Next Article in Journal
On Order Degree Problem for Moore Bound
Previous Article in Journal
Hybrid Euler–Lagrange Approach for Fractional-Order Modeling of Glucose–Insulin Dynamics
 
 
Font Type:
Arial Georgia Verdana
Font Size:
Aa Aa Aa
Line Spacing:
Column Width:
Background:
Article

Estimation of the Inverse Power Lindley Distribution Parameters Using Ranked Set Sampling with an Application to Failure Time Data

by
Ghadah Alomani
1,
Sid Ahmed Benchiha
2 and
Amer Ibrahim Al-Omari
3,4,*
1
Department of Mathematical Sciences, College of Science, Princess Nourah bint Abdulrahman University, P.O. Box 84428, Riyadh 11671, Saudi Arabia
2
Laboratory of Statistics and Stochastic Processes, University of Djillali Liabes, BP 89, Sidi Bel Abbes 22000, Algeria
3
Department of Mathematics, Faculty of Science, Al Al-Bayt University, Mafraq 25113, Jordan
4
Department of Mathematical & Physical Sciences, College of Ats and Sciences, University of Nizwa, Nizwa 616, Oman
*
Author to whom correspondence should be addressed.
Axioms 2025, 14(11), 801; https://doi.org/10.3390/axioms14110801
Submission received: 12 September 2025 / Revised: 22 October 2025 / Accepted: 26 October 2025 / Published: 30 October 2025
(This article belongs to the Section Mathematical Analysis)

Abstract

In this paper, the ranked set sampling method (RSS) is considered for estimating the inverse power Lindley distribution (IPLD) parameters and compared with the commonly simple random sampling. Different estimation methods are investigated including the commonly maximum likelihood, minimum distance estimation methods (Anderson Darling (AD), right tail Anderson Darling, left tail Anderson Darling, AD left tail second order, Cramér-von Mises), methods of maximum and minimum spacing distance (maximum product spacing distance, minimum spacing distance), methods of ordinary and weighted least squares, and the Kolmogorov–Smirnov method. A simulation study is conducted to compare these methods using RSS and SRS based on the same number of measured units in terms of mean squared error, bias, efficiency, and mean relative estimation error. A failure data set is fitted to the IPLD and the proposed estimation methods are applied to the data.

1. Introduction

Ranked set sampling (RSS) is an advanced statistical sampling technique introduced by [1] that improves parameter estimation accuracy compared to simple random sampling (SRS). It is particularly beneficial in situations where precise measurements are costly, time-consuming, or destructive, while ranking the units is relatively easy and inexpensive. The RSS is widely applied in various fields, including agriculture, environmental science, reliability analysis, and medical research. Over time, it has been adapted into different variations, such as modified RSS, extreme RSS, median RSS, and multistage RSS to suit specific research needs. Its efficiency and flexibility make RSS an essential tool in modern statistical inference and data collection methodologies.
Let X be a random variable representing a characteristic of interest with mean μ = E ( X ) and variance σ 2 . Let X i j denote the j-th observation in the i-th set, where i = 1 , 2 , , m and j = 1 , 2 , , m .
The RSS process can be performed with m sets, each of size m as in the following steps:
  • Chose m random sets from the population of interest as
    X 11 , X 12 , , X 1 m X 21 , X 22 , , X 2 m X m 1 , X m 2 , , X m m
  • Rank the units in each set through an inexpensive technique, for example, visual ranking or using an auxiliary variable as
    X 1 ( 1 ) , X 1 ( 2 ) , , X 1 ( m ) X 2 ( 1 ) X 2 ( 2 ) , X 2 ( m ) X m ( 1 ) , X m ( 2 ) , , X m ( m )
    where X i ( j ) denotes the j-th smallest order unit in i-th set.
  • From the i-th set, select the i-th ranked unit X i ( i ) , by selecting from the first set, the smallest-ranked observation X 1 ( 1 ) is measured, from the second set, the second-smallest observation X 2 ( 2 ) is measured. This process continues, with the m-th set contributing the highest-ranked observation X m ( m ) as Axioms 14 00801 i001
    Then, the final RSS sample which can be used for actual measurement is: X RSS = { X 1 ( 1 ) , X 2 ( 2 ) , , X m ( m ) } .
The probability density function (pdf) and cumulative distribution function (CDF) of the X ( i : m ) , respectively, are given by
f ( x ( i : m ) ) = m ! ( i 1 ) ! ( m i ) ! f ( x ( i : m ) ) [ F ( x ( i : m ) j ) ] i 1 [ 1 F ( x ( i : m ) ) ] m i ,
and
F ( x ( k : m ) j ) = h = k m m ! h ! ( m h ) ! [ F ( x ( k : m ) ) ] h [ 1 F ( x ( k : m ) ; ) ] m h .
The final RSS sample consists of the measured values X i ( i ) for i = 1 , 2 , , m . The RSS-based estimator for the population mean is given by μ ^ R S S = 1 m i = 1 m X i ( i ) , which is generally more efficient than the simple SRS estimator. It can be shown that E ( μ ^ R S S ) = μ , that is the RSS estimator is unbiased for μ [2]. The variance of the RSS mean estimator is generally lower than that of the SRS estimator ( Var ( μ ^ R S S ) Var ( μ ^ S R S ) ) based on the same size of measured units with variance:
σ ^ R S S 2 = 1 m 1 i = 1 m ( X i ( i ) μ ^ R S S ) 2 .
In general, the RSS enhances estimation accuracy by incorporating ranking information, particularly when ranking is highly correlated with actual measurements. The efficiency gain depends on the strength of ranking and the underlying population distribution. In many practical applications, RSS achieves the same estimation precision as SRS but with a smaller sample size, making it a valuable method in scenarios where exact measurements are costly or time-consuming.
Recently, numerous studies have explored RSS by introducing modifications or applying it to estimate population parameters across various fields.
Ref. [3] proposed balanced groups RSS for mean estimation. Ref. [4] suggested a multistage RSS for estimating the population mean, which increases efficiency for a fixed sample size. A modified robust extreme RSS is proposed by [5] for estimating the population mean. Ref. [6] offered a mixed RSS as a variation of the RSS for parameters estimation. Ref. [7] studied the maximum likelihood estimators using RSS of the log–logistic distribution parameters. Ref. [8] investigated the problem of estimating log–logistic parameters using the moving extremes RSS. Ref. [9] considered the RSS in estimating the inverted Kumaraswamy distribution parameters. Ref. [10] investigated the population mean under stratified RSS. Ref. [11] studied the RSS in estimating the Xgamma distribution parameters with an application to real data. Ref. [12] introduced a review of RSS and its modified methods in developing control charts. Ref. [13] proposed the dual RSS method. Ref. [14] investigated the RSS in various estimation methods for the power logarithmic distribution. Ref. [15] suggested new modification to the median quartile double RSS for estimating the population mean. Ref. [16] utilized the neutrosophic median RSS for mean estimation with an application to demographic data. Ref. [17] considered mean estimation using RSS in the presence of measurement errors. Ref. [18] recommended the RSS in evaluating the performance of control charts. Ref. [19] used the RSS in estimating the parameters of the unit Lindley distribution. Ref. [20] used the RSS for estimating the stress-strength reliability for the Beta-Lomax distribution. Ref. [21] investigated the RSS in estimating the parameter of the exponential-Poisson distribution. Ref. [22] considered the MRSS for estimating the log–logistic distribution using median RSS based on the maximum likelihood estimation.
The Lindley distribution is proposed by [23] by mixing the exponential and gamma distributions with respective pdfs:
f 1 ( x β ) = β e β x , x > 0 , β > 0 , and f 2 ( x 2 , β ) = β 2 x e β x , x > 0 , β > 0
to get the pdf of Lindley distribution as
f ( x β ) = β 2 1 + β ( 1 + x ) e β x , x > 0 , β > 0 .
Due to the importance of this distribution, many modifications and applications for this distribution are investigated in the literature as the inverse Lindley distribution by [24], the power Lindley distribution by [25], which is a mixture of Weibull distribution with shape parameter α and scale parameter β and the generalized gamma distribution with scale parameter β , and shape parameters 2 and α . Ref. [26] considered Bayesian and non-Bayesian estimations of truncated inverse power Lindley distribution under progressively type-II censored data and studied it by Bayesian and non-Bayesian estimations. Ref. [27] suggested heavy-tailed inverse power Lindley Type-I model.
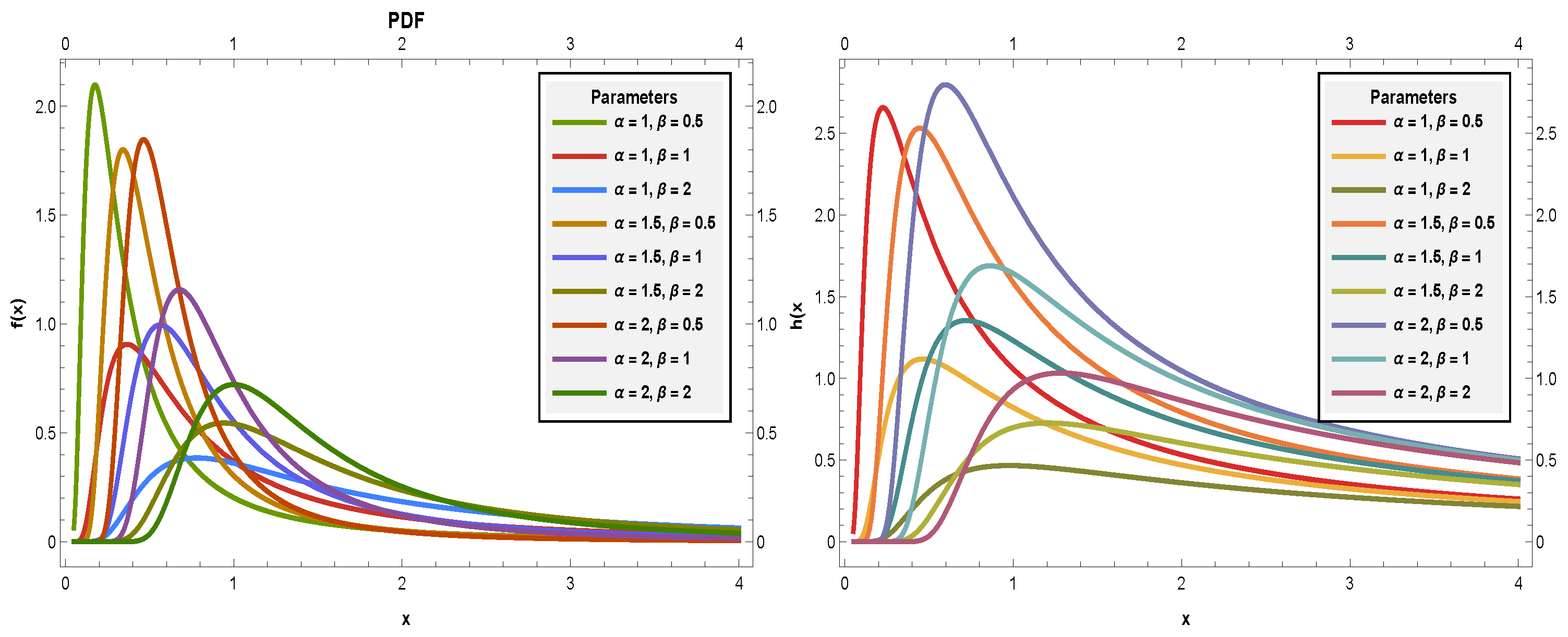
The pdf of the inverse power Lindley distribution [28] is given by
f ( x α , β ) = α β 2 1 + β 1 + x α x 2 α + 1 e β x α , x > 0 , α > 0 , β > 0 ,
where α is the location parameter and β the scale parameter. The corresponding cumulative distribution function (CDF) and hazard rate function (HRF) for the PILD are respectively in Figure 1, given by
F ( x α , β ) = 1 + β 1 + β · 1 x α e β x α , x > 0 , α > 0 , β > 0
h ( x α , β ) = α β 2 ( 1 + x α ) x β + x α ( 1 + β ) ( e β x α 1 ) , x > 0 , α > 0 , β > 0 .
The main objectives of the study are
  • To estimate the parameters of the inverse power Lindley distribution using RSS technique, and to compare the performance of RSS with the SRS method in parameter estimation.
  • To evaluate and compare multiple estimation techniques, including: maximum Likelihood estimation, minimum distance estimation methods (Anderson–Darling, right-tail AD, left-tail AD, left-tail second order AD, Cramér–von Mises), maximum and minimum spacing distance methods, ordinary and weighted least squares methods, and the Kolmogorov–Smirnov method.
  • To conduct a simulation study assessing each estimation method under RSS and SRS using performance criteria such as mean squared error (MSE), bias, efficiency, and mean relative estimation error (MRE).
  • To apply the proposed estimation approaches to a real failure data set to demonstrate the practical utility of RSS in estimating IPLD parameters.
The rest of this paper is organized as follows. In Section 2, different estimation methods are introduced. A detailed numerical simulations are given in Section 3. An application of real data is presented in Section 4. In Section 5, main results for the work are presented along with some directions for further works.

