Abstract
represents commutative rings that have unity elements. The collection of all zero-divisor elements in are represented by . We denote an extended zero-divisor graph by the notation of This graph has a set of vertices in . The graph illustrates interactions among the zero-divisor elements of Specifically, two different vertices u and y are connected in iff is non-null or is non-null. The main idea for this work is to systematically analyze the ring which is finite for the unique aspect of their extended zero-divisor graph. This study particularly focuses on instances where the extended zero-divisor graph has a genus or crosscap of two. Furthermore, this work aims to thoroughly characterize finite ring wherein the extended zero-divisor graph has an outerplanarity index of two. Finally, we determine the book thickness of for genus at most one.
MSC:
13M05; 05C10; 05C25
1. Introduction
The exploration of different graphs linked to algebraic systems is extensive and is an emerging trend in modern research. The focus of the present work is based on the classification of the graphs of the theoretical ring structure and vice versa. Special attention is paid to understanding the correspondence through the algebraic system for known entities with graphical properties of the associated structures. When a combinatorial entity is assigned to an algebraic system, this gives rise to algebraic and combinatorial problems. Consequently, this is an important area for the investigation of graph structures related to rings with commutativity. Let denote a commutative ring that has a non-null unit element. is assumed to represent a collection of all zero-divisor elements. Innovative concepts on zero-divisor graphs were introduced and investigated by Beck [1] in commutative rings with unity element, considering elements of this ring as vertices of the graph and examining the dynamics of the coloring of the graph. Taking this concept, Anderson and Livingston [2] defined , where vertices are non-null zero-divisors and connected if the product of the vertices are zero (see [3,4,5,6,7,8] for more details). Adding this mathematical development, Badawi [9] introduced the annihilator graph , with a set of vertices , where two different vertices, u and y, are connected iff .
A more recent work by Bakhtyiari et al. [10,11] presented the extended zero-divisor graph for , given by , that is, the undirected graph with a set of vertices , where two different vertices, u and y, are connected iff or . In [10], the authors investigated properties based on the extended zero-divisor graph and given the relationships between and .
Rehman et al. [12] characterized rings that are finite and commutative with an extended zero-divisor graph that is isomorphic in accordance with existing graphs in the literature with the classification of rings that are finite and commutative with an extended zero-divisor graph that is planar, projective, or toroidal. Ali et al. [13] computed eccentric topological indices of zero-divisor graphs. Recently, Mohd et al. [14] investigated the genus and crosscap-two annihilator graph of commutative rings.
Motivated by the above research, we consider as a ring that is finite and commutative containing an identity element. It is characterized by sets, such as that denote the collection of zero-divisor elements, represents the collection of all unit elements, encompasses the collection of minimal prime ideals, and shows the collection of nilpotent elements. The notation denotes the ring over integer modulo n. stands for the field with q elements. Notably, of For , stands for the annihilators of For more details regarding theoretical ring terminologies, readers can review [15].
This paper extends the investigation by categorizing finite commutative rings with , which have a genus and crosscap two. In addition, an identification is provided for , where has an outerplanarity index of 2. A determination of the minimally non-outerplanar graph is also given. Finally, we determine the book thickness of for a genus of, at most, one.
2. Preliminaries
This section contains a short overview of symbols, principles, and results related to the genus of graphs, establishing the foundation for the following sections.
We consider a simple graph H that is undirected and has V as the vertex set and E as the edge set. stands for a complete graph characterized by a tuple of vertices linked with an edge. A partite graph is a graph with vertex sets that are partitioned into different subsets so that no two vertices are linked within the same set. In general, an s-partite graph is partitioned into s subsets so that none of two vertices are connected within the same set. Next to the s-partite, we have a complete s-partite graph that has vertices connected to another vertex not in the same set. is a special case of the 2-partite graph with a part size that is (q), with each vertex from one part connected to every vertex in the other part. For more details on graph theory, readers refer to [16,17].
