Shock Mach Number Effect on Instability Evolution at a Light–Heavy Fluid Interface: A Numerical Investigation
Abstract
1. Introduction
2. Physical Problem Description
3. Mathematical Formulation
3.1. Compressible Euler Equations for Two-Component Gas Flows
3.2. Initial and Boundary Conditions
3.3. Vorticity Transport Formulation
3.4. Assumptions and Simplifications
4. Numerical Methodology, Benchmarks, and Grid Resolution
4.1. Numerical Methodology
4.2. Validation Against Benchmark Problems
4.2.1. Shock-Accelerated Heavy V-Shaped Interface
4.2.2. Shock-Accelerated Heavy Elliptical Interface
4.2.3. Shock-Accelerated Light Cylindrical Interface
4.3. Grid Resolution Strategy
5. Results and Discussion
5.1. Flow Field Evolution
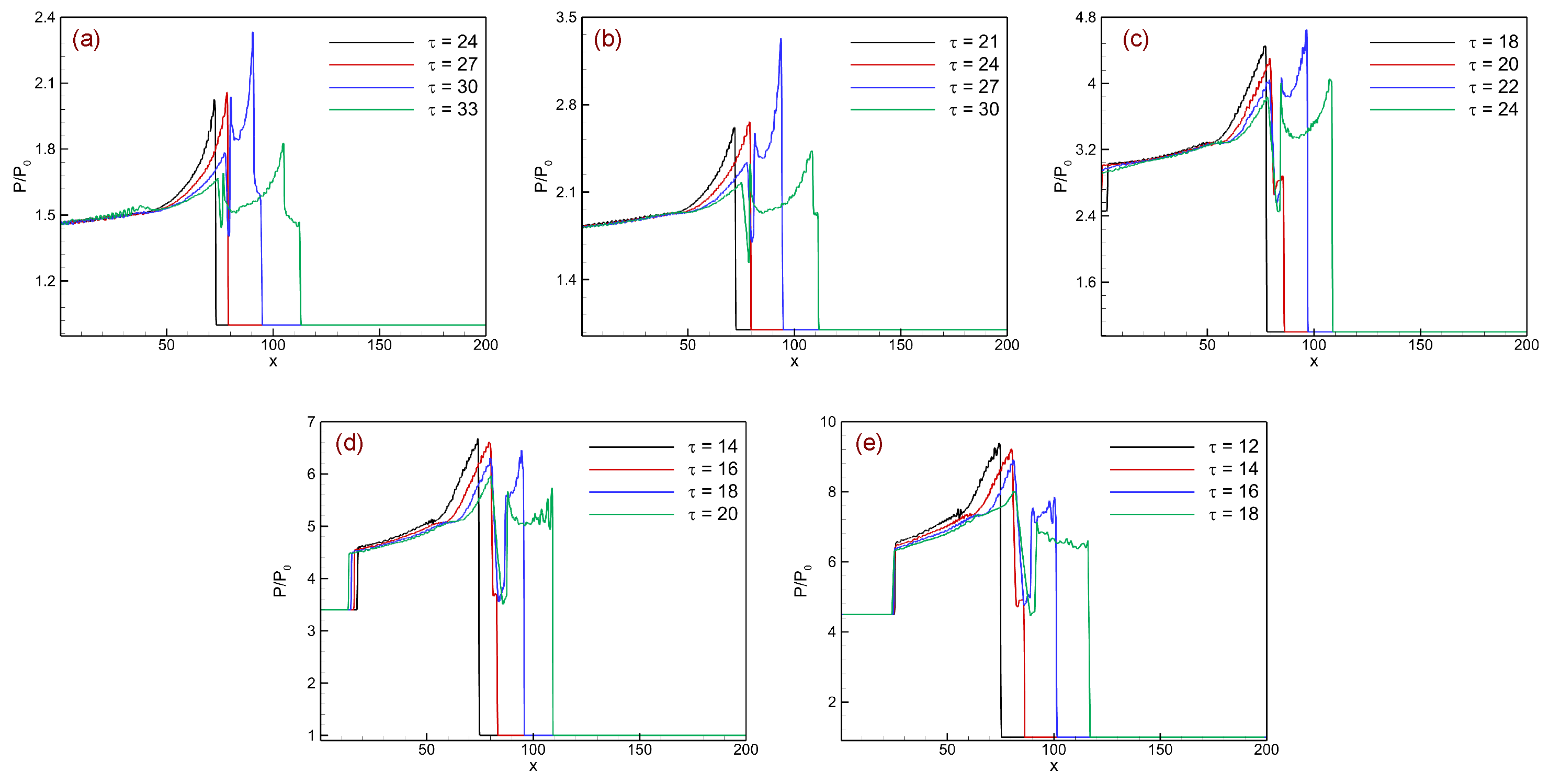
5.2. Shock Focusing and Pressure Distribution
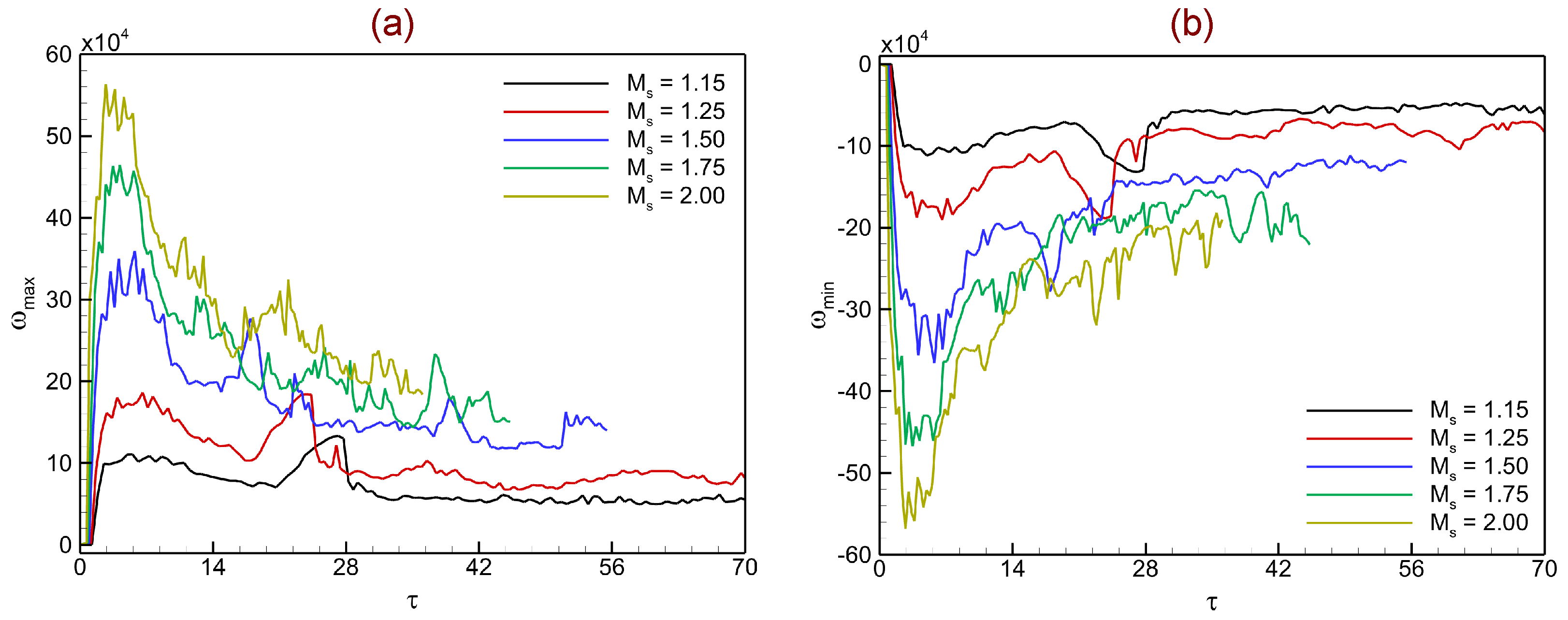
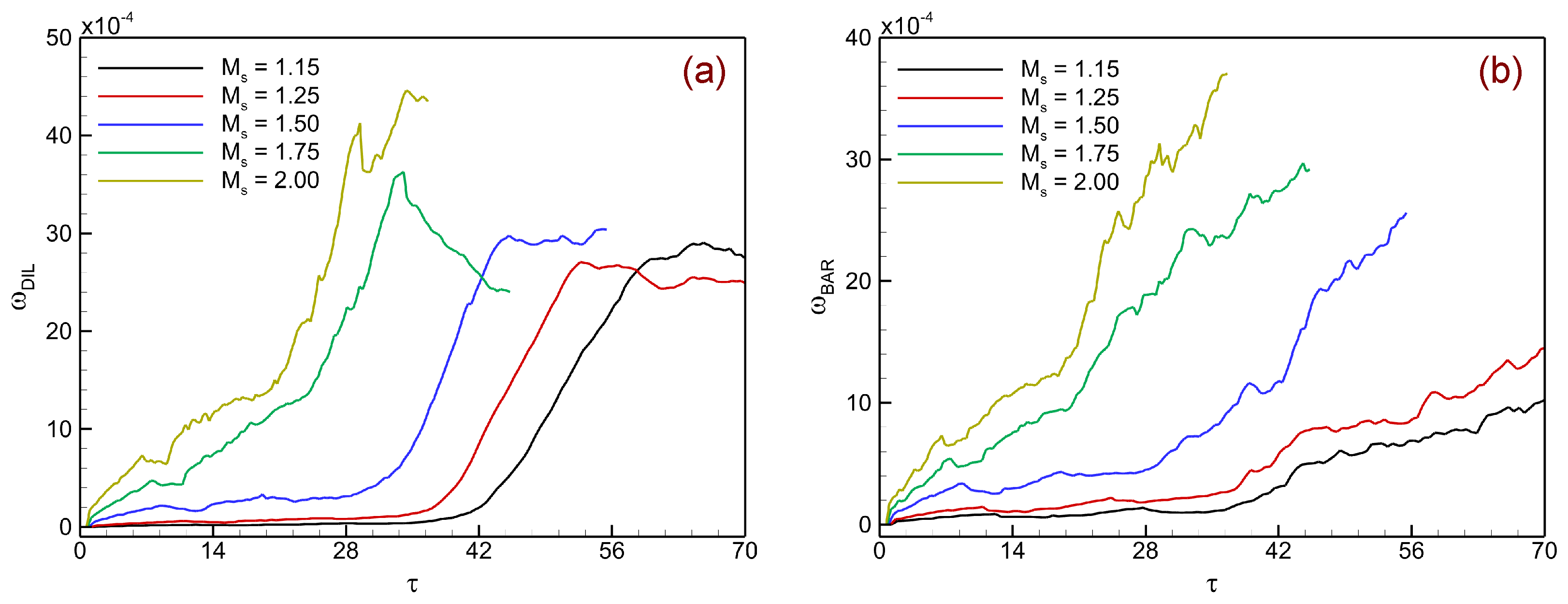
5.3. Dynamics of Vorticity Generation
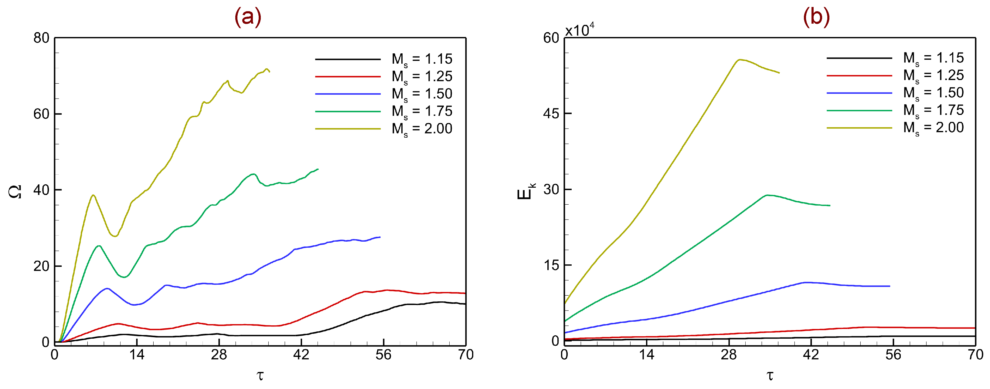
5.4. Quantitative Diagnostics
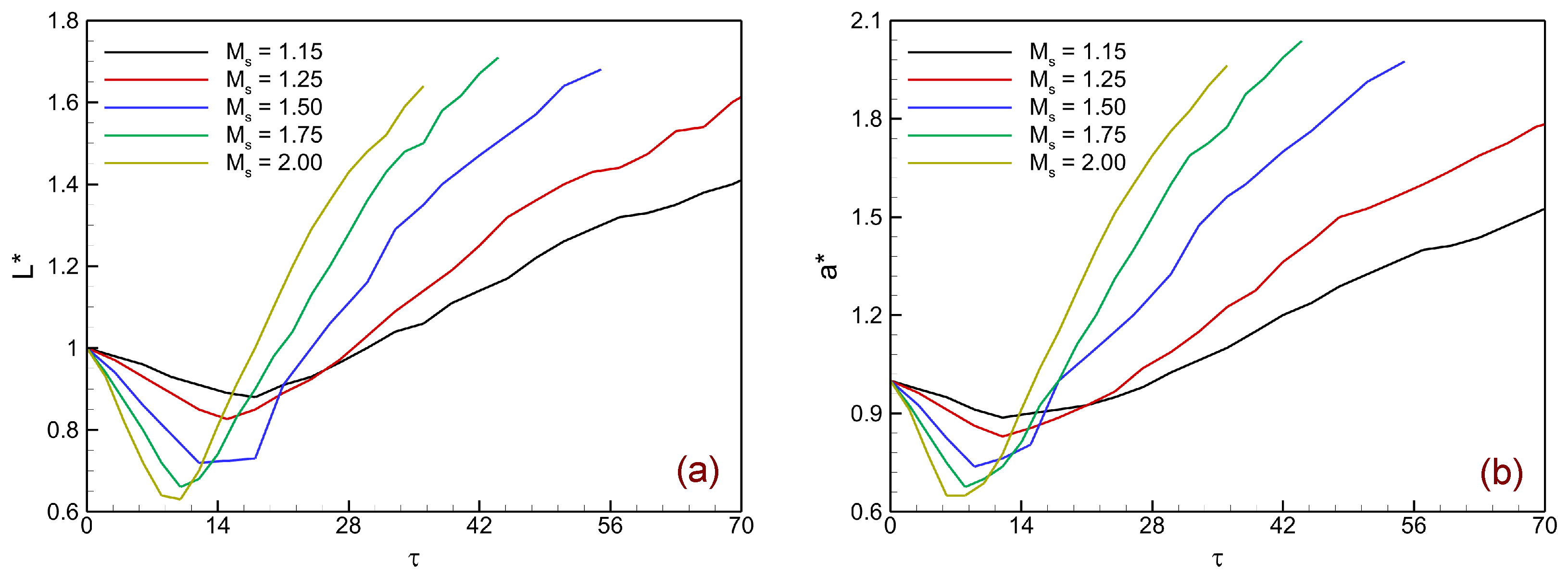
5.5. Interface Evolution and Morphological Measures
5.6. Influence of Controlling Parameters
5.6.1. Effect of Positive Atwood Number
5.6.2. Effect of Finite Layer Thickness
5.6.3. Effect of Initial Perturbation Amplitude
6. Conclusions and Outlook
Author Contributions
Funding
Data Availability Statement
Conflicts of Interest
References
- Brouillette, M. The Richtmyer-Meshkov instability. Annu. Rev. Fluid Mech. 2002, 34, 445. [Google Scholar] [CrossRef]
- Richtmyer, R.D. Taylor instability in shock acceleration of compressible fluids. Commun. Pure Appl. Math. 1960, 13, 297–319. [Google Scholar] [CrossRef]
- Meshkov, E.E. Instability of the interface of two gases accelerated by a shock wave. Commun. Pure Appl. Math. 1969, 4, 101. [Google Scholar] [CrossRef]