2. Methods of Estimation

In this section, we investigate fifteen estimation method to estimate the parameters α and β of the I-PL distribution. Within this framework, we denote t ( s : v ) h as the s t h ranked observation (i.e., the s t h order statistic) in the s t h subset of the h t h cycle, where s ranges from 1 to d and h ranges from 1 to v. These observations form the RSS data for T, with a total sample size of m = d v . For simplification, we represent the selected sample under the RSS design as t s h .

2.1. Maximum Likelihood Estimation

This section derives the maximum likelihood estimators (MLEs) for parameters α and β of the I-PL distribution using the RSS methodology. MLEs is the most widely used estimation method in statistics due to its optimal asymptotic properties (consistency, asymptotic efficiency, and asymptotic normality). Let z s h = ( z s h , s = 1 , , d , h = 1 , 2 , , v ) represent the observed RSS data with sample size m = d v , where d indicates the set size and v denotes the number of cycles, all sampled from the I-PL distribution.
Based on this RSS data, the likelihood function L ( α , β ) is expressed as
L ( α , β ) = h = 1 v s = 1 d g ( s : d ) ( t s h , α , β ) ,
where
g ( s : d ) ( t s h , α , β ) = 1 B ( s , d s + 1 ) G ( t s h , α , β ) s 1 1 G ( t s h , α , β ) d s g ( t s h , α , β ) = α β 2 ( 1 + β ) B ( s , d s + 1 ) β β + 1 t s h α + 1 e β t s h α s 1 × 1 + t s h α t s h 2 α + 1 e β t s h α 1 β β + 1 t s h α + 1 e β t s h α d s .
The log-likelihood function of (2) is as follows:
log L m log α + 2 m log β m log ( β + 1 ) + h = 1 v s = 1 d ( s 1 ) log Ψ ( t s h , α , β ) β h = 1 v s = 1 d s t s h α + h = 1 v s = 1 d ( d s ) log 1 Ψ ( t s h , α , β ) e β t s h α + h = 1 v s = 1 d log 1 + t s h α t s h 2 α + 1 ,
where Ψ ( t s h , α , β ) = β β + 1 t s h α + 1 .
The MLEs α ˜ 1 of α , and β ˜ 1 of β can be obtained by solving simultaneously the following normal equations:
log l α = m α + h = 1 v s = 1 d ( s 1 ) Ψ α ( t s h , α , β ) Ψ ( t s h , α , β ) + β h = 1 v s = 1 d s log t t s h α h = 1 v s = 1 d t s h 2 α 1 log t s h t s h α + 2 h = 1 v s = 1 d ( d s ) Ψ α ( t s h , α , β ) e β t s h α + Ψ ( t s h , α , β ) log t s h β e β t s h α t s h α 1 Ψ ( t s h , α , β ) e β t s h α = 0
and
log l β = 2 m β + h = 1 v s = 1 d ( s 1 ) Ψ β ( t s h , α , β ) Ψ ( t s h , α , β ) h = 1 v s = 1 d s t s h α h = 1 v s = 1 d ( d s ) Ψ β ( t s h , α , β ) e β t s h α Ψ ( t s h , α , β ) t α e β t s h α 1 Ψ ( t s h , α , β ) e β t s h α = 0 ,
where, Ψ α ( t s h , α , β ) = log t s h β t s h α β + 1 and Ψ β ( t s h , α , β ) = 1 t s h α β + 1 2 .
To solve for α ˜ M L E and β ˜ M L E , numerical methods are required since these estimators cannot be expressed in closed form. Nonlinear optimization algorithms such as the Newton–Raphson iterative method would be appropriate for computing these values.

2.2. Minimum Distance Estimation Methods

Estimation methods that rely on minimizing well-established goodness-of-fit statistics are often effective and yield reliable results in various scenarios. In this study, five widely used techniques are considered, each aiming to minimize the discrepancy between the theoretical and empirical cumulative distribution functions.

2.2.1. Anderson–Darling

The Anderson–Darling method is particularly appropriate for capturing tail behavior accurately. Consider an ordered sample t ( 1 : m ) , t ( 2 : m ) , , t ( m : m ) obtained from a RSS of size m = d v , where d represents the set size and v is the cycle number, drawn from the I-PL distribution. The Anderson–Darling estimates (ADEs) for α and β , denoted as α ˜ A D and β ˜ A D , are obtained by minimizing the following function:
ϑ 1 ( α , β ) = m 1 m i = 1 m ( 2 i 1 ) log G t ( i 1 : n ) α , β + log S t ( 1 + m i : m ) α , β ,
where S . α , β represents the survival function. Instead of directly using (3), the values α ˜ A D E and β ˜ A D E can be numerically determined by solving the following nonlinear equations:
ϑ 1 ( α , β ) α = i = 1 m ( 2 i 1 ) δ α t ( i : m ) α , β G t ( i : m ) α , β + δ α t ( 1 + m i : m ) α , β S t ( 1 + m i : m ) α , β = 0 ,
and
ϑ 1 ( α , β ) β = i = 1 m ( 2 i 1 ) δ β t ( i : m ) α , β G t ( i : m ) α , β + δ β t ( 1 + m i : m ) α , β S t ( 1 + m i : m ) α , β = 0 ,
where
δ α t ( i : m ) α , β = α G z ( i 1 : n ) α , β = log t ( i : m ) t ( i : m ) α + 1 β 2 e β t ( i : m ) α t ( i : m ) 2 α β + 1 ,
and
δ β t ( i : m ) α , β = β G z ( i 1 : n ) α , β = β t ( i : m ) α + 1 β + 2 t ( i : m ) α + 1 e β t ( i : m ) α t ( i : m ) 2 α β + 1 2 ,
and δ α t ( i 1 : m ) α , β and δ β t ( i 1 : m ) α , β have similar expressions with the ordered sample t ( i 1 : m ) .

2.2.2. Right-Tail Anderson–Darling

The Right-Tail Anderson–Darling specifically emphasizes the right tail of the distribution. Consider an ordered sample t ( 1 : m ) , t ( 2 : m ) , , t ( m : m ) obtained from an RSS of size m = d v , where d represents the set size and v is the cycle number, drawn from the I-PL distribution. The right-tail Anderson–Darling estimates (RTADEs) for α and β , denoted as α ˜ R T A D E and β ˜ R T A D E , are obtained by minimizing the following function:
ϑ 2 ( α , β ) = m 2 2 i = 1 m G t ( i : m ) α , β 1 m i = 1 m ( 2 i 1 ) log S t ( m + 1 i : m ) α , β .
Instead of directly using (6), the values α ˜ R T A D E and β ˜ R T A D E can be determined numerically by solving the following nonlinear equations:
ϑ 2 ( α , β ) α = 2 i = 1 m δ α t ( i : m ) α , β G t ( i : m ) α , β 1 m i = 1 m ( 2 i 1 ) δ α t ( 1 + m i : m ) α , β S t ( 1 + m i : m ) α , β = 0 ,
and
ϑ 2 ( α , β ) β = 2 i = 1 m δ β t ( i : m ) α , β G t ( i : m ) α , β 1 m i = 1 m ( 2 i 1 ) δ β t ( 1 + m i : m ) α , β S t ( 1 + m i : m ) α , β = 0 ,
where δ α . α , β and δ β . α , β are given in (4) and (5).

2.2.3. Left-Tail Anderson–Darling

The Left-Tail Anderson–Darling focuses on the left tail of the distribution. It is useful when early failures or small values are of particular concern, such as in quality control applications. Let t ( 1 : m ) , t ( 2 : m ) , , t ( m : m ) be an ordered sample obtained from the I-PL distribution and forming an RSS of size m = s w , where s represents the set size and w is the cycle number. The Left-Tail Anderson–Darling estimates (LTADEs) for α and β , denoted as α ˜ L T A D E and β ˜ L T A D E , are determined by minimizing the following function:
ϑ 3 ( α , β ) = 3 m 2 + 2 i = 1 m G t ( i : m ) α , β 1 m i = 1 m ( 2 i 1 ) log G t ( i : m ) α , β .
The following nonlinear equations can be solved numerically instead of (7) to obtain α ˜ L T A D E and β ˜ L T A D E :
ϑ 3 ( α , β ) α = 2 i = 1 m δ α t ( i : m ) α , β 1 m i = 1 m ( 2 i 1 ) δ α t ( i : m ) α , β G t ( i : m ) α , β = 0 ,
and
ϑ 3 ( α , β ) β = 2 i = 1 m δ β t ( i : m ) α , β 1 m i = 1 m ( 2 i 1 ) δ β t ( i : m ) α , β G t ( i : m ) α , β = 0 ,
where δ α . α , β and δ β . α , β are given in (4) and (5).

2.2.4. AD Left-Tail Second Order

The Left-Tail Anderson–Darling second-order provides enhanced emphasis on the extreme left-tail with second-order weighting and offers even more sensitivity to the behavior of the distribution near zero, which can be critical for certain applications. Let t ( 1 : m ) , t ( 2 : m ) , , t ( m : m ) be an ordered sample constructed using the I-PL distribution, resulting in an RSS of size m = s w with set size s and cycle number w. The Left-Tail Anderson–Darling second-order estimate (ADSOE) for α and β , denoted as α ˜ 5 and β ˜ 5 , is obtained by minimizing the function below:
ϑ 4 ( α , β ) = 2 i = 1 m log G t ( i : m ) α , β + 1 m i = 1 m ( 2 i 1 ) G t ( i : m ) α , β .
Instead of solving Equation (8) directly, one can solve the following nonlinear equations to obtain α ˜ A D S O E and β ˜ A D S O E :
ϑ 4 ( α , β ) α = 2 i = 1 m δ α t ( i : m ) α , β G t ( i : m ) α , β 1 m i = 1 m ( 2 i 1 ) δ α t ( i : m ) α , β G 2 t ( i : m ) α , β = 0 ,
and
ϑ 4 ( α , β ) β = 2 i = 1 m δ β t ( i : m ) α , β G t ( i : m ) α , β 1 m i = 1 m ( 2 i 1 ) δ β t ( i : m ) α , β G 2 t ( i : m ) α , β = 0 ,
where δ α . α , β and δ β . α , β are given in (4) and (5).

2.2.5. Cramér–von Mises Estimators

The Cramér–von Mises provides balanced estimation across the entire support of the distribution without emphasizing any particular region, making it a robust general-purpose estimator. Let t ( 1 : m ) , t ( 2 : m ) , , t ( m : m ) be an ordered sample created using the I-PL distribution, which yields an RSS of size m = d v , where d is the set size and v is the cycle number. The Cramér–von Mises estimates (CVMEs) for α and β , denoted as α ˜ C V M E and β ˜ C V M E , can be obtained by minimizing the following function:
ϑ 5 ( α , β ) = 1 12 m + i = 1 m G v ( i : m ) α , β 2 i 1 2 m 2 .
Instead of using (9), one may solve the following nonlinear equations to obtain α ˜ C V M E and β ˜ C V M E :
ϑ 5 ( α , β ) α = i = 1 m G t ( i : m ) α , β 2 i 1 2 m δ α t ( i : m ) α , β = 0 ,
and
ϑ 5 ( α , β ) β = i = 1 m G t ( i : m ) α , β 2 i 1 2 m δ β t ( i : m ) α , β = 0 ,
where, δ α . α , β amd δ β . α , β are given in (4) and (5).