We represent a given graph on a surface in topological graph theory. In that sense, consider represents a sphere where h stands for handles, which is a positive integer, indicating genus h for its oriented surface. , refers genus which is smallest integer h allowing H for embedding in .
In a visual sense, H is considered as embedded on a surface if H depicts on the surface with edges divided on a vertex that is shared by a pair of vertices. A planar graph has 0 genus, while a toroidal graph has Furthermore, it is worth noting that indicates that H is a subgraph of J. In graph theory based on topology, using Euler’s formula, we determine that the relationship for a finite connected graph H is written as , where no. of vertices, no. of edges, genus, and no. of faces due to cellular embedded process of H on . For the combined combinatorial identities and various inequalities, this formula plays the role of a powerful tool for exploring and demonstrating the existence of concerned graph embeddings. To search more thoroughly for embedded graphs on a surface, refer to [17]. Some more details on genus one for zero-divisor graphs, readers can refer to [18,19]. The zero-divisor planar graph is given in [20], whereas computations on radio labeling associated with the zero-divisor graph of a commutative ring is given in [21], and further eccentric topological indices based on the edges of zero-divisor graphs are studied in [22].
Some results and bounds based on genus are presented below.
Proposition 1
([10], Lemma 2.2). With as a commutative ring, we have the following:
- (i.)
- being the edge of for we obtain , which is an edge of .
- (ii.)
- being not an edge of for , we obtain . The indirect part is true only if is a reduced ring.
- (iii.)
- or for , we obtain as an edge of .
- (iv.)
- being non-null for , we obtain ϱ, which is connected to all other vertices in . Specifically, , we obtain ϱ, which is connected to the rest of the vertices in .
- (v.)
- is a complete subgraph.
The following example shows that graph and graph are not identical.

Theorem 1
([12]). With as a commutative local ring, is a complete graph.
The following are some known results of the genus of complete graphs and complete bipartite graphs.
Lemma 1
([17]). Let . Then,
Specifically, if and , if
Lemma 2
([17]). Let . Then,
Specifically, if and
Lemma 3
([23]). H being connected graph and e being its edges with vertices , the following formula holds:
3. Genus of
Finite commutative rings with an identity element are thoroughly examined where graph has a genus of two. Using the Euler characteristic equation and deletion–insertion method, we eliminate some steps that lead to yielding a higher genus.
Theorem 2
([12], Theorems 3.2, 3.3, 3.5). being a finite commutative ring, we obtain , which is planar, iff is equivalent to one of the rings listed below:
Theorem 3
([12], Theorem 4.1). being a finite commutative local ring, we obtain iff is equivalent amongst the following:
Theorem 4
([12], Theorems 4.2, 4.4). Let be a finite commutative non-local ring. Then, iff is equivalent to one of the rings listed below:
Theorem 5.
Let be a finite local commutative ring. Then, iff is equivalent to one of the rings listed below:
Proof.
We have that is local. Next, graph is completed using Theorem 1. Thus, iff . □
In the Theorem given below, we calculate all finite reduced non-local rings for which has a genus of two.
Theorem 6.
With being finite commutative rings that are non-local and reduced, iff is equivalent to one of the rings listed below:
Proof.
Consider . Since is a finite reduced non-local commutative ring, , with each a field having the property of . Let . Let , , , , , , , , , and . Since , , , , , , , , , , , , , , , , , , , , , , , , , , and . Using Lemma 1, contains induced by the set with Lemma 1. This shows that using Lemma 1 is contradictory. Hence, .
- Let . Our claim is for every . Conversely, with . Let , , , , , , , , and . The set inducing the subgraph has a minimum of 33 edges with 9 vertices. Using Lemma 3, is contradictory. This shows that . Using Theorem 4, , which again contradicts.
Now, let and using ([10], Theorem 4.2), . Using ([24], Theorem 4), , , or .
Conversely, if , , or , then by ([10], Theorem 4.2), . Hence, by ([24], Theorem 4). □
Theorem 7.
Let be a finite non-local non-reduced commutative ring. Then, .
Proof.
