as dampers A and B, and the integrated damper was selected as damper C. The shapes of the damper components are shown in Figure 4. For the stabilizer bar, comparative components were selected as stabilizers A, B, and C. The shape of each stabilizer component is shown in Figure 5.
Regarding the tires, among the radial tires that can be installed on the target vehicle, the reference tire was selected as Tire A, and the other comparative tires were selected as Tire B and Tire C, as shown in Table 3, considering the cross-sectional width, rim diameter, aspect ratio, tread pattern, load, and speed index.

2.3. Parameters for Suspension and Tires

In this study, the characteristic parameters of the suspension and tire components were selected to evaluate the actual vehicle-based-cornering performance, and the characteristics of each component were evaluated. Among the components of the suspension, the linking parts with geometric characteristics that could not be modified and the bush parts that needed to be combined with a hard point and required a change in shape were excluded. With the characteristic evaluation of each component for the springs, dampers, stabilizer bars, and tires, the characteristic parameters were selected and comparatively analyzed with respect to the four types of components, including the reference component.
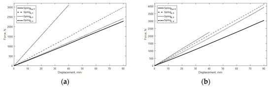
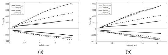
In the case of the springs, the stiffness of the spring was selected as a characteristic parameter. For the dampers, the damping coefficients in the tensile and compressive directions were selected as characteristic parameters. The torsional rigidity of the stabilizer bar was selected as a characteristic parameter of the stabilizer bar components. In this study, the cornering stiffness of the tire was selected as its characteristic parameter. Figure 6, Figure 7, Figure 8, Figure 9 and Figure 10 show the characteristic test results of the spring displacement, dampers, stabilizer bars, and tires.

3. Cornering Performance Analysis Excluding Tire Component

In this research, based on the characteristic parameters of various suspension parts (springs, dampers, and stabilizer bars) of the target vehicle derived above, a cornering performance analysis was performed via an actual vehicle driving test. To execute this analysis, an evaluation mode for testing an actual vehicle and the cornering performance index were implemented, and actual vehicle test scenarios were established according to 17 combinations of suspension components. A cornering performance analysis according to the actual vehicle driving test was conducted regarding the vehicle’s lateral acceleration, yaw angle, roll angle, and side-slip angle. In addition, the cornering performance index was derived based on the suspension characteristic parameters and the actual vehicle driving test results to reflect the results of the various part combinations.

3.1. Vehicle Test Mode

The actual vehicle test evaluation mode comprised a standard evaluation method to analyze the cornering performance of the vehicle according to the characteristics of the suspension system. To analyze the various cornering performances on a flat proving ground according to the vehicle’s suspension characteristics, the double-lane change evaluation mode and the steady-state circular evaluation mode were selected. The double-lane change evaluation was performed with reference to ISO 3888-1 [15], and the steady-state circular evaluation was performed with reference to the ISO 4138 standard [16]. To analyze the cornering performance according to the suspension characteristics, the lateral acceleration, yaw angle, roll angle, and side-slip angle representing lateral movement were selected as the four cornering performance indices.
In this study, a steering robot was used to control the steering of the vehicle under the same conditions according to the evaluation scenario configured above and to input a steering angle to follow a predetermined route. In addition, a differential global positioning system (DGPS) was used to measure the driving route and speed of the vehicle. Using inertial navigation system (INS) equipment, the vehicle’s behavior was measured with respect to lateral acceleration, roll angle, and side-slip angle. Furthermore, a linear variable displacement transducer (LVDT) was installed in the suspension system of each wheel to measure the vehicle’s behavior during cornering, and a laser displacement sensor was installed on the left and right sides to measure the roll angle with respect to the vehicle’s suspended weight. Figure 11 shows the target vehicle on the proving ground and the equipped sensors.

3.2. Cornering Performance Test Scenarios

For the combination of suspension systems used in the actual vehicle driving test, a total of 512 evaluation scenarios were configured with combinations of four components of the front and rear wheel springs, four components of the front and rear wheel dampers, and two components each of the front and rear wheel stabilizer bars. However, considering the cost and time required for an actual vehicle test, it is difficult to perform the evaluation in all cases. To derive effective actual vehicle evaluation results, parts with similar characteristics were omitted based on the data of the stiffness of the spring and the damping force of the damper, which are the characteristic parameters of the suspension parts; thus, a total of 17 combinations were configured, as shown in Table 4.