- Zhou, Y. Rayleigh–Taylor and Richtmyer–Meshkov instability induced flow, turbulence, and mixing. I. Phys. Rep. 2017, 720, 1–136. [Google Scholar]
- Zhou, Y. Rayleigh–Taylor and Richtmyer–Meshkov instability induced flow, turbulence, and mixing. II. Phys. Rep. 2017, 723, 1–160. [Google Scholar] [CrossRef]
- Zhou, Y.; Williams, R.J.R.; Ramaprabhu, P.; Groom, M.; Thornber, B.; Hillier, A.; Mostert, W.; Rollin, B.; Balachandar, S.; Powell, P.D.; et al. Rayleigh–Taylor and Richtmyer–Meshkov instabilities: A journey through scales. Phys. D Nonlinear Phenom. 2021, 423, 132838. [Google Scholar] [CrossRef]
- Zhou, Y.; Sadler, J.D.; Hurricane, O.A. Instabilities and mixing in inertial confinement fusion. Annu. Rev. Fluid Mech. 2025, 57, 197–225. [Google Scholar] [CrossRef]
- Prime, M.B.; Fensin, S.J.; Jones, D.R.; Dyer, J.W.; Martinez, D.T. Multiscale Richtmyer-Meshkov instability experiments to isolate the strain rate dependence of strength. Phys. Rev. E 2024, 109, 015002. [Google Scholar] [CrossRef]
- Betti, R.; Hurricane, O.A. Inertial-confinement fusion with lasers. Nat. Phys. 2016, 12, 435–448. [Google Scholar] [CrossRef]
- Kuranz, C.C.; Park, H.-S.; Huntington, C.M.; Miles, A.R.; Remington, B.A.; Plewa, T.; Trantham, M.R.; Robey, H.F.; Shvarts, D.; Shimony, A.; et al. How high energy fluxes may affect Rayleigh–Taylor instability growth in young supernova remnants. Nat. Commun. 2018, 9, 1564. [Google Scholar] [CrossRef]
- Urzay, J. Supersonic combustion in air-breathing propulsion systems for hypersonic flight. Annu. Rev. Fluid Mech. 2018, 50, 593–627. [Google Scholar] [CrossRef]
- Li, L.; Jin, T.; Zou, L.; Luo, K.; Fan, J. Numerical study of Richtmyer-Meshkov instability in finite thickness fluid layers with reshock. Phys. Rev. E 2024, 109, 055105. [Google Scholar] [CrossRef] [PubMed]