2.3. Method of Maximum and Minimum Spacing Distance

The MPS approach was first presented by Cheng and Amin [29,30]. This approach depends on maximizing the geometric mean of the data’s spacings. For the most part, the MPS method is particularly effective for small samples and distributions with complex functional forms. MPS is less sensitive to outliers and model misspecification than MLE.

2.3.1. Maximum Product Spacing Distance

Suppose that t ( 1 : m ) , t ( 2 : m ) , , t ( m : m ) form an ordered sample creating an RSS of size m = d v , gathered from the I-PL distribution. The uniform spacing is then determined by
Λ i = G t ( i : m ) α , β G t ( i 1 : m ) α , β , i = 1 , 2 , , m + 1 .
Note that G t ( 0 : m ) α , β = 0 , G t ( m + 1 : m ) α , β = 1 , and i = 1 m + 1 Λ i = 1 .
The following function is maximized with respect to α and β to obtain the MPS estimates (MPSEs) α ˜ M P S E and β ˜ M P S E :
η = 1 m + 1 i = 1 m + 1 log Λ i .
The MPSEs α ˜ M P S E and β ˜ M P S R can be obtained through the numerical computation of the following equations:
η α = 1 m + 1 i = 1 m + 1 1 Λ i δ α t ( i : m ) α , β δ α t ( i 1 : m ) α , β = 0 ,
and
η β = 1 m + 1 i = 1 m + 1 1 Λ i δ β t ( i : m ) α , β δ β t ( i 1 : m ) α , β = 0 ,
where δ α . α , β and δ β . α , β are given in (4) and (5).

2.3.2. Minimum Spacing Distance

Minimum spacing distance estimators provide a distribution-free approach that does not require complete specification of the likelihood function and is computationally simpler in some cases. Consider t ( 1 : m ) , t ( 2 : m ) , , t ( m : m ) as an ordered sample obtained from the I-PL distribution distribution, with cycle number w and set size s, forming an RSS of size m = s w . We can derive various parameter estimates by minimizing specific objective functions.
  • Minimum spacing absolute distance
    By minimizing the following function, we obtain the minimum spacing absolute distance Estimates (MSADEs) α ˜ M S A D E of α and β ˜ M S A D E of β :
    χ 1 = i = 1 m + 1 Λ i 1 m + 1 .
    Instead of directly solving Equation (10), the following non-linear equations can be solved to obtain α ˜ 8 and β ˜ 8 :
    χ 1 α = i = 1 m + 1 Λ i 1 m + 1 Λ i 1 m + 1 δ α t ( i : m ) α , β δ α t ( i 1 : m ) α , β = 0 ,
    and
    χ 1 β = i = 1 m + 1 Λ i 1 m + 1 Λ i 1 m + 1 δ β t ( i : m ) α , β δ β t ( i 1 : m ) α , β = 0 ,
    where δ α . α , β and δ β . α , β are given in Equations (4) and (5).
  • Minimum spacing absolute-log distance
    By minimizing the following function, we obtain and the minimum spacing absolute-log distance Estimates (MSALDEs) α ˜ M S A L D E of α and β ˜ M S A L D E of β ,
    χ 2 = i = 1 m + 1 log Λ i log 1 m + 1
    Similarly, we can solve the following non-linear equations instead of Equation (11) to obtain α ˜ M S A L D E and β ˜ M S A L D E :
    χ 2 α = i = 1 m + 1 log Λ i log 1 m + 1 log Λ i log 1 m + 1 1 Λ i δ α t ( i : m ) α , β δ α t ( i 1 : m ) α , β = 0 ,
    and
    χ 2 β = i = 1 m + 1 log Λ i log 1 m + 1 log Λ i log 1 m + 1 1 Λ i δ β t ( i : m ) α , β δ β t ( i 1 : m ) α , β = 0 ,
    where δ α . α , β and δ β . α , β are given in Equations (4) and (5).
  • Minimum spacing square distance
    Next, by minimizing the following function, we determine the minimum spacing square distance Estimates (MSSDEs) α ˜ M S S D E of α and β ˜ M S S D E of β :
    χ 3 = i = 1 m + 1 Λ i 1 m + 1 2 , .
    Instead of solving Equation (12) directly, the following non-linear equations can be solved to obtain α ˜ 10 and β ˜ 10 :
    χ 3 α = i = 1 m + 1 Λ i 1 m + 1 δ α t ( i : m ) α , β δ α t ( i 1 : m ) α , β = 0 ,
    and
    χ 3 β = i = 1 m + 1 Λ i 1 m + 1 δ β t ( i : m ) α , β δ β t ( i 1 : m ) α , β = 0 ,
    where δ α . α , β and δ β . α , β are given in Equations (4) and (5).
  • Minimum spacing square log-distance
    By minimizing the following function, we determine the minimum spacing square log-distance Estimates (MSSLDEs) α ˜ M S S L D E of α and β ˜ M S S L D E of β ,
    χ 4 = i = 1 m + 1 log Λ i log 1 m + 1 2 .
    Similarly, we can solve the following non-linear equations instead of Equation (13) to obtain α ˜ M S S L D E and β ˜ M S S L D E :
    χ 4 α = i = 1 m + 1 log Λ i log 1 m + 1 1 Λ i δ α t ( i : m ) α , β δ α t ( i 1 : m ) α , β = 0 ,
    and
    χ 4 β = i = 1 m + 1 log Λ i log 1 m + 1 1 Λ i δ β t ( i : m ) α , β δ β t ( i 1 : m ) α , β = 0 ,
    where δ α . α , β and δ β . α , β are given in Equations (4) and (5).
  • Minimum spacing Linex distance
    Finally, we can obtain the minimum spacing Linex distance Estimates (MSLDE) α ˜ M S L D E of α and β ˜ M S L D E of β by minimizing the following function:
    χ 5 = i = 1 m + 1 e Λ i 1 m + 1 Λ i 1 m + 1 1 .
    Instead of solving Equation (14) directly, the following non-linear equations can be solved to obtain α ˜ M S L D E and β ˜ M S L D E :
    χ 5 α = i = 1 m + 1 ( e Λ i 1 m + 1 1 ) δ α t ( i : m ) α , β δ α t ( i 1 : m ) α , β = 0 ,
    and
    χ 5 β = i = 1 m + 1 ( e Λ i 1 m + 1 1 ) δ β t ( i : m ) α , β δ β t ( i 1 : m ) α , β = 0 ,
    where δ α . α , β and δ β . α , β are given in Equations (4) and (5).

2.4. Methods of Ordinary and Weighted Least Squares

The OLS estimates (OLSE) and WLS estimates (WLSE) were introduced by [31] to estimate the parameters of the beta distribution. They are simple to implement, computationally efficient, and provides reasonable estimates without requiring iterative likelihood maximization. Consider t ( 1 ) , t ( 2 ) , , t ( m ) an ordered sample obtained from the I-PL distribution, with cycle number v and set size d,forming an RSS of size m = d v . By minimizing the following function, the OLSEs α ˜ O L S E of α and β ˜ O L S E of β are found to be, respectively:
L S 1 ( α , β ) = i = 1 m G t ( i : m ) α , β i m + 1 2 .
The following non-linear equations can also be solved to produce these estimators:
L S 1 ( α , β ) α = i = 1 m G t ( i : m ) α , β i m + 1 δ α t ( i : m ) α , β = 0 ,
and
L S 1 ( α , β ) β = i = 1 m G t ( i : m ) α , β i m + 1 δ β t ( i : m ) α , β = 0 .
The WLSEs α ˜ W L S E of α amd β ˜ W L S E of β are determined by minimizing the following function:
L S 2 ( α , β ) = i = 1 m ( m + 1 ) 2 ( m + 2 ) i ( m i + 1 ) G t ( i : m ) α , β i m + 1 2 .
The following non-linear equations can also be solved to produce these estimators:
L S 2 ( α , β ) α = i = 1 m ( m + 1 ) 2 ( m + 2 ) i ( m i + 1 ) G t ( i : m ) α , β i m + 1 δ α t ( i : m ) α , β = 0 ,
and
L S 2 ( α , β ) β = i = 1 m ( m + 1 ) 2 ( m + 2 ) i ( m i + 1 ) G t ( i : m ) α , β i m + 1 δ β t ( i : m ) α , β = 0 ,
where, δ α . α , β and δ β . α , β are given in (4) and (5).

2.5. Kolmogorov Method

Kolmogorov method focuses on worst-case fit rather than average fit, ensuring that the estimated distribution does not deviate excessively from the data at any point. Consider t ( 1 ) , t ( 2 ) , , t ( m ) an ordered sample obtained from the I-PL distribution, with cycle number v and set size d, forming an RSS of size m = s w . In order to obtain the Kolmogorov estimates (KEs) α ˜ K E and β ˜ K E the following function is minimized with regard to α and β
K E ( α , β ) = M a x 1 i m i = 1 m i m G ( t ( i : m ) α , β ) , G ( t ( i : m ) α , β ) i 1 m 2 .

3. Numerical Simulation

This section evaluates different estimation methods for the IPLD discussed in Section 2. We compare both the SRS and RSS approaches under various configurations. All computations were performed using R software (R Core Team, 2024). All parameter estimates were obtained using the optim() function from the stats package with the Nelder-Mead method (method = "Nelder-Mead") for optimization. To ensure consistency and assess the robustness of all estimation methods, initial values were randomly selected from a uniform distribution around the true parameter values. Specifically, for true parameters ( α , β ) , initial values were drawn from α 0 U ( 0.8 α , 1.2 α ) and β 0 U ( 0.8 β , 1.2 β ) , representing perturbations within ± 20 % of the true values. This approach allowed us to evaluate the stability and convergence properties of each estimation method across different starting points. All methods consistently converged to the same estimates regardless of the specific initial values, demonstrating the global convergence of the optimization algorithms. The convergence was verified in all cases with a tolerance level of 10 6 .
To evaluate the accuracy of the estimation between methods and sampling designs, we calculate four statistical metrics:
AE = 1 M i = 1 M Y ^ i , Bias = 1 M i = 1 M | Y ^ i Y | ,
MSE = 1 M i = 1 M ( Y ^ i Y ) 2 , MRE = 1 M i = 1 M | Y ^ i Y | Y ,
where M = 10,000 represents the number of simulations and Y = { α , β } are the parameters of interest.
The efficiency of RSS relative to SRS is calculated as
Eff Bias = Bias SRS Bias RSS , Eff MSE = MSE SRS MSE RSS , Eff MRE = MRE SRS MRE RSS ,
where Bias SRS , MSE SRS , and MRE SRS represent the bias, mean squared error, and mean relative error under SRS, respectively, and Bias RSS , MSE RSS , and MRE RSS represent the corresponding metrics under RSS. Values of Eff > 1 indicate that RSS outperforms SRS.
Our simulation examines two parameter set values: Y = ( α , β ) = ( 0.3 , 0.75 ) , which represents a case with pronounced right-skewness and heavy tails, and Y = ( α , β ) = ( 0.6 , 1 ) , which corresponds to a more moderate skewness and dispersion, reflecting data with lighter tails and wider spread. For RSS, we use set sizes of ( 3 , 4 , 5 ) with cycle numbers of 4 and 9. For SRS, the sample size is calculated as the set size multiplied by the number of cycles to ensure comparable sizes between RSS and SRS approaches. The results are presented in Table 1, Table 2, Table 3, Table 4, Table 5 and Table 6 for both sampling methods in all configurations.
Also, in Figure 2, we plotted the efficiency values based on the RSS relative to SRS for the MSE and MRE using all estimation methods with different sample sizes for easy comparison.
Based on Table 1, Table 2, Table 3, Table 4, Table 5 and Table 6, the following observations can be concluded:
A.
Case 1: ( α , β ) = ( 0.3 , 0.75 )
For Parameter α :
  • For bias reduction in the parameter α , the MLE (Table 1) consistently demonstrates strong efficiency. Similarly, the MSSLDE and MSADE estimators in Table 2 show solid performance. Additionally, the RTADE and LTADE estimators presented in Table 3 exhibit comparable bias reduction capabilities.
  • Regarding MSE efficiency for α , MLE and CVME in Table 1 show high performance, with Eff values ranging from 1.1088 to 1.8115. For instance, at ( m , k ) = ( 3 , 4 ) under MLE, the MSE for α decreases from 0.008 (SRS) to 0.004 (RSS), achieving an efficiency of 1.812. In Table 2, MSSLDE demonstrates good MSE reduction, with Eff values up to 1.5. Similarly, RTADE and LTADE in Table 3 are particularly effective in reducing MSE, showing Eff values between 1.3 and 1.8.
For Parameter β :
  • All estimation methods evaluated in Table 1, Table 2 and Table 3 consistently exhibit substantial bias reduction when applied under the RSS framework.
  • A substantial reduction in MSE for β is a consistent observation across all methods. Specifically, MLE and CVME in Table 1 frequently achieve Eff values above 2.0, occasionally surpassing 3.0. For instance, at ( m , k ) = ( 3 , 4 ) , the MLE for β shows an MSE improvement from 0.056 (SRS) to 0.026 (RSS), resulting in an efficiency of 2.154. In Table 2, MSSLDE distinguishes itself with high MSE efficiency, typically ranging from 1.8 to 2.1. Most notably, RTADE in Table 3 exhibits exceptionally high MSE efficiency, with an Eff value reaching up to 3.138 for ( m , k ) = ( 3 , 4 ) , underscoring a very strong advantage of RSS for this particular estimator.
B.
Case 2: ( α , β ) = ( 0.6 , 1 )
For Parameter α :
  • The MLE results in Table 4 consistently exhibit effective bias reduction. In contrast, the MSSLDE estimator in Table 5 shows a moderate improvement, while the KE and ADLSOE estimators in Table 6 achieve slightly greater reductions in bias, highlighting their relatively superior efficiency under the RSS framework.
  • Furthermore, both MLE and CVME in Table 4 maintain robust MSE efficiency, with Eff values ranging from 1.3 to 1.7. Within Table 5, MSSDE and MSLDE typically achieve good MSE reduction, showing Eff values between 1.1 and 1.4, and MSSLDE’s efficiency also improves with increasing m (up to 1.556). For the estimators in Table 6, ADLSOE, KE, and RTADE demonstrate commendable MSE efficiency, ranging from 1.2 to 1.8.
For Parameter β :
  • All methods presented in Table 4, Table 5 and Table 6 consistently demonstrate substantial bias reduction under RSS. Among them, RTADE (Table 6) shows the most pronounced improvement, while MSSLDE (Table 5) also performs notably well in minimizing bias.
  • A pronounced reduction in MSE is observed for β under RSS. In Table 4, both MLE and CVME exhibit substantial improvement, with CVME reaching a notably high value of 3.174 for ( m , k ) = ( 3 , 4 ) . MSSLDE in Table 5 also shows consistently strong performance, maintaining MSE reductions within the range of 1.7 to 2.3. The most remarkable gains, however, are achieved by RTADE in Table 6, which demonstrates exceptional variance reduction for β , with values extending up to 4.750 for ( m , k ) = ( 3 , 4 ) .
The RSS consistently shows superior performance over SRS in estimation. This superiority is clearly demonstrated by efficiency values consistently greater than 1 for MSE and MRE, which strongly validates the use of RSS to enhance the precision and accuracy of estimation.

