Experimental Investigation on Combustion and Performance of Diesel Engine under High Exhaust Back Pressure
Abstract
1. Introduction
2. Methods
2.1. Experimental Setup
2.2. Experimental Procedure
3. Results and Discussion
3.1. Combustion Characteristics
3.2. Engine Performance
3.3. Comprehensive Comparison
4. Conclusions
- By adjusting the intake pressure and fuel injection timing, the engine power under 10 kPa and 25 kPa EBP conditions is maintained at the optimum value. Engine power, fuel consumption, and HRR all increase with load increase. The change in EBP has little effect on the optimal engine power, and because the power is similar, the HRR does not change significantly with different EBPs. The EBP affects the fuel consumption rate by affecting both the in-cylinder temperature and the fresh air intake volume. Whether it increases or decreases the fuel consumption rate mainly depends on which influence mechanism plays a decisive role.
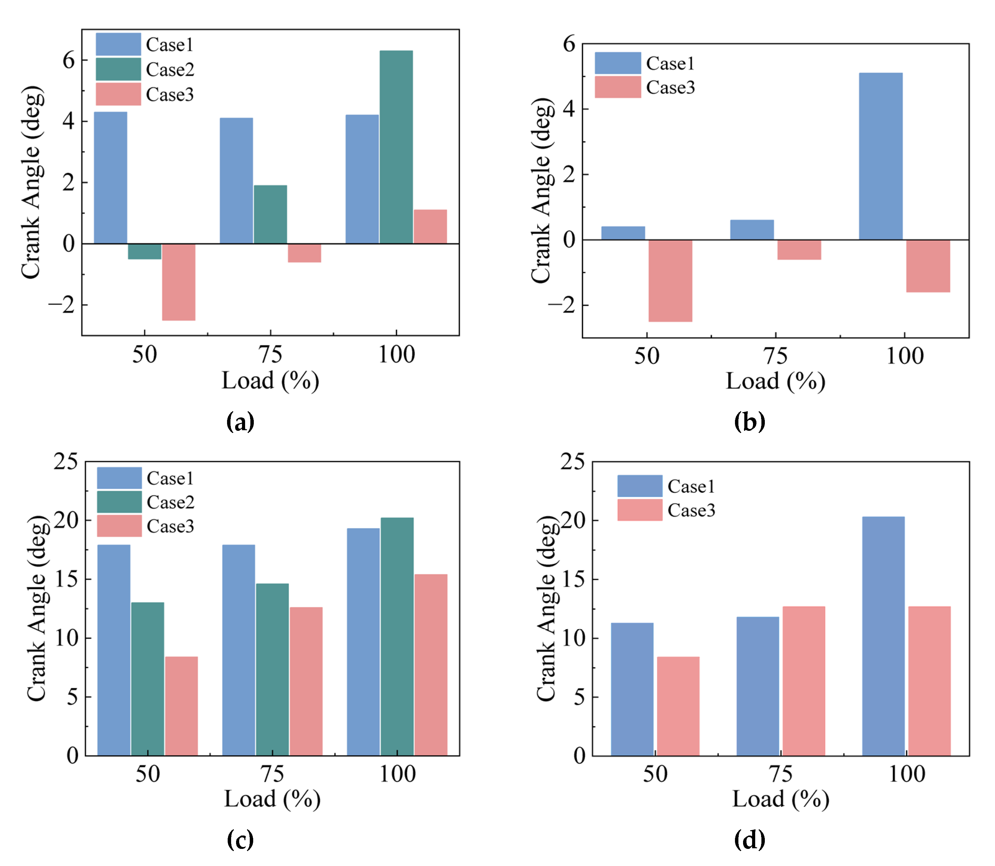
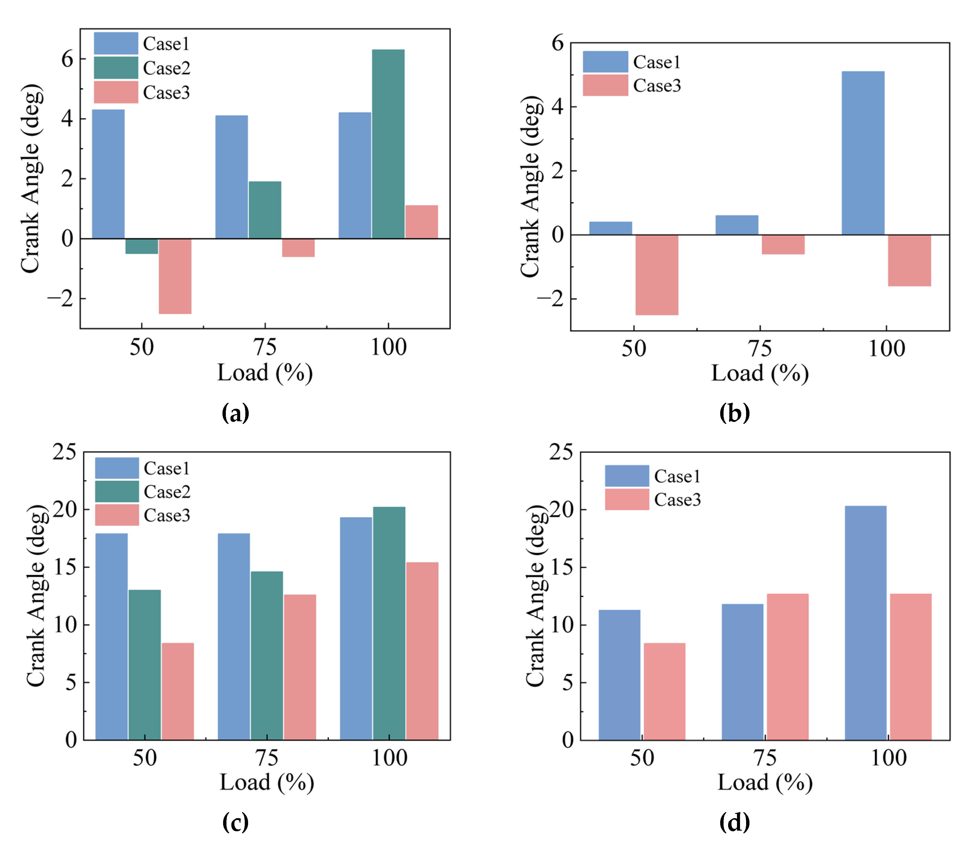
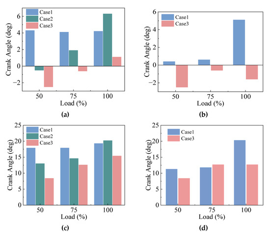
- Advanced injection timing and increased residual exhaust gas will advance CA5, and the increase in EBP will cause the initial temperature in the cylinder to rise, which also advances CA5. The trend of CA50 is similar to that of CA5, but there are some differences, mainly because CA5, which reflects ignition, is mainly controlled by injection timing and premixed combustion, while CA50 is mainly determined by diffusion combustion. Earlier injection timing and lighter load will lead to insufficient fuel–air mixing in the late combustion period, prolonging the combustion duration.
- The increase in EBP and the decrease in valve overlap angle will lead to the increase in residual exhaust gas and initial temperature, which will promote the mixing of fuel and air during the ignition delay period, accelerate the initial combustion rate, and increase the maximum pressure rise rate and peak pressure. The position of the ignition time relative to 0° CA becomes an important factor for the peak pressure by affecting the combustion speed during the rapid combustion period and the cylinder volume during the rapid heat release stage.
- Case 1 is applicable to diesel engines with increased EBP caused by EGR and after-treatment systems, while Case 3 is applicable to diesel engines with increased EBP caused by underwater exhaust. Case 2 is suitable for diesel engines with an EBP higher than one atmosphere, while the injection pressure and intensification are limited by technology and materials.
Author Contributions
Funding
Institutional Review Board Statement
Informed Consent Statement
Data Availability Statement
Conflicts of Interest
References