- Schill, W.J.; Armstrong, M.R.; Nguyen, J.H.; Sterbentz, D.M.; White, D.A.; Benedict, L.X.; Rieben, R.N.; Hoff, A.; Lorenzana, H.E.; Belof, J.L.; et al. Suppression of Richtmyer-Meshkov instability via special pairs of shocks and phase transitions. Phys. Rev. Lett. 2024, 132, 024001. [Google Scholar] [CrossRef] [PubMed]
- Zhou, Y. Hydrodynamic Instabilities and Turbulence: Rayleigh–Taylor, Richtmyer–Meshkov, and Kelvin–Helmholtz Mixing; Cambridge University Press: Cambridge, UK, 2024. [Google Scholar]
- Youngs, D.L. Numerical simulation of turbulent mixing by Rayleigh-Taylor instability. Phys. D Nonlinear Phenom. 1984, 12, 32–44. [Google Scholar] [CrossRef]
- Dimotaki, P.E. Turbulent mixing. Annu. Rev. Fluid Mech. 2005, 37, 329–356. [Google Scholar] [CrossRef]
- Samtaney, R.; Pullin, D.I. On initial-value and self-similar solutions of the compressible Euler equations. Phys. Fluids 1996, 8, 2650–2655. [Google Scholar] [CrossRef][Green Version]
- Velikovich, A.L.; Dimonte, G. Nonlinear perturbation theory of the incompressible Richtmyer-Meshkov instability. Phys. Rev. Lett. 1996, 76, 3112. [Google Scholar] [CrossRef]
- Singh, S. Contribution of Mach number to the evolution of the Richtmyer-Meshkov instability induced by a shock-accelerated square light bubble. Phys. Rev. Fluids 2021, 6, 104001. [Google Scholar] [CrossRef]
- Singh, S.; Battiato, M. Numerical investigation of shock Mach number effects on Richtmyer–Meshkov instability in a heavy square bubble. Phys. D Nonlinear Phenom. 2023, 453, 133844. [Google Scholar] [CrossRef]
- Lombardini, M.; Pullin, D.I.; Meiron, D.I. Transition to turbulence in shock-driven mixing: A Mach number study. J. Fluid Mech. 2012, 690, 203–226. [Google Scholar] [CrossRef]
