Stability Issues for Selected Stochastic Evolutionary Problems: A Review
Abstract
1. Introduction
2. Damped Linear Stochastic Oscillators: Long-Term Stability Issues
2.1. The Problem
2.2. The Methodology: Indirect Stochastic Linear Two-Step Methods
3. Stability Analysis of -Methods for Stochastic Volterra Integral Equations
3.1. The Problem
3.2. The Methodology: -Methods for SVIEs
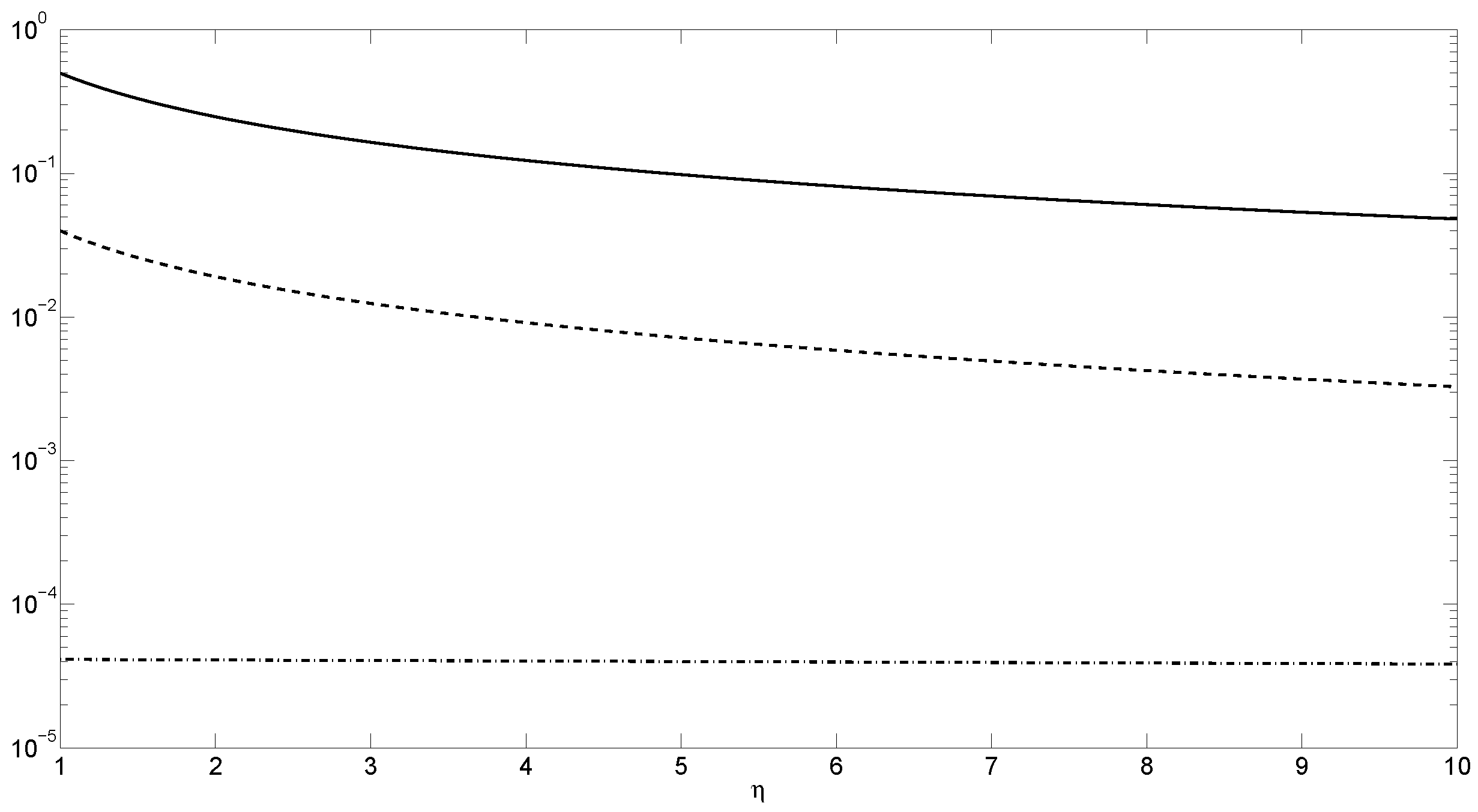
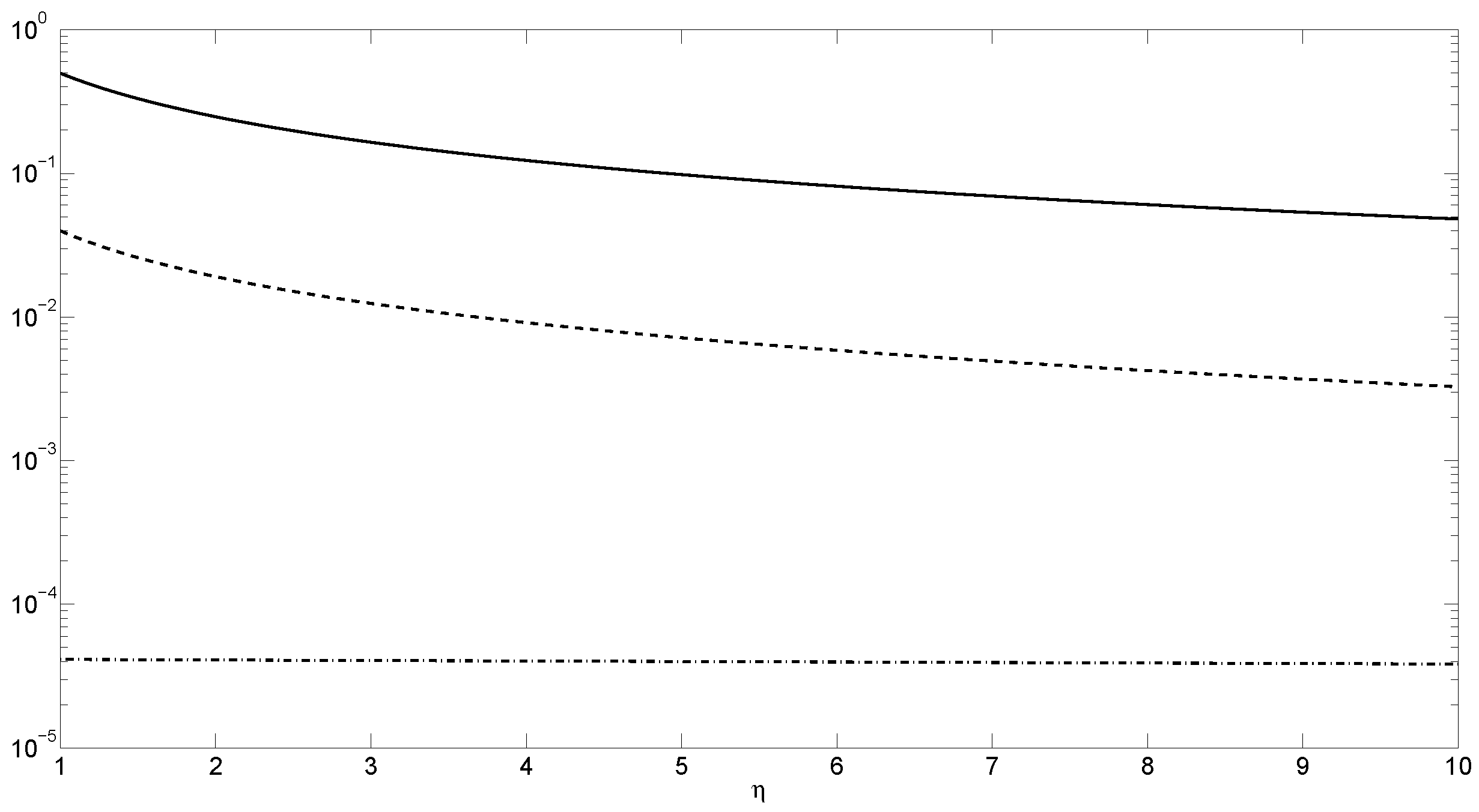
3.3. Stability Issues
4. Conclusions
Author Contributions
Funding
Acknowledgments
Conflicts of Interest
References
- Burrage, K.; Lenane, I.; Lythe, G. Numerical methods for second-order stochastic differential equations. SIAM J. Sci. Comput. 2007, 29, 245–264. [Google Scholar] [CrossRef]
- Burrage, K.; Lythe, G. Accurate stationary densities with partitioned numerical methods for stochastic differential equations. SIAM J. Numer. Anal. 2009, 47, 1601–1618. [Google Scholar] [CrossRef]
- D’Ambrosio, R.; Moccaldi, M.; Paternoster, B. Numerical preservation of long-term dynamics by stochastic two-step methods. Discret. Cont. Dyn. Syst. B 2018, 23, 2763–2773. [Google Scholar] [CrossRef]
- D’Ambrosio, R.; Moccaldi, M.; Paternoster, B.; Rossi, F. Stochastic Numerical Models of Oscillatory Phenomena. In Artificial Life and Evolutionary Computation; Pelillo, M., Poli, I., Roli, A., Serra, R., Slanzi, D., Villani, M., Eds.; Springer International Publishing: Berlin/Heidelberg, Germany, 2018; pp. 59–69. [Google Scholar]
- Schurz, H. The invariance of asymptotic laws of linear stochastic systems under discretization. Z. Angew. Math. Mech. 1999, 6, 375–382. [Google Scholar] [CrossRef]
- Strömmen Melbö, A.H.; Higham, D.J. Numerical simulation of a linear stochastic oscillator with additive noise. Appl. Numer. Math. 2004, 51, 89–99. [Google Scholar] [CrossRef]
- Burrage, P.M.; Burrage, K. Structure-preserving Runge-Kutta methods for stochastic Hamiltonian equations with additive noise. Numer. Algor. 2014, 65, 519–532. [Google Scholar] [CrossRef]
- Burrage, P.M.; Burrage, K. Low rank Runge-Kutta methods, symplecticity and stochastic Hamiltonian problems with additive noise. J. Comput. Appl. Math. 2014, 236, 3920–3930. [Google Scholar] [CrossRef]