3.3. Cornering Performance Index Based on Suspension Characteristics

In this research, to analyze the optimum cornering performance according to the characteristics of the vehicle’s suspension, a test-based-cornering performance index for vehicle suspension was derived, and a study was conducted to select the suspension system according to the test results. The SCCP index was derived by numerically quantifying the change in the vehicle’s cornering performance according to the individual characteristics of the springs and dampers, which constitute a combination of parts constituting the vehicle’s suspension. Regarding the cornering performance of the vehicle, the results of the open-loop test of the double-lane change evaluation, that is, the evaluation mode showing the greatest difference in the previous study, were used. To generate a cornering performance index based on the suspension characteristic parameters, the characteristics of the suspension components, vehicle roll angle, and vehicle speed were indexed. Three indices were used as independent variables and the value weights for each index were reflected [17,18,19]. In particular, the proposed performance indices were revised from the previously proposed formula in reference [19].
For the spring characteristics, the summation of the percentage of the maximum stiffness of the front wheel spring’s stiffness and the percentage of the maximum stiffness of the rear wheel spring’s stiffness was defined as the rated spring coefficient (Ks), as shown in Equation (1).
k s = k f k f , m k f , m + k r k r , m k r , m
Here, k s is the spring characteristic coefficient, k f is the stiffness of the front spring, k f , m is the maximum stiffness among the front springs, k r is the stiffness of the rear spring, and k r , m is the maximum stiffness among the rear springs.
Since the damping characteristics of the damper are different from the stiffness of the spring in terms of tensile and compression characteristics, the characteristics of tensile strength and compression are reflected. Similar to the spring characteristic coefficient, the summation of the percentages for each maximum value of the front/rear wheel components’ characteristics is defined as the damper characteristic coefficient, as shown in Equation (2).
c d = c f , t c f , t , m c f , t , m + c r , t c r , t , m c r , t , m + c f , c c f , c , m c f , c , m + c r , c c r , c , m c r , c , m
Here, c d   refers to the damper coefficient; c f , t refers to the tension-damping force of the front damper; c f , t , m refers to the maximum tension-damping force among the front dampers; c r , t refers to the tension-damping force of the rear damper; c r , t , m refers to the maximum tension-damping force among the rear dampers; c f , c refers to the compression-damping force of the front damper; c f , c , m refers to the maximum compression-damping force among the front dampers; c r , c refers to the compression-damping force of the rear damper; and c r , c , m refers to the maximum compression-damping force among the rear dampers.
Both coefficients, k s and c d , can sufficiently represent the characteristics of the vehicle suspension module, so a suspension characteristic index was introduced to define the condition of the suspension module for different combinations of both the spring and damper. It can be summed into a single index with a proper weighting for each coefficient, and the authors decided to select 0.8 and 0.2 for each coefficient, after trying several weighting values with measured data and vehicle dynamic summation data [18,19]. The proposed suspension index ( I s ) is given in Equation (3).
I s = 0.8 × k s + 0.2 × c d
Concerning vehicle speed, the input condition in the actual vehicle driving test was accounted for via the velocity index. In an actual vehicle-driving test, speed errors occur, and the cornering performance of the vehicle changes depending on the degree of error. Thus, it is an important index for securing a test’s reproducibility. The deviation from the speed of 80   km / h   = v r e f which is the input condition in the test, was selected as the speed index   = I v as shown in Equation (4).
I v = v a v g v r e f
In the case of the roll angle of the vehicle, the measured roll angle vs. time of the tested vehicle and the roll angle vs. lateral acceleration were considered. The authors also tested the sensitivity of two roll angles over the preliminary test of a target vehicle, and the weighting values for the two roll angles were assigned as 0.1 and 0.001, respectively. The proposed index over the roll angle is given in Equation (5).
I r o l l = 0.1 × θ r + 0.001 × θ r , l
Here, I r o l l is the roll angle index, θ r is the roll angle compared to time, and θ r , l refers to the roll angle from the direction of the lateral acceleration.
Considering the three indices (Equations (3)–(5)), a new index should be introduced to evaluate the characteristics of the cornering performance of a vehicle under different conditions of vehicle suspension. The basic formulation was written by the linear summation of three indices under weighting values, as shown in Equation (6), and defined as the SCCP index. The weighting values in Equation (6) were set as ω 1 = 1 , ω 2 = 0.1 , and ω 3 = 2 , respectively.
S C C P = ω 1 · I s + ω 2 · I v + ω 3 · I r o l l
All the weighting values used in Equations (3), (5), and (6) were chosen to balance the term variation in the proposed index. The sensitivity of each term, which is a coefficient or sub-index, was pre-tested with data measured in the vehicle test, and weighting values were assigned according to the combination of each term. Therefore, the selected weighting values may be changed according to the applied suspension type or characteristics of the vehicle dynamics.
The rankings according to the SCCP index and the evaluation results of the double-lane change test and steady-state circular test were compared, as shown in Figure 12 and Table 5. On the horizontal axis of the graph, the order of combinations according to the ranking of the SCCP index is indicated, and the cornering performance according to the analysis method is indicated for each combination. As both the roll angle and side-slip angle show an increasing trend, it can be concluded that the SCCP index may represent the cornering performance according to the characteristics of the vehicle suspension system. In the roll angle of the double-lane change test, the slope of the trend line and the deviation between the maximum and minimum values showed the largest value; thus, it was determined that the use of the roll angle of the double-lane change evaluation mode was appropriate for the selection of the SCCP index.

4. Cornering Performance Analysis Considering Tire Component

The cornering performance analysis was conducted based on the actual vehicle-driving test with respect to the characteristic parameters of tires as well as various suspension parts (springs, dampers, and stabilizer bars) of the target vehicle derived above. To accomplish this, the actual vehicle test evaluation mode and cornering performance index were selected. An actual vehicle driving test scenario was established based on 12 combinations of suspension and tire components. To analyze the cornering performance for each side-slip section according to the actual vehicle driving test, a sensitivity analysis was conducted on the roll angle and side-slip angle of the vehicle according to the characteristic parameters of the suspension and tires. In addition, the cornering performance index was derived based on the characteristic parameters of the suspension and tires and the results of the actual vehicle driving test to reflect the combined results of various components. Finally, the optimum cornering performance was determined.

4.1. Vehicle Test Mode

To evaluate the cornering performance according to the combination characteristics of the vehicle’s suspension and tires, the double-lane change evaluation method of the open-loop test, which was confirmed to be able to clearly estimate the vehicle’s behavior, was selected. Furthermore, to analyze the effect of tires on the cornering performance of the vehicle, the on-center handling of the ISO 13674-1 standard [20] and the slow ramp evaluation mode of the ISO 7401 standard [21] were selected because they were expected to show sliding motions in a different area from the double-lane change evaluation mode.