The ring is non-infinite, non-reduced, and non-local, so where every is local, having the maximal ideal with field for each i with Consider n is greater than or equal to Since for every Consider , , , , where
Since , , .
contains a subgraph of induced by the set Hence, using Lemma 1.
Now, suppose that Consider , , , and
Since , , , , and then using Lemma 1, contains a subgraph of induced by the set . Hence, using Lemma 1.
Suppose that and Then, or , and hence, Let and Consider where Since for every contains Hence, using Lemma 1. Hence,
Suppose that and then Assume as members of , which is a member of , with Let , and where Since for every contains using Lemma 1. Hence, using Lemma 1.
Now, suppose that and and Consider where and Since for every contains Hence, using Lemma 1.
Now, suppose that and or then, with Theorems 2 and 4, .
Finally, suppose that and Then, contains 32 edges and 9 vertices. Hence, using Lemma 3. □
4. Crosscap of
In this section, we classify the finite commutative rings for which the extended zero-divisor graph is a Klein bottle.
For refers to a sphere having k crosscaps. It is worth noting that a connected compact surface could be matched topologically with for . or the non-orientable genus is the least positive integer k that is written for crosscap numbers and embedded to H in . The projective graph has a crosscap of 1, and a Klein bottle graph has a crosscap of 2.
The results given below provide crosscap numbers for complete and bipartite graphs. The ceiling function signifies the least positive integer that is ≥x, for x as a real number.
Lemma 4
([17]). For ,
Lemma 5
([17]). For and ,
Theorem 8
([12]). Let be a finite commutative ring. Then, iff is equivalent to one of the rings listed below:
Now, we classify the finite ring as having .
Theorem 9.
Let be a finite commutative ring. Then, iff is equivalent to one of the rings listed below:
Proof.
Consider . Since is finite, , where is a local ring for every i and Let Consider Since , , then using Lemma 1, for every Hence, contains induced by the set This shows that using Lemma 5, which is contradictory. Thus,
Case 1.
Let If is not a field with a maximal ideal that is non-null, then ∃ Consider , , and . Since , then using Lemma 1, contains a subgraph of induced by the set Hence, using Lemma 5, which contradicts. Hence, is a field. Similarly, one can show that both are fields.
Let . Consider , where . Since for every , then contains that is a subgraph and implies that using Lemma 4, which contradicts. Hence, . Similarly, we can show that . Hence, , which contradicts Theorem 8.
Case 2.
Let . If is a local ring with non-null maximal ideals for every , then with Let where Since , , contains a subgraph of induced by the set . Thus, using Lemma 5, which contradicts. Hence, or is a field.
If and both are fields, then and by ([10], Theorem 4.2), . Using ([25], Theorem 3.11), or .
Suppose that is not a field with and that is a field. Let Then, or , and hence, Let and Consider where Since for every contains which contradicts when Lemma 5 is used. Hence,
Suppose that , then Let and Consider , and where Since for every contains which again contradicts when using Lemma 5. Hence, which implies that or
Now, suppose that with and Then, the set where induces a copy of in which contradicts when using Lemma 5. Hence, According to Theorem 2, . Hence, .
Case 3.
Suppose that . Then, is a complete graph in accordance with Theorem 1. Using Lemma 4, , which contradicts.
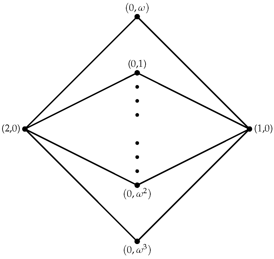
Conversely, if or then, according to ([10] Theorem 4.2), Hence, by ([25] Theorem 3.11), Also, if or , then by Figure 1. □
Figure 1.
The embedding of on .