- Braun, N.O.; Pullin, D.I.; Meiron, D.I. Large eddy simulation investigation of the canonical shock–turbulence interaction. J. Fluid Mech. 2019, 858, 500–535. [Google Scholar] [CrossRef]
- Rikanati, A.; Oron, D.; Sadot, O.; Shvarts, D. High initial amplitude and high Mach number effects on the evolution of the single-mode Richtmyer-Meshkov instability. Phys. Rev. E 2003, 67, 026307. [Google Scholar] [CrossRef] [PubMed]
- Quirk, J.J.; Karni, S. On the dynamics of a shock–bubble interaction. J. Fluid Mech. 1996, 318, 129–163. [Google Scholar] [CrossRef]
- Haas, J.F.; Sturtevant, B. Interaction of weak shock waves with cylindrical and spherical gas inhomogeneitiesn. J. Fluid Mech. 1987, 181, 41–76. [Google Scholar] [CrossRef]
- Gowardhan, A.A.; Grinstein, F.F. Numerical simulation of Richtmyer–Meshkov instabilities in shocked gas curtains. J. Turbul. 2011, 12, N43. [Google Scholar] [CrossRef]
- Singh, S.; Battiato, M.; Myong, R.S. Impact of bulk viscosity on flow morphology of shock-accelerated cylindrical light bubble in diatomic and polyatomic gasess. Phy. Fluids 2021, 33, 066103. [Google Scholar] [CrossRef]
- Chen, Y.; Jin, T.; Zou, L. Numerical study of Richtmyer–Meshkov instability in shocked composite curtain under different initial conditions. Phy. Fluids 2025, 37, 034106. [Google Scholar] [CrossRef]
- Mikaelian, K.O. Numerical simulations of Richtmyer–Meshkov instabilities in finite-thickness fluid layers. Phy. Fluids 1996, 8, 1269–1292. [Google Scholar] [CrossRef]
- Msmali, A.H.; Singh, S.; Meetei, M.Z. Single-Mode Richtmyer–Meshkov Instability in Light Fluid Layer: Insights from Numerical Simulations. Axioms 2025, 14, 473. [Google Scholar] [CrossRef]