4.2. Test Scenarios Based on Suspension and Tire Combinations

For the analysis of the cornering performance including suspension and tire characteristic parameters, this chapter used the results of the analysis of the suspension components in the previous chapter. For this purpose, firstly, the suspension components in this chapter have been selected according to the SCCP performance index, as shown in Table 4; based on the results of the analysis of the cornering performance according to the suspension system, suspension system #13 in Table 4 with the highest cornering performance, suspension system #4 in Table 4 with medium cornering performance, and suspension system #17 in Table 4 with the lowest cornering performance were selected as the target components. Then, tires A, B, and C were selected as the target components to form tire combinations with the suspension systems. In addition, to compare the effect of the characteristic parameters of the stabilizer bar on the cornering performance, the reference stabilizer bar with the lowest torsional rigidity among the stabilizer bars and stabilizer bar A with the highest torsional rigidity were selected as the target components. Finally, twelve combinations of evaluation scenarios were established, as shown in Table 6.

4.3. Test Results Based on Cornering Performance Index and Slip Angle

In this study, a cornering performance evaluation was conducted for an actual vehicle-based suspension system and tires. For the evaluation results, the condition was determined based on the vehicle’s speed and steering angle, which were the driver’s input values for each evaluation scenario. As for the vehicle’s behavior at this time, the performance indices of lateral acceleration, yaw angular velocity, roll angle, and side-slip angle measured by the DGPS/INS equipment were analyzed.
From the comparison of the results of each test mode, the average side-slip angle was 2.52° in the double-lane change evaluation mode and a low side-slip angle of 1.21° on average was measured for the on-center-handling evaluation mode. Furthermore, the average side-slip angle was 4.3°, the highest value in the evaluation mode concerning the slow ramp, showing the most severe vehicle behavior. With respect to this result, the vehicle behavior for each test mode was analyzed according to the region of the side-slip angle.
In the case of the double-lane change evaluation, the cornering performance was analyzed based on the difference between the maximum and minimum values of the vehicle’s roll and side-slip angles. Regarding the roll angle of the vehicle, the maximum roll angle (Rollpp) was 5.96° in the combination of #1 in Table 6, which had the lowest SCCP and comprised tire A and the reference stabilizer bar. The minimum roll angle (Rollpp) was 4.09° in the combination of #10 in Table 6, which had the lowest SCCP and comprised tire A and stabilizer bar A. The maximum and minimum values of the vehicle roll angle (Rollpp) are both shown for the same suspension and tire combination, and it can be estimated that the effect of the stabilizer bar is very important. In the case of the side-slip angle, it was analyzed that combination #7 in Table 6 had the lowest side-slip angle of 1.92°, and combination #12 in Table 6 had the highest side-slip angle of 3.05°. In the case of the double-lane change, there was a significantly large difference between the ranking for the roll angle and that for the side-slip angle.

4.4. Vehicle Cornering Characteristics by Effect Analysis for a Suspension and a Tire

In this study, the effects of the suspension and tires on the vehicle cornering performance and the sensitivity of each component were analyzed from the results of the evaluation of the double-lane change, on-center handling, and slow ramp tests acquired previously. Here, the important cornering performance index and actual vehicle test evaluation mode were selected.
As a result of analyzing the degree of the effect of the vehicle cornering performance on the roll angle vs. time and the roll angle vs. lateral acceleration in the double-lane change evaluation mode, the stabilizer bar components were found to have a very high value of 83.19%, as shown in Figure 13 and Table 7. When analyzing the effect of the stabilizer bar, it was difficult to analyze the influence of the suspension and tires on the vehicle’s behavior; therefore, combinations #10 to #12 in Table 6, in which the stabilizer bar was changed, were excluded from the analysis for the degree of their effects.
From the analysis results of the effect of the degree of the suspension and tire characteristic parameters on the roll angle from #1 to #9 in Table 6 on the vehicle cornering performance in the double-lane change evaluation results, the degree of the effect of the suspension on the roll angle was very high at 92.04%, as shown in Figure 14 and Table 8. Furthermore, the effect of the tires on the side-slip angle was as high as 95.6%, as shown in Figure 15 and Table 9. Consequently, it was estimated that the suspension characteristics had a significant effect on the rolling angle of the vehicle, and that the tire characteristics had a significant effect on the side-slip angle.
From the sensitivity analysis results of the components’ characteristic parameters on the vehicle’s cornering performance in the double-lane change evaluation mode, it was estimated that the suspension system (front spring C, front damper C, rear spring A, and rear damper A) had the lowest roll angle and side-slip angle. However, the suspension system (front spring C, front damper C, rear spring C, and rear damper C) has stiffer springs and higher damping force as shown in Figure 6, Figure 7 and Figure 8. It was caused by the suspension combination (springs, dampers, and stabilizer bars) characteristics and vehicle dynamic characteristics for the specific vehicle test modes as shown in Table 5. It was estimated that Tire B generated the poorest vehicle behavior concerning the roll angle. Its behavior is similar to Tire A. However, Tire A generated the poorest vehicle behavior regarding the side-slip angle. It was estimated that this difference was caused by the difference in the cornering stiffness of the tires owing to the difference in wheel the diameter and aspect ratio.