5. Outerplanarity of
If an embedding of a planar graph exhibits outerplanarity, meaning that every vertex in the embedding is connected to the outer face, it is designated as 1-outerplanar. This concept is expanded to identify an embedding as k-outerplanar if it is a -outerplanar embedding after eliminating all of the vertices on the outer face together with incident edges. If such a k-outerplanar embedding is possible on a graph, it is categorized as k-outerplanar. For a given graph G, the outerplanarity index is the lowest value of k for a G that is k-outerplanar. For a planar graph G, is known as the inner vertex number which is the lowest number of vertices in any plane embedding of G that are not part of the boundary of the exterior region. When = 1, graph G is considered minimally non-outerplanar. To gain a deeper understanding of k-outerplanarity, readers can refer to [26,27]. Establishing the findings given in this section is made possible from the Theorem given below:
Theorem 10
([16]). The graph G is outerplanar iff it contains no subgraph that is a subdivision of either or .
Theorem 11
where F is a finite field.
([12], Theorem 2.6). Let be a finite commutative ring. Then, is outerplanar iff is equivalent to one of the rings listed below:
Theorem 12.
Let is finite commutative ring. Then, has an outerplanarity index of 2 iff is equivalent to one of the rings listed below:
Proof.
where is a finite field.
Suppose that has an outerplanarity index of 2, meaning is a planar graph. Using Theorem 2, ring can be determined to be isomorphic to one of the subsequent rings:
All that is left to do is determine whether or not these rings are minimal and 2-outerplanar. But, in the case of , , , , , , , , , , , or , where is a finite field, is a 1-outerplanar graph by Theorem 11. Since has an outerplanarity index of 2, , , , , or , where .
Conversely, if , , , , or , where , then contains or as subgraphs (Figure 2, Figure 3 and Figure 4). Thus, it is proved that is not 1-outerplanar, according to Theorem 10. The resulting graph is , , or fully disconnected after deleting vertices from the outside face; these three graphs are clearly 1-outerplanar (see Figure 2, Figure 3 and Figure 4). From the definition, we can infer that is 2-outerplanar for all rings, with 2 being the minimum. For this reason, has an outerplanarity index of 2. □
Figure 2.
.
Figure 3.
.
Figure 4.
.
Corollary 1.
Consider as a finite commutative ring. Then, has an outerplanarity index of, at most, two.
Theorem 13.
Let be a finite commutative ring. Then, of is given by the following:
Corollary 2.
Consider as a finite commutative ring. Then, is minimally non-outerplanar iff , , or .
6. Book Thickness of
In this section, we explore the book thickness of the graph with a genus of, at most, one. Initially, we calculate the book thickness of the planar associated with the rings described in Theorem 2 and demonstrate that the book thickness of all planar is bounded above by two.
An n-book embedding consists of a set of n half-planes called pages, with boundaries that are bound together along a single line called the spine. If the vertices of a graph can be embedded on the spine of a book, and the edges can be placed in r pages such that every edge lies in exactly one page, and no two edges cross within a given page, then the embedding is called an r-book embedding. The book thickness of a graph H, denoted by , is the smallest integer n for which H has an n-book embedding. For details on the notion of embedding of graphs in a surface and book embedding, readers can refer to [17,28].
The results presented in [28] will assist us in proving the main results of this section.
Lemma 6
([28], Theorem 2.5). For a connected graph H, the following equivalences are valid:
- H has a book thickness of zero iff it is a path.
- H has a book thickness that is less than or equal to 1 iff it is outerplanar.
Lemma 7
([28], Theorems 3.4, 3.5, 3.6).
- is given by , where .
- , where with .
- and , where .
Theorem 14.
Let be an Artinian commutative ring for which is a planar graph. The following conditions must then be satisfied:
- iff , , , , , or .
- iff , , , , , , , , where or .
- iff , , , or , where .
Proof.
The proof of parts (1) and (2) follows from Theorem 11 and Lemma 6.
For the proof of part (3), we have to discuss the following rings for which is planar but not an outerplanar graph:
, , , , or , where
Since the graph for the above rings is not outerplanar, .
If , , then . Thus, by using Lemma 7(1), . If , where , by ([10], Theorem 4.2), then by using ([29], Theorem 6). If , , then the 2-book embedding of is as shown in Figure 5. □
Figure 5.
Two-book embedding of .