- Ge, Y.; Chen, L.; Sun, F. Progress in Finite Time Thermodynamic Studies for Internal Combustion Engine Cycles. Entropy 2016, 18, 139. [Google Scholar] [CrossRef]
- Bai, Y.; Lan, Q.; Fan, L.; Ma, X.; Liu, H. Investigation on the fuel injection stability of high pressure common rail system for diesel engines. Int. J. Engine Res. 2021, 22, 616–631. [Google Scholar] [CrossRef]
- Vera-Tudela, W.; Haefeli, R.; Barro, C.; Schneider, B.; Boulouchos, K. An experimental study of a very high-pressure diesel injector (up to 5000 bar) by means of optical diagnostics. Fuel 2020, 275, 117933. [Google Scholar] [CrossRef]
- Salehi, F.; Ghiji, M.; Chen, L. Large eddy simulation of high pressure spray with the focus on injection pressure. Int. J. Heat Fluid Flow 2020, 82, 108551. [Google Scholar] [CrossRef]
- Liu, L.; Wu, Y.; Wang, Y. Numerical investigation on the combustion and emission characteristics of ammonia in a low-speed two-stroke marine engine. Fuel 2022, 314, 122727. [Google Scholar] [CrossRef]
- Dahms, R.N.; Paczko, G.A.; Skeen, S.A.; Pickett, L.M. Understanding the ignition mechanism of high-pressure spray flames. Proc. Combust. Inst. 2017, 36, 2615–2623. [Google Scholar] [CrossRef]
- Sim, H.S.; Maes, N.; Weiss, L.; Pickett, L.M.; Skeen, S.A. Detailed measurements of transient two-stage ignition and combustion processes in high-pressure spray flames using simultaneous high-speed formaldehyde PLIF and schlieren imaging. Proc. Combust. Inst. 2021, 38, 5713–5721. [Google Scholar] [CrossRef]
- Wu, B.; Han, Z.; Yu, X.; Zhang, S.; Nie, X.; Su, W. A Method for Matching Two-Stage Turbocharger System and Its Influence on Engine Performance. J. Eng. Gas Turbines Power-Trans. Asme 2019, 141, 054502. [Google Scholar] [CrossRef]
- Zhu, D.; Sun, Z.; Zheng, X. Turbocharging strategy among variable geometry turbine, two-stage turbine, and asymmetric two-scroll turbine for energy and emission in diesel engines. Proc. Inst. Mech. Eng. Part A J. Power Energy 2020, 234, 900–914. [Google Scholar] [CrossRef]
- Zhang, H.; Shi, L.; Deng, K.; Liu, S.; Yang, Z. Experiment investigation on the performance and regulation rule of two-stage turbocharged diesel engine for various altitudes operation. Energy 2020, 192, 116653. [Google Scholar] [CrossRef]
- Liu, R.; Zhang, Z.; Yang, C.; Jiao, Y.; Zhou, G.; Ma, J. Influence of altitude on matching characteristic of electronic-controlled pneumatic two-stage turbocharging system with diesel engine. Proc. Inst. Mech. Eng. Part A J. Power Energy 2021, 235, 94–105. [Google Scholar] [CrossRef]
- Wittek, K.; Geiger, F.; Vaz, M.G.J. Characterization of the system behaviour of a variable compression ratio (VCR) connecting rod with eccentrically piston pin suspension and hydraulic moment support. Energy Convers. Manag. 2020, 213, 112814. [Google Scholar] [CrossRef]