4. Real Data Analysis

In this section, we demonstrate the utility of our proposed estimation approaches by analyzing a carefully selected dataset. Our goal is to showcase the practical applications and effectiveness of these estimation techniques through a comprehensive examination of the data set. By presenting a real data that present failure time of 40 items discussed by [32]. The data is reported on Table 7.
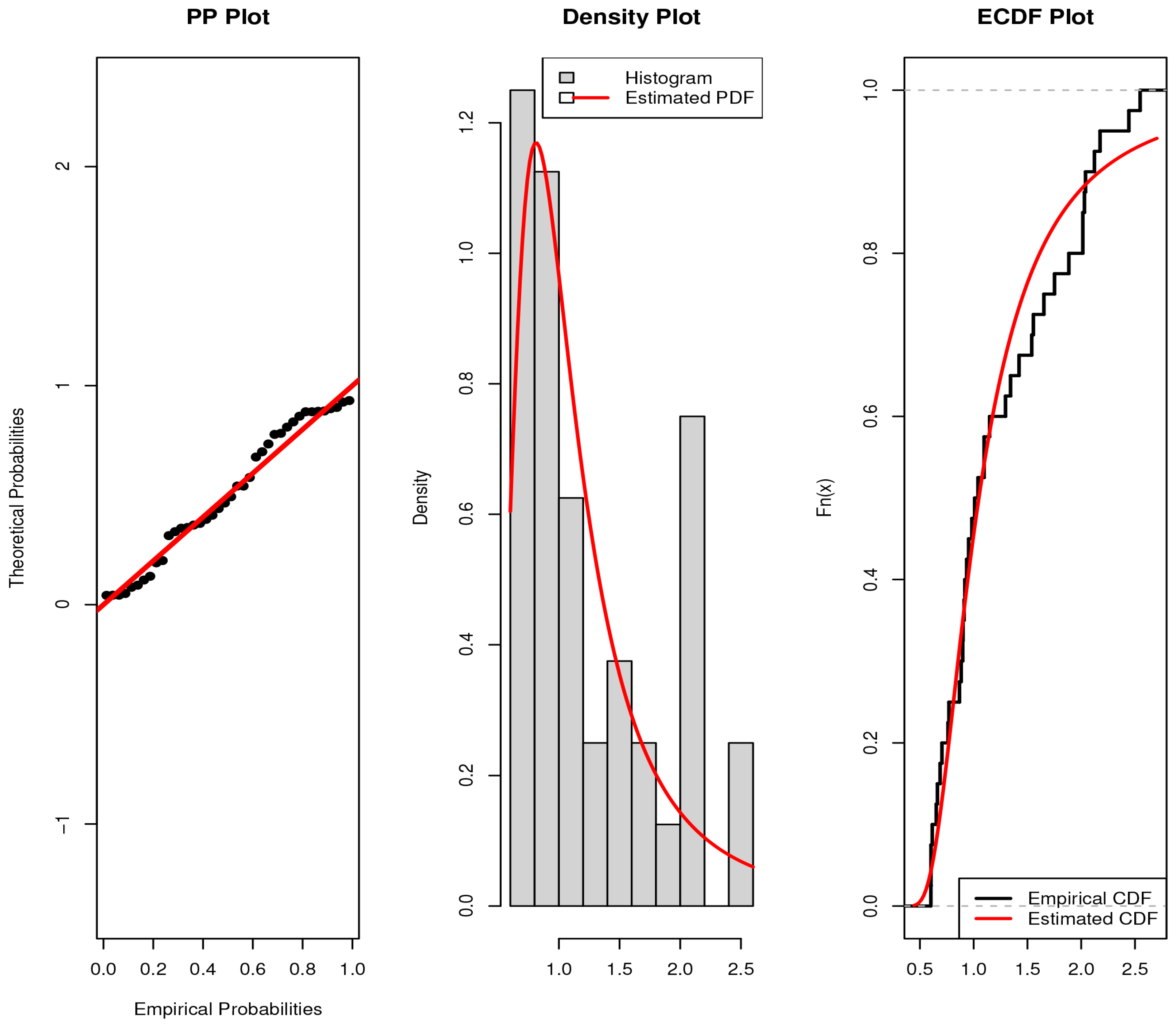
Table 8 and Figure 3 represent the descriptive statistical analysis and some graphical representations, including the TTT, box, and density plots, to illustrate the dataset used.
The descriptive statistics in Table 8 and the graphical representation in Figure 3 demonstrate a right-skewed distribution, characterized by a skewness of 0.71. The mean (1.25) being higher than the median (1.02) indicates the presence of some notably large values that pull the average upward. The data exhibits moderate dispersion, with a standard deviation of 0.57 and a coefficient of variation of 45.66%. The slightly platykurtic kurtosis of 2.25 suggests a distribution with fewer extreme values compared to a normal distribution.
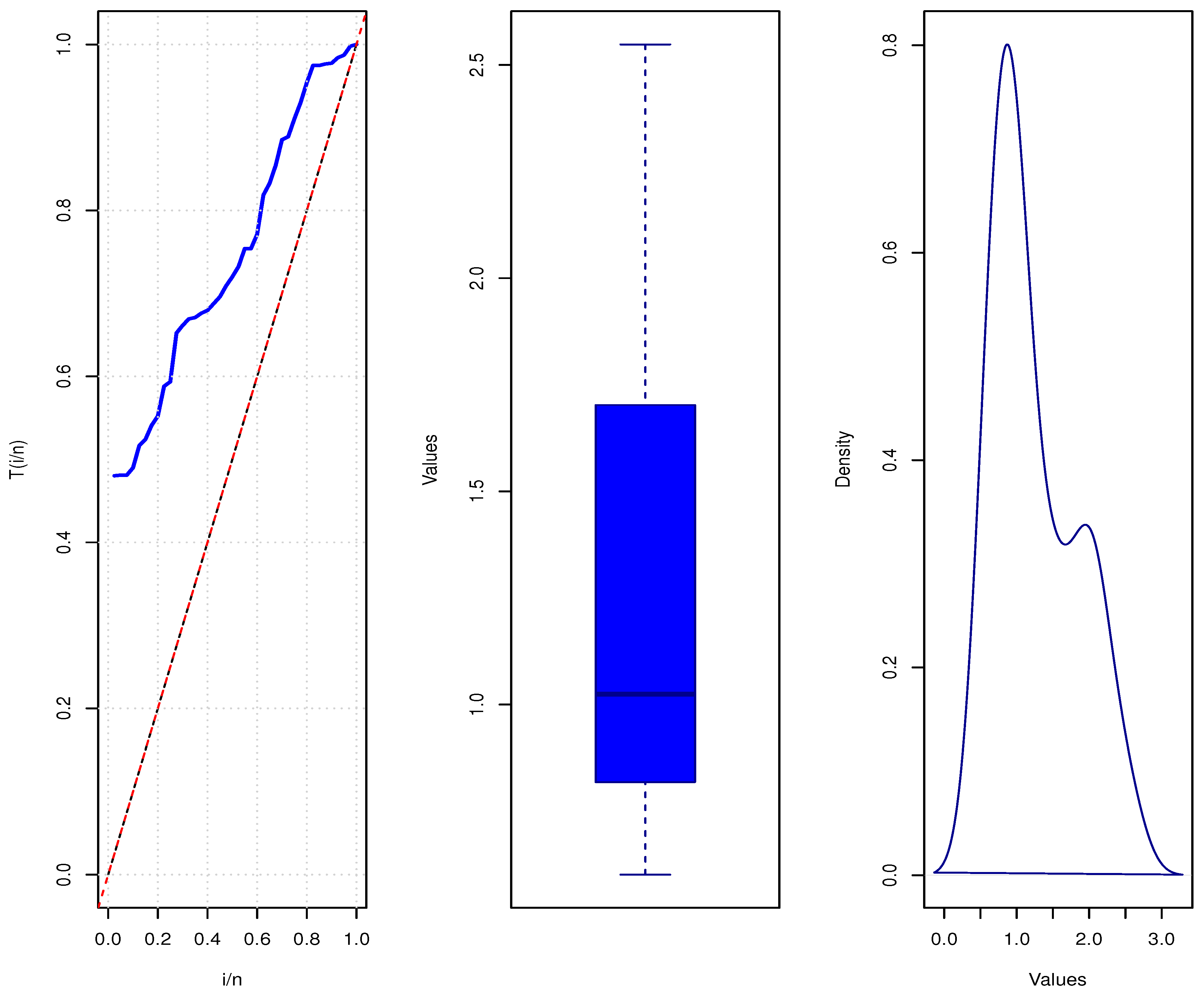
To evaluate the adequacy and superiority of the proposed estimation methods under the I-PLD, we compare its performance with three related lifetime distributions: the Lindley distribution [23], the Inverse Lindley distribution [33], and the Inverse Weibull distribution [34]. Each of these models provides a different degree of flexibility in modeling positively skewed data, which allows us to assess the robustness and accuracy of the I-PLD fit. These models were fitted to the same real dataset, and their performances were evaluated using several goodness-of-fit criteria, including the Akaike Information Criterion (AIC), Corrected AIC (CAIC), Bayesian Information Criterion (BIC), Hannan–Quinn Information Criterion (HQIC), and the Kolmogorov–Smirnov (K–S) test.
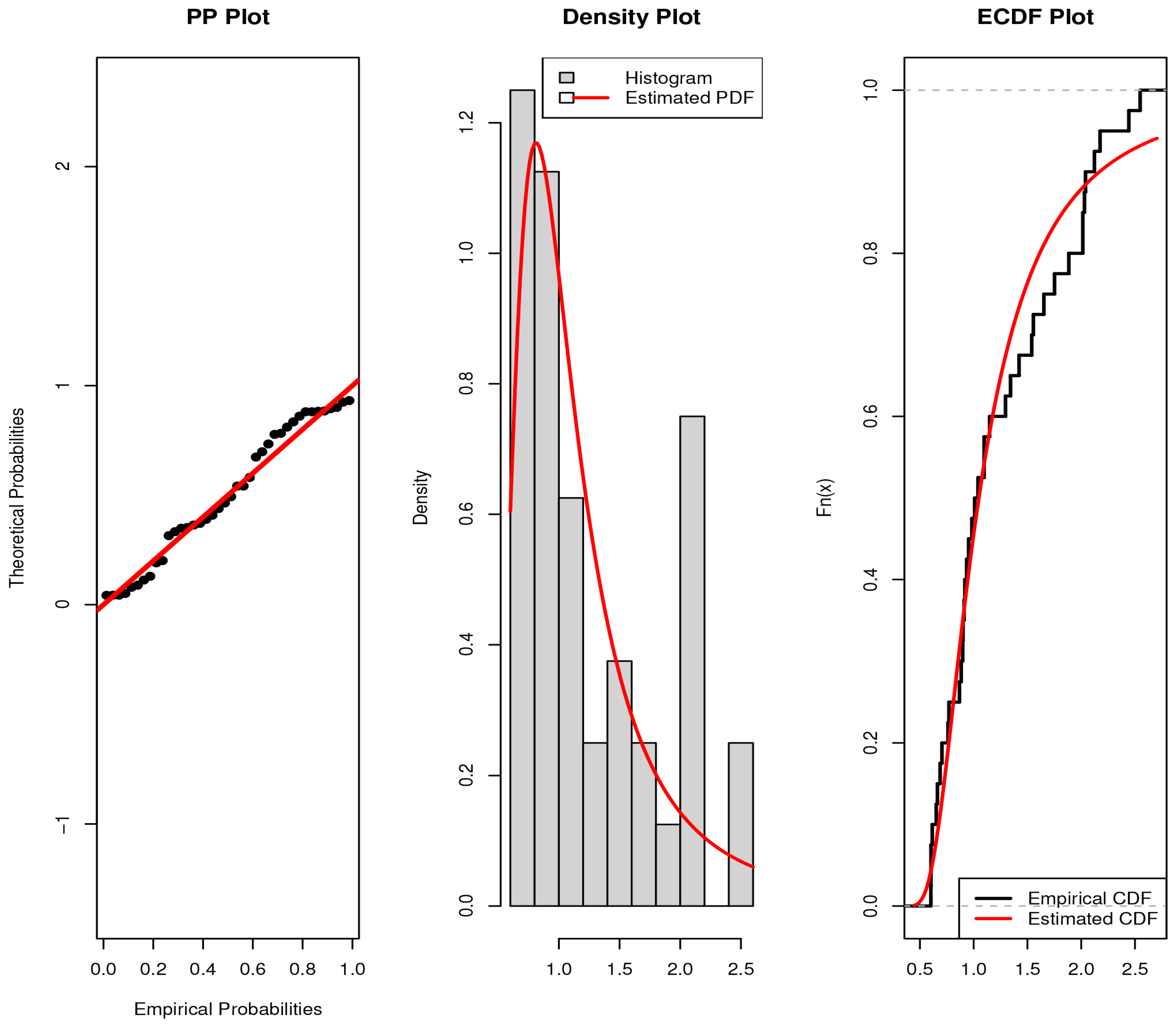
The results in Table 9 show that the IPLD provides the best fit to the data, as indicated by their lower AIC, CAIC, BIC, and HQIC values, and by their non-significant K–S test results (high p-values). Between these two, the IPLD demonstrates slightly better performance and stability, confirming its superiority and flexibility in modeling positively skewed lifetime data compared to the standard Lindley-type distributions. The graphical representation in Figure 4 provides visual confirmation of these statistical findings.
To comprehensively examine the superiority of ranked set sampling over SRS across different estimation methods, an SRS sample of size 12 was chosen for comparability, while an RSS scheme was designed with a set size of 3 and four cycles to maintain the same total sample size. Assuming a perfect sampling design, an extensive evaluation was carried out using several goodness-of-fit statistics to assess the performance and reliability of each sampling approach. Specifically, we employed the Anderson–Darling test A * , the Cramér-von Mises test C * , and the Kolmogorov–Smirnov test K * . These statistical measures were systematically applied to assess model fit and provide comparative insights into the effectiveness of RSS in capturing the underlying data distribution relative to SRS. A detailed comparison of the goodness-of-fit values for both sampling designs is presented in Table 10.
Table 10 revealed a consistent superiority of RSS over SRS across multiple estimation techniques. The RSS methodology demonstrated notably improved model fit, characterized by reduced A * , C * , and K * test values, coupled with elevated p-values. These empirical findings substantiate the theoretical advantages of RSS design. The graphical representations in Figure 5 and Figure 6 provide additional visual corroboration of these findings, reinforcing the robust performance of the RSS approach in statistical modeling.

