Next Article in Journal
Kaczmarz-Type Methods for Solving Matrix Equation AXB = C
Next Article in Special Issue
Color Image Storage and Retrieval via Sliding Mode Control of Quaternion-Valued Neural Networks
Previous Article in Journal
Graded 1-Absorbing Prime Ideals over Non-Commutative Graded Rings
Previous Article in Special Issue
New μ-Synchronization Criteria for Nonlinear Drive–Response Complex Networks with Uncertain Inner Couplings and Variable Delays of Unknown Bounds
 
 
Font Type:
Arial Georgia Verdana
Font Size:
Aa Aa Aa
Line Spacing:
Column Width:
Background:
Article

Stability and Hopf Bifurcation of Fractional-Order Quaternary Numerical Three-Neuron Neural Networks with Different Types of Delays

1
School of Mathematics and Statistics, Sichuan University of Science and Engineering, Zigong 643000, China
2
School of Mathematics and Statistics, Hainan Normal University, Haikou 571127, China
*
Author to whom correspondence should be addressed.
Axioms 2025, 14(5), 366; https://doi.org/10.3390/axioms14050366
Submission received: 21 March 2025 / Revised: 1 May 2025 / Accepted: 3 May 2025 / Published: 13 May 2025
(This article belongs to the Special Issue Complex Networks and Dynamical Systems)

Abstract

In this paper, the stability and Hopf bifurcation of fractional-order quaternion-valued neural networks (FOQVNNs) with various types of time delays are studied. The fractional-order quaternion neural networks with time delays are decomposed into an equivalent complex-valued system through the Cayley–Dickson construction. The existence and uniqueness of the solution for the considered fractional-order delayed quaternion neural networks are proven by using the compression mapping theorem. It is demonstrated that the solutions of the involved fractional delayed quaternion neural networks are bounded by constructing appropriate functions. Some sufficient conditions for the stability and Hopf bifurcation of the considered fractional-order delayed quaternion neural networks are established by utilizing the stability theory of fractional differential equations and basic bifurcation knowledge. To validate the rationality of the theoretical results, corresponding simulation results and bifurcation diagrams are provided. The relationship between the order of appearance of bifurcation phenomena and the order is also studied, revealing that bifurcation phenomena occur later as the order increases. The theoretical results established in this paper are of significant guidance for the design and improvement of neural networks.

1. Introduction

Neural networks are a class of computational models inspired by biological nervous systems, processing and analyzing complex input data by simulating the connections and interactions between neurons in the human brain. Neural networks have shown great potential and value in various fields such as physical engineering [1], biomedicine [2], image processing [3], associative memory [4], pattern recognition [5], and information security [6], and have become a hot research topic. Recurrent neural networks have neurons interconnected in a closed-loop form, allowing information to flow and circulate continuously within the network. This structural characteristic makes it particularly suitable for handling complex interactions between multiple intelligent agents. When multiple intelligent agents are connected in a circular network, the circulation and sharing of information become very convenient, thereby significantly enhancing the collaborative efficiency and overall performance between agents [7].
The concept of fractional calculus has a history of over three hundred years [8]. Fractional calculus can be seen as a generalization of integer-order differentiation and integration, but due to the lack of application background, it has not attracted much attention for many years. With the deepening of research, fractional calculus has gradually become an active research direction [9]. For example, the authors studied a nonlinear Volterra integro-differential equation with Caputo fractional derivative, multi-kernel and multi-constant delays, by defining appropriate Lyapunov functions and applying the Lyapunov–Razumikhin method, which not only provides a new way to study the qualitative properties of such equations, but also provides theoretical support for the stability analysis in practical applications [10]. In recent years, many scholars have found that fractional calculus has a broad application prospect in the fields of science and engineering, and can effectively describe many complex phenomena, such as viscoelastic systems [11], random diffusion [12], dielectric polarization [13], molecular spectroscopy [14], and electromagnetic waves [15]. Therefore, more and more practical systems can be accurately modeled through fractional integration and fractional differential equations, especially in describing materials and processes with infinite memory and hereditary characteristics, where fractional calculus shows more unique advantages than traditional integer-order calculus. Based on these advantages, the combination of fractional calculus and neural networks has also attracted widespread attention, as it can more accurately describe the dynamic characteristics of neural networks [16].
Time delay refers to the phenomenon where the impact of changes in inputs or signals on the output of a dynamic system is subject to a certain time lag. Specifically, time delay reflects the response of a system or process lagging behind its input [17]. In [18], the authors outlined the dependence of stability type on time-delay characteristics and illustrated it with examples. Time delays are generally divided into leakage delays, self-connection delays, and communication delays. In neural networks, especially when dealing with time-series data [19] and dynamic systems [20], modeling and processing of time delays are crucial. Additionally, in a dynamic system, time delays are inevitable. Time delays can affect the stability of the system, leading to instability [21], oscillations [22], and chaos [23], among other phenomena. Therefore, incorporating time delays in neural network models has significant practical importance.
Hopf bifurcation is an important phenomenon in nonlinear dynamics, describing the process by which a system transitions from a stable equilibrium point to periodic oscillations. Specifically, when one or more eigenvalues of a system shift from negative real numbers to complex numbers, the stability of the system changes, resulting in the creation of a limit cycle (i.e., a periodic solution). This type of bifurcation typically occurs when parameters change, marking a sudden change in system behavior, which can lead from a stable state to periodic oscillations, and even further into a chaotic state. Hopf bifurcation is widely applied in biology, engineering, and physics, such as in the fields of neural networks, ecological models, and oscillatory circuits [24].
Quaternions were proposed by Irish mathematician William Rowan Hamilton in the mid-19th century. Quaternions are a number system that extends the concept of complex numbers, consisting of a real part and three imaginary parts, typically represented as a + b i + c j + d k , where a, b, c, and d are real numbers, and i, j, and k are imaginary units [25]. Due to their higher dimension compared to real and complex numbers, quaternion neural networks can more naturally handle multi-dimensional data and the processing of high-dimensional signals. In three-dimensional space, quaternions can represent rotations and transformations more efficiently, making them significantly useful in neural networks that involve three-dimensional motion, physical modeling, or other complex multi-dimensional data [26].
Based on the above analysis, this study will investigate the stability and Hopf bifurcation of fractional-order quaternion-valued cyclic neural networks with time delays. In summary, the research on fractional-order four-numerical cyclic neural networks involving time delays mainly focuses on these two aspects: (1) the existence, uniqueness, and boundedness of solutions for cyclic neural networks with multiple delays are studied; (2) as well as the stability and Hopf bifurcation of cyclic neural networks with multiple delays.
In [27], the authors study the stability and bifurcation properties of the following integer-order quaternion-valued neural network:
x ˙ 1 ( t ) = ν x 1 ( t σ ) + T 12 g 2 x 2 ( t τ ) + T 13 g 3 x 3 ( t τ ) , x ˙ 2 ( t ) = ν x 2 ( t σ ) + T 21 g 1 x 1 ( t τ ) + T 23 g 3 x 3 ( t τ ) , x ˙ 3 ( t ) = ν x 3 ( t σ ) + T 31 g 1 x 1 ( t τ ) + T 32 g 2 x 2 ( t τ ) ,
where x m ( t ) Q , m = 1 , 2 , 3 are the states of neurons at time t. τ > 0 is a communication delay. σ > 0 is a leakage delay. ν > 0 is the self-regulating parameter of the neurons x m ( t ) . T m n Q are the interconnection coefficients. g m : Q Q are the neuron activation functions. The authors use matrix block theory to reduce the order of the characteristic equation. At the same time, taking the leakage delay and the communication delay as the bifurcation parameters, several conditions guaranteeing the stability of the periodic solution of Hopf bifurcation are established.
Inspired by the above analysis and based on the previous neural network model, we establish the following fractional-order quaternion-valued neural network involving delay:
D θ x 1 ( t ) = k x 1 t η 1 + m 12 f 2 x 2 t η 2 + m 1 n f n x n ) t η 2 , D θ x i ( t ) = k x i t η 1 + m i i + 1 f i + 1 x i + 1 t η 2 + m i i 1 f i 1 x i 1 t η 2 , D θ x n ( t ) = k x n t η 1 + m n 1 f 1 x 1 t η 2 + m n n 1 f n 1 x n 1 t η 2 ,
where 0 < θ 1 is the real number, x i ( t ) Q ( i = 2 , 3 , , n 1 ) represent the states of neurons at time t, Q denotes the set of quaternion number, k > 0 is the self-regulating parameter of the neurons x i ( t ) , η 1 > 0 is a leakage delay, η 2 > 0 is a communication delay. m i i Q ( i = 2 , 3 , , n 1 ) denotes the connection weight between two neurons, f i : Q Q ( i = 2 , 3 , , n 1 ) stands for the quaternion-valued activation function between two neurons.
The initial condition of system (2) is prepared as follows:
x i ( ξ ) = x i ξ , ξ η , t 0 ,
where x i ξ Q ( i = 1 , 2 , , n ) , t 0 > 0 is a constant and η = max η 1 , η 2 .
The main contributions of this paper are as follows: (a) The formulated fractional-order delayed four-numerical neural network is decomposed into an equivalent real-valued system using the Cayley–Dickson construction. (b) The characteristic equation is a higher-order transcendental equation. Exploring the distribution of the roots of the characteristic equation is a challenge. We have solved this problem via the Coates’s flow-graph formula. (c) A new delay-independent stability and bifurcation criterion is presented. (d) The exploration method of bifurcations can be used to deal with many bifurcation problems for many fractional dynamical models. The remainder of the paper is shown below: In Section 2, we give the basic definition of fractional calculus, lemma, and basic knowledge of quaternion. In Section 3, we prove the existence and uniqueness of the solution of system (2). In Section 4, we check that the solution of the system (2) is bounded. In Section 5, we analyze the stability characteristics and Hopf bifurcation of system (2). In Section 6, we use software to perform numerical simulations to verify the correctness of the theoretical derivation. In Section 7, the main conclusions of this paper are given.