- Milojević, S.; Pešić, R. Determination of Combustion Process Model Parameters in Diesel Engine with Variable Compression Ratio. J. Combust. 2018, 2018, 5292837. [Google Scholar] [CrossRef]
- Di Blasio, G.; Vassallo, A.; Pesce, F.C.; Beatrice, C.; Belgiorno, G.; Avolio, G. The Key Role of Advanced, Flexible Fuel Injection Systems to Match the Future CO2 Targets in an Ultra-Light Mid-Size Diesel Engine. SAE Int. J. Engines 2019, 12, 129–144. [Google Scholar] [CrossRef]
- Qin, Z.; Jia, C.; Zhang, W.; Wang, L. Investigations on ablation for highly-intensified diesel engine piston material. Case Stud. Therm. Eng. 2019, 13, 100371. [Google Scholar] [CrossRef]
- Gugulothu, S.K. RETRACTED ARTICLE: Effect of piston bowl geometry modification and compression ratio on the performance and emission characteristics of DI diesel engine. SN Appl. Sci. 2020, 2, 1399. [Google Scholar] [CrossRef]
- Xiao, Q.S.; Yu, X.S. Marine Diesel Engine Speed Control System Based on Fuzzy-PID. In Proceedings of the International Conference on Mechanical Engineering and Materials, Melbourne, Australia, 15–16 January 2012. [Google Scholar]
- Xu, Z.; Gao, S.; Han, Y.; Yuan, J. Modeling and feedback linearization based sliding mode control of diesel engines for waterjet propulsion vessels. Control Eng. Pract. 2020, 105, 104647. [Google Scholar] [CrossRef]
- Liu, P.; Fan, L.; Zhou, W.; Ma, X.; Song, E. Dynamic performances analysis and optimization of novel high-speed electromagnetic actuator for electronic fuel injection system of diesel engine. J. Mech. Sci. Technol. 2017, 31, 4019–4028. [Google Scholar] [CrossRef]
- Wang, Y.; Zhou, X.; Liu, L. Theoretical investigation of the combustion performance of ammonia/hydrogen mixtures on a marine diesel engine. Int. J. Hydrog. Energy 2021, 46, 14805–14812. [Google Scholar] [CrossRef]
- Cong, S.; Garner, C.P.; McTaggart-Cowan, G.P. The effects of exhaust back pressure on conventional and low-temperature diesel combustion. Proc. Inst. Mech. Eng. Part D J. Automob. Eng. 2011, 225, 222–235. [Google Scholar] [CrossRef]
- Sapra, H.; Godjevac, M.; Visser, K.; Stapersma, D.; Dijkstra, C. Experimental and simulation-based investigations of marine diesel engine performance against static back pressure. Appl. Energy 2017, 204, 78–92. [Google Scholar] [CrossRef]
- Tauzia, X.; Chessé, P.; Maiboom, A. Simulation study of a ship’s engine behaviour running with a periodically immersed exhaust. Proc. Inst. Mech. Eng. Part M J. Eng. Marit. Environ. 2008, 222, 195–205. [Google Scholar] [CrossRef]
- Sapra, H.D. Study of Effects on Performance of a Diesel Engine Due to Varying Back Pressure for an Underwater Exhaust System; Technische Universiteit Delft: Delft, The Netherlands, 2015. [Google Scholar]
- Joardder, M. Effect of engine backpressure on the performance and emissions of a CI engine. In Proceedings of the International Conference on Mechanical Engineering 2011 (ICME2011), Dhaka, Bangladesh, 18 December 2011. [Google Scholar]