- Vilmart, G. Weak second order multi-revolution composition methods for highly oscillatory stochastic differential equations with additive or multiplicative noise. SIAM J. Sci. Comput. 2014, 36, 1770–1796. [Google Scholar] [CrossRef]
- Wen, C.H.; Zhang, T.S. Rectangular method on stochastic Volterra equations. Int. J. Appl. Math. Stat. 2009, 14, 12–26. [Google Scholar] [CrossRef]
- Wen, C.H.; Zhang, T.S. Improved rectangular method on stochastic Volterra equations. J. Comput. Appl. Math. 2011, 235, 2492–2501. [Google Scholar] [CrossRef]
- Zhang, X. Euler schemes and large deviations for stochastic Volterra equations with singular kernels. J. Differ. Eq. 2008, 244, 2226–2250. [Google Scholar] [CrossRef]
- Higham, D.J. An algorithmic introduction to numerical simulation of stochastic differential equations. SIAM Rev. 2011, 43, 525–546. [Google Scholar] [CrossRef]
- Kloeden, P.E.; Platen, E. The Numerical Solution of Stochastic Differential Equations; Springer: Berlin/Heidelberg, Germany, 1992. [Google Scholar]
- Conte, D.; D’Ambrosio, R.; Paternoster, B. On the stability of ϑ-methods for stochastic Volterra integral equations. Discret. Cont. Dyn. Syst. B 2018, 23, 2695–2708. [Google Scholar]
- Buckwar, E.; Horvath-Bokor, R.; Winkler, R. Asymptotic mean-square stability of two-step methods for stochastic ordinary differential equations. BIT Numer. Math. 2006, 46, 261–282. [Google Scholar] [CrossRef]
- Hairer, L.; Lubich, C.; Wanner, G. Geometric Numerical Integration; Springer: Berlin/Heidelberg, Germany, 2006. [Google Scholar]
- Brunner, H.; van der Houwen, P.J. The Numerical Solution of Volterra Equations; CWI Monographs 3; North-Holland: Amsterdam, The Netherlands, 1986. [Google Scholar]
- Conte, D.; D’Ambrosio, R.; Paternoster, B. Two-step diagonally-implicit collocation based methods for Volterra integral equations. Appl. Numer. Math. 2012, 62, 1312–1324. [Google Scholar] [CrossRef]
- Conte, D.; Jackiewicz, Z.; Paternoster, B. Two-step almost collocation methods for Volterra integral equations. Appl. Math. Comput. 2008, 204, 839–853. [Google Scholar] [CrossRef]