2. Preliminaries

In this section, we outline the key definitions and lemmas of fractional calculus and the operations of quaternion algebra. These will be used in the proofs that follow. Due to the many advantages of Caputo derivatives, including the homogeneity of given initial conditions with integer-order derivatives, the description of physical properties, and the stronger applicability to real-world problems. In this paper, the Caputo derivative is used and the Caputo fractional differential D θ C is replaced by D θ . Let R denote the set of reals, R + denote the set of all nonnegative reals, and Q denote the set of quaternion.
Definition 1
([28]). The Caputo fractional differential is defined as follows:
D θ f ( t ) = 1 Γ ( m θ ) t 0 t f ( m ) ( v ) ( t v ) θ m + 1 d v
where t t 0 ,   m Z + , 0 m 1 < θ < m , f ( t ) C ( [ t 0 , ) , R ) , Γ ( v ) = 0 t v 1 e t d t .
The Laplace transform of the Caputo fractional-order derivatives is
L D θ f ( t ) ; s = s θ F ( s ) l = 0 m 1 s θ l 1 f ( l ) ( 0 ) , m 1 < θ < m Z + ,
where F ( s ) = L { f ( t ) } . In particular, when the initial conditions f ( l ) ( 0 ) = 0 ,   l = 1 , 2 , , m , the above equation reduces to L D θ f ( t ) ; s = s θ F ( s ) .
Definition 2
([29]). The Caputo fractional non-autonomous system with initial condition x ( t 0 ) is defined as follows:
D θ x ( t ) = g ( t , x ( t ) ) , x t 0 = x t 0 , t 0 > 0 ,
where 0 < θ < 1 , g : t 0 , × Ω R n is piecewise continuous with respect to t t 0 and locally Lipschitz with respect to x Ω R n , Ω is a domain with containing the origin x = 0 . x 0 is the equilibrium point of system (4) if and only if g t , x 0 = 0 .
Lemma 1
([30]). If the real-valued continuous function g t , x in system (4) satisfies the locally Lipschitz condition with respect to t t 0 , then there exists a unique and continuous solution on t 0 , × Ω .
Lemma 2
([31]). Assume that x ( t ) is a continuous function on t 0 , , which satisfies
D θ x ( t ) L 1 x ( t ) + L 2 , x t 0 = x t 0
where 0 < θ < 1 , L 1 , L 2 R , L 1 0 , t 0 0 . Then,
x ( t ) x t 0 L 2 L 1 E θ L 1 t t 0 p + L 2 L 1 ,
where E θ ( z ) = j = 1 z j Γ ( θ j + 1 ) is one-parameter Mittag-Leffler function. Therefore, the function x ( t ) is uniformly bounded on t 0 , .
Lemma 3
([32]). Given the following n-dimensional linear fractional-order system with multiple delays
D θ 1 x 1 ( t ) = α 11 x 1 t η 11 + α 12 x 2 t η 12 + + α 1 n x n t η 1 n , D θ 2 x 2 ( t ) = α 21 x 1 t η 21 + α 22 x 2 t η 22 + + α 2 n x n t η 2 n , D θ n x n ( t ) = α n 1 x 1 t η n 1 + α n 2 x 2 t η n 2 + + α n n x n t η n n ,
where θ i ( 0 , 1 ] ( i = 1 , 2 , , n ) , the initial values x i ( t ) = χ i ( t ) C max i , j η i j , 0 , t max i , j η i j , 0 , ( i , j = 1 , 2 , , n ) . The characteristic matrix is
Δ ( s ) = s θ 1 α 11 e s η 11 α 12 e s η 12 α 1 n e s η 1 n α 21 e s η 21 s θ 2 α 22 e s η 22 α 2 n e s η 2 n α n 1 e s η n 1 α n 2 e s η n 2 s θ n α n n e s η n n ,
if all the roots of det ( Δ ( s ) ) = 0 have negative real parts, then the zero solution of system (5) is Lyapunov globally asymptotically stable.
Lemma 4
([33]). Let x 0 be the equilibrium point of system(2) and ρ be the eigenvalue of g ( t , x ) x x = x 0 . Provided that | arg ( ρ ) | > θ π 2 , then x 0 is locally asymptotically stable.
The quaternion [34] is associative algebras defined on R , and the quaternion x can be expressed as
x = x 0 + i x 1 + j x 2 + k x 3
where x 0 , x 1 , x 2 , x 3 R , i, j, k are all imaginary units of orthogonal unit vectors, and the imaginary units i, j, k satisfy the following Hamilton rules:
i j = j i = k , j k = k j = i , i k = k i = j , i 2 = j 2 = k 2 = i j k = 1 .
From Hamilton rules, we can know the non-commutativity of quaternion multiplication. Suppose the quaternion x, y are labeled x = x 0 + i x 1 + j x 2 + k x 3 , y = y 0 + i y 1 + j y 2 + k y 3 , then, the addition, subtraction, and product operations of quaternion can be defined as
x ± y = x 0 ± y 0 + i x 1 ± y 1 + j x 2 ± y 2 + k y 3 ± y 3 , x y = x 0 y 0 x 1 y 1 x 2 y 2 x 3 y 3 + i x 0 y 1 + x 1 y 0 + x 2 y 3 x 3 y 2 +   j x 0 y 2 x 1 y 3 + x 2 y 0 + x 3 y 1 + k x 0 y 3 + x 1 y 2 x 2 y 1 + x 3 y 0 .
Define the conjugate of the quaternion x as follows:
x * = x 0 i x 1 j x 2 k x 3 .
Define the norm of the quaternion x as follows:
x = x x * = h = 0 3 x h 2 .
Define the reciprocal of quaternion x as follows:
x 1 = x * x 2 .
Using the Cayley–Dickson construction [35], there is
i = a , j = b , k = b a ,
set C = z = z 1 + a z 2 z 1 , z 2 R , a 2 = 1 is the plural of collection. For any quaternion x, we have
x = x ˘ 1 + b x ˘ 2 ,
where x ˘ 1 = x 0 + a x 1 , x ˘ 2 = x 2 + a x 3 , so we can obtain
x y = x ˘ 1 y ˘ 1 x ˘ 2 y ˘ 2 + b ( x ˘ 1 y ˘ 2 + x ˘ 2 y ˘ 1 ) .
According to the Cayley–Dickson structure, system (2) can be transformed into the following six-dimensional equivalent system:
D θ x ˘ i 1 ( t ) = k x ˘ i 1 ( t η 1 ) + m i i 1 1 f i 1 1 ( x i 1 ( t η 2 ) ) m i i 1 2 f i 1 2 ( x i 1 ( t η 2 ) ) + m i i + 1 1 f i + 1 1 ( x i + 1 ( t η 2 ) ) m i i + 1 2 f i + 1 2 ( x i + 1 ( t η 2 ) ) , D θ x ˘ i 2 ( t ) = k x ˘ i 2 ( t η 1 ) + m i i 1 1 f i 1 2 ( x i 1 ( t η 2 ) ) + m i i 1 2 f i 1 1 ( x i 1 ( t η 2 ) ) + m i i + 1 1 f 12 i + 1 ( x i + 1 ( t η 2 ) ) + m i i + 1 2 f i + 1 1 ( x i + 1 ( t η 2 ) ) ,
and the initial condition of system (6) becomes
x ˘ i 1 ( ξ ) = x i ξ 1 , ξ η , t 0 , x ˘ i 2 ( ξ ) = x i ξ 2 , ξ η , t 0 ,
where i = 1 , 2 , , n , when i = 1 , i 1 is denoted as n; when i = n , i + 1 is denoted as 1.
To arrive at the main conclusions of this study, we base our findings on the following reasonable necessary assumptions:
Assumption 1.
Set x = x ˘ 1 + b x ˘ 2 . So, the quaternion numerical activation function f i ( x ) ( i = 1 , 2 , , n ) is of the form
f i ( x ) = f ˘ i 1 ( x ) + b f ˘ i 2 ( x ) .
The functions f ˘ i 1 R ( x 0 , x 1 ) , f ˘ i 1 I ( x 0 , x 1 ) , f ˘ i 2 R ( x 2 , x 3 ) , and f ˘ i 2 I ( x 2 , x 3 ) with respect to x 0 , x 1 , x 2 , x 3 exist and are continuous, and satisfy
f ˘ i 1 R ( 0 , 0 ) = 0 , f ˘ i 1 I ( 0 , 0 ) = 0 , f ˘ i 2 R ( 0 , 0 ) = 0 , f ˘ i 2 I ( 0 , 0 ) = 0 .
Assumption 2.
There exist constants L i l > 0 , such that
f ˘ i l x ˘ l f ˘ i l y ˘ l L i l x ˘ l y ˘ l ,
for any x l , y l R , l = 1 , 2 .
Assumption 3.
There exist constants M i j > 0 , such that
f ˘ i j ( x ) M i j , x Q , i = 1 , 2 , , n ; j = 1 , 2 .

3. Solution’s Existence and Soleness

In this section, we will demonstrate the existential uniqueness of the solution to system (6) and present the following theorem. Let
Δ = x ˘ 1 1 , x ˘ 1 2 , , x ˘ n 1 , x ˘ n 2 R 2 n : max x ˘ 1 1 , x ˘ 1 2 , , x ˘ n 1 , x ˘ n 2 < G ,
where G > 0 is a constant.
Theorem 1.
If V t 0 = x ˘ 1 t 0 1 , x ˘ 1 t 0 2 , , x ˘ n t 0 1 , x ˘ n t 0 2 Δ and t t 0 , then system (6) involving the initial value V t 0 owns a unique solution V ( t ) Δ .
Proof. 
Let V = x ˘ 1 1 , x ˘ 1 2 , , x ˘ n 1 , x ˘ n 2 , V ^ = x ˘ 1 1 ^ , x ˘ 1 2 ^ , , x ˘ n 1 ^ , x ˘ n 2 ^ , and F ( V ) = ( F 1 ( V ) , F 2 ( V ) , , F n ( V ) ) , where
F 2 i 1 ( V ) = k x ˘ i 1 ( t η 1 ) + m i i 1 1 f i 1 1 ( x i 1 ( t η 2 ) ) m i i 1 2 f i 1 2 ( x i 1 ( t η 2 ) ) + m i i + 1 1 f i + 1 1 ( x i + 1 ( t η 2 ) ) m i i + 1 2 f i + 1 2 ( x i + 1 ( t η 2 ) ) , F 2 i ( V ) = k x ˘ i 2 ( t η 1 ) + m i i 1 1 f i 1 2 ( x i 1 ( t η 2 ) ) + m i i 1 2 f i 1 1 ( x i 1 ( t η 2 ) ) + m i i + 1 1 f 12 i + 1 ( x i + 1 ( t η 2 ) ) + m i i + 1 2 f i + 1 1 ( x i + 1 ( t η 2 ) ) , ( i = 1 , 2 , , n / 2 )
For V , V ^ Δ , t 1 , t 2 R , t 1 , t 2 t 0 , in view of Assumption 2, we obtain
F ( V ) F ( V ^ ) = i = 1 6 F i ( V ) F i ( V ^ ) = i = 1 n ( | [ k x ˘ i 1 t η 1 + m i i 1 1 f i 1 1 x i 1 t η 2 m i i 1 2 f i 1 2 x i 1 t η 2 + m i i + 1 1 f i + 1 1 x i + 1 t η 2 m i i + 1 2 f i + 1 2 x i + 1 t η 2 ] [ k x ˘ i 1 ^ t η 1 + m i i 1 1 f i 1 1 x ^ i 1 t η 2 m i i 1 2 f i 1 2 x ^ i 1 t η 2 + m i i + 1 1 f i + 1 1 x ^ i + 1 t η 2 m i i + 1 2 f i + 1 2 x ^ i + 1 t η 2 ] | + | [ k x ˘ i 2 t η 1 + m i i 1 1 f i 1 2 x i 1 t η 2 + m i i 1 2 f i 1 1 x i 1 t η 2 + m i i + 1 1 f i + 1 2 x i + 1 t η 2 + m i i + 1 2 f i + 1 1 x i + 1 t η 2 ] [ k x ˘ i 2 ^ t η 1 + m i i 1 1 f i 1 2 x ^ i 1 t η 2 + m i i 1 2 f i 1 1 x ^ i 1 t η 2 + m i i + 1 1 f i + 1 2 x ^ i + 1 t η 2 + m i i + 1 2 f i + 1 1 x ^ i + 1 t η 2 ] | )
i = 1 n [ k x ˘ i 1 ( t 1 τ 1 ) x ˘ 1 ^ i ( t 2 τ 1 ) + x ˘ i 2 ( t 1 τ 1 ) x ˘ 2 ^ i ( t 2 τ 1 ) + m i i 1 1 L i 1 1 x ˘ i 1 1 ( t 1 τ 2 ) x ˘ 1 ^ i 1 ( t 2 τ 2 ) + m i i 1 2 L i 1 2 x ˘ i 1 2 ( t 1 τ 2 ) x ˘ 2 ^ i 1 ( t 2 τ 2 ) + m i i + 1 1 L i + 1 1 x ˘ i + 1 1 ( t 1 τ 2 ) x ˘ 1 ^ i + 1 ( t 2 τ 2 ) + m i i + 1 2 L i + 1 2 x ˘ i + 1 2 ( t 1 τ 2 ) x ˘ 2 ^ i + 1 ( t 2 τ 2 ) + m i i 1 1 L i 1 2 x ˘ i 1 2 ( t 1 τ 2 ) x ˘ 2 ^ i 1 ( t 2 τ 2 ) + m i i 1 2 L i 1 1 x ˘ i 1 1 ( t 1 τ 2 ) x ˘ 1 ^ i 1 ( t 2 τ 2 ) + m i i + 1 1 L i + 1 2 x ˘ i + 1 2 ( t 1 τ 2 ) x ˘ 2 ^ i + 1 ( t 2 τ 2 ) + m i i + 1 2 L i + 1 1 x ˘ i + 1 1 ( t 1 τ 2 ) x ˘ 1 ^ i + 1 ( t 2 τ 2 ) ] = i = 1 n S i 1 x ˘ i 1 t 1 x ˘ 1 ^ i t 2 + S i 2 x ˘ i 2 t 1 x ˘ 2 ^ i t 2
where
S i 1 = k + m i i 1 1 L i 1 1 + m i i 1 2 L i 1 1 + m i i + 1 1 L i + 1 1 + m i i + 1 2 L i + 1 1 , S i 2 = k + m i i 1 2 L i 1 2 + m i i 1 1 L i 1 2 + m i i + 1 2 L i + 1 2 + m i i + 1 1 L i + 1 2 ,
Thus,
F ( V ) F ( V ^ ) | | S V V ^ | |
where
S = max S i 1 , S i 2 , ( i = 1 , 2 , , n ) .
From Lemma 1, it can be concluded that Theorem 1 is correct. This completes the proof. □