4.5. Prediction of Optimal Cornering Performance Based on Suspension and Tire Characteristic Parameters

A previous vehicle test revealed that the effect of the tire components should be considered when evaluating the cornering performance of a vehicle system. This implies that the previous evaluation index, the SCCP, may be spoiled when the tires’ effect is remarkable with respect to the vehicle test conditions. Therefore, the authors proposed the STCT index, which is an extended version of the SCCP index that adds the effect of the tire components.
To achieve an updated index for the cornering performance of a vehicle system, the index for a tire component must represent the condition of the tire component for several candidates. The added tire index was quantified considering tire stiffness, which is one of the tire characteristics. The tire index was obtained by formulating the resulting data of the main effect of the tire on the side-slip angle calculated from the results of the statistical analysis. As for the formula, a percentage formula was used to compare the main effects of each tire. The structure of the formula was indexed by expressing the sum of the percentage values of the main effect for each tire compared with the maximum of the main effect among the tires. The formula for this calculation is as follows:
I t i r e = k t i r e k t i r e , m k t i r e , m
where k t i r e is the tire stiffness of the tire in question and k t i r e , m is the maximum tire stiffness. Finally, the test-based suspension and tire characteristic cornering performance index was expressed as the sum of the values multiplied by the value weight considering the existing SCCP index and tire index. The formula for this calculation is as follows:
S T C T = ω 4 · S C C P + ω 5 · I t i r e
Here, ω 4 refers to the value weight of the SCCP index and ω 5 refers to the value weight of the tire index, and these value weights are set to ω 4 = 0.5 and ω 5 = 0.5 , respectively, via the measured data and vehicle dynamic summation data [17,18]. Therefore, the influence of each main component, suspension system, and tires was set to be equal for the evaluation of the cornering performance of the vehicle. Table 10 lists the test-based suspension and tire characteristic cornering performance indices and the rankings for each combination using the STCT index.
From the analysis results of the cornering performance using STCT, combination #7 in Table 6, which had the suspension system with the lowest SCCP (front spring C, front damper C, rear spring A, and rear damper A) and employed Tire A, showed the lowest value of 0.463. In addition, it was analyzed as the combination showing the highest cornering performance. Combination #5 in Table 6, which had a suspension system with a middle-ranked SCCP (front spring A, front damper A, rear spring C, and rear damper C) and employed Tire B, had an STCT index of 0.744, which ranks 5th, that is, a middle ranking; hence, it was selected as the combination that showed intermediate performance among the combinations. Combination #9 in Table 6, which had the suspension system with the highest SCCP (front spring Ref., front damper Ref., rear spring Ref., and rear damper Ref.) and employed Tire C, had an STCT index of 0.903, which is the highest ranking; therefore, it was selected as the combination with the lowest cornering performance. Combinations #10–#12 in Table 6 were excluded from the STCT index analysis because the difference in the cornering performance was clear and the effect of the stabilizer bar could be confirmed when analyzing the combination with the stabilizer bar changed.
Using the STCT index, the actual vehicle-based cornering performance index for the double-lane change, on-center handling, and slow ramp evaluation modes was analyzed, as shown in Figure 16 and Table 11. A comparison of the roll and side-slip angles for each combination according to the ranking of the STCT index confirmed that the vehicle-cornering performance index that was analyzed through various rankings according to the analysis method showed a certain order. The sensitivity of each index to the total cornering performance of a vehicle can be analyzed by inserting the SCCP index (see Equation (6)) into the STCT index (see Equation (8)), as formulated in Equation (9). The resultant weighting factors can be summarized as ω s = 0.5 , ω t i r e = 0.05 , ω v = 1.0 , and ω r o l l = 0.5 .
S T C T = ω s · I s + ω t i r e · I t i r e + ω v · I v + ω r o l l · I r o l l
when the STCT index is analyzed, as shown in Equation (9), I s , referring to the suspension index, is a function that utilizes the stiffness and damping coefficients, which are characteristic parameters of the spring and damper, and it has a lower index value as the spring stiffness and damper have higher damping characteristics. I t i r e , referring to the tire index, is the characteristic parameter for the cornering stiffness, which is a characteristic parameter of the tire, and as it is a lower value, the index is lower. The lower the speed index I v , the lower the STCT index value. The lower the roll angle compared to the roll angle and lateral acceleration, which are the results of the actual vehicle test, the lower the roll angle index ( I r o l l ). It was confirmed that the STCT index had a lower value, as the characteristics of the suspension system were higher, the stiffness of the tire was higher, the speed was lower, and the degree of roll was smaller.
Finally, from combination #07 in Table 6, comprising the suspension system and tires with the lowest STCT value, it was confirmed that the optimum cornering performance was achieved with the combination of the suspension system with (front spring C, front damper C, rear spring A, and rear damper A) and tire A. Accordingly, it is possible to quantitatively compare the existing vehicle cornering performance values using only a brief actual vehicle evaluation and, thus, predict the optimum vehicle cornering performance.