- Conte, D.; Paternoster, B. Multistep collocation methods for Volterra integral equations. Appl. Numer. Math. 2009, 59, 1721–1736. [Google Scholar] [CrossRef]
- Cardone, A.; Conte, D. Multistep collocation methods for Volterra integro-differential equations. Appl. Math. Comput. 2013, 221, 770–785. [Google Scholar] [CrossRef]
- Wang, Z. Existence and uniqueness of solutions to stochastic Volterra equations with singular kernels and non-Lipschitz coefficients. Stat. Probab. Lett. 2008, 78, 1062–1071. [Google Scholar] [CrossRef]
- Buckwar, E.; Sickenberger, T. A comparative linear mean-square stability analysis of Maruyama- and Milstein-type methods. Math. Comput. Simul. 2011, 81, 1110–1127. [Google Scholar] [CrossRef]
- Saito, Y.; Mitsui, T. Stability analysis of numerical schemes for stochastic differential equations. SIAM J. Numer. Anal. 1996, 33, 2254–2267. [Google Scholar] [CrossRef]
- Bryden, A.; Higham, D.J. On the boundedness of asymptotic stability regions for the stochastic theta method. BIT 2003, 43, 1–6. [Google Scholar] [CrossRef]
- Higham, D.J. Mean-square and asymptotic stability of the stochastic theta method. SIAM J. Numer. Anal. 2000, 38, 753–769. [Google Scholar] [CrossRef]
- Ding, X.; Ma, Q.; Zhang, L. Convergence and stability of the split-step-method for stochastic differential equations. Comput. Math. Appl. 2010, 60, 1310–1321. [Google Scholar] [CrossRef]
- Higham, D.J. A-stability and stochastic mean-square stability. BIT 2000, 40, 404–409. [Google Scholar] [CrossRef]
- Hu, P.; Huang, C. The stochastic ϑ-method for nonlinear stochastic Volterra integro-differential equations. Abstr. Appl. Anal. 2014, 2014, 583930. [Google Scholar] [CrossRef]
- Shi, C.; Xiao, Y.; Zhang, C. The convergence and MS stability of exponential Euler method for semilinear stochastic differential equations. Abstr. Appl. Anal. 2012, 2012, 350407. [Google Scholar] [CrossRef]
- Butcher, J.; D’Ambrosio, R. Partitioned general linear methods for separable Hamiltonian problems. Appl. Numer. Math. 2017, 117, 69–86. [Google Scholar] [CrossRef]