4. Boundedness of the Solution

In this part, we are to prove that the solution of model (6) is bounded. Let
Δ + = x ˘ 1 1 , x ˘ 1 2 , , x ˘ n 1 , x ˘ n 2 Δ : x ˘ 1 1 , x ˘ 1 2 , , x ˘ n 1 , x ˘ n 2 R + .
Theorem 2.
Each solution to model (6) which starts from Δ + is uniformly bounded.
Proof. 
Set
W ( t ) = i = 1 n ( x ˘ i 1 + x ˘ i 2 ) .
Equation (9) is differentiated with respect to η ; then, under Assumption 3, we have
D θ W ( t ) = i = 1 n D θ x ˘ i 1 ( t ) + D θ x ˘ i 2 ( t ) k i = 1 n x ˘ 1 1 ( t ) + x ˘ 1 2 ( t ) + J k W ( t ) + J ,
where
J = i = 1 n ( m i i 1 1 M i 1 1 + m i i 1 2 M i 1 2 + m i i + 1 1 M i + 1 1 + m i i + 1 2 M i + 1 2 + m i i 1 1 M i 1 2 + m i i 1 2 M i 1 1 + m i i + 1 1 M i + 1 2 + m i i + 1 2 M i + 1 1 )
By Lemma 2, we obtain
W ( t ) W t 0 J k E r k t t 0 r + J k J k , t .
Thus, one obtains that every solution of system (6) that begins with Δ + is uniformly bounded. The proof of Theorem 2 has been completed. □