5. Conclusions

In this study, the optimum vehicle cornering performance was predicted by analyzing the effect of the vehicle’s cornering performance on the suspension and tire components. For this purpose, parts such as springs, dampers, stabilizer bars, and tires constituting the vehicle suspension system were selected as the parts affecting cornering performance. Reference and comparative components were selected, and characteristic parameters were acquired from the characteristic tests. An actual vehicle-based evaluation scenario was established based on the combination of suspension parts, and a cornering performance index based on the suspension characteristic parameters was derived from the actual vehicle evaluation. In addition, after deriving the cornering performance index based on the suspension and tire characteristic parameters and the actual vehicle driving test results, the results for various component combinations were obtained. Finally, the optimum cornering performance was determined. The main research results and conclusions of this study are as follows.
  • Three characteristic parameters of the suspension system can be selected according to their role in the vehicle: the stiffness of the spring, damping characteristics of the damper, and torsional rigidity of the stabilizer bar. For the tires, the lateral force, cornering stiffness, and vertical moment were analyzed according to the slip angle. In this research, the analysis was conducted by focusing on the lateral movement of the vehicle; therefore, the cornering stiffness can be selected as a characteristic parameter of the tires.
  • Since the characteristic parameters of the suspension and tire components had different effects on the vehicle’s behavior depending on the degree of vehicle slippage, the evaluation mode was divided according to the size of the side-slip angle, and the roll angle was analyzed. In addition, to minimize the roll angle of the vehicle in each slip section, the effects of the suspension and tire components on the vehicle’s cornering performance were checked.
  • Based on the results of the cornering performance analysis via the suspension and tire characteristic parameters in the double-lane change evaluation mode, the effect on the cornering performance in the case of the roll angle of the vehicle had a significant effect on the component characteristic parameters in the following order: the stabilizer bar, suspension, and tires. The side-slip angle had a significant effect on the component characteristic parameters corresponding to the following order: the tire, suspension, and stabilizer bar.
  • From the results of the analysis of the cornering performance of the suspension and tire component characteristic parameters for the on-center handling evaluation mode with a low side-slip angle, it was found that the suspension system had a very high effect on the roll angle of the vehicle. From the analysis results of the effect of the vehicle cornering performance on the roll angle of the vehicle in the slow ramp evaluation mode with a high side-slip angle, it was found that the effect of the tires was higher than that of other evaluation modes. The sensitivity analysis of the tire roll angle revealed that it was different from the double-lane change evaluation mode.
  • The optimum cornering performance of the vehicle was defined as a behavior demonstrating the minimum roll angle in the double-lane change evaluation mode. Based on this, the optimum performance index for cornering based on the suspension and tire characteristic parameters was derived by reflecting the characteristic parameters of the suspension and tire components, the roll angle, and the speed of the vehicle as indices. This was verified by the cornering performance indicators and a comparative analysis. Finally, it was possible to predict the optimum cornering performance.
From the results of the analysis of the effect and sensitivity of the vehicle suspension and tire component characteristic parameters on the cornering performance obtained in this study, it is possible to select the component characteristic parameters that will achieve remarkable cornering performance. Accordingly, it is possible to effectively predict the optimum cornering performance of the target vehicle. It is estimated that the results of this research can be used to study the matching performance of the suspension and tire components to ensure optimal cornering performance and be effectively used in the development stage of genuine replacement components.
In this study, it was possible to derive the optimal combination and design guidelines for the major suspension parts (springs, dampers, and stabilizer bars) and tires that affect the cornering performance of vehicles. Thus, it is possible to analyze the influence and contribution of each part in an automobile’s suspension design stage and contribute to the optimal design of the suspension system by reducing the time and cost of the actual vehicle test based on the performance index derived in this study. In addition, it can be used to design characteristic parameters suitable for the target vehicle in the tire design stage, analyze the performance of the vehicle and perform tire research, decrease the design time, and establish performance indices according to various driving conditions.

Author Contributions

Conceptualization, S.-J.K.; methodology, S.-J.K.; software, T.-L.K.; validation, S.-J.K.; formal analysis, T.-L.K.; investigation, T.-L.K.; resources, T.-L.K.; data curation, T.-L.K.; writing—original draft preparation, S.-J.K.; writing—review and editing, C.-J.K.; visualization, C.-J.K. All authors have read and agreed to the published version of the manuscript.

Funding

This research was funded by the Ministry of Trade, Industry and Energy (MOTIE) in Korea, grant number P0013840, supervised by the Korea Institute for the Advancement of Technology (KIAT).

Institutional Review Board Statement

Not applicable.

Informed Consent Statement

Not applicable.

Data Availability Statement

Not applicable.

Conflicts of Interest

The authors declare no conflict of interest.