- Zhang, D.; Ding, J.; Si, T.; Luo, X. Divergent Richtmyer–Meshkov instability on a heavy gas layer. J. Fluid Mech. 2023, 959, A37. [Google Scholar] [CrossRef]
- Lindl, J. Development of the indirect-drive approach to inertial confinement fusion and the target physics basis for ignition and gain. Phy. Plasmas 1995, 2, 3933–4024. [Google Scholar] [CrossRef]
- Alsaeed, S.S.; Satyvir, S.; Alrubea, N.A. Numerical investigation of Atwood number effects on shock-driven single-mode stratified heavy fluid layers. Mathematics 2025, 13, 3032. [Google Scholar] [CrossRef]
- Alsaeed, S.S.; Satyvir, S.; Alrubea, N.A. Layer thickness impact on shock-accelerated interfacial instabilities in single-mode stratifications. Appl. Sci. 2025, 15, 10687. [Google Scholar] [CrossRef]
- Jacobs, J.W.; Krivets, V.V. Experiments on the late-time development of single-mode Richtmyer–Meshkov instability. Phy. Fluids 2005, 17, 034105. [Google Scholar] [CrossRef]
- Holmes, R.L.; Dimonte, G.; Fryxell, B.; Gittings, M.L.; Grove, J.W.; Schneider, M.; Sharp, D.H.; Velikovich, A.L.; Weaver, R.P.; Zhang, Q. Richtmyer–Meshkov instability growth: Experiment, simulation and theory. J. Fluid Mech. 1999, 389, 55–79. [Google Scholar] [CrossRef]
- Singh, S.; Battiato, M. Numerical simulations of Richtmyer–Meshkov instability of SF6 square bubble in diatomic and polyatomic gases. Comput. Fluids 2022, 242, 105502. [Google Scholar] [CrossRef]
- Anuchina, N.N.; Volkov, V.I.; Gordeychuk, V.A.; Es’ kov, N.S.; Ilyutina, O.S.; Kozyrev, O.M. Numerical simulations of Rayleigh–Taylor and Richtmyer–Meshkov instability using MAH-3 code. J. Comput. Appl. Math. 2004, 168, 11–20. [Google Scholar] [CrossRef]
- Tapinou, K.C.; Wheatley, V.; Bond, D.; Jahn, I. The Richtmyer–Meshkov instability of thermal, isotope and species interfaces in a five-moment multi-fluid plasma. J. Fluid Mech. 2022, 951, A11. [Google Scholar] [CrossRef]