5. Stability of the System and Hopf Bifurcation

In this part, we will explore the stability and bifurcation point of model (6). For convenience, we will take the special case of n = 3 to provide some analytical results. When n = 3 the model is
D θ x ˘ 1 1 ( t ) = k x ˘ 1 1 ( t η 1 ) + m 12 1 f 2 1 ( x 2 ( t η 2 ) ) m 12 2 f 2 2 ( x 2 ( t η 2 ) ) + m 13 1 f 3 1 ( x 3 ( t η 2 ) ) m 13 2 f 3 2 ( x 3 ( t η 2 ) ) , D θ x ˘ 1 2 ( t ) = k x ˘ 1 2 ( t η 1 ) + m 12 1 f 2 2 ( x 2 ( t η 2 ) ) + m 12 2 f 2 1 ( x 2 ( t η 2 ) ) + m 13 1 f 3 2 ( x 3 ( t η 2 ) ) + m 13 2 f 3 1 ( x 3 ( t η 2 ) ) , D θ x ˘ 2 1 ( t ) = k x ˘ 2 1 ( t η 1 ) + m 21 1 f 1 1 ( x 1 ( t η 2 ) ) m 21 2 f 1 2 ( x 1 ( t η 2 ) ) + m 23 1 f 3 1 ( x 3 ( t η 2 ) ) m 23 2 f 3 2 ( x 3 ( t η 2 ) ) , D θ x ˘ 2 2 ( t ) = k x ˘ 2 2 ( t η 1 ) + m 21 1 f 1 2 ( x 1 ( t η 2 ) ) + m 21 2 f 1 1 ( x 1 ( t η 2 ) ) + m 23 1 f 23 2 ( x 3 ( t η 2 ) ) + m 23 2 f 3 1 ( x 3 ( t η 2 ) ) , D θ x ˘ 3 1 ( t ) = k x ˘ 3 1 ( t η 1 ) + m 31 1 f 1 1 ( x 1 ( t η 2 ) ) m 31 2 f 1 2 ( x 1 ( t η 2 ) ) + m 32 1 f 2 1 ( x 2 ( t η 2 ) ) m 32 2 f 2 2 ( x 2 ( t η 2 ) ) , D θ x ˘ 3 2 ( t ) = k x ˘ 3 2 ( t η 1 ) + m 31 1 f 1 2 ( x 1 ( t η 2 ) ) + m 31 2 f 1 1 ( x 1 ( t η 2 ) ) + m 32 1 f 2 2 ( x 2 ( t η 2 ) ) + m 32 2 f 2 1 ( x 2 ( t η 2 ) ) ,
Remark 1.
Although three-dimensional dynamical systems have unique characteristics, they can effectively represent the core dynamical behavior of higher-dimensional systems. According to the Poincaré–Bendixson theorem, chaos cannot occur in two-dimensional continuous systems, but chaotic behavior can be observed in three-dimensional systems, such as the Lorenz attractor. This complexity is a hallmark of high-dimensional systems, making three dimensions a key dimension for studying phenomena like bifurcations and strange attractors. By studying the three-dimensional case, a universal analytical framework can be developed to understand general phenomena such as chaos, stability, and bifurcations, laying the groundwork for exploring the complexity of even higher-dimensional systems. The research on three-dimensional dynamical systems holds a unique and crucial position in the theory of dynamical systems. Despite its phase space dimensionality falling between low and high dimensions, this dimensionality both breaks through the limitations of two-dimensional systems and sufficiently reveals the general characteristics of high-dimensional systems, serving as a bridge for understanding complex dynamical behaviors.
Suppose that η 1 = η 2 = η in model (10), and firstly verify the stability of system (10) with leakage delay as a bifurcation parameter. According to Assumption 1, it is easy to determine that system (10) has a unique equilibrium, which is the origin. The linear system of (10) around the origin can be expressed as
D θ x ˘ 1 1 ( t ) = k x ˘ 1 1 ( t η ) + α 11 x ˘ 2 1 ( t η ) + α 12 x ˘ 2 2 ( t η ) + α 13 x ˘ 3 1 ( t η ) + α 14 x ˘ 3 2 ( t η ) , D θ x ˘ 1 2 ( t ) = k x ˘ 1 2 ( t η ) + α 21 x ˘ 2 1 ( t η ) + α 22 x ˘ 2 2 ( t η ) + α 23 x ˘ 3 1 ( t η ) + α 24 x ˘ 3 2 ( t η ) , D θ x ˘ 2 1 ( t ) = k x ˘ 2 1 ( t η ) + α 31 x ˘ 1 1 ( t η ) + α 32 x ˘ 1 2 ( t η ) + α 33 x ˘ 3 1 ( t η ) + α 34 x ˘ 3 2 ( t η ) , D θ x ˘ 2 2 ( t ) = k x ˘ 2 2 ( t η ) + α 41 x ˘ 1 1 ( t η ) + α 42 x ˘ 1 2 ( t η ) + α 43 x ˘ 3 1 ( t η ) + α 44 x ˘ 3 2 ( t η ) , D θ x ˘ 3 1 ( t ) = k x ˘ 3 1 ( t η ) + α 51 x ˘ 1 1 ( t η ) + α 52 x ˘ 1 2 ( t η ) + α 53 x ˘ 2 1 ( t η ) + α 54 x ˘ 2 2 ( t η ) , D θ x ˘ 3 2 ( t ) = k x ˘ 3 2 ( t η ) + α 61 x ˘ 1 1 ( t η ) + α 62 x ˘ 1 2 ( t η ) + α 63 x ˘ 2 1 ( t η ) + α 64 x ˘ 2 2 ( t η ) ,
where
α 11 = m 12 1 f 2 1 ( 0 ) , α 12 = m 12 2 f 2 2 ( 0 ) , α 13 = m 13 1 f 3 1 ( 0 ) , α 14 = m 13 2 f 3 2 ( 0 ) , α 21 = m 12 2 f 2 1 ( 0 ) , α 22 = m 12 1 f 2 2 ( 0 ) , α 23 = m 13 2 f 3 1 ( 0 ) , α 24 = m 23 1 f 3 2 ( 0 ) , α 31 = m 21 1 f 1 1 ( 0 ) , α 32 = m 21 2 f 1 2 ( 0 ) , α 33 = m 23 1 f 3 1 ( 0 ) , α 34 = m 23 2 f 3 2 ( 0 ) , α 41 = m 21 2 f 1 1 ( 0 ) , α 42 = m 21 1 f 1 2 ( 0 ) , α 43 = m 23 2 f 3 1 ( 0 ) , α 44 = m 23 1 f 3 2 ( 0 ) , α 51 = m 31 1 f 1 1 ( 0 ) , α 52 = m 31 2 f 1 2 ( 0 ) , α 53 = m 32 1 f 2 1 ( 0 ) , α 54 = m 32 2 f 2 2 ( 0 ) , α 61 = m 31 2 f 1 1 ( 0 ) , α 62 = m 31 1 f 1 2 ( 0 ) , α 63 = m 32 2 f 2 1 ( 0 ) , α 64 = m 32 1 f 2 2 ( 0 ) .
The characteristic equation of system (11) is
det s θ + k e s η 0 α 11 e s η α 12 e s η α 13 e s η α 14 e s η 0 s θ + k e s η α 21 e s η α 22 e s η α 23 e s η α 24 e s η α 31 e s η α 32 e s η s θ + k e s η 0 α 33 e s η α 34 e s η α 41 e s η α 42 e s η 0 s θ + k e s η α 43 e s η α 44 e s η α 51 e s η α 52 e s η α 53 e s η α 54 e s η s θ + k e s η 0 α 61 e s η α 62 e s η α 63 e s η α 64 e s η 0 s θ + k e s η = 0 .
Equation (12) is equivalent to the following form:
s 6 θ + B 1 s 5 θ e s η + B 2 s 4 θ e 2 s η + B 3 s 3 θ e 3 s η + B 4 s 2 θ e 4 s η + B 5 s θ e 5 s η + B 6 e 6 s η = 0 ,
where B 1 = 6 k , B 2 = 15 k 2 + A 1 , B 3 = 20 k 3 + 4 k A 1 + A 2 , B 4 = 15 k 4 + 6 k 2 A 1 + 3 k A 2 + A 3 , B 5 = 6 k 5 + 4 k 3 A 1 + 3 k 2 A 2 + 2 k A 3 + A 4 , B 6 = k 6 + k 4 A 1 + k 3 A 2 + k 2 A 3 + k A 4 . A 1 , A 2 , A 3 , A 4 , A 5 are defined by Appendix A.
Multiply both sides of Equation (13) by e 6 s η to obtain
s 6 θ e 6 s η + B 1 s 5 θ e 5 s η + B 2 s 4 θ e 4 s η + B 3 s 3 θ e 3 s η + B 4 s 2 θ e 2 s η + B 5 s θ e s η + B 6 = 0 .
Assuming P = s θ e s η in Equation (14), then we have
P 6 + B 1 P 5 + B 2 P 4 + B 3 P 3 + B 4 P 2 + B 5 P + B 6 = 0 .
Since B i is constant, all roots P i ( i = 1 , 2 , 3 , 4 , 5 , 6 ) in Equation (15) can be determined.
Denote the six roots of Equation (15) by
P n = n + i n . ( n = 1 , 2 , 3 , 4 , 5 , 6 )
where n , n are the real and imaginary parts of P n , respectively.
Therefore, we can obtain
s θ e s η = P n .
Assume that s = i ω = ω ( cos π 2 + i sin π 2 ) ( ω > 0 ) is a purely imaginary root of Equation (16). By substituting it into Equation (16), the real and imaginary components can then be extracted separately. It is possible to obtain
ω θ cos θ π 2 cos ω η ω θ sin θ π 2 sin ω η = n , ω θ sin θ π 2 cos ω η + ω θ cos θ π 2 sin ω η = n .
By solving Equation (17), we can calculate
cos ω η = n cos θ π 2 + n sin θ π 2 ω θ , sin ω η = n cos θ π 2 n sin θ π 2 ω θ
From sin 2 ω η + cos 2 ω η = 1 , Equation (18) we can obtain
ω 2 θ = n 2 + n 2 .
It is obtained by Equation (19) that
ω = n 2 + n 2 2 θ .
To determine the key conclusions of this section, the following assumptions are essential.
Assumption 4.
Equation (20) has no positive real roots.
Assumption 5.
There exists at least one positive real root of Equation (20).
From Assumption 5, with the help of Equation (18), it can be obtained that
η ( κ ) = 1 ω arccos n cos θ π 2 + n sin θ π 2 ω θ + 2 κ π , κ = 0 , 1 , 2 ,
System (6)’s bifurcation point is defined as follows:
η 0 = min η ( κ ) , κ = 0 , 1 , 2 ,
where η ( κ ) is defined by Equation (21).
Next, we will discuss the stability of system (6) when η = 0 . The following Lemma 5 can be obtained and defined:
D 1 = B 1 , D 2 = B 1 1 B 3 B 2 , D 3 = B 1 1 0 B 3 B 2 B 1 B 5 B 4 B 3 , D 4 = B 1 1 0 0 B 3 B 2 B 1 0 B 5 B 4 B 3 B 2 0 B 6 B 5 B 4 ,
D 5 = B 1 1 0 0 0 B 3 B 2 B 1 1 0 B 5 B 4 B 3 B 2 B 1 0 B 6 B 5 B 4 B 3 0 0 0 B 6 B 5 , D 6 = B 6 D 5 .
Lemma 5.
If D i > 0 ( i = 1 , 2 , 3 , 4 , 5 , 6 ) holds true at η = 0 , then system (6) is locally asymptotically stable, where the definition of D i is as given above.
Proof. 
When η = 0 , the characteristic Equation (13) can be rewritten as
λ 6 + B 1 λ 5 + B 2 λ 3 + B 3 λ 3 + B 4 λ 2 + B 5 λ + B 6 = 0
If the condition D i > 0 is satisfied, then it is evident that all roots λ i fulfil the condition arg λ i > θ π / 2 ( i = 1 , 2 , 3 , 4 , 5 , 6 ) . According to Lemma 4, it is straightforward to conclude that when η = 0 , system (6) is globally asymptotically stable. □
To identify the conditions under which a Hopf bifurcation takes place, we make the following necessary assumption:
Assumption 6.
N 1 M 1 + N 2 M 2 M 1 2 + M 2 2 0 ,
where N 1 , N 2 , M 1 , M 2 are defined by Appendix B.
Lemma 6.
Assume that s ( η ) = μ ( η ) + i ω ( η ) is the root of Equation (14) in the vicinity of η = η j , and satisfying v η j = 0 , ω η j = ω 0 , then the following transversality condition holds:
Re d s d η η = η 0 , ω = ω 0 0 ,
where η 0 and ω 0 represent the bifurcation point and the critical frequency of system (6).
Proof. 
Differentiating both sides of Equation (13) with respect to η yields
6 θ s 6 θ 1 d s d η + B 1 5 θ s 5 θ 1 e s η d s d η + s 5 θ e s η η d s d η s + B 2 4 θ s 4 θ 1 e 2 s η d s d η + s 4 θ e 2 s η 2 η d s d η 2 s + B 3 3 θ s 3 θ 1 e 3 s η d s d η + s 3 θ e 3 s η 3 η d s d η 3 s + B 4 2 θ s 2 θ 1 e 4 s η d s d η + s 2 θ e 4 s η 4 η d s d η 4 s + B 5 θ s θ 1 e 5 s η d s d η + s θ e 5 s η 5 η d s d η 5 s + B 6 e 6 s η 6 η d s d η 6 s = 0 .
Simplifying Equation (23), we obtain
d s d η = N ( s ) M ( s ) ,
where
N ( s ) = s B 1 s 5 θ e s η + 2 B 2 s 4 θ e 2 s η + 3 B 3 s 3 θ e 3 s η + 4 B 4 s 2 θ e 4 s η + 5 B 5 s θ e 5 s η + 6 B 6 e 6 s η , M ( s ) = 6 θ s 6 θ 1 + B 1 5 θ s 5 θ 1 η s 5 θ e s η + B 2 4 θ s 4 θ 1 2 η s 4 θ e 2 s η + B 3 3 θ s 3 θ 1 3 η s 3 θ e 3 s η + B 4 2 θ s 2 θ 1 4 η s 2 θ e 4 s η + B 5 θ s θ 1 5 η s θ e 5 s η 6 B 6 η e 6 s η .
From Equation (24), it can be inferred that
Re d s d η η = η 0 , ω = ω 0 = Re N ( s ) M ( s ) η = η 0 , ω = ω 0 = N 1 M 1 + N 2 M 2 M 1 2 + M 2 2 0 .
According to Assumption 6, we determine that the transversality condition holds. This concludes the proof of Lemma 6. □
According to Assumptions 1, 4 and 5, and Lemmas 3, 5 and 6 holding, the following theorem can be derived:
Theorem 3.
For system (10), the following results hold:
(i) 
If Assumptions 1 and 4 and Lemma 3 are satisfied, then the zero equilibrium point is global asymptotically stable for η [ 0 , + ) .
(ii) 
If Assumptions 1 and 5, and Lemmas 5 and 6 hold, then
(a) 
The zero equilibrium point is locally asymptotically stable for η 0 , η 0 .
(b) 
When η = η 0 , system (6) undergoes a Hopf bifurcation at the origin, that is, there is a periodic solution branch near η = η 0 that bifurcates from the zero equilibrium point.
Remark 2.
In [25], the authors discussed Hopf bifurcation of neural networks of integer order. However, we are talking about Hopf bifurcations of fractional neural networks, and the corresponding characteristic equations are also complex to compute. To solve this problem, we use Cayley–Dickson construction to transform the system into an equivalent complex-valued system, and Coates’s flow-graph formula is used to solve the higher-order characteristic equations of the related linearized system. Moreover, these methods can be extended to the study of octonion neural networks.
If there is no leakage delay, then system (10) becomes
D θ x ˘ 1 1 ( t ) = k x ˘ 1 1 ( t ) + m 11 1 f 11 1 ( x 2 ( t η ) ) m 11 2 f 11 2 ( x 2 ( t η ) ) + m 12 1 f 12 1 ( x 3 ( t η ) ) m 12 2 f 12 2 ( x 3 ( t η ) ) , D θ x ˘ 1 2 ( t ) = k x ˘ 1 2 ( t ) + m 11 1 f 11 2 ( x 2 ( t η ) ) + m 11 2 f 11 1 ( x 2 ( t η ) ) + m 12 1 f 12 2 ( x 3 ( t η ) ) + m 12 2 f 12 1 ( x 3 ( t η ) ) , D θ x ˘ 2 1 ( t ) = k x ˘ 2 1 ( t ) + m 21 1 f 21 1 ( x 1 ( t η ) ) m 21 2 f 21 2 ( x 1 ( t η ) ) + m 22 1 f 22 1 ( x 3 ( t η ) ) m 22 2 f 22 2 ( x 3 ( t η ) ) , D θ x ˘ 2 2 ( t ) = k x ˘ 2 2 ( t ) + m 11 1 f 11 2 ( x 1 ( t η ) ) + m 11 2 f 11 1 ( x 1 ( t η ) ) + m 12 1 f 12 2 ( x 3 ( t η ) ) + m 12 2 f 12 1 ( x 3 ( t η ) ) , D θ x ˘ 3 1 ( t ) = k x ˘ 3 1 ( t ) + m 31 1 f 31 1 ( x 1 ( t η ) ) m 31 2 f 31 2 ( x 1 ( t η ) ) + m 32 1 f 32 1 ( x 2 ( t η ) ) m 32 2 f 32 2 ( x 2 ( t η ) ) , D θ x ˘ 3 2 ( t ) = k x ˘ 3 2 ( t ) + m 31 1 f 31 2 ( x 1 ( t η ) ) + m 31 2 f 31 1 ( x 1 ( t η ) ) + m 32 1 f 32 2 ( x 2 ( t η ) ) + m 32 2 f 32 1 ( x 2 ( t η ) ) ,
We utilize the previously established analytical method to examine the stability and bifurcation issues of system (25) in the absence of leakage delay, treating the communication delay as the bifurcation parameter. Additionally, we derive the criteria that lead to bifurcation due to this delay. It is evident that, based on Assumption 1, the origin serves as the equilibrium point for system (25). The linear representation of system (25) at the origin is as follows:
D θ x ˘ 1 1 ( t ) = k x ˘ 1 1 ( t ) + α 11 x ˘ 2 1 ( t η ) + α 12 x ˘ 2 2 ( t η ) + α 13 x ˘ 3 1 ( t η ) + α 14 x ˘ 3 2 ( t η ) , D θ x ˘ 1 2 ( t ) = k x ˘ 1 2 ( t ) + α 21 x ˘ 2 1 ( t η ) + α 22 x ˘ 2 2 ( t η ) + α 23 x ˘ 3 1 ( t η ) + α 24 x ˘ 3 2 ( t η ) , D θ x ˘ 2 1 ( t ) = k x ˘ 2 1 ( t ) + α 31 x ˘ 1 1 ( t η ) + α 32 x ˘ 1 2 ( t η ) + α 33 x ˘ 3 1 ( t η ) + α 34 x ˘ 3 2 ( t η ) , D θ x ˘ 2 2 ( t ) = k x ˘ 2 2 ( t ) + α 41 x ˘ 1 1 ( t η ) + α 42 x ˘ 1 2 ( t η ) + α 43 x ˘ 3 1 ( t η ) + α 44 x ˘ 3 2 ( t η ) , D θ x ˘ 3 1 ( t ) = k x ˘ 3 1 ( t ) + α 51 x ˘ 1 1 ( t η ) + α 52 x ˘ 1 2 ( t η ) + α 53 x ˘ 2 1 ( t η ) + α 54 x ˘ 2 2 ( t η ) , D θ x ˘ 3 2 ( t ) = k x ˘ 3 2 ( t ) + α 61 x ˘ 1 1 ( t η ) + α 62 x ˘ 1 2 ( t η ) + α 63 x ˘ 2 1 ( t η ) + α 64 x ˘ 2 2 ( t η ) ,
where α i j ( i = 1 , 2 , , 6 ; j = 1 , 2 , 3 , 4 ) is defined by Equation (11).
The corresponding characteristic equation for system (26) is
det s θ + k 0 α 11 e s η α 12 e s η α 13 e s η α 14 e s η 0 s θ + k α 21 e s η α 22 e s η α 23 e s η α 24 e s η α 31 e s η α 32 e s η s θ + k 0 α 33 e s η α 34 e s η α 41 e s η α 42 e s η 0 s θ + k α 43 e s η α 44 e s η α 51 e s η α 52 e s η α 53 e s η α 54 e s η s θ + k 0 α 61 e s η α 62 e s η α 63 e s η α 64 e s η 0 s θ + k = 0 .
Equation (27) is equivalent to
s θ + k 6 + A 1 s θ + k 4 e 2 s η + A 2 s θ + k 3 e 3 s η + A 3 s θ + k 2 e 4 s η + A 4 s θ + k e 5 s η + A 5 e 6 s η = 0 ,
where A 1 , A 2 , A 3 , A 4 , A 5 are defined by Appendix A.
Multiplying both sides of Equation (28) by e 6 s η yields
s θ + k e s η 6 + A 1 s θ + k e s η 4 + A 2 s θ + k e s η 3 + A 3 s θ + k e s η 2 + A 4 s θ + k e s η + A 5 = 0 .
Assuming P ^ = s θ + k e s η in Equation (29), then we have
P ^ 6 + A 1 P ^ 4 + A 2 P ^ 3 + A 3 P ^ 2 + A 4 P ^ + A 5 = 0 .
Since A i is constant, all roots P ^ i ( i = 1 , 2 , 3 , 4 , 5 , 6 ) in Equation (30) can be determined.
Denote the six roots of Equation (30) as
P ^ n = ^ n + i ^ n , ( n = 1 , 2 , 3 , 4 , 5 , 6 )
where ^ n and ^ n represent the real and imaginary components of P ^ n , respectively.
  • Therefore, we can obtain
    s θ + k e s η = P ^ .
Let s = i ϖ = ϖ cos π 2 + i sin π 2 ( ϖ > 0 ) represent a purely imaginary solution to Equation (31). By substituting this expression into Equation (31) and then isolating the real and imaginary components, we obtain
ϖ θ cos θ π 2 + k cos ϖ η ϖ θ sin θ π 2 sin ϖ η = ^ n , ϖ θ sin θ π 2 cos ϖ η + ϖ θ cos θ π 2 + k sin ϖ η = ^ n .
Upon resolving Equation (32), it follows that
cos ϖ η = Y 1 ( ϖ ) , sin ϖ η = Y 2 ( ϖ ) ,
where
Y 1 ( ϖ ) = ^ n ϖ θ cos θ π 2 + k + ^ n ϖ θ sin θ π 2 ϖ 2 θ + 2 k ϖ cos θ π 2 + k 2 , Y 2 ( ϖ ) = ^ n ϖ θ cos θ π 2 + k ^ n ϖ θ sin θ π 2 ϖ 2 θ + 2 k ϖ cos θ π 2 + k 2 .
From sin 2 ϖ η + cos 2 ϖ η = 1 , Equation (33) can be transformed into
ϖ 2 θ + 2 k ϖ θ cos θ π 2 + k 2 ^ n 2 ^ n 2 = 0 .
Next, we will explore whether Equation (34) has positive real roots.
Lemma 7.
For Equation (34), the following conclusions are drawn:
(1) 
When k 2 ^ n 2 + ^ n 2 , Equation (34) does not have any positive real roots.
(2) 
When k 2 < ^ n 2 + ^ n 2 , Equation (34) results in six positive real roots
ϖ n = k cos θ π 2 θ , n = 1 , 2 , , 6 ,
where = ^ n 2 + ^ n 2 k 2 sin θ π 2 .
Proof. 
(1) Let us assume that
G ( ϖ ) = ϖ 2 θ + 2 k ϖ θ cos θ π 2 + k 2 ^ n 2 ^ n 2 .
It follows from k > 0 and cos θ π 2 > 0 that ϖ 2 θ + 2 d ϖ θ cos θ π 2 > 0 . From k 2 ^ n 2 + ^ n 2 , we have G ( ϖ ) > 0 . Therefore, there are no positive real roots of Equation (34).
(2) From Equation (36) we can obtain
G ( 0 ) = k 2 ^ n 2 ^ n 2 < 0 ,
and
lim ϖ + G ( ϖ ) = + .
For ϖ ( 0 , + ) , Equations (37) and (38) imply the existence of at least one positive real root for G ( ϖ ) = 0 .
  • According to Equation (36), it is possible to derive
    G ( ϖ ) = 2 θ ϖ 2 θ 1 + 2 θ k ϖ θ 1 cos θ π 2 .
    Observing the conditions 0 < θ 1 , ϖ > 0 , and k > 0 , we deduce that G ( ϖ ) > 0 . Consequently, G ( ϖ ) exhibits a monotonic rise within the interval ( 0 , + ) . This indicates that the positive real root of the equation G ( ϖ ) = 0 is singular. Therefore, Equation (34) yields six positive solutions. This leads to the conclusion stated in (2). We then proceed to identify the positive roots of ϖ n , as outlined in Equation (35). With this, the proof of Lemma 7 is successfully concluded. □
On account of cos ϖ η = Y 1 ( ϖ ) , it is obvious that
η ( ι ) = 1 ϖ arccos Y 1 ( ϖ ) + 2 ι π , ι = 0 , 1 , 2 , 3 , .
The bifurcation point for system (25) is defined as follows:
η 0 * = min η ( ι ) , ι = 0 , 1 , 2 , 3 ,
where η ( ι ) are defined by Equation (39).
In order to identify the conditions under which Hopf bifurcation occurs, we introduce the following necessary assumption:
Assumption 7.
U 1 V 1 + U 2 V 2 V 1 2 + V 2 2 0 ,
where U 1 , U 2 , V 1 , V 2 are defined by Appendix C.
Lemma 8.
Assume that s ( η ) = v ( η ) + i ϖ ( η ) is the root of Equation (28) in the vicinity of η = η j , and satisfying v η j = 0 , and ϖ η j = ϖ 0 , then the following transversality condition holds:
Re d s d η η = η 0 * , ϖ = ϖ 0 0 ,
where η 0 * and ϖ 0 denote the the bifurcation point and critical frequency of system (25), respectively.
Proof. 
Taking the derivative of both sides of Equation (28) with respect to η , we obtain
6 θ s θ + k 5 s θ 1 d s d η + A 1 4 θ s θ + k 3 s θ 1 d s d η e 2 s η + s θ + k 4 e 2 s η 2 η d s d η 2 s + A 2 3 θ s θ + k 2 s θ 1 d s d η e 3 s η + s + k θ 3 e 3 s η 3 η d s d η 3 s
+ A 3 2 θ s θ + k s θ 1 d s d η e 4 s η + s + k θ 2 e 2 s η 4 η d s d η 4 s + A 4 θ s θ s θ 1 d s d η e 5 s η + s + k θ e 5 s η 5 η d s d η 5 s + A 5 e 6 s η 6 η d s d η 6 s .
Simplifying Equation (40), we obtain
d s d η = U ( s ) V ( s ) ,
where
U ( s ) = s 2 A 1 s θ + k 4 e 2 s η + 3 A 2 s θ + k 3 e 3 s η + 4 A 3 s θ + k 2 e 4 s η + 5 A 4 s θ + k e 5 s η + 6 A 5 e 6 s η , V ( s ) = 6 θ s θ + k 5 s θ 1 + A 1 4 θ s θ 1 s θ + k 3 2 η s θ + k 4 e 2 s η + A 2 3 θ s θ 1 s θ + k 2 3 η s θ + k 3 e 3 s η + A 3 2 θ s θ 1 s θ + k 4 η s θ + k 2 e 4 s η + A 4 θ s θ 1 5 η s θ + k e 5 s η 6 A 5 η e 6 s η .
From Equation (41), it can be inferred that
Re d s d η η = η 0 * , ϖ = ϖ 0 = Re U ( s ) V ( s ) η = η 0 * , ϖ = ϖ 0 = U 1 V 1 + U 2 V 2 V 1 2 + V 2 2 0 ,
According to the Assumption 7, we conclude that the transverse condition is satisfied. Thus, the proof of Theorem 8 is completed. □
From the aforementioned analysis, along with Assumptions 1 and 7 and Lemmas 3, 5, 7 and 8, the following theorem can be concluded.
Theorem 4.
The following conclusions can be drawn about system (25):
(i) 
The zero equilibrium point is globally asymptotically stable for η [ 0 , + ) provided Assumption 1, Lemma 3, and the first conclusion in Lemma 7 are satisfied.
(ii) 
If Assumptions 1 and 7, Lemma 5, and the second conclusion in Lemmas 7 and 8 are satisfied, then
(a) 
The zero equilibrium point exhibits local asymptotic stability within the interval η 0 , η 0 * .
(b) 
When η = η 0 * , system (25) undergoes a Hopf bifurcation at the origin, i.e., it bifurcates from a periodic solution branch at η = η 0 * near the zero equilibrium point.