5. Conclusions

This study provides strong evidence that ranked set sampling (RSS) outperforms simple random sampling (SRS) in estimating parameters of the inverse power Lindley distribution (IPLD). Through an extensive comparison of eleven estimation techniques, supported by large-scale simulations and empirical data, RSS consistently produced estimators with lower bias, smaller mean squared error, and improved mean relative error—all achieved without increasing the number of measurements. The results underline RSS’s intrinsic advantage in exploiting ranking information for greater estimation precision. While maximum likelihood estimation performed reliably, the most pronounced efficiency gains under RSS were seen in minimum distance estimators (based on Anderson–Darling and Cramér–von Mises criteria) and spacing-based approaches such as maximum product spacing and minimum spacing distance. Notably, MSSLDE and RTADE methods showed exceptional accuracy in estimating the scale parameter β , substantially reducing variance and MSE. These advantages were further validated using real failure time data, confirming the practical significance of RSS in applied settings. Given its efficiency, simplicity, and low implementation cost, RSS emerges as a valuable and practical tool for researchers and professionals in reliability engineering, survival analysis, and quality control. Future investigations may extend this work by developing new RSS variants, testing additional distributions, or broadening empirical applications to demonstrate its versatility in statistical inference.

Author Contributions

Conceptualization, S.A.B., G.A. and A.I.A.-O.; Methodology, A.I.A.-O., G.A. and S.A.B.; Software, S.A.B. and A.I.A.-O.; Validation, S.A.B., G.A. and A.I.A.-O.; Formal analysis, S.A.B.; Investigation, G.A., S.A.B. and A.I.A.-O.; Data curation, S.A.B.; Writing—original draft, G.A., S.A.B. and A.I.A.-O.; Writing—review & editing, G.A., S.A.B. and A.I.A.-O.; Visualization, S.A.B. and A.I.A.-O.; Funding acquisition, G.A. All authors have read and agreed to the published version of the manuscript.

Funding

Princess Nourah bint Abdulrahman University Researchers Supporting Project number (PNURSP2025R226), Princess Nourah bint Abdulrahman University, Riyadh, Saudi Arabia.

Data Availability Statement

All the data sets used in this paper are available within the manuscript.

Acknowledgments

Princess Nourah bint Abdulrahman University Researchers Supporting Project number (PNURSP2025R226), Princess Nourah bint Abdulrahman University, Riyadh, Saudi Arabia.

Conflicts of Interest

The authors declare that they have no conflicts of interest.