- D’Ambrosio, R.; De Martino, G.; Paternoster, B. Numerical integration of Hamiltonian problems by G-symplectic methods. Adv. Comput. Math. 2014, 40, 553–575. [Google Scholar] [CrossRef]
- D’Ambrosio, R.; Izzo, G.; Jackiewicz, Z. Search for highly stable two-step Runge-Kutta methods. Appl. Numer. Math. 2012, 62, 1361–1379. [Google Scholar] [CrossRef]
- Burrage, K.; Cardone, A.; D’Ambrosio, R.; Paternoster, B. Numerical solution of time fractional diffusion systems. Appl. Numer. Math. 2017, 116, 82–94. [Google Scholar] [CrossRef]
- D’Ambrosio, R.; De Martino, G.; Paternoster, B. General Nystrom methods in Nordsieck form: Error analysis. J. Comput. Appl. Math. 2016, 292, 694–702. [Google Scholar] [CrossRef]
- D’Ambrosio, R.; Paternoster, B.; Santomauro, G. Revised exponentially fitted Runge–Kutta–Nyström methods. Appl. Math. Lett. 2014, 30, 56–60. [Google Scholar] [CrossRef]
- D’Ambrosio, R.; Moccaldi, M.; Paternoster, B. Adapted numerical methods for advection-reaction-diffusion problems generating periodic wavefronts. Comput. Math. Appl. 2017, 74, 1029–1042. [Google Scholar] [CrossRef]









© 2018 by the authors. Licensee MDPI, Basel, Switzerland. This article is an open access article distributed under the terms and conditions of the Creative Commons Attribution (CC BY) license (http://creativecommons.org/licenses/by/4.0/).
Share and Cite
Cardone, A.; Conte, D.; D’Ambrosio, R.; Paternoster, B. Stability Issues for Selected Stochastic Evolutionary Problems: A Review. Axioms 2018, 7, 91. https://doi.org/10.3390/axioms7040091
Cardone A, Conte D, D’Ambrosio R, Paternoster B. Stability Issues for Selected Stochastic Evolutionary Problems: A Review. Axioms. 2018; 7(4):91. https://doi.org/10.3390/axioms7040091
Chicago/Turabian StyleCardone, Angelamaria, Dajana Conte, Raffaele D’Ambrosio, and Beatrice Paternoster. 2018. "Stability Issues for Selected Stochastic Evolutionary Problems: A Review" Axioms 7, no. 4: 91. https://doi.org/10.3390/axioms7040091
APA StyleCardone, A., Conte, D., D’Ambrosio, R., & Paternoster, B. (2018). Stability Issues for Selected Stochastic Evolutionary Problems: A Review. Axioms, 7(4), 91. https://doi.org/10.3390/axioms7040091