6. Numerical Simulation

In this part, we present numerical examples to illustrate the credibility of our theoretical findings. The results from our simulations are derived from the Adams–Bashforth–Moulton predictor–corrector method [36], utilizing a step size of h = 0.01.
Consider the following FQVNNs:
D θ x 1 ( t ) = k x 1 t η 1 + m 11 t a n h x 2 t η 2 + m 12 t a n h x 3 t η 2 , D θ x 2 ( t ) = k x 2 t η 1 + m 21 t a n h x 1 t η 2 + m 22 t a n h x 3 t η 2 , D θ x 3 ( t ) = k x 3 t η 1 + m 31 t a n h x 1 t η 2 + m 32 t a n h x 2 t η 2 ,
where θ = 0.82 , k = 3 , m 11 = 1 0.8 i + 1 j + 0.5 k , m 12 = 1 0.4 i 1 j + 0.8 k , m 21 = 1 0.9 i 1 j + 0.9 k , m 22 = 1 + 0.7 i 1 j 0.5 k , m 31 = 1 + 0.3 i 1 j + 0.4 k , m 32 = 1 0.3 i j 0.7 k .
One can readily deduce that model (42) possesses a zero equilibrium point. Using Matlab to program according to the reasoning process in Section 5, and inputting the data, the characteristic equation can be obtained:
s 6 θ + 18 s 5 θ e s η + ( 137.54 + 3.2 i ) s 4 θ e 2 s η + ( 562.5 + 28.718 i ) s 3 θ e 3 s η + ( 1285.0 + 84.586 i ) s 2 θ e 4 s η + ( 1561.7 + 51.018 i ) s θ e 5 s η + ( 808.2 51.448 i ) e 6 s η = 0 .
By solving the characteristic (43) roots, we obtain P 1 = 0.5511 0.4253 i , P 2 = 0.5013 + 0.0739 i , P 3 = 0.2573 + 0.1827 i 4 , P 4 = 0.2152 + 0.1258 i , P 5 = 0.2129 0.0555 i , and P 6 = 0.1827 0.0869 i . We separate the real and imaginary parts in sequence and substitute them into Equation (20) to verify Assumption 5. This allows us to determine the bifurcation frequency and bifurcation point. From the characteristic Equation (43), we can obtain the value of B i ( i = 1 , 2 , 3 , 4 , 5 , 6 ) , and after calculation, we verify that D i > 0 ( i = 1 , 2 , 3 , 4 , 5 , 6 ) in Lemma 5. Then, we take the derivative of the characteristic equation with respect to tau, substitute the required data to verify that Assumption 6 holds, and thus Lemma 6 also holds.
Thus, the second conclusion of Theorem 3 is satisfied, and from Equation (22), we obtain the bifurcation point η 0 = 0.2 , which also can be given by Figure 1. From Figure 1, we can see that when η < η 0 = 0.2 , the system is locally asymptotically stable at the zero equilibrium point. When η 0 = 0.2 , x ˘ 1 1 exhibits Hopf bifurcation. As η increases, the Hopf bifurcation of x ˘ 1 1 shows a trend of inflection points and increasing amplitude.
To better explain the conclusions obtained, we select η = 0.18 to perform numerical simulations, and plot the fluctuation diagrams and phase diagrams of all state variables of the system. To reduce the length of the paper, only the fluctuation diagrams and phase diagrams of the state variable x ˘ 1 1 are provided in the text. The increasing fluctuations of the state variables x ˘ 1 1 in Figure 2 tend to stabilize over time, indicating that the system is locally asymptotic stable at the origin. Figure 3 also demonstrates from the phase trajectory characteristics that the system is locally stable at the origin.
When η = 0.28 > η 0 = 0.20 , the fluctuation rate of the state variables x ˘ 1 1 at zero equilibrium point is shown in Figure 4, and the phase trajectory in Figure 5 presents a complex ring structure, which indicates that the equilibrium point of the system becomes unstable and generates a limit cycle, which marks the occurrence of Hopf bifurcation in the system.
In addition, we studied how the order affects the bifurcation point; as shown in Figure 6, the increase in the fractional order θ leads to a corresponding increase in the bifurcation point value η 0 , indicating that with the increase in the order, the emergence of Hopf bifurcation will cause the delay to appear.
Next, we discuss the bifurcation problem for the leakage-free delay system (25). All parameters are sourced directly from system (42) followed by
D θ x 1 ( t ) = k x 1 t + m 11 t a n h x 2 t η 2 + m 12 t a n h x 3 t η 2 , D θ x 2 ( t ) = k x 2 t + m 21 t a n h x 1 t η 2 + m 22 t a n h x 3 t η 2 , D θ x 3 ( t ) = k x 3 t + m 31 t a n h x 1 t η 2 + m 32 t a n h x 2 t η 2 ,
By substituting data into the derivation process of Section 5, it is found that Equation (34) has no positive real roots, thereby establishing the first conclusion of Lemma 7, and thus satisfying the first conclusion of Theorem 4. This implies that system (44)’s zero equilibrium point has global asymptotic stability within the range of η [ 0 , + ) .
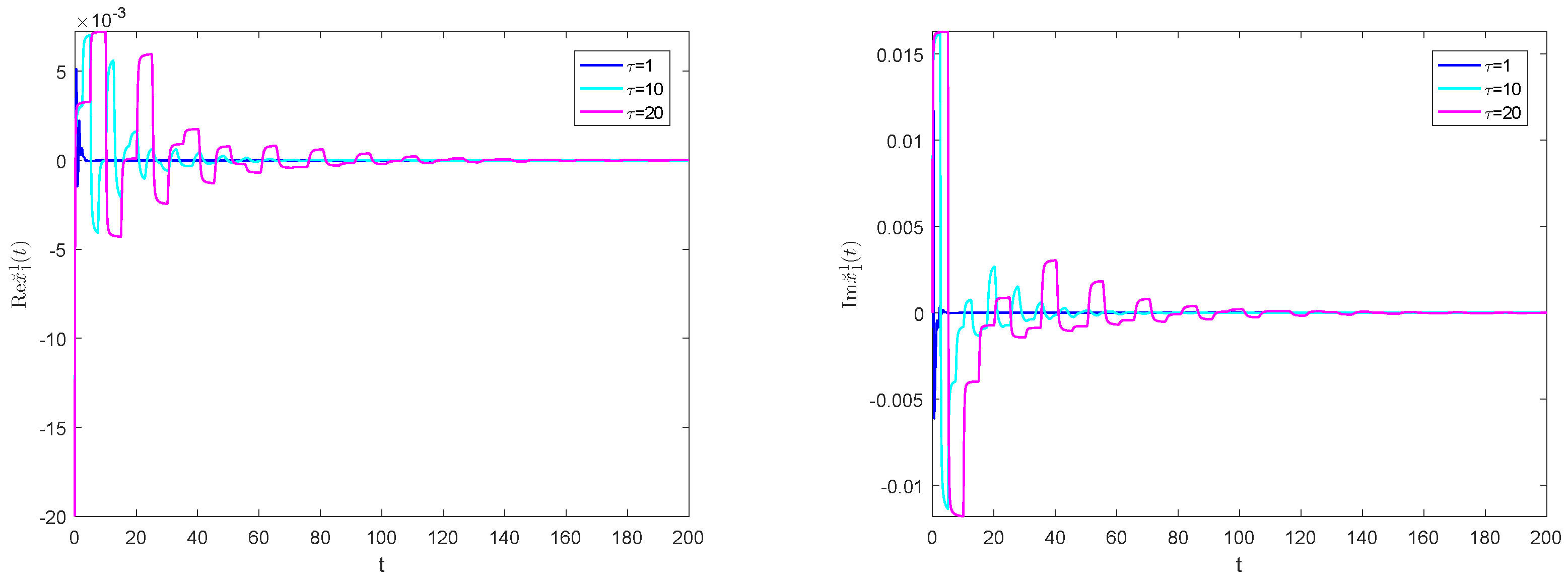
We conducted numerical simulations with η = 1 , η = 10 , and η = 20 , and plotted the fluctuation diagrams and phase diagrams of all state variables of system (44). To reduce the length of the paper, only the fluctuation diagrams and phase diagrams of the state variable x ˘ 1 1 are provided in the text. Figure 7 shows that when η takes different values, the fluctuations of state variable x ˘ 1 1 at the system (44)’s zero equilibrium point become smoother as time is delayed. Figure 8 also demonstrates that when η takes different values, the phase trajectory of state variable x ˘ 1 1 at system (44)’s zero equilibrium point gradually converges to 0, thus indicating that the system is globally asymptotically stable at the zero equilibrium point.