References

  1. McIntyre, G.A. A method of unbiased selective sampling, using ranked sets. Aust. J. Agric. Res. 1952, 3, 385–390. [Google Scholar] [CrossRef]
  2. Takahashi, K.; Wakimoto, K. On unbiased estimates of the population mean based on the sample stratified by means of ordering. Ann. Inst. Stat. Math. 1968, 20, 1–31. [Google Scholar] [CrossRef]
  3. Jemain, A.A.; Al-Omari, A.; Ibrahim, K. Some variations of ranked set sampling. Electron. J. Appl. Stat. Anal. 2008, 1, 1–15. [Google Scholar]
  4. Al-Saleh, M.F.; Al-Omari, A.I. Multistage ranked set sampling. J. Stat. Plan. Inference 2002, 102, 273–286. [Google Scholar] [CrossRef]
  5. Al-Omari, A.I. Estimation of mean based on modified robust extreme ranked set sampling. J. Stat. Comput. Simul. 2011, 81, 1055–1066. [Google Scholar] [CrossRef]
  6. Haq, A.; Brown, J.; Moltchanova, E.; Al-Omari, A.I. Mixed ranked set sampling design. J. Appl. Stat. 2014, 41, 2141–2156. [Google Scholar] [CrossRef]
  7. He, X.; Chen, W.; Qian, W. Maximum likelihood estimators of the parameters of the log–logistic distribution. Stat. Pap. 2020, 61, 1875–1892. [Google Scholar] [CrossRef]
  8. He, X.F.; Chen, W.X.; Yang, R. Log–logistic parameters estimation using moving extremes ranked set sampling design. Appl. Math. J. Chin. Univ. 2021, 36, 99–113. [Google Scholar] [CrossRef]
  9. Nagy, H.F.; Al-Omari, A.I.; Hassan, A.S.; Alomani, G.A. Improved estimation of the inverted Kumaraswamy distribution parameters based on ranked set sampling with an application to real data. Mathematics 2022, 10, 4102. [Google Scholar] [CrossRef]
  10. Bhushan, S.; Kumar, A.; Shahab, S.; Lone, S.A.; Akhtar, M.T. On efficient estimation of the population mean under stratified ranked set sampling. J. Math. 2022, 2022, 6196142. [Google Scholar] [CrossRef]
  11. Al-Omari, A.I.; Benchiha, S.; Almanjahie, I.M. Efficient estimation of two-parameter Xgamma distribution parameters using ranked set sampling design. Mathematics 2022, 10, 3170. [Google Scholar] [CrossRef]
  12. Mohammadkhani, A.; Amiri, A.; Khoo, M.B. A review of ranked set sampling and modified methods in designing control charts. Qual. Reliab. Eng. Int. 2023, 39, 1465–1493. [Google Scholar] [CrossRef]
  13. Taconeli, C.A. Dual-rank ranked set sampling. J. Stat. Comput. Simul. 2024, 94, 29–49. [Google Scholar] [CrossRef]
  14. Alsadat, N.; Hassan, A.S.; Elgarhy, M.; Johannssen, A.; Gemeay, A.M. Estimation methods based on ranked set sampling for the power logarithmic distribution. Sci. Rep. 2024, 14, 17652. [Google Scholar] [CrossRef]
  15. Shehzad, M.A.; Nisar, A.; Khan, A.; Emam, W.; Tashkandy, Y.; Khurram, H.; Al-Shbeil, I. Modified median quartile double ranked set sampling for estimation of population mean. Heliyon 2024, 10, e34627. [Google Scholar] [CrossRef]
  16. Kumari, A.; Singh, R.; Smarandache, F. New modification of ranked set sampling for estimating population mean: Neutrosophic median ranked set sampling with an application to demographic data. Int. J. Comput. Intell. Syst. 2024, 17, 210. [Google Scholar] [CrossRef]
  17. Ahmadini, A.A.H.; Singh, R.; Raghav, Y.S.; Kumari, A. Estimation of population mean using ranked set sampling in the presence of measurement errors. Kuwait J. Sci. 2024, 51, 100236. [Google Scholar] [CrossRef]
  18. Woodall, W.H.; Haq, A.; Mahmoud, M.A.; Saleh, N.A. Reevaluating the performance of control charts based on ranked-set sampling. Qual. Eng. 2024, 36, 365–370. [Google Scholar] [CrossRef]
  19. Benchiha, S.A.; Al-Omari, A.I.; Alomani, G. Enhanced estimation of the unit Lindley distribution parameter via ranked set sampling with real-data application. Mathematics 2025, 13, 1645. [Google Scholar] [CrossRef]
  20. Abuhedary, M.Z.A.; Khamnei, H.J.; Heydari, A.A. Evaluating Stress-Strength Reliability Estimation Technique: A Study on Ranked Set Sampling for the Beta-Lomax Distribution. Contemp. Math. 2025, 6, 442–464. [Google Scholar] [CrossRef]
  21. Chen, M.; Chen, W.X.; Deng, C.H. Some new results on parameter estimation of the exponential-Poisson distribution in ranked set sampling. Appl. Math. J. Chin. Univ. 2025, 40, 413–428. [Google Scholar] [CrossRef]
  22. Jamal, A.; Samuh, M.H. Efficiency comparison of maximum likelihood estimation in log–logistic distribution using median ranked set sampling. Kuwait J. Sci. 2025, 52, 100350. [Google Scholar] [CrossRef]
  23. Lindley, D.V. Fiducial distributions and Bayes’ theorem. J. R. Stat. Soc. Ser. B (Methodol.) 1958, 20, 102–107. [Google Scholar] [CrossRef]
  24. Sharma, V.K.; Singh, S.K.; Singh, U.; Agiwal, V. The inverse Lindley distribution: A stress-strength reliability model with application to head and neck cancer data. J. Ind. Prod. Eng. 2015, 32, 162–173. [Google Scholar] [CrossRef]
  25. Ghitany, M.E.; Al-Mutairi, D.K.; Balakrishnan, N.; Al-Enezi, L.J. Power Lindley distribution and associated inference. Comput. Stat. Data Anal. 2013, 64, 20–33. [Google Scholar] [CrossRef]
  26. Elgarhy, M.; Mutairi, A.A.; Hassan, A.S.; Chesneau, C.; Abdel-Hamid, A.H. Bayesian and non-Bayesian estimations of truncated inverse power Lindley distribution under progressively type-II censored data with applications. AIP Adv. 2023, 13, 095130. [Google Scholar] [CrossRef]
  27. Hassan, A.S.; Metwally, D.S.; Elgarhy, M.; Mohamed, R.E. The heavy-tailed inverse power Lindley type-I model: Reliability inference and actuarial applications. Eng. Rep. 2025, 7, e70189. [Google Scholar] [CrossRef]
  28. Barco, K.; Mazucheli, J.; Janeiro, V. The inverse power Lindley distribution. Commun. Stat.-Simul. Comput. 2017, 46, 6308–6323. [Google Scholar] [CrossRef]
  29. Cheng, R.C.H.; Amin, N.A.K. Maximum Product of Spacings Estimation with Application to the Lognormal Distribution; Technical Report; University of Wales Institute of Science and Technology: Cardiff, Wales, 1979. [Google Scholar]
  30. Cheng, R.C.H.; Amin, N.A.K. Estimating parameters in continuous univariate distributions with a shifted origin. J. R. Stat. Soc. Ser. B (Methodol.) 1983, 45, 394–403. [Google Scholar] [CrossRef]
  31. Swain, J.J.; Venkatraman, S.; Wilson, J.R. Least-squares estimation of distribution functions in Johnson’s translation system. J. Stat. Comput. Simul. 1988, 29, 271–297. [Google Scholar] [CrossRef]
  32. Murthy, D.P.; Xie, M.; Jiang, R. Weibull Models; John Wiley & Sons: Hoboken, NJ, USA, 2004. [Google Scholar]
  33. Kumar, D.; Singh, U.; Singh, N.K. A new inverse Lindley distribution: Properties and applications. Reliab. Eng. Syst. Saf. 2015, 139, 68–81. [Google Scholar]
  34. Keller, A.Z.; Kamath, M. Alternative life distributions for engineering reliability analysis: The Inverse Weibull and related distributions. Microelectron. Reliab. 1982, 22, 223–231. [Google Scholar]
Figure 1. The IPLD pdf and HRF plots.
Figure 1. The IPLD pdf and HRF plots.
Axioms 14 00801 g001
Figure 2. The efficiency values of the RSS based on MSE and MRE for all estimation methods.
Figure 2. The efficiency values of the RSS based on MSE and MRE for all estimation methods.
Axioms 14 00801 g002
Figure 3. TTT, box, and density plots for the proposed dataset.
Figure 3. TTT, box, and density plots for the proposed dataset.
Axioms 14 00801 g003
Figure 4. P-P, density and emperical CDF plots lots for the dataset.
Figure 4. P-P, density and emperical CDF plots lots for the dataset.
Axioms 14 00801 g004
Figure 5. Plots of the estimated PDFs of the I-PL distribution for the two sampling method for m = 3 and r = 4 .
Figure 5. Plots of the estimated PDFs of the I-PL distribution for the two sampling method for m = 3 and r = 4 .
Axioms 14 00801 g005
Figure 6. Plots of the estimated CDFs of the I-PL distribution for the two sampling method for m = 3 and r = 4 .
Figure 6. Plots of the estimated CDFs of the I-PL distribution for the two sampling method for m = 3 and r = 4 .
Axioms 14 00801 g006
Table 1. AE, Bias, MSE, MRE, and relative efficiency for MLE, OLSE, WLSE, MPSE and CVME for both RSS and SRS when ( α , β ) = ( 0.3 , 0.75 ) .
Table 1. AE, Bias, MSE, MRE, and relative efficiency for MLE, OLSE, WLSE, MPSE and CVME for both RSS and SRS when ( α , β ) = ( 0.3 , 0.75 ) .
( m , k ) Par.Met.MLEOLSEWLSEMPSECVME
SRS RSS Eff SRS RSS Eff SRS RSS Eff SRS RSS Eff SRS RSS Eff
( 3 , 4 ) α AE0.33400.3249 0.29520.2842 0.29730.2866 0.27640.2684 0.34740.3322
Bias0.06590.0497 0.06880.0601 0.06520.0564 0.06030.0544 0.08170.0647
MSE0.00800.00441.81150.00810.00591.37000.00730.00521.40680.00540.00431.25210.01340.00861.5638
MRE0.21950.16571.32490.22930.20041.14420.21740.18791.15710.20110.18141.10880.27230.21581.2616
β AE0.74340.7358 0.78690.7808 0.78350.7801 0.80910.8087 0.74150.7312
Bias0.18730.1297 0.18510.1273 0.18160.1254 0.17720.1272 0.19980.1353
MSE0.05590.02642.12140.05510.02622.10440.05270.02562.05760.04990.02691.85380.06690.03002.2293
MRE0.24970.17301.44390.24680.16971.45420.24220.16721.44800.23630.16961.39340.26630.18051.4759
( 3 , 9 ) α AE0.31390.3093 0.29700.2912 0.30030.2938 0.28310.2779 0.32110.3141
Bias0.03680.0309 0.04360.0389 0.04020.0354 0.03740.0363 0.04460.0377
MSE0.00240.00161.45190.00310.00231.32390.00270.00201.33630.00210.00191.08230.00360.00251.4369
MRE0.12260.10281.19190.14530.12971.11980.13400.11821.13410.12470.12111.02980.14880.12581.1823
β AE0.74640.7482 0.76970.7694 0.76450.7669 0.78540.7902 0.74240.7435
Bias0.12230.0834 0.12400.0871 0.12230.0848 0.12040.0870 0.12660.0871
MSE0.02330.01122.08690.02410.01211.99050.02340.01162.00590.02270.01211.86660.02490.01222.0340
MRE0.16310.11121.46690.16530.11611.42330.16310.11311.44220.16050.11601.38310.16890.11611.4545
( 4 , 4 ) α AE0.32770.3209 0.29910.2885 0.30240.2918 0.28140.2743 0.33750.3256
Bias0.05370.0434 0.05800.0502 0.05490.0479 0.05020.0474 0.06420.0528
MSE0.00520.00341.52980.00550.00411.35730.00510.00381.32100.00380.00341.12540.00800.00551.4540
MRE0.17900.14481.23680.19330.16731.15590.18300.15981.14490.16720.15801.05840.21400.17611.2149
β AE0.73380.7276 0.76980.7651 0.76400.7619 0.78940.7888 0.73040.7240