Theorem 15.
Let be a finite . If , then the following holds:
- iff , , , , , or .
- iff , , , , , , , , , , , , , , , , , , , , or .
Proof.
Since , we have to consider the rings given in Theorems 3 and 4.
- If , , or , then . Thus, by using Lemma 7(1), . If , , , , , , , , , , , , , , , , , , , or , then . Thus, by using Lemma 7(1). If , , or , then by using ([10], Theorem 4.2). Thus, by using ([29], Theorem 11), . If or , then the 4-book embedding of is as shown in Figure 6. □
Figure 6. Four-book embedding of .
7. Conclusions
In conclusion, this paper successfully achieved a systematic classification of finite rings through the unique properties of their extended zero-divisor graphs . By focusing on cases when the extended zero-divisor graph has a genus or crosscap of two, we were able to elucidate several key characteristics of these rings.
Our findings can be summarized as follows:
- For a finite commutative ring , the genus of the extended zero-divisor graph equals 2 iff is isomorphic to any one rings from the following: , , , , , , , , , , , or .
- The extended zero-divisor graph has a crosscap of 2 if and only if is isomorphic to , , , or .
- The outerplanarity index of is 2 if and only if is isomorphic to , , , , or , where .
- The of is
These results offer a comprehensive understanding of the structural aspects of finite rings via the lens of their extended zero-divisor graphs. This classification not only enriches the theory of zero-divisor graphs but also opens new avenues for exploring the linkup with ring-theoretical properties and graph-theoretical characteristics.
Author Contributions
The idea of the present paper was proposed and improved by A.A.K. and M.A.A. All authors have read and agreed to the published version of the manuscript.
Funding
The authors extend their appreciation to the Deanship of Research and Graduate Studies at King Khalid University for funding this work through Large Research Project under grant number RGP2/339/45.
Data Availability Statement
No new data were created or analyzed in this study.
Conflicts of Interest
The authors declare no conflict of interest.
References
- Beck, I. Coloring of commutative rings. J. Algebra 1988, 116, 208–226. [Google Scholar] [CrossRef]
- Anderson, D.F.; Livingston, P.S. The zero divisor graph of a commutative ring. J. Algebra 1999, 217, 434–447. [Google Scholar] [CrossRef]
- Alanazi, A.M.; Nazim, M.; Rehman, N.U. Classification of rings with toroidal and projective coannihilator graph. J. Math. 2021, 2021, 4384683. [Google Scholar] [CrossRef]
- Anderson, D.F.; Asir, T.; Badawi, A.; Tamizh, C.T. Graphs from Rings; Springer: Cham, Switzerland, 2021. [Google Scholar]
- Nazim, M.; Rehman, N.U. On the essential annihilating-ideal graph of commutative rings. Ars Math. Contemp. 2022, 22, 1–16. [Google Scholar]
- Nazim, M.; Rehman, N.U.; Mir, S.A. Some properties of the essential annihilating-ideal graph of commutative rings. Commun. Comb. Optim. 2023, 8, 715–724. [Google Scholar]
- Rehman, N.U.; Nazim, M.; Selvakumar, K. On the planarity, genus and crosscap of new extension of zero divisor graph of commutative rings. AKCE Int. J. Graphs Comb. 2022, 19, 61–68. [Google Scholar] [CrossRef]
- Rehman, N.U.; Nazim, M.; Mir, S.A. On the planarity, genus and crosscap of weakly zero divisor graph of commutative rings. Rev. Unión Matemática Argent. 2024, 67, 213–227. [Google Scholar] [CrossRef]
- Badawi, A. On the annihilator graph of a commutative ring. Commun. Algebra 2014, 42, 108–121. [Google Scholar] [CrossRef]