7. Conclusions

Building upon the foundational work of our predecessors, we have developed a fractional-order quaternion neural network that incorporates both leakage and communication delays. Our research has confirmed the existence, uniqueness, and stability of the proposed solutions for this quaternion fractional-order delay ring neural network. Utilizing the stability theory of fractional-order differential systems alongside the criteria for Hopf bifurcation, we have thoroughly analyzed the stability and Hopf bifurcation phenomena associated with our fractional-order quaternion-valued neural network model. Our findings indicate that time delay plays a crucial role in influencing the stability region and the timing of Hopf bifurcation in this model. Additionally, we observed that the order of the fractional component also affects both the stability region and the occurrence of bifurcation. These theoretical insights are invaluable for guiding the numerical analysis of quaternion fractional-order neural networks in real-world applications. Looking ahead, we aim to leverage these theories to investigate the stability and bifurcation challenges of fractional-order delayed quaternion neural networks featuring multiple neural rings, as well as to explore similar issues in circular fractional-order delayed octonion neural networks with multiple neural rings. In the subsequent work, we will further explore the system for the case of n-agents, dedicated to finding a more subtle and systematic method to deeply analyze the stability of the system and accurately study the Hopf bifurcation, in an effort to open up new avenues for the research on the dynamical characteristics of this complex system and to provide valuable insights and methods for the theoretical development of related fields.

Author Contributions

Conceptualization, Q.W.; methodology, T.L. and Y.W.; software, X.T. All authors have read and agreed to the published version of the manuscript.

Funding

This work is partly supported by the Scientific Research and Innovation Team Program of the Sichuan University of Science and Engineering (Grant No. SUSE652B002).

Data Availability Statement

Data are contained within the article.

Conflicts of Interest

The authors declare that they have no competing interests.

Appendix A

A 1 = α 33 α 53 α 34 α 63 α 11 α 31 α 21 α 32 α 12 α 41 α 13 α 51 α 14 α 61 α 22 α 42 α 24 α 52 α 24 α 62 α 43 α 54 α 44 α 64 ,
A 2 = α 13 α 31 α 53 + α 24 α 32 α 53 + α 11 α 33 α 5 , 1 + α 21 α 33 α 5 , 2 + α 24 α 32 α 63 + α 14 α 31 α 63 + α 11 α 34 α 61 + α 21 α 34 α 62 + α 22 α 44 α 6 , 2 + α 2 , 4 α 42 α 64 + α 12 α 43 α 51 + α 13 α 41 α 54 + α 22 α 43 α 52 + α 24 α 42 α 54 + α 12 α 44 α 61 + α 14 α 41 α 64 ,
A 3 = α 34 α 43 α 54 α 63 α 12 α 31 α 44 α 63 α 22 α 32 α 44 α 63 + α 12 α 34 α 41 α 63 + α 13 α 34 α 51 α 63 α 14 α 33 α 51 α 63 + α 22 α 34 α 42 α 63 α 13 α 22 α 41 α 52 α 13 α 44 α 54 α 61 + α 14 α 43 α 54 α 61 + α 24 α 43 α 54 α 62 α 24 α 44 α 54 α 62 α 12 α 24 α 42 α 61 + α 13 α 44 α 51 α 64 α 14 α 22 α 41 α 62 α 14 α 43 α 51 α 64 α 24 α 43 α 52 α 64 + α 24 α 44 α 52 α 64 + α 12 α 24 α 41 α 52 + α 12 α 24 α 41 α 62 + α 13 α 22 α 42 α 51 + α 13 α 24 α 51 α 62 α 13 α 24 α 52 α 61 + α 14 α 22 α 42 α 61 α 14 α 24 α 51 α 62 + α 14 α 24 α 52 α 61 α 24 α 33 α 52 α 63 + α 24 α 34 α 52 α 63 α 11 α 24 α 32 α 61 α 14 α 21 α 31 α 62 α 12 α 24 α 42 α 51 + α 12 α 21 α 32 α 41 + α 13 α 21 α 32 α 51 + α 14 α 21 α 32 α 61 + α 11 α 22 α 31 α 42 + α 11 α 24 α 31 α 52 + α 11 α 24 α 31 α 62 + α 11 α 31 α 43 α 54 + α 21 α 32 α 43 α 54 + α 11 α 31 α 44 α 64 + α 21 α 32 α 44 α 64 α 11 α 22 α 32 α 41 α 11 α 33 α 41 α 54 α 11 α 34 α 41 α 64 α 12 α 21 α 31 α 42 α 21 α 33 α 42 α 54 α 21 α 34 α 42 α 64 + α 33 α 44 α 53 α 64 α 34 α 43 α 53 α 64 α 12 α 31 α 43 α 53 α 22 α 32 α 43 α 53 + α 12 α 33 α 41 α 53 α 13 α 34 α 53 α 61 + α 14 α 33 α 53 α 61 + α 22 α 33 α 42 α 53 + α 24 α 33 α 53 α 62 α 24 α 34 α 53 α 62 α 13 α 21 α 31 α 52 α 11 α 24 α 32 α 51 α 33 α 44 α 54 α 63 ,
A 4 = α 11 α 34 α 43 α 51 α 64 α 21 α 33 α 44 α 52 α 64 + α 21 α 34 α 43 α 52 α 64 + α 12 α 21 α 31 α 43 α 52 + α 11 α 22 α 32 α 43 α 51 α 12 α 21 α 33 α 41 α 52 + α 13 α 21 α 34 α 52 α 61 α 14 α 21 α 33 α 52 α 61 α 11 α 22 α 33 α 42 α 51 α 11 α 24 α 33 α 51 α 62 + α 11 α 24 α 34 α 51 α 62 α 12 α 33 α 44 α 53 α 61 α 11 α 22 α 31 α 44 α 62 α 11 α 24 α 31 α 42 α 64 α 12 α 21 α 32 α 43 α 51 α 13 α 21 α 32 α 41 α 54 α 11 α 22 α 31 α 43 α 52 α 11 α 24 α 31 α 42 α 54 α 12 α 21 α 32 α 44 α 61 α 14 α 21 α 32 α 41 α 64 α 12 α 24 α 43 α 51 α 62 + α 12 α 24 α 44 α 51 α 62 + α 13 α 22 α 44 α 52 α 61 α 13 α 24 α 41 α 54 α 62 + α 13 α 24 α 42 α 54 α 61 α 14 α 22 α 43 α 52 α 61 + α 14 α 24 α 41 α 54 α 62 α 14 α 24 α 42 α 54 α 61 + α 12 α 24 α 43 α 52 α 61 α 12 α 24 α 44 α 52 α 61 α 13 α 24 α 31 α 53 α 62 + α 13 α 24 α 32 α 53 α 61 + α 14 α 24 α 31 α 53 α 62 α 14 α 24 α 32 α 53 α 61 + α 11 α 33 α 44 α 54 α 61 + α 21 α 33 α 44 α 54 α 62 α 11 α 34 α 43 α 54 α 61 α 21 α 34 α 43 α 54 α 62 + α 12 α 21 α 31 α 44 α 62 + α 11 α 22 α 32 α 44 α 61 α 12 α 21 α 34 α 41 α 62 α 13 α 21 α 34 α 51 α 62 + α 14 α 21 α 33 α 51 α 62 α 11 α 22 α 34 α 42 α 61 + α 11 α 24 α 33 α 52 α 61 α 11 α 24 α 34 α 52 α 61 α 12 α 34 α 43 α 51 α 63 + α 13 α 31 α 44 α 54 α 63 α 13 α 34 α 41 α 54 α 63 α 14 α 31 α 43 α 54 α 63 + α 14 α 33 α 41 α 54 α 63 + α 22 α 33 α 44 α 52 α 63 α 22 α 34 α 43 α 52 α 63 α 24 α 32 α 43 α 54 α 63 α 13 α 22 α 44 α 51 α 62 + α 13 α 24 α 41 α 52 α 64
α 13 α 24 α 42 α 51 α 64 + α 14 α 22 α 43 α 51 α 62 α 14 α 24 α 41 α 52 α 64 + α 14 α 24 α 42 α 51 α 64 + α 11 α 22 α 33 α 41 α 52 + α 11 α 22 α 34 α 41 α 62 + α 11 α 24 α 32 α 41 α 54 + α 11 α 24 α 32 α 41 α 64 + α 12 α 21 α 33 α 42 α 51 + α 12 α 21 α 34 α 42 α 61 + α 13 α 21 α 31 α 42 α 54 + α 14 α 21 α 31 α 42 α 64 α 11 α 33 α 44 α 51 α 64 + α 24 α 32 α 44 α 54 α 63 + α 24 α 33 α 42 α 54 α 63 α 24 α 34 α 42 α 54 α 63 + α 14 α 22 α 32 α 41 α 63 + α 13 α 24 α 31 α 52 α 63 α 13 α 24 α 32 α 51 α 63 α 14 α 22 α 31 α 42 α 63 α 14 α 24 α 31 α 52 α 63 + α 14 α 24 α 32 α 51 α 63 + α 12 α 24 α 31 α 42 α 63 α 12 α 24 α 32 α 41 α 63 + α 12 α 33 α 44 α 51 α 63 + α 12 α 34 α 43 α 53 α 61 α 13 α 31 α 44 α 53 α 64 + α 13 α 34 α 41 α 53 α 64 + α 14 α 31 α 43 α 53 α 64 α 14 α 33 α 41 α 53 α 64 α 22 α 33 α 44 α 53 α 62 + α 22 α 34 α 43 α 53 α 62 + α 24 α 32 α 43 α 53 α 64 α 24 α 32 α 44 α 53 α 64 α 24 α 33 α 42 α 53 α 64 + α 24 α 34 α 42 α 53 α 64 + α 12 α 24 α 31 α 42 α 53 + α 13 α 22 α 32 α 41 α 53 α 12 α 24 α 32 α 41 α 53 α 13 α 22 α 31 α 42 α 53 ,
A 5 = α 12 α 24 α 31 α 43 α 53 α 62 α 11 α 24 α 33 α 41 α 52 α 64 + α 11 α 24 α 33 α 41 α 54 α 62 + α 11 α 24 α 34 α 41 α 52 α 64 α 11 α 24 α 34 α 41 α 54 α 62 + α 13 α 21 α 34 α 42 α 51 α 64 α 13 α 21 α 34 α 42 α 54 α 61 α 14 α 21 α 33 α 42 α 51 α 64 + α 14 α 21 α 33 α 42 α 54 α 61 + α 13 α 21 α 32 α 44 α 54 α 61 α 14 α 21 α 32 α 43 α 54 α 61 α 11 α 24 α 31 α 43 α 54 α 62 + α 11 α 24 α 31 α 44 α 54 α 62 α 13 α 21 α 32 α 44 α 51 α 64 + α 14 α 21 α 32 α 43 α 51 α 64 + α 11 α 24 α 31 α 43 α 52 α 64 α 11 α 24 α 31 α 44 α 52 α 64 + α 12 α 24 α 33 α 41 α 52 α 63 α 12 α 24 α 34 α 41 α 52 α 63 α 13 α 22 α 34 α 42 α 51 α 63 + α 14 α 22 α 33 α 42 α 51 α 63 + α 12 α 24 α 32 α 43 α 51 α 63 α 12 α 24 α 32 α 44 α 51 α 63 α 12 α 24 α 33 α 42 α 51 α 63 + α 12 α 24 α 34 α 42 α 51 α 63 α 13 α 22 α 31 α 44 α 52 α 63 + α 13 α 22 α 34 α 41 α 52 α 63 + α 12 α 21 α 33 α 44 α 52 α 61 α 12 α 21 α 34 α 43 α 52 α 61 + α 13 α 21 α 31 α 44 α 52 α 64 α 13 α 21 α 34 α 41 α 52 α 64 α 14 α 21 α 31 α 43 α 52 α 64 + α 14 α 21 α 33 α 41 α 52 α 64 + α 11 α 22 α 33 α 44 α 51 α 62 α 11 α 22 α 34 α 43 α 51 α 62 α 11 α 24 α 32 α 43 α 51 α 64 + α 11 α 24 α 32 α 44 α 51 α 64 + α 11 α 24 α 33 α 42 α 51 α 64 α 11 α 24 α 34 α 42 α 51 α 64 α 12 α 24 α 32 α 43 α 53 α 61 + α 12 α 24 α 32 α 44 α 53 α 61 + α 12 α 24 α 33 α 42 α 53 α 61 α 12 α 24 α 34 α 42 α 53 α 61 + α 13 α 22 α 31 α 44 α 53 α 62 α 13 α 22 α 34 α 41 α 53 α 62 + α 13 α 24 α 31 α 42 α 53 α 64 α 13 α 24 α 32 α 41 α 53 α 64 α 14 α 22 α 31 α 43 α 53 α 62 + α 14 α 22 α 33 α 41 α 53 α 62 α 14 α 24 α 31 α 42 α 53 α 64 + α 14 α 24 α 32 α 41 α 53 α 64 α 13 α 24 α 31 α 42 α 54 α 63 + α 13 α 24 α 32 α 41 α 54 α 63 + α 14 α 22 α 31 α 43 α 52 α 63 α 14 α 22 α 33 α 41 α 52 α 63 + α 14 α 24 α 31 α 42 α 54 α 63 α 12 α 24 α 31 α 44 α 53 α 62 α 13 α 22 α 32 α 44 α 53 α 61 + α 14 α 22 α 32 α 43 α 53 α 61 α 12 α 24 α 33 α 41 α 53 α 62 + α 12 α 24 α 34 α 41 α 53 α 62 + α 13 α 22 α 34 α 42 α 53 α 61 α 14 α 22 α 33 α 42 α 53 α 61 + α 12 α 21 α 34 α 43 α 51 α 62 α 13 α 21 α 31 α 44 α 54 α 62 + α 13 α 21 α 34 α 41 α 54 α 62 + α 14 α 21 α 31 α 43 α 54 α 62 α 14 α 21 α 33 α 41 α 54 α 62 α 11 α 22 α 33 α 44 α 52 α 61 + α 11 α 22 α 34 α 43 α 52 α 61 + α 11 α 24 α 32 α 43 α 54 α 61 α 11 α 24 α 32 α 44 α 54 α 61 α 11 α 24 α 33 α 42 α 54 α 61 + α 11 α 24 α 34 α 42 α 54 α 61 α 12 α 21 α 33 α 44 α 51 α 62 α 14 α 24 α 32 α 41 α 54 α 63 α 12 α 24 α 31 α 43 α 52 α 63 + α 12 α 24 α 31 α 44 α 52 α 63 + α 13 α 22 α 32 α 44 α 51 α 63 α 14 α 22 α 32 α 43 α 51 α 63 .