References

  1. Khanna, N.K.; Jyoti, M.; Udhayakumar, S.; Senthi, K.; Desai, S. Methodology to Determine Optimum Suspension Hard Points at an Early Design Stage for Achieving Steering Returnability in Any Vehicle. In SAE Technical Paper, 2019-26-0074; SAE International: Warrendale, PA, USA, 2019. [Google Scholar]
  2. Sun, X.; Hu, W.; Cai, Y.; Wong, P.K.; Chen, L. Data-Based Identification of the Tire Cornering Properties Via Piecewise Affine Approximation. Int. J. Automot. Technol. 2021, 22, 631–641. [Google Scholar] [CrossRef]
  3. James, F.C.; John, S.S.; Maruti, N.S. Design and Development of an Optimized, Passive Camber System for Vehicles. In SAE Technical Paper, 2008-01-2950; SAE International: Warrendale, PA, USA, 2008. [Google Scholar]
  4. Kim, C.J.; Kang, Y.J.; Lee, B.H.; Ahn, H.J. Sensitivity Analysis for Reducing Critical Responses at the Axle Shaft of a Light Weight Vehicle. Int. J. Automot. Technol. 2012, 13, 451–458. [Google Scholar] [CrossRef]
  5. Sorniotti, A.; D’Alfio, N. Vehicle Dynamics Simulation to Develop an Active Roll Control System. In SAE Technical Paper, No. 2007-01-0828; SAE International: Warrendale, PA, USA, 2007. [Google Scholar]
  6. Saini, M. Modelling and Simulation of Vehicle Suspension System with Variable Stiffness Using Quasi-Zero Stiffness Mechanism. SAE Int. J. Veh. Dyn. Stability NVH 2020, 4, 37–47. [Google Scholar] [CrossRef]
  7. Mancosu, F.; Savi, C.; Brivio, P.; Travaglio, G.; Ramirez, I. New Dynamic Tyre Model in Multi-body Environment. In SAE Technical Paper, No. 2001-01-0747; SAE International: Warrendale, PA, USA, 2001. [Google Scholar] [CrossRef]
  8. Oh, Y.R. Optimization of ABS Braking of Vehicle and Tire μ-S Characteristic. Auto J. J. Korean Soc. Automot. Eng. 2018, 40, 26–30. [Google Scholar]
  9. Vilela, D.; Pinati, R.; Larsen, S.; Rodrigues, E.; Serrati, R. Virtual Tire Data Influence on Vehicle Level Handling Performance. In SAE Technical Paper, 2015-01-1570; SAE International: Warrendale, PA, USA, 2015. [Google Scholar]
  10. Xuwang, W.; Chen, X.; Xu, P.; Zhang, Y. The Effect of Friction on Ride Comfort Simulation and Suspension Optimization. In SAE Technical Paper, No. 2020-01-0765; SAE International: Warrendale, PA, USA, 2020. [Google Scholar] [CrossRef]
  11. Lenka, V.R.; Anthonysamy, B.; Londhe, A.; Hatekar, H. Multi-Objective Optimization to Improve SUV Ride Performances Using MSC.ADAMS and Mode Frontier. In SAE Technical Paper, 2018-01-0575; SAE International: Warrendale, PA, USA, 2018. [Google Scholar]
  12. Ma, Y.; Lu, D.; Yin, H.; Li, L.; Lv, M.; Wang, W. The Unsteady-State Response of Tires to Slip Angle and Vertical Load Variations. Machines 2022, 10, 527. [Google Scholar] [CrossRef]
  13. Tota, A.; Galvagno, E.; Velardocchia, M. Analytical Study on the Cornering Behavior of an Articulated Tracked Vehicle. Machines 2021, 9, 38. [Google Scholar] [CrossRef]
  14. Evans, S. 2014 KIA Cadenza First Test; Motor Trend Car Reviews. 2014. Available online: https://www.motortrend.com/reviews/2014-kia-cadenza-first-test/ (accessed on 7 August 2022).
  15. ISO 3888-1; International Standard, Passenger Cars—Test Track for a Severe Lane-change Manoeuvre—Part 1: Double Lane-change. International Organization for Standardization: Geneva, Switzerland, 2018.
  16. ISO 4138:2012; Passenger Cars—Steady-State Circular Driving Behavior—Open-Loop Test Methods. International Organization for Standardization: Geneva, Switzerland, 2012.
  17. Bae, C.; Kwon, S.; Kim, C.; Lee, B.; Na, B. A Study on the Development of Vehicle Dynamic Model for Dynamic Characteristics Analysis of Chassis Parts. Trans. Korean Soc. Noise Vib. Eng. 2007, 17, 958–966. [Google Scholar] [CrossRef]
  18. Kwon, S.J.; Kim, T.L.; Shin, S.S.; Lee, D.W.; Lee, B.H. Development of the Car-Vatar Platform for a Web-based Vehicle Dynamic Simulation. In Proceedings of the 2017 JSAE Annual Congress, Yokohama, Japan, 24–26 May 2017; pp. 1166–1169. [Google Scholar]
  19. Shin, S.S.; Kim, T.L.; Lee, D.W.; Kwon, S.J.; Lee, B.H. Development of the Vehicle Cornering Performance Index by Tuning Suspension and Tire. In Proceedings of the 2018 JSAE Annual Congress, CD, Yokohama, Japan, 23–25 May 2018. [Google Scholar]
  20. ISO 13674-1:2010; Road Vehicles—Test Method for the Quantification of on-Centre Handling—Part 1: Weave Test. International Organization for Standardization: Geneva, Switzerland, 2010.
  21. ISO 7401:2011; Road Vehicles—Lateral Transient Response Test Methods—Open-Loop Test Methods. International Organization for Standardization: Geneva, Switzerland, 2011.
Figure 1. Target vehicle.
Figure 1. Target vehicle.
Machines 10 01032 g001
Figure 2. Suspension major parts: (a) front spring, (b) front damper, (c) front stabilizer bar, (d) rear spring, (e) rear damper, (f) rear stabilizer.
Figure 2. Suspension major parts: (a) front spring, (b) front damper, (c) front stabilizer bar, (d) rear spring, (e) rear damper, (f) rear stabilizer.
Machines 10 01032 g002
Figure 3. Target spring parts(front/rear): (a) Reference Spring, (b) Spring A, (c) Spring B, and (d) Spring C.