Bias0.16240.1058 0.16020.1067 0.15890.1058 0.15390.1067 0.17140.1108
MSE0.04150.01792.31730.04220.01772.37640.04060.01762.30300.03760.01792.10010.04800.02002.3971
MRE0.21650.14101.53500.21360.14231.50180.21190.14101.50290.20520.14231.44250.22860.14771.5473
( 4 , 9 ) α AE0.31160.3089 0.29970.2954 0.30210.2977 0.28650.2840 0.31780.3132
Bias0.03210.0265 0.03640.0325 0.03350.0298 0.03220.0305 0.03700.0319
MSE0.00180.00121.51980.00220.00171.26270.00190.00151.32170.00160.00141.17580.00250.00181.3506
MRE0.10690.08851.20890.12140.10831.12030.11170.09921.12610.10730.10161.05610.12330.10621.1610
β AE0.74580.7411 0.76150.7569 0.75790.7549 0.77840.7753 0.74040.7367
Bias0.10270.0698 0.10450.0730 0.10290.0712 0.10050.0705 0.10660.0738
MSE0.01660.00752.19890.01750.00842.09140.01690.00802.11050.01630.00792.04550.01790.00862.0826
MRE0.13690.09301.47150.13930.09741.43100.13720.09501.44450.13400.09401.42560.14210.09841.4436
( 5 , 4 ) α AE0.32200.3112 0.29950.2883 0.30270.2909 0.28300.2730 0.33090.3181
Bias0.04520.0342 0.04940.0432 0.04640.0395 0.04260.0404 0.05450.0431
MSE0.00350.00191.84970.00410.00301.37410.00370.00251.48680.00270.00241.16230.00540.00341.6159
MRE0.15080.11411.32170.16460.14391.14360.15480.13181.17420.14190.13481.05250.18170.14371.2644
β AE0.73600.7447 0.76530.7710 0.76070.7690 0.78400.7959 0.73130.7379
Bias0.13840.0849 0.13500.0892 0.13470.0872 0.13380.0891 0.14180.0902
MSE0.03040.01122.72040.02950.01252.35950.02930.01202.44830.02840.01262.25150.03230.01302.4905
MRE0.18450.11321.62990.18000.11891.51420.17960.11631.54440.17840.11881.50110.18910.12031.5718
( 5 , 9 ) α AE0.30870.3055 0.29850.2963 0.30120.2982 0.28760.2851 0.31380.3108
Bias0.02770.0212 0.03240.0268 0.02980.0245 0.02900.0260 0.03210.0262
MSE0.00130.00071.78940.00170.00111.48700.00140.00101.50180.00130.00101.26890.00170.00121.5154
MRE0.09250.07061.31040.10800.08921.21000.09950.08161.21860.09660.08661.11570.10710.08751.2246
β AE0.73990.7436 0.75400.7545 0.75010.7525 0.76790.7718 0.73570.7376
Bias0.09140.0553 0.09320.0570 0.09160.0559 0.08950.0587 0.09450.0578
MSE0.01320.00482.72500.01380.00512.69070.01330.00492.69410.01270.00542.33760.01410.00532.6665
MRE0.12190.07381.65210.12430.07601.63600.12220.07451.63920.11930.07831.52390.12600.07701.6360
Table 2. AE, Bias, MSE, MRE, and relative efficiency for MSADE, MSALDE, MSSDE, MSSLDE, and MSLDE for both RSS and SRS when ( α , β ) = ( 0.3 , 0.75 ) .
Table 2. AE, Bias, MSE, MRE, and relative efficiency for MSADE, MSALDE, MSSDE, MSSLDE, and MSLDE for both RSS and SRS when ( α , β ) = ( 0.3 , 0.75 ) .
( m , k ) Par.Met.MSADEMSALDEMSSDEMSSLDEMSLDE
SRS RSS Eff SRS RSS Eff SRS RSS Eff SRS RSS Eff SRS RSS Eff
( 3 , 4 ) α AE0.29250.2806 0.28010.2727 0.26750.2615 0.29270.2848 0.26730.2625
Bias0.07140.0633 0.06330.0581 0.08210.0744 0.06090.0524 0.08260.0751
MSE0.00810.00621.32090.00600.00501.19710.01040.00801.29700.00590.00441.34400.01050.00821.2869
MRE0.23790.21091.12770.21090.19351.08980.27350.24791.10330.20290.17471.16190.27540.25041.0999
β AE0.80100.8143 0.81630.8227 0.80940.8038 0.80330.7984 0.80930.8010
Bias0.19710.1663 0.19880.1649 0.19950.1572 0.19340.1437 0.20030.1573
MSE0.06250.04511.38640.06290.04481.40260.06230.04191.48700.06080.03431.77310.06280.04161.5109
MRE0.26270.22171.18480.26510.21991.20570.26600.20961.26930.25790.19171.34550.26710.20971.2740
( 3 , 9 ) α AE0.29080.2873 0.28650.2799 0.28000.2744 0.29190.2863 0.27980.2743
Bias0.04580.0438 0.04120.0397 0.05420.0511 0.03730.0362 0.05450.0514
MSE0.00340.00301.13860.00260.00231.11510.00470.00411.15440.00220.00201.11700.00480.00411.1519
MRE0.15250.14611.04440.13750.13231.03920.18070.17021.06150.12430.12061.03140.18180.17131.0611
β AE0.78380.7829 0.78410.7964 0.78790.7868 0.77980.7883 0.78810.7869
Bias0.14050.1166 0.13870.1145 0.14090.1207 0.13230.1033 0.14140.1216
MSE0.03270.02181.49740.03110.02111.47300.03220.02411.33490.02730.01701.60400.03250.02451.3253
MRE0.18730.15551.20440.18500.15271.21170.18780.16091.16730.17640.13781.28030.18850.16221.1626
( 4 , 4 ) α AE0.29550.2871 0.28380.2781 0.27990.2696 0.29400.2872 0.27980.2696
Bias0.06090.0564 0.05410.0508 0.06820.0670 0.05060.0453 0.06860.0675
MSE0.00620.00541.15400.00450.00401.12910.00740.00681.09640.00410.00351.20100.00750.00691.0908
MRE0.20290.18801.07930.18030.16941.06440.22740.22331.01820.16870.15111.11620.22880.22501.0168
β AE0.78340.7848 0.79820.7950 0.78170.7850 0.78520.7826 0.78170.7845
Bias0.17420.1438 0.17530.1403 0.17770.1369 0.16750.1217 0.17840.1380
MSE0.04900.03301.48420.04910.03161.55580.05090.03001.69680.04550.02421.87850.05130.03051.6821
MRE0.23230.19171.21190.23380.18701.24980.23690.18251.29800.22340.16221.37690.23790.18391.2934
( 4 , 9 ) α AE0.29240.2896 0.28790.2857 0.28340.2788 0.29380.2913 0.28330.2788
Bias0.03930.0362 0.03600.0331 0.04610.0429 0.03340.0312 0.04640.0433
MSE0.00260.00201.25610.00200.00171.20600.00340.00291.18180.00180.00151.21950.00340.00291.1731
MRE0.13100.12081.08410.12000.11031.08740.15360.14291.07500.11120.10411.06800.15460.14431.0716
β AE0.77820.7727 0.78070.7764 0.77780.7761 0.77430.7727 0.77780.7759
Bias0.12260.0989 0.11720.0906 0.12540.1016 0.10820.0856 0.12590.1025
MSE0.02520.01581.59640.02260.01371.65300.02570.01671.53830.01900.01191.59380.02600.01701.5235
MRE0.16350.13191.23980.15620.12071.29400.16720.13541.23440.14420.11411.26360.16790.13671.2284
( 5 , 4 ) α AE0.29400.2849 0.28580.2764 0.27960.2686 0.29460.2840 0.27950.2683
Bias0.05520.0506 0.04500.0447 0.06240.0591 0.04290.0387 0.06270.0594
MSE0.00540.00391.36000.00320.00291.10090.00690.00541.27360.00290.00231.26620.00700.00541.2861
MRE0.18400.16851.09200.15000.14901.00690.20800.19711.05500.14290.12891.10870.20910.19781.0568
β AE0.78220.7872 0.78490.8003 0.78290.7905 0.77790.7919 0.78290.7911
Bias0.16270.1265 0.15220.1225 0.15270.1236 0.14830.1061 0.15320.1241
MSE0.04430.02571.72320.03800.02371.60110.03850.02561.50500.03460.01791.93010.03880.02571.5070
MRE0.21700.16861.28690.20290.16341.24190.20360.16481.23530.19770.14151.39790.20430.16541.2351
( 5 , 9 ) α AE0.29250.2891 0.28930.2864 0.28420.2827 0.29380.2909 0.28450.2827
Bias0.03590.0341 0.03260.0294 0.03950.0383 0.03020.0267 0.04010.0385
MSE0.00200.00181.13120.00160.00131.25510.00240.00221.06020.00140.00111.32200.00250.00221.1039
MRE0.11960.11361.05270.10860.09811.10800.13180.12771.03220.10050.08911.12850.13360.12841.0405
β AE0.76800.7716 0.77010.7761 0.76850.7687 0.76450.7675 0.76840.7686
Bias0.11300.0880 0.10630.0809 0.11210.0859 0.10040.0729 0.11270.0865
MSE0.02020.01271.58630.01780.01081.65170.02030.01201.68870.01580.00841.88140.02050.01221.6805
MRE0.15070.11731.28450.14170.10791.31300.14950.11461.30490.13380.09711.37730.15030.11531.3036
Table 3. AE, Bias, MSE, MRE, and relative efficiency for KE, ADE, RTADE, LTADE, and ASLSOE for both RSS and SRS when ( α , β ) = ( 0.3 , 0.75 ) .
Table 3. AE, Bias, MSE, MRE, and relative efficiency for KE, ADE, RTADE, LTADE, and ASLSOE for both RSS and SRS when ( α , β ) = ( 0.3 , 0.75 ) .
( m , k ) Par.Met.KEADERTADELTADEASLSOE
SRS RSS Eff SRS RSS Eff SRS RSS Eff SRS RSS Eff SRS RSS Eff
( 3 , 4 ) α AE0.33970.3259 0.30850.2997 0.32910.3087 0.32390.3139 0.34470.3376
Bias0.07960.0663 0.06060.0506 0.08160.0647 0.07260.0557 0.09440.0775
MSE0.01190.00801.48550.00640.00441.45650.01480.00781.89400.01060.00581.83590.02090.01531.3643
MRE0.26520.22121.19920.20190.16881.19580.27200.21561.26180.24190.18581.30170.31460.25841.2175
β AE0.74750.7399 0.77230.7658 0.78700.7668 0.74930.7401 0.71820.7004
Bias0.20160.1371 0.18330.1257 0.20220.1320 0.19970.1328 0.22340.1637
MSE0.06570.02982.20490.05380.02552.11310.09060.02863.17170.06300.02842.21920.07810.04401.7747
MRE0.26880.18281.47050.24450.16761.45860.26950.17611.53090.26620.17711.50310.29780.21821.3647
( 3 , 9 ) α AE0.31600.3095 0.30350.2974 0.31170.3013 0.30570.3027 0.30980.3076
Bias0.04630.0404 0.03750.0332 0.04630.0416 0.03980.0347 0.04970.0457
MSE0.00370.00271.33340.00230.00181.32080.00370.00291.29280.00270.00201.33850.00460.00361.2643
MRE0.15420.13461.14570.12520.11071.13050.15420.13861.11240.13270.11551.14820.16560.15231.0878
β AE0.75070.7506 0.76090.7633 0.75960.7632 0.75690.7530 0.74660.7414
Bias0.12780.0921 0.12200.0839 0.12560.0866 0.12620.0884 0.14530.1142
MSE0.02600.01341.93580.02320.01132.05980.02460.01202.04140.02510.01271.97210.03350.02111.5871
MRE0.17040.12271.38790.16270.11191.45410.16740.11551.44940.16830.11791.42740.19370.15221.2727
( 4 , 4 ) α AE0.33010.3190 0.30890.3009 0.32120.3092 0.31760.3107 0.33300.3242
Bias0.06260.0542 0.05000.0436 0.06410.0566 0.05660.0483 0.07480.0649
MSE0.00760.00551.37570.00430.00331.31680.00780.00641.21620.00630.00421.47710.01250.00841.4955
MRE0.20870.18081.15440.16660.14541.14550.21350.18881.13110.18870.16091.17290.24940.21621.1534
β AE0.74150.7351 0.75620.7522 0.75820.7519 0.74230.7344 0.71570.7089
Bias0.17030.1154 0.15850.1044 0.16560.1080 0.16840.1138 0.19050.1453
MSE0.04750.02122.23830.03990.01732.30990.04820.01862.58550.04510.02062.18550.05780.03401.6991
MRE0.22710.15391.47620.21140.13921.51910.22080.14401.53310.22460.15181.47970.25390.19371.3107
( 4 , 9 ) α AE0.31390.3084 0.30390.3002 0.30880.3024 0.30610.3046 0.30660.3083
Bias0.03940.0340 0.03190.0282 0.03820.0341 0.03430.0306 0.04350.0417
MSE0.00270.00201.35840.00170.00131.36540.00250.00191.30840.00210.00161.32500.00320.00301.0480
MRE0.13120.11341.15630.10630.09401.13100.12730.11361.12070.11440.10191.12290.14510.13891.0444
β AE0.74750.7426 0.75590.7520 0.75530.7523 0.75220.7438 0.75000.7356
Bias0.10940.0764 0.10190.0700 0.10350.0708 0.10770.0768 0.12690.1033
MSE0.01880.00922.03870.01670.00772.16170.01720.00792.16060.01870.00912.04210.02550.01681.5163
MRE0.14580.10191.43080.13590.09331.45680.13810.09441.46310.14360.10231.40350.16920.13781.2279
( 5 , 4 ) α AE0.32480.3132 0.30790.2968 0.31840.3012 0.31180.3045 0.31810.3149
Bias0.05490.0451 0.04390.0358 0.05620.0442 0.04620.0411 0.05830.0568
MSE0.00550.00361.51700.00320.00211.57130.00570.00351.62010.00360.00291.24850.00650.00601.0798
MRE0.18300.15031.21710.14630.11921.22730.18720.14751.26950.15410.13691.12570.19430.18931.0262