Appendix B

N 1 = ω 0 B 1 ω 0 5 θ sin ω 0 η 0 5 θ π 2 + 2 B 2 ω 0 4 θ sin 2 ω 0 η 0 4 θ π 2 + 3 B 3 ω 0 3 θ sin 3 ω 0 η 0 3 θ π 2 + 4 B 4 ω 0 2 θ sin 4 ω 0 η 0 2 θ π 2 + 5 B 5 ω 0 θ sin 5 ω 0 η 0 θ π 2 + B 6 sin ( 6 ω 0 η 0 ) N 2 = ω 0 B 1 ω 0 5 θ cos ω 0 η 0 5 θ π 2 + 2 B 2 ω 0 4 θ cos 2 ω 0 η 0 4 θ π 2 + 3 B 3 ω 0 3 θ cos 3 ω 0 η 0 3 θ π 2 + 4 B 4 ω 0 2 θ cos 4 ω 0 η 0 2 θ π 2 + 5 B 5 ω 0 θ cos 5 ω 0 η 0 θ π 2 + B 6 cos 6 ω 0 η 0 , M 1 = B 1 5 θ ω 0 5 θ 1 cos ω 0 η 0 ( 5 θ 1 ) π 2 η 0 ω 0 5 θ cos ω 0 η 0 + 5 θ π 2 + B 2 4 θ ω 0 4 θ 1 cos ω 0 η 0 ( 4 θ 1 ) π 2 η 0 ω 0 4 θ cos ω 0 η 0 + 4 θ π 2 + B 3 3 θ ω 0 3 θ 1 cos ω 0 η 0 ( 3 θ 1 ) π 2 η 0 ω 0 3 θ cos ω 0 η 0 + 3 θ π 2 + B 4 2 θ ω 0 2 θ 1 cos ω 0 η 0 ( 2 θ 1 ) π 2 η 0 ω 0 2 θ cos ω 0 η 0 + 2 θ π 2 + B 5 θ ω 0 θ 1 cos ω 0 η 0 ( θ 1 ) π 2 η 0 ω 0 θ cos ω 0 η 0 + θ π 2 6 B 6 η 0 cos 6 ω 0 η 0 + 6 θ ω 0 cos ( 6 θ 1 ) π 2 ,
M 2 = B 1 5 θ ω 0 5 θ 1 sin ω 0 η 0 ( 5 θ 1 ) π 2 η 0 ω 0 5 θ sin ω 0 η 0 + 5 θ π 2 B 2 4 θ ω 0 4 θ 1 sin ω 0 η 0 ( 4 θ 1 ) π 2 η 0 ω 0 4 θ sin ω 0 η 0 + 4 θ π 2 B 3 3 θ ω 0 3 θ 1 sin ω 0 η 0 ( 3 θ 1 ) π 2 η 0 ω 0 3 θ sin ω 0 η 0 + 3 θ π 2 B 4 2 θ ω 0 2 θ 1 sin ω 0 η 0 ( 2 θ 1 ) π 2 η 0 ω 0 2 θ sin ω 0 η 0 + 2 θ π 2 B 5 θ ω 0 θ 1 sin ω 0 η 0 ( θ 1 ) π 2 η 0 ω 0 θ sin ω 0 η 0 + θ π 2 + 6 B 6 η 0 sin 6 ω 0 η 0 + 6 θ ω 0 sin ( 6 θ 1 ) π 2 .

Appendix C

U 1 = ϖ 0 2 A 1 l 1 4 6 l 1 2 l 2 2 + l 2 4 sin 2 ϖ 0 η 0 4 l 1 3 l 2 + l 1 l 2 3 cos 2 ϖ 0 η 0 + 3 A 2 l 1 3 3 l 1 l 2 2 sin 3 ϖ 0 η 0 3 l 1 2 l 2 l 2 3 cos 3 ϖ 0 η 0 + 4 A 3 l 1 2 l 2 2 sin 4 ϖ 0 η 0 2 l 1 l 2 cos 4 ϖ 0 η 0 + 5 A 4 l 1 sin 5 ϖ 0 η 0 l 2 cos 5 ϖ 0 η 0 + 6 A 5 sin 6 ϖ 0 η 0 , U 2 = ϖ 0 2 A 1 l 1 4 6 l 1 2 l 2 2 + l 2 4 cos 2 ϖ 0 η 0 + 4 l 1 3 l 2 + l 1 l 2 3 sin 2 ϖ 0 η 0 + 3 A 2 l 1 3 3 l 1 l 2 2 cos 3 ϖ 0 η 0 + 3 l 1 2 l 2 l 2 3 sin 3 ϖ 0 η 0 + 4 A 3 l 1 2 l 2 2 cos 4 ϖ 0 η 0 + 2 l 1 l 2 sin 4 ϖ 0 η 0 + 5 A 4 l 1 cos 5 ϖ 0 η 0 + l 2 sin 5 ϖ 0 η 0 6 A 5 cos 6 ϖ 0 η 0 ,
V 1 = 6 θ l 1 5 l 3 10 l 1 3 l 2 2 l 3 + 5 l 1 l 2 4 l 3 5 l 1 4 l 2 l 4 + 10 l 1 2 l 2 3 l 4 l 2 4 l 4 + 4 θ A 1 l 1 3 l 3 3 l 1 l 2 2 l 3 3 l 1 2 l 2 l 4 + l 2 3 l 4 cos 2 ϖ 0 η 0 + l 1 3 l 4 3 l 1 l 2 2 l 4 + 3 l 1 2 l 2 l 3 l 2 3 l 3 sin 2 ϖ 0 η 0 2 η 0 A 1 l 1 4 6 l 1 2 l 2 2 + l 2 4 cos 2 ϖ 0 η 0 + 4 l 1 l 2 3 + 4 l 1 3 l 2 sin 2 ϖ 0 η 0 + 3 θ A 2 l 1 2 l 3 2 l 1 l 2 l 4 l 2 2 l 3 cos 3 ϖ 0 η 0 + l 1 2 l 4 2 l 1 l 2 l 3 l 2 2 l 4 sin 3 ϖ 0 η 0 3 η 0 A 2 l 1 3 3 l 1 l 2 2 cos 3 ϖ 0 η 0 + 3 l 1 2 l 2 l 2 3 sin 3 ϖ 0 η 0 + 2 θ A 3 l 1 l 3 l 2 l 4 cos 4 ϖ 0 η 0 + l 1 l 4 + l 2 l 3 sin 4 ϖ 0 η 0 4 η 0 A 3 l 1 2 l 2 2 cos 4 ϖ 0 η 0 + 2 l 1 l 2 sin 4 ϖ 0 η 0 + θ A 4 l 3 cos 5 ϖ 0 η 0 + l 4 sin 5 ϖ 0 η 0 5 η 0 A 4 l 1 cos 5 ϖ 0 η 0 + l 2 sin 5 ϖ 0 η 0 6 η 0 A 5 cos 6 ϖ 0 η 0 , V 2 = 6 θ l 1 5 l 4 10 l 1 3 l 2 2 l 4 + 5 l 1 l 2 4 l 4 + 5 l 1 4 l 2 l 3 + 10 l 1 2 l 2 3 l 3 + l 2 4 l 3 + 4 θ A 1 l 1 3 l 3 3 l 1 l 2 2 l 3 3 l 1 2 l 2 l 4 + l 2 3 l 4 sin 2 ϖ 0 η 0 + l 1 3 l 4 3 l 1 l 2 2 l 4 + 3 l 1 2 l 2 l 3 l 2 3 l 3 cos 2 ϖ 0 η 0 2 η 0 A 1 l 1 4 6 l 1 2 l 2 2 + l 2 4 sin 2 ϖ 0 η 0 + 4 l 1 l 2 3 + 4 l 1 3 l 2 cos 2 ϖ 0 η 0 + 3 θ A 2 l 1 2 l 4 2 l 1 l 2 l 3 l 2 2 l 4 sin 3 ϖ 0 η 0 + l 1 2 l 3 2 l 1 l 2 l 4 l 2 2 l 3 cos 3 ϖ 0 η 0 3 η 0 A 2 l 1 3 3 l 1 l 2 2 sin 3 ϖ 0 η 0 + 3 l 1 2 l 2 l 2 3 cos 3 ϖ 0 η 0 + 2 θ A 3 l 1 l 4 l 2 l 3 sin 4 ϖ 0 η 0 + l 1 l 4 + l 2 l 3 cos 4 ϖ 0 η 0 4 η 0 A 3 l 1 2 l 2 2 sin 4 ϖ 0 η 0 + 2 l 1 l 2 cos 4 ϖ 0 η 0 + θ A 4 l 3 sin 5 ϖ 0 η 0 + l 4 cos 5 ϖ 0 η 0 5 η 0 A 4 l 1 sin 5 ϖ 0 η 0 + l 2 cos 5 ϖ 0 η 0 + 6 η 0 A 5 sin 6 ϖ 0 η 0 ,
where
l 1 = ϖ 0 θ cos θ π 2 + k , l 2 = ϖ 0 θ sin θ π 2 , l 3 = ϖ 0 θ 1 cos ( θ 1 ) π 2 , l 4 = ϖ 0 θ 1 sin ( θ 1 ) π 2 .