- Bakhtyiari, M.; Nikmehr, M.J.; Nikandish, R. The Extended zero divisor graph of a commutative Ring I. Hokkaido Math. J. 2017, 46, 381–393. [Google Scholar]
- Bakhtyiari, M.; Nikmehr, M.J.; Nikandish, R. The Extended zero divisor graph of a commutative Ring II. Hokkaido Math. J. 2017, 46, 395–406. [Google Scholar] [CrossRef]
- Rehman, N.U.; Nazim, M.; Selvakumar, K. On the genus of extended zero divisor graph of commutative rings. Rend. Circ. Mat. Palermo Ser. 2023, 72, 3541–3550. [Google Scholar] [CrossRef]
- Koam, N.A.; Ahmad, A.; Haider, A.; Ansari, M.A. Computation of eccentric topological indices of zero divisor graphs based on their edges. AIMS Math. 2022, 7, 11509–11518. [Google Scholar] [CrossRef]
- Nazim, M.; Mir, S.A.; Rehman, N.U. On the genus and crosscap two coannihilator graph of commutative rings. Comput. Appl. Math. 2024, 43, 350. [Google Scholar] [CrossRef]
- Atiyah, M.F.; Macdonald, I.G. Introduction to Commutative Algebra; Addison-Wesley Publishing Company: Boston, MA, USA, 1969. [Google Scholar]
- West, D.B. Introduction to Graph Theory, 2nd ed.; Prentice-Hall of India: New Delhi, India, 2002. [Google Scholar]
- White, A.T. Graphs, Groups and Surfaces; North-Holland: Amsterdam, The Netherlands, 1973. [Google Scholar]
- Wickham, C. Classification of rings with genus one zero divisor graphs. Comm. Algebra 2008, 36, 325–345. [Google Scholar] [CrossRef]
- Wang, H.J. Zero divisor graphs of genus one. J. Algebra 2006, 304, 666–678. [Google Scholar] [CrossRef][Green Version]
- Smith, N.O. Planar zero divisor graphs. Int. J. Comm. Rings 2002, 2, 177–188. [Google Scholar]
- Ahmad, A.; Haider, A. Computing the radio labeling associated with zero divisor graph of a commutative ring. U.P.B. Sci. Bull. Ser. A. 2019, 81, 65–72. [Google Scholar]
- Koam, A.N.; Ahmad, A.; Haider, A. On Eccentric Topological Indices Based on Edges of zero divisor Graphs. Symmetry 2019, 11, 907. [Google Scholar] [CrossRef]
- Mohar, B.; Thomassen, C. Graphs on Surfaces; The Johns Hopkins University Press: Baltimore, MD, USA; London, UK, 1956. [Google Scholar]
- Asir, T.; Mano, K. Classification of non-local rings with genus two zero divisor graphs. Soft Comput. 2020, 24, 237–245. [Google Scholar] [CrossRef]
- Asir, T.; Mano, K. Classification of rings with crosscap two class of graphs. Discret. Appl. Math. 2019, 256, 13–21. [Google Scholar] [CrossRef]
- Frank, K. Determining the smallest k such that G is k-outerplanar. Lect. Notes Comput. Sci. 2007, 4698, 359–370. [Google Scholar]
- Kulli, V.R. On minimally nonouterplanar graphs. Proc. Indian Nat. Sci. Acad. 1975, 41, 275–280. [Google Scholar]
- Bernhart, R.F.; Kainen, C.P. The book thickness of a graph. J. Comb. Theory Ser. B 1979, 27, 320–331. [Google Scholar] [CrossRef]
- McKenzie, T.; Overbay, S. Book thickness of toroidal zero divisor graphs. Afr. Mat. 2017, 28, 823–830. [Google Scholar] [CrossRef]
Disclaimer/Publisher’s Note: The statements, opinions and data contained in all publications are solely those of the individual author(s) and contributor(s) and not of MDPI and/or the editor(s). MDPI and/or the editor(s) disclaim responsibility for any injury to people or property resulting from any ideas, methods, instructions or products referred to in the content. |
© 2025 by the authors. Licensee MDPI, Basel, Switzerland. This article is an open access article distributed under the terms and conditions of the Creative Commons Attribution (CC BY) license (https://creativecommons.org/licenses/by/4.0/).