- Sashi Kumar, G.N.; Maheshwari, N.K. A lattice Boltzmann method for simulation of multi-species shock accelerated flows. Int. J. Comut. Fluid Dyn. 2018, 32, 19–34. [Google Scholar] [CrossRef]
- Cockburn, B.; Shu, C.-W. The Runge–Kutta discontinuous Galerkin method for conservation laws V: Multidimensional systems. J. Comput. Phys. 1998, 141, 199–224. [Google Scholar] [CrossRef]
- Krivodonova, L.; Xin, J.; Remacle, J.F.; Chevaugeon, N.; Flaherty, J.E. Shock detection and limiting with discontinuous Galerkin methods for hyperbolic conservation laws. App. Num. Math. 2004, 48, 323–338. [Google Scholar] [CrossRef]
- Singh, S.; Karchani, A.; Chourushi, T.; Myong, R.S. A three-dimensional modal discontinuous Galerkin method for the second-order Boltzmann-Curtiss-based constitutive model of rarefied and microscale gas flows. J. Comput. Phys. 2022, 457, 111052. [Google Scholar] [CrossRef]
- Wang, Z.; Yao, K.; Chang, J.; Yue, L.; Chen, H.; Huang, R.; Chao, Y. Experimental investigation of shock-wave–streamwise-vortex interaction. AIAA J. 2025, 63, 3079–3106. [Google Scholar] [CrossRef]
- Wang, Z.; Yao, K.; Xin, X.; Huang, R.; Chang, J. Experimental and numerical simulation of shock train characteristics in the concave channel. J. Propuls. Power 2025, 41, 602–623. [Google Scholar] [CrossRef]
- Tang, Y.; Wei, X.; Liu, Y. Hybrid RANS-LES simulation of rotor–stator interaction in a compressor stage using a grid-adaptive simulation method. J. Turbomach. 2025, 147, 071001. [Google Scholar] [CrossRef]
- Tang, Y.; Wei, X.; Liu, Y. einforcement learning-based plasma flow control of asymmetric vortices over a slender body at high angles of attack. Phys. Fluids 2025, 37, 035138. [Google Scholar]