β AE0.74130.7446 0.75460.7624 0.75360.7625 0.74740.7489 0.73390.7279
Bias0.14300.0918 0.13520.0849 0.13950.0874 0.14230.0930 0.16490.1244
MSE0.03280.01362.40220.02920.01132.58150.03180.01202.65100.03160.01392.28090.04260.02531.6869
MRE0.19070.12241.55860.18030.11321.59220.18600.11661.59580.18980.12411.52970.21980.16591.3248
( 5 , 9 ) α AE0.30940.3066 0.30220.2996 0.30690.3020 0.30380.3023 0.30470.3031
Bias0.03460.0284 0.02860.0234 0.03480.0301 0.03040.0247 0.03980.0357
MSE0.00190.00131.47110.00100.00061.54480.00200.00151.39680.00150.00101.53650.00260.00221.1479
MRE0.11530.09461.21850.09540.07811.22190.11590.10031.15610.10130.08241.22910.13260.11901.1134
β AE0.74260.7436 0.74890.7512 0.74820.7506 0.74610.7461 0.74310.7446
Bias0.09790.0605 0.09130.0555 0.09260.0576 0.09630.0593 0.11730.0872
MSE0.01510.00562.68140.01320.00492.71880.01360.00522.62400.01460.00572.58710.02130.01241.7134
MRE0.13060.08061.61970.12180.07401.64480.12340.07681.60640.12840.07911.62320.15640.11631.3452
Table 4. AE, Bias, MSE, MRE, and relative efficiency for MLE, OLSE, WLSE, MPSE, and CVME for both RSS and SRS when ( α , β ) = ( 0.6 , 1 ) .
Table 4. AE, Bias, MSE, MRE, and relative efficiency for MLE, OLSE, WLSE, MPSE, and CVME for both RSS and SRS when ( α , β ) = ( 0.6 , 1 ) .
( m , k ) Par.Met.MLEOLSEWLSEMPSECVME
SRS RSS Eff SRS RSS Eff SRS RSS Eff SRS RSS Eff SRS RSS Eff
( 3 , 4 ) α AE0.67530.6566 0.59330.5785 0.59910.5835 0.55500.5422 0.69740.6802
Bias0.13140.1086 0.13840.1318 0.13180.1239 0.11610.1157 0.16130.1465
MSE0.03170.02321.36540.03540.03011.17550.03210.02711.18310.02010.02050.97970.05700.04711.2106
MRE0.21900.18091.21040.23070.21971.05020.21970.20651.06420.19350.19281.00390.26890.24411.1015
β AE1.03161.0040 1.05191.0275 1.04981.0256 1.06261.0417 1.04371.0053
Bias0.23510.1560 0.21830.1469 0.21780.1453 0.20560.1399 0.25490.1656
MSE0.09620.03912.45970.08460.03502.41820.08330.03402.45240.07210.03162.28200.14580.04563.1965
MRE0.23510.15601.50680.21830.14691.48560.21780.14531.49920.20560.13991.46950.25490.16561.5396
( 3 , 9 ) α AE0.63470.6256 0.60280.5885 0.60750.5958 0.56950.5624 0.65120.6383
Bias0.07960.0681 0.09090.0814 0.08460.0760 0.07740.0766 0.09700.0827
MSE0.01100.00841.30630.01390.01081.29150.01210.00951.27720.00900.00871.04160.01690.01251.3483
MRE0.13270.11361.16860.15150.13561.11720.14110.12671.11310.12900.12771.01040.16170.13781.1732
β AE0.99940.9996 1.00931.0124 1.00721.0099 1.02391.0238 0.99600.9983
Bias0.14700.1031 0.14270.1018 0.14260.1006 0.13660.0990 0.15120.1059
MSE0.03480.01682.07070.03340.01642.03620.03310.01602.06370.03030.01531.98190.03710.01792.0768
MRE0.14700.10311.42660.14270.10181.40190.14260.10061.41740.13660.09901.37980.15120.10591.4273
( 4 , 4 ) α AE0.65700.6343 0.60150.5752 0.60760.5811 0.56050.5419 0.68220.6515
Bias0.10850.0841 0.11800.1058 0.11200.0990 0.10020.0965 0.13560.1102
MSE0.02180.01271.71810.02400.01921.24830.02220.01691.31490.01540.01371.12210.03600.02491.4493
MRE0.18080.14011.29030.19660.17641.11500.18660.16511.13060.16700.16081.03820.22600.18361.2308
β AE0.99970.9990 1.01911.0166 1.01691.0153 1.03191.0334 1.00180.9964
Bias0.18540.1226 0.17780.1171 0.17770.1156 0.16660.1134 0.19610.1270
MSE0.05760.02352.45560.05640.02202.56310.05500.02142.57180.04610.02012.29290.06820.02582.6419
MRE0.18540.12261.51240.17780.11711.51830.17770.11561.53790.16660.11341.46840.19610.12701.5442
( 4 , 9 ) α AE0.62530.6150 0.59900.5913 0.60510.5954 0.57340.5639 0.63770.6279
Bias0.06540.0515 0.07760.0673 0.07080.0603 0.06560.0618 0.07870.0652
MSE0.00740.00441.66300.00980.00691.42140.00840.00561.49590.00650.00551.18220.01090.00711.5239
MRE0.10900.08581.26990.12930.11211.15340.11800.10051.17400.10940.10301.06210.13120.10871.2068
β AE0.99660.9976 1.00581.0052 1.00381.0038 1.01721.0184 0.99460.9941
Bias0.11980.0824 0.11740.0819 0.11700.0805 0.11310.0784 0.12230.0844
MSE0.02260.01092.07140.02220.01092.03750.02190.01062.07910.02030.01012.01540.02390.01152.0711
MRE0.11980.08241.45430.11740.08191.43370.11700.08051.45340.11310.07841.44170.12230.08441.4485
( 5 , 4 ) α AE0.64550.6260 0.59580.5789 0.60330.5830 0.56440.5478 0.66210.6402
Bias0.09330.0659 0.10220.0883 0.09560.0790 0.08930.0807 0.11170.0866
MSE0.01610.00762.10980.01740.01361.28430.01560.01071.45560.01220.00931.31490.02390.01571.5200
MRE0.15540.10981.41570.17030.14721.15680.15940.13171.21010.14880.13451.10580.18610.14431.2895
β AE0.99030.9982 1.00621.0106 1.00281.0112 1.02001.0303 0.98990.9944
Bias0.16890.0933 0.16510.0922 0.16390.0902 0.15230.0885 0.18010.0978
MSE0.04540.01343.37970.04460.01313.40250.04330.01263.44030.03740.01243.01340.05370.01473.6496
MRE0.16890.09331.81100.16510.09221.79110.16390.09021.81640.15230.08851.71990.18010.09781.8418
( 5 , 9 ) α AE0.61560.6104 0.59690.5894 0.60130.5951 0.57150.5685 0.62760.6209
Bias0.05760.0439 0.06920.0577 0.06390.0514 0.05910.0521 0.06880.0548
MSE0.00530.00311.68220.00770.00521.49160.00640.00411.55910.00520.00401.30230.00790.00501.5721
MRE0.09600.07321.31090.11530.09611.19990.10650.08561.24360.09860.08681.13570.11460.09131.2554
β AE1.00410.9998 1.01051.0064 1.00931.0048 1.02201.0173 1.00180.9969
Bias0.11050.0651 0.11020.0667 0.10940.0652 0.10590.0638 0.11310.0676
MSE0.01940.00652.95480.01970.00692.85360.01920.00662.91180.01790.00632.82040.02060.00712.9117
MRE0.11050.06511.69920.11020.06671.65110.10940.06521.67780.10590.06381.65930.11310.06761.6741
Table 5. AE, Bias, MSE, MRE, and relative efficiency for MSADE, MSALDE, MSSDE, MSSLDE, and MSLDE for both RSS and SRS when ( α , β ) = ( 0.6 , 1 ) .
Table 5. AE, Bias, MSE, MRE, and relative efficiency for MSADE, MSALDE, MSSDE, MSSLDE, and MSLDE for both RSS and SRS when ( α , β ) = ( 0.6 , 1 ) .
( m , k ) Par.Met.MSADEMSALDEMSSDEMSSLDEMSLDE
SRS RSS Eff SRS RSS Eff SRS RSS Eff SRS RSS Eff SRS RSS Eff
( 3 , 4 ) α AE0.58750.5745 0.56280.5501 0.54580.5277 0.58920.5760 0.54480.5280
Bias0.14580.1409 0.12660.1264 0.16200.1582 0.11630.1127 0.16300.1591
MSE0.03720.03391.09880.02480.02510.98880.04430.03931.12900.02150.02141.00490.04460.03971.1234
MRE0.24290.23481.03470.21100.21071.00160.27000.26361.02440.19380.18791.03160.27160.26521.0242
β AE1.06831.0542 1.07551.0581 1.04821.0278 1.06881.0456 1.04791.0268
Bias0.23470.1827 0.23560.1839 0.22320.1735 0.23160.1642 0.22370.1750
MSE0.09120.05451.67130.09250.05281.75330.09290.04921.88580.09200.04312.13370.09280.05001.8568
MRE0.23470.18271.28460.23560.18391.28100.22320.17351.28640.23160.16421.41070.22370.17501.2783
( 3 , 9 ) α AE0.58910.5818 0.57350.5686 0.56430.5533 0.58770.5803 0.56410.5533
Bias0.09560.0953 0.08400.0818 0.10890.1082 0.08000.0749 0.10950.1091
MSE0.01450.01490.97690.01080.01041.04170.01880.01861.01030.00980.00901.09610.01900.01891.0030
MRE0.15930.15891.00270.13990.13631.02630.18150.18031.00680.13330.12481.06820.18240.18181.0038
β AE1.02601.0248 1.03111.0240 1.00581.0212 1.02751.0250 1.00551.0210
Bias0.17050.1407 0.15820.1267 0.16130.1376 0.15110.1181 0.16190.1388
MSE0.04640.03191.45550.04020.02521.59490.04270.03151.35220.03670.02191.67190.04290.03201.3399
MRE0.17050.14071.21200.15820.12671.24870.16130.13761.17220.15110.11811.27930.16190.13881.1665
( 4 , 4 ) α AE0.58550.5672 0.56780.5513 0.55750.5322 0.58890.5679 0.55630.5325
Bias0.12730.1171 0.10860.1039 0.14620.1343 0.10060.0954 0.14600.1352
MSE0.02680.02311.15820.01820.01681.08150.03810.02881.32320.01710.01421.20290.03780.02931.2897
MRE0.21220.19521.08700.18100.17321.04530.24370.22381.08890.16760.15911.05370.24340.22531.0803
β AE1.03781.0406 1.03581.0420 1.02421.0126 1.03281.0398 1.02421.0118
Bias0.20220.1579 0.19550.1581 0.20090.1419 0.18640.1402 0.20070.1427
MSE0.06620.03931.68400.06200.03831.61750.06960.03352.07550.05770.03091.86460.06910.03392.0381
MRE0.20220.15791.28050.19550.15811.23650.20090.14191.41530.18640.14021.33020.20070.14271.4070
( 4 , 9 ) α AE0.58880.5752 0.57570.5670 0.57130.5540 0.58800.5782 0.57130.5539
Bias0.08320.0772 0.07140.0683 0.09610.0871 0.06810.0621 0.09690.0877
MSE0.01230.00901.36430.00790.00701.13710.01640.01141.43310.00720.00591.21680.01660.01161.4372
MRE0.13870.12861.07840.11890.11381.04520.16020.14511.10440.11360.10351.09730.16160.14621.1055
β AE1.01681.0179 1.02521.0219 1.00901.0071 1.01991.0248 1.00901.0069
Bias0.14410.1151 0.13600.1077 0.14270.1129 0.13060.0983 0.14340.1137
MSE0.03320.02171.53140.02990.01861.60850.03340.02021.65400.02720.01591.71040.03380.02051.6511
MRE0.14410.11511.25210.13600.10771.26340.14270.11291.26390.13060.09831.32850.14340.11371.2610
( 5 , 4 ) α AE0.58320.5653 0.56810.5527 0.55720.5352 0.58630.5733 0.55670.5354
Bias0.10860.0966 0.09360.0867 0.12310.1194 0.09150.0772 0.12390.1203
MSE0.01850.01471.25500.01390.01111.24650.02470.02151.14790.01400.00941.49750.02530.02191.1540
MRE0.18100.16111.12400.15600.14461.07890.20520.19901.03100.15250.12871.18500.20660.20051.0301
β AE1.02091.0390 1.02701.0435 1.00161.0169 1.02921.0302 1.00201.0169
Bias0.17980.1417 0.17470.1299 0.17890.1306 0.17250.1140 0.17970.1317
MSE0.05290.03201.65520.05030.02721.85070.05200.02731.90750.04860.02092.32970.05260.02781.8932
MRE0.17980.14171.26880.17470.12991.34430.17890.13061.37030.17250.11401.51300.17970.13171.3645
( 5 , 9 ) α AE0.58270.5772 0.57550.5706 0.56600.5611 0.58460.5814 0.56610.5617
Bias0.07590.0645 0.06410.0577 0.08570.0769 0.06110.0537 0.08630.0779
MSE0.00910.00641.42110.00630.00501.25670.01130.00901.25300.00560.00441.25470.01140.00941.2215
MRE0.12640.10761.17520.10680.09611.11130.14280.12821.11430.10180.08951.13650.14390.12981.1084
β AE1.02151.0257 1.02151.0241 1.01751.0109 1.02381.0162 1.01751.0105
Bias0.12820.0959 0.12280.0904 0.12960.1022 0.12090.0818 0.13040.1032
MSE0.02660.01481.79530.02370.01291.83430.02760.01691.63410.02320.01092.12030.02800.01721.6221
MRE0.12820.09591.33720.12280.09041.35780.12960.10221.26840.12090.08181.47840.13040.10321.2640
Table 6. AE, Bias, MSE, MRE, and relative efficiency for KE, ADE, RTADE, LTADE, and ASLSOE for both RSS and SRS when ( α , β ) = ( 0.6 , 1 ) .
Table 6. AE, Bias, MSE, MRE, and relative efficiency for KE, ADE, RTADE, LTADE, and ASLSOE