- Mittal, M.; Donahue, R.; Winnie, P. Evaluating the Influence of Exhaust Back Pressure on Performance and Exhaust Emissions Characteristics of a Multicylinder, Turbocharged, and Aftercooled Diesel Engine. J. Energy Resour. Technol.-Trans. Asme 2015, 137, 032207. [Google Scholar] [CrossRef]
- Si, J.; Zhang, F.; Li, W.; Feng, Y.; Xu, M.; Wu, X. Research on the improvement of exhaust temperature performance of an 8-cylinder diesel engine. Intern. Combust. Engine Parts 2022, 305, 13–16. [Google Scholar] [CrossRef]












| Parameters | Value |
|---|---|
| Bore (mm) | 270 |
| Stroke (mm) | 330 |
| Connecting rod length (mm) | 660 |
| Number of nozzle holes | 10 |
| Spray angle (°) | 148 |
| Speed (r/min) | 1000 |
| Parameters | Load | Case 1 | Case 2 | Case 3 |
|---|---|---|---|---|
| Nozzle diameter (mm) | 50% | 0.475 | 0.46 | 0.46 |
| 75% | ||||
| 100% | ||||
| Rail pressure (bar) | 50% | 1600 | 1500 | 1600 |
| 75% | ||||
| 100% | ||||
| EBP (kPa) | 50% | 10/25 | 10 | 10/25 |
| 75% | ||||
| 100% | ||||
| Intake pressure (bar) | 50% | 1.7/1.5 | 1.1 | 1.3/1.2 |
| 75% | 2.7/2.3 | 1.8 | 2.1/1.8 | |
| 100% | 3.5/3.1 | 2.5 | 3.0/2.5 | |
| Injection timing (° CA BTDC) | 50% | 6/7 | 8 | 9/9 |
| 75% | 4/8 | 7 | 8/8 | |
| 100% | 3/9 | 7 | 6/9 | |
| lambda | 50% | 2.6/2.6 | 2.84 | 2.43/2.32 |
| 75% | 2.6/2.4 | 2.75 | 2.35/2.2 | |
| 100% | 2.3/2.3 | 2.6 | 2.32/2.07 |
Publisher’s Note: MDPI stays neutral with regard to jurisdictional claims in published maps and institutional affiliations. |
© 2022 by the authors. Licensee MDPI, Basel, Switzerland. This article is an open access article distributed under the terms and conditions of the Creative Commons Attribution (CC BY) license (https://creativecommons.org/licenses/by/4.0/).
Share and Cite
Huang, L.; Liu, J.; Liu, R.; Wang, Y.; Liu, L. Experimental Investigation on Combustion and Performance of Diesel Engine under High Exhaust Back Pressure. Machines 2022, 10, 919. https://doi.org/10.3390/machines10100919
Huang L, Liu J, Liu R, Wang Y, Liu L. Experimental Investigation on Combustion and Performance of Diesel Engine under High Exhaust Back Pressure. Machines. 2022; 10(10):919. https://doi.org/10.3390/machines10100919
Chicago/Turabian StyleHuang, Li, Junjie Liu, Rui Liu, Yang Wang, and Long Liu. 2022. "Experimental Investigation on Combustion and Performance of Diesel Engine under High Exhaust Back Pressure" Machines 10, no. 10: 919. https://doi.org/10.3390/machines10100919
APA StyleHuang, L., Liu, J., Liu, R., Wang, Y., & Liu, L. (2022). Experimental Investigation on Combustion and Performance of Diesel Engine under High Exhaust Back Pressure. Machines, 10(10), 919. https://doi.org/10.3390/machines10100919