Figure 3. Target spring parts(front/rear): (a) Reference Spring, (b) Spring A, (c) Spring B, and (d) Spring C.
Machines 10 01032 g003
Figure 4. Target damper parts(front/rear): (a) Reference Damper, (b) Damper A, (c) Damper B, and (d) Damper C.
Figure 4. Target damper parts(front/rear): (a) Reference Damper, (b) Damper A, (c) Damper B, and (d) Damper C.
Machines 10 01032 g004
Figure 5. Target stabilizer bar parts(front/rear): (a) Reference Stabilizer bar, (b) Stabilizer bar A, (c) Stabilizer bar B, and (d) Stabilizer bar C.
Figure 5. Target stabilizer bar parts(front/rear): (a) Reference Stabilizer bar, (b) Stabilizer bar A, (c) Stabilizer bar B, and (d) Stabilizer bar C.
Machines 10 01032 g005
Figure 6. Spring characteristics test results: (a) Front spring characteristics; (b) Rear spring characteristics.
Figure 6. Spring characteristics test results: (a) Front spring characteristics; (b) Rear spring characteristics.
Machines 10 01032 g006
Figure 7. Damper characteristics test results: (a) Front damper characteristics; (b) Rear damper characteristics.
Figure 7. Damper characteristics test results: (a) Front damper characteristics; (b) Rear damper characteristics.
Machines 10 01032 g007
Figure 8. Stabilizer characteristics test results: (a) Front stabilizer characteristics; (b) Rear stabilizer characteristics.
Figure 8. Stabilizer characteristics test results: (a) Front stabilizer characteristics; (b) Rear stabilizer characteristics.
Machines 10 01032 g008
Figure 9. Tires’ cornering stiffness test results.
Figure 9. Tires’ cornering stiffness test results.
Machines 10 01032 g009
Figure 10. Lateral tires’ force test results.
Figure 10. Lateral tires’ force test results.
Machines 10 01032 g010
Figure 11. Test vehicle and equipped sensors.
Figure 11. Test vehicle and equipped sensors.
Machines 10 01032 g011
Figure 12. Suspension cornering performance index comparison.
Figure 12. Suspension cornering performance index comparison.
Machines 10 01032 g012
Figure 13. Suspension and tire test results with stabilizer bar (double-lane change; roll angle).
Figure 13. Suspension and tire test results with stabilizer bar (double-lane change; roll angle).
Machines 10 01032 g013
Figure 14. Suspension and tire test results (double-lane change; roll angle).
Figure 14. Suspension and tire test results (double-lane change; roll angle).
Machines 10 01032 g014
Figure 15. Suspension and tire test results (double-lane change; side-slip angle).
Figure 15. Suspension and tire test results (double-lane change; side-slip angle).
Machines 10 01032 g015
Figure 16. Suspension and tire cornering performance index (STCT) comparison.
Figure 16. Suspension and tire cornering performance index (STCT) comparison.
Machines 10 01032 g016
Table 1. Target vehicle’s specifications [14].
Table 1. Target vehicle’s specifications [14].
CharacteristicsValue
EngineTheta II 2.4 GDI
Engine displacement, cc2359
Engine power, PS/rpm201/6300
Engine torque, kg·m/rpm25.5/4250
Brake type, front/rearVentilated disk brake/Solid disk brake
Length, mm4970
Width, mm1850
Height, mm1475
Wheelbase, mm2845
Front tread, mm1600
Rear tread, mm1601
Weight, kg1778
Suspension type, front/rearMcPherson strut/Multi link
Tire size225/55 R17
Table 2. Suspension component classification.
Table 2. Suspension component classification.
PartsFrontRear
SpringReferenceSpring_Ref._FSpring_Ref._R
#1Spring_A_FSpring_A_R
#2Spring_B_FSpring_B_R
#3Spring_C_FSpring_C_R
DamperReferenceDamper_Ref._FDamper_Ref._R
#1Damper_A_FDamper_A_R
#2Damper_B_FDamper_B_R
#3Damper_C_FDamper_C_R
Stabilizer barReferenceStabilizer bar_Ref._FStabilizer bar_Ref._R
#1Stabilizer bar_A_FStabilizer bar_A_R
#2Stabilizer bar_B_FStabilizer bar_B_R
#3Stabilizer bar_C_FStabilizer bar_C_R
Table 3. Tire component classification.
Table 3. Tire component classification.
CharacteristicTire_ATire_BTire_C
Tire shapeMachines 10 01032 i001Machines 10 01032 i002Machines 10 01032 i003
Width, mm225225215
Aspect ratio, %455555
Diameter, inch181717
Load rating959794
Speed ratingVVV
Table 4. Suspension parts used in cornering test scenario.
Table 4. Suspension parts used in cornering test scenario.
Test CaseFront SuspensionRear Suspension
SpringDamperSpringDamper
#01Spring_A_FDamper_A_FSpring_A_RDamper_A_R
#02Spring_A_FDamper_A_FSpring_A_RDamper_B_R
#03Spring_A_FDamper_A_FSpring_B_RDamper_A_R
#04Spring_A_FDamper_A_FSpring_C_RDamper_C_R
#05Spring_A_FDamper_B_FSpring_A_RDamper_A_R
#06Spring_A_FDamper_B_FSpring_A_RDamper_B_R
#07Spring_A_FDamper_B_FSpring_B_RDamper_A_R
#08Spring_A_FDamper_B_FSpring_C_RDamper_C_R
#09Spring_B_FDamper_A_FSpring_A_RDamper_A_R
#10Spring_B_FDamper_A_FSpring_A_RDamper_B_R
#11Spring_B_FDamper_A_FSpring_B_RDamper_A_R
#12Spring_B_FDamper_A_FSpring_C_RDamper_C_R
#13Spring_C_FDamper_C_FSpring_A_RDamper_A_R
#14Spring_C_FDamper_C_FSpring_A_RDamper_B_R
#15Spring_C_FDamper_C_FSpring_B_RDamper_A_R
#16Spring_C_FDamper_C_FSpring_C_RDamper_C_R
#17Spring_Ref._FDamper_Ref._FSpring_Ref._RDamper_Ref._R