- Fujio, C.; Ogawa, H. Optimization and data mining for shock-induced mixing enhancement inside scramjet using stochastic deep-learning flowfield prediction. Aerosp. Sci. Technol. 2025, 154, 109513. [Google Scholar] [CrossRef]
- Peng, S.; Chen, Q. Hypermixer induced shock-vortex-plume interaction and mixing enhancement in a high Mach number supersonic flow. Phys. Fluids 2025, 37, 096128. [Google Scholar] [CrossRef]
- Singh, S. Investigation of aspect ratio effects on flow characteristics and vorticity generation in shock-induced rectangular bubble. Eur. J. Mech. B Fluids 2023, 101, 131–148. [Google Scholar] [CrossRef]
- Johnsen, E.; Colonius, T. Implementation of WENO schemes in compressible multicomponent flow problems. J. Comput. Phys. 2006, 219, 715–732. [Google Scholar] [CrossRef]
- Gottlieb, S.; Shu, C.-W.; Tadmor, E. Strong stability-preserving high-order time discretization methods. SIAM Rev. 2001, 43, 89–112. [Google Scholar] [CrossRef]
- Luo, X.; Dong, P.; Si, T.; Zhai, Z. The Richtmyer–Meshkov instability of a ‘V’shaped air/SF6 interface. J. Fluid Mech. 2016, 802, 186–202. [Google Scholar] [CrossRef]
- Ou, J.; Zhai, Z. Effects of aspect ratio on shock-cylinder interaction. Acta Mech. Sin. 2019, 35, 61–69. [Google Scholar] [CrossRef]






























| Gas | Heat Ratio () | Density () | Specific Heat () | Molecular Weight () |
|---|---|---|---|---|
| N2 | 1.40 | 1.25 × 10−3 | 1.04 × 10−3 | 28.0134 |
| SF6 | 1.09 | 6.03 × 10−3 | 0.656 × 10−3 | 128.491 |
| Controlling Parameter | Symbol | Varied Values | Fixed Parameters | Figure Reference/Description |
|---|---|---|---|---|
| Atwood number | A | 0.30, 0.52, 0.72 | , | Figure 25 and Figure 26: Effect of density contrast on instability evolution |