References

  1. Overwater, R.W.J.; Babaie, M.; Sebastiano, F. Neural-Network Decoders for Quantum Error Correction Using Surface Codes: A Space Exploration of the Hardware Cost-Performance Tradeoffs. IEEE Trans. Quantum Eng. 2022, 3, 1–19. [Google Scholar] [CrossRef]
  2. Khan, A.I.; Shah, J.L.; Bhat, M.M. CoroNet: A deep neural network for detection and diagnosis of COVID-19 from chest x-ray images. Comput. Methods Programs Biomed. 2020, 196, 105581. [Google Scholar] [CrossRef] [PubMed]
  3. Dong, Y.; Liu, Q.; Du, B.; Zhang, L. Weighted feature fusion of convolutional neural network and graph attention network for hyperspectral image classification. IEEE Trans. Image Process. 2022, 31, 1559–1572. [Google Scholar] [CrossRef] [PubMed]
  4. Sun, J.; Han, G.; Zeng, Z.; Wang, Y. Memristor-based neural network circuit of full-function pavlov associative memory with time delay and variable learning rate. IEEE Trans. Cybern. 2019, 50, 2935–2945. [Google Scholar] [CrossRef]
  5. Urbaniak, I.; Wolter, M. Quality assessment of compressed and resized medical images based on pattern recognition using a convolutional neural network. Commun. Nonlinear Sci. Numer. Simul. 2020, 95, 105582. [Google Scholar] [CrossRef]
  6. Yu, F.; Shen, H.; Yu, Q.; Kong, X.; Sharma, P.K.; Cai, S. Privacy protection of medical data based on multi-scroll memristive Hopfield neural network. IEEE Trans. Netw. Sci. Eng. 2022, 10, 845–858. [Google Scholar] [CrossRef]
  7. Xing, R.; Xiao, M.; Zhang, Y.; Qiu, J. Stability and Hopf bifurcation analysis of an (n + m)-neuron double-ring neural network model with multiple time delays. J. Syst. Sci. Complex. 2022, 35, 159–178. [Google Scholar] [CrossRef]
  8. Debnath, L. A brief historical introduction to fractional calculus. Int. J. Math. Educ. Sci. Technol. 2004, 35, 487–501. [Google Scholar] [CrossRef]
  9. Kilbas, A.A.; Srivastava, H.M.; Trujillo, J.J. Theory and Applications of Fractional Differential Equations; Elsevier: Amsterdam, The Netherlands, 2006. [Google Scholar]
  10. Bohner, M.; Tunç, C.; Tunç, O. Qualitative analysis of Caputo fractional integro-differential equations with constant delays. Comput. Appl. Math. 2021, 40, 214. [Google Scholar] [CrossRef]
  11. Yang, X.J.; Gao, F.; Ju, Y. General Fractional Derivatives with Applications in Viscoelasticity; Academic Press: Cambridge, MA, USA, 2020. [Google Scholar]
  12. Zielinski, D.P.; Voller, V.R. A random walk solution for fractional diffusion equations. Int. J. Numer. Methods Heat Fluid Flow 2013, 23, 7–22. [Google Scholar] [CrossRef]
  13. Ortega, A.; Rosales, J.; Cruz-Duarte, J.; Guía, M. Fractional model of the dielectric dispersion. Optik 2019, 180, 754–759. [Google Scholar] [CrossRef]
  14. Herrmann, R. Infrared spectroscopy of diatomic moleculesa fractional calculus approach. Int. J. Mod. Phys. B 2013, 27, 1350019. [Google Scholar] [CrossRef]
  15. Kachhia, K.B.; Atangana, A. Electromagnetic waves described by a fractional derivative of variable and constant order with non singular kernel. Discret. Contin. Dyn. Syst.-Ser. S 2021, 14, 2357–2371. [Google Scholar] [CrossRef]
  16. Joshi, M.; Bhosale, S.; Vyawahare, V.A. A survey of fractional calculus applications in artificial neural networks. Artif. Intell. Rev. 2023, 56, 13897–13950. [Google Scholar] [CrossRef]
  17. Wu, J.; Campbell, S.A.; Bélair, J. Time-delayed neural networks: Stability and oscillations. In Encyclopedia of Computational Neuroscience; Springer: New York, NY, USA, 2022; pp. 3434–3440. [Google Scholar]
  18. Braverman, E.; Tunç, C.; Tunç, O. On global stability of nonlinear systems with unbounded and distributed delays and a dominating non-delay term. Commun. Nonlinear Sci. Numer. Simul. 2025, 143, 108590. [Google Scholar] [CrossRef]
  19. Kalantari Khandani, M.; Mikhael, W.B. Effect of sparse representation of time series data on learning rate of time-delay neural networks. Circuits Syst. Signal Process. 2021, 40, 3007–3032. [Google Scholar] [CrossRef]
  20. Ji, X.A.; Molnr, T.G.; Avedisov, S.S.; Orosz, G. Learning the dynamics of time delay systems with trainable delays. In Proceedings of the 3rd Conference on Learning for Dynamics and Control, Virtual, 13 December 2021; pp. 930–942. [Google Scholar]
  21. Lin, W.; Zhang, X. A dynamic feedback framework for control of time-delay nonlinear systems with unstable zero dynamics. IEEE Trans. Autom. Control 2019, 65, 3317–3332. [Google Scholar] [CrossRef]
  22. Tzounas, G.; Sipahi, R.; Milano, F. Damping power system electromechanical oscillations using time delays. IEEE Trans. Circuits Syst. I Regul. Pap. 2021, 68, 2725–2735. [Google Scholar] [CrossRef]
  23. Wernecke, H.; Sndor, B.; Gros, C. Chaos in time delay systems, an educational review. Phys. Rep. 2019, 824, 1–40. [Google Scholar] [CrossRef]
  24. Hassard, B.D.; Kazarinoff, N.D.; Wan, Y.H. Theory and Applications of Hopf Bifurcation; CUP Archive: Cambridge, UK, 1981. [Google Scholar]
  25. Voight, J. Quaternion Algebras; Springer Nature: Berlin/Heidelberger, Germany, 2021. [Google Scholar]
  26. Parcollet, T.; Morchid, M.; Linarès, G. A survey of quaternion neural networks. Artif. Intell. Rev. 2020, 53, 2957–2982. [Google Scholar] [CrossRef]
  27. Zhu, M.; Wang, B.; Wu, Y. Stability and Hopf bifurcation for a quaternion-valued three-neuron neural network with leakage delay and communication delay. J. Frankl. Inst. 2023, 360, 12969–12989. [Google Scholar] [CrossRef]
  28. Podlubny, I. Fractional Differential Equations: An Introduction to Fractional Derivatives, Fractional Differential Equations, to Methods of Their Solution and Some of Their Applications; Elsevier: Amsterdam, The Netherlands, 1998. [Google Scholar]
  29. Li, Y.; Chen, Y.Q.; Podlubny, I. Stability of fractional-order nonlinear dynamic systems: Lyapunov direct method and generalized MittagCLeffler stability. Comput. Math. Appl. 2010, 59, 1810–1821. [Google Scholar] [CrossRef]
  30. Bandyopadhyay, B.; Kamal, S. Stabilization and Control of Fractional Order Systems: A Sliding Mode Approach; Springer: Berlin/Heidelberg, Germany, 2015. [Google Scholar]
  31. Li, H.; Zhang, L.; Hu, C.; Jiang, Y.; Teng, Z. Dynamical analysis of a fractional-order predator-prey model incorporating a prey refuge. J. Appl. Math. Comput. 2017, 54, 435–449. [Google Scholar] [CrossRef]
  32. Deng, W.; Li, C.; Lü, J. Stability analysis of linear fractional differential system with multiple time delays. Nonlinear Dyn. 2007, 48, 409–416. [Google Scholar] [CrossRef]
  33. Matignon, D. Stability results for fractional differential equations with applications to control processing. Comput. Eng. Syst. Appl. 1996, 2, 963–968. [Google Scholar]
  34. Huang, C.; Nie, X.; Zhao, X.; Song, Q.; Tu, Z.; Xiao, M.; Cao, J. Novel bifurcation results for a delayed fractional-order quaternion-valued neural network. Neural Netw. 2019, 117, 67–93. [Google Scholar] [CrossRef]
  35. Brown, E.; Rice, A. An Accessible Proof of Hurwitzs Sums of Squares Theorem. Math. Mag. 2022, 95, 422–436. [Google Scholar] [CrossRef]
  36. Bhalekar, S.; Daftardar-Gejji, V. A predictor-corrector scheme for solving nonlinear delay differential equations of fractional order. Fract. Calc. Appl. Anal. 2011, 1, 1–9. [Google Scholar]
Figure 1. Bifurcation diagram of the state variables x ˘ 1 1 when θ = 0.82 .
Figure 1. Bifurcation diagram of the state variables x ˘ 1 1 when θ = 0.82 .
Axioms 14 00366 g001
Figure 2. Oscillogram of the state variables x ˘ 1 1 when η = 0.18 < η 0 = 0.20 .
Figure 2. Oscillogram of the state variables x ˘ 1 1 when η = 0.18 < η 0 = 0.20 .
Axioms 14 00366 g002
Figure 3. Phase diagram of the state variables x ˘ 1 1 when η = 0.18 < η 0 = 0.20 .
Figure 3. Phase diagram of the state variables x ˘ 1 1 when η = 0.18 < η 0 = 0.20 .
Axioms 14 00366 g003
Figure 4. Oscillogram of the state variables x ˘ 1 1 when η = 0.28 > η 0 = 0.20 .
Figure 4. Oscillogram of the state variables x ˘ 1 1 when η = 0.28 > η 0 = 0.20 .
Axioms 14 00366 g004
Figure 5. Phase diagram of the state variables x ˘ 1 1 when η = 0.28 > η 0 = 0.20 .
Figure 5. Phase diagram of the state variables x ˘ 1 1 when η = 0.28 > η 0 = 0.20 .
Axioms 14 00366 g005
Figure 6. Graph of order θ against bifurcation point η 0 of system (42).
Figure 6. Graph of order θ against bifurcation point η 0 of system (42).
Axioms 14 00366 g006
Figure 7. Oscillogram of the state variables x ˘ 1 1 when η = 1 , η = 10 , and η = 20 .
Figure 7. Oscillogram of the state variables x ˘ 1 1 when η = 1 , η = 10 , and η = 20 .
Axioms 14 00366 g007
Figure 8. Phase diagram of the state variables x ˘ 1 1 when η = 1 , η = 10 , and η = 20 .
Figure 8. Phase diagram of the state variables x ˘ 1 1 when η = 1 , η = 10 , and η = 20 .
Axioms 14 00366 g008
Disclaimer/Publisher’s Note: The statements, opinions and data contained in all publications are solely those of the individual author(s) and contributor(s) and not of MDPI and/or the editor(s). MDPI and/or the editor(s) disclaim responsibility for any injury to people or property resulting from any ideas, methods, instructions or products referred to in the content.

Share and Cite

MDPI and ACS Style

Wang, Q.; Li, T.; Wang, Y.; Tan, X. Stability and Hopf Bifurcation of Fractional-Order Quaternary Numerical Three-Neuron Neural Networks with Different Types of Delays. Axioms 2025, 14, 366. https://doi.org/10.3390/axioms14050366

AMA Style

Wang Q, Li T, Wang Y, Tan X. Stability and Hopf Bifurcation of Fractional-Order Quaternary Numerical Three-Neuron Neural Networks with Different Types of Delays. Axioms. 2025; 14(5):366. https://doi.org/10.3390/axioms14050366

Chicago/Turabian Style

Wang, Qiankun, Tianzeng Li, Yu Wang, and Xiaowen Tan. 2025. "Stability and Hopf Bifurcation of Fractional-Order Quaternary Numerical Three-Neuron Neural Networks with Different Types of Delays" Axioms 14, no. 5: 366. https://doi.org/10.3390/axioms14050366

APA Style

Wang, Q., Li, T., Wang, Y., & Tan, X. (2025). Stability and Hopf Bifurcation of Fractional-Order Quaternary Numerical Three-Neuron Neural Networks with Different Types of Delays. Axioms, 14(5), 366. https://doi.org/10.3390/axioms14050366

Note that from the first issue of 2016, this journal uses article numbers instead of page numbers. See further details here.

Article Metrics

Back to TopTop