Table 5. Suspension cornering performance index comparison.
Table 5. Suspension cornering performance index comparison.
RankingDouble-Lane Change (Open Loop) TestSteady-State Circular TestSCCP Index
Roll Angle (Peak to Peak)Side-Slip Angle (Peak to Peak)Roll Angle (Max.)Side-slip Angle (Max.)
1CASE #14CASE #6CASE #13CASE #15CASE #13
2CASE #13CASE #11CASE #16CASE #7CASE #14
3CASE #16CASE #10CASE #15CASE #16CASE #15
4CASE #7CASE #17CASE #14CASE #6CASE #16
5CASE #6CASE #9CASE #8CASE #9CASE #12
6CASE #12CASE #12CASE #7CASE #10CASE #6
7CASE #15CASE #7CAS #4CASE #8CASE #7
8CASE #10CASE #15CASE #12CASE #12CASE #9
9CASE #2CASE #16CASE #9CASE #13CASE #4
10CASE #4CASE #3CASE #3CASE #11CASE #11
11CASE #5CASE #13CASE #2CASE #1CASE #8
12CASE #9CASE #14CASE #10CASE #5CASE #10
13CASE #11CASE #1CASE #5CASE #17CASE #3
14CASE #3CASE #8CASE #17CASE #4CASE #5
15CASE #8CASE #5CASE #1CASE #14CASE #1
16CASE #1CASE #4CASE #6CASE #3CASE #2
17CASE #17CASE #2CASE #11CASE #2CASE #17
Table 6. Suspension, tire, and stabilizer bar parts from cornering test scenario.
Table 6. Suspension, tire, and stabilizer bar parts from cornering test scenario.
Test CaseFront SuspensionRear SuspensionTireStabilizer Bar
SpringDamperSpringDamper
#01Spring_Ref._FDamper_Ref._FSpring_Ref._RDamper_Ref._RTire_AStabilizer bar_Ref.
#02Spring_Ref._FDamper_Ref._FSpring_Ref._RDamper_Ref._RTire_BStabilizer bar_Ref.
#03Spring_Ref._FDamper_Ref._FSpring_Ref._RDamper_Ref._RTire_CStabilizer bar_Ref.
#04Spring_A_FDamper_A_FSpring_C_RDamper_C_RTire_AStabilizer bar_Ref.
#05Spring_A_FDamper_A_FSpring_C_RDamper_C_RTire_BStabilizer bar_Ref.
#06Spring_A_FDamper_A_FSpring_C_RDamper_C_RTire_CStabilizer bar_Ref.
#07Spring_C_FDamper_C_FSpring_A_RDamper_A_RTire_AStabilizer bar_Ref.
#08Spring_C_FDamper_C_FSpring_A_RDamper_A_RTire_BStabilizer bar_Ref.
#09Spring_C_FDamper_C_FSpring_A_RDamper_A_RTire_CStabilizer bar_Ref.
#10Spring_Ref._FDamper_Ref._FSpring_Ref._RDamper_Ref._RTire_AStabilizer bar_A
#11Spring_Ref._FDamper_Ref._FSpring_Ref._RDamper_Ref._RTire_BStabilizer bar_A
#12Spring_Ref._FDamper_Ref._FSpring_Ref._RDamper_Ref._RTire_CStabilizer bar_A
Table 7. Suspension and tire test results with stabilizer bar (double-lane change; roll angle).
Table 7. Suspension and tire test results with stabilizer bar (double-lane change; roll angle).
ParameterValue
Model summaryS0.156418
R-squared, %96.43
Adjusted R-squared, %93.46
SensitivitySuspension, %11.53
Tire, %5.27
Stabilizer bar, %83.19
Table 8. Suspension and tire test results (double-lane change; roll angle).
Table 8. Suspension and tire test results (double-lane change; roll angle).
ParameterValue
Model summaryS0.14729
R-squared, %96.03
Adjusted R-squared, %92.06
SensitivitySuspension, %92.04
Tire, %7.96
Table 9. Suspension and tire test results (double-lane change; side-slip angle).
Table 9. Suspension and tire test results (double-lane change; side-slip angle).
ParameterValue
Model summaryS0.0993
R-squared, %95.99
Adjusted R-squared, %91.98
SensitivitySuspension, %4.38
Tire, %95.62
Table 10. Suspension and tire cornering performance index results.
Table 10. Suspension and tire cornering performance index results.
Test CaseSTCT IndexRanking
#010.5793
#020.7907
#030.9039
#040.5332
#050.7445
#060.8578
#070.4631
#080.6744
#090.7876
Table 11. Slope of the suspension and tire cornering performance index (STCT).
Table 11. Slope of the suspension and tire cornering performance index (STCT).
Test ResultsSlope of Trend Line
Double-lane change test(open-loop)—roll angle (peak to peak)1.05 × 10−1 degree/ranking
Double-lane change test(open-loop)—side-slip angle (peak to peak)1.08 × 10−1 degree/ranking
On-center handling test—roll angle (Max).6.50 × 10−2 degree/ranking
On-center handling test—side-slip angle (Max).6.05 × 10−2 degree/ranking
Slow ramp test—roll angle (Max).8.98 × 10−2 degree/ranking
Slow ramp test—side-slip angle (Max).2.10 × 10−1 degree/ranking
SCCP index5.45 × 10−2 index/ranking
Publisher’s Note: MDPI stays neutral with regard to jurisdictional claims in published maps and institutional affiliations.

Share and Cite

MDPI and ACS Style

Kwon, S.-J.; Kim, T.-L.; Kim, C.-J. Optimal Selection of Suspension and Tires for Vehicles’ Cornering Performance. Machines 2022, 10, 1032. https://doi.org/10.3390/machines10111032

AMA Style

Kwon S-J, Kim T-L, Kim C-J. Optimal Selection of Suspension and Tires for Vehicles’ Cornering Performance. Machines. 2022; 10(11):1032. https://doi.org/10.3390/machines10111032

Chicago/Turabian Style

Kwon, Seong-Jin, Tae-Lim Kim, and Chan-Jung Kim. 2022. "Optimal Selection of Suspension and Tires for Vehicles’ Cornering Performance" Machines 10, no. 11: 1032. https://doi.org/10.3390/machines10111032

APA Style

Kwon, S.-J., Kim, T.-L., & Kim, C.-J. (2022). Optimal Selection of Suspension and Tires for Vehicles’ Cornering Performance. Machines, 10(11), 1032. https://doi.org/10.3390/machines10111032

Note that from the first issue of 2016, this journal uses article numbers instead of page numbers. See further details here.

Article Metrics

Back to TopTop