| Layer thickness | 2.5, 10, 40 | A = 0.67, | Figure 27 and Figure 28: Influence of finite-layer geometry on wave coupling | |
| Initial perturbation amplitude | a0/λ | 0.025, 0.10, 0.40 | A = 0.67, | Figure 29 and Figure 30: Effect of perturbation strength on nonlinear growth |
Disclaimer/Publisher’s Note: The statements, opinions and data contained in all publications are solely those of the individual author(s) and contributor(s) and not of MDPI and/or the editor(s). MDPI and/or the editor(s) disclaim responsibility for any injury to people or property resulting from any ideas, methods, instructions or products referred to in the content. |
© 2025 by the authors. Licensee MDPI, Basel, Switzerland. This article is an open access article distributed under the terms and conditions of the Creative Commons Attribution (CC BY) license (https://creativecommons.org/licenses/by/4.0/).
Share and Cite
Alsaeed, S.S.; Singh, S.; Alshammari, N.F. Shock Mach Number Effect on Instability Evolution at a Light–Heavy Fluid Interface: A Numerical Investigation. Axioms 2025, 14, 813. https://doi.org/10.3390/axioms14110813
Alsaeed SS, Singh S, Alshammari NF. Shock Mach Number Effect on Instability Evolution at a Light–Heavy Fluid Interface: A Numerical Investigation. Axioms. 2025; 14(11):813. https://doi.org/10.3390/axioms14110813
Chicago/Turabian StyleAlsaeed, Salman Saud, Satyvir Singh, and Nahar F. Alshammari. 2025. "Shock Mach Number Effect on Instability Evolution at a Light–Heavy Fluid Interface: A Numerical Investigation" Axioms 14, no. 11: 813. https://doi.org/10.3390/axioms14110813
APA StyleAlsaeed, S. S., Singh, S., & Alshammari, N. F. (2025). Shock Mach Number Effect on Instability Evolution at a Light–Heavy Fluid Interface: A Numerical Investigation. Axioms, 14(11), 813. https://doi.org/10.3390/axioms14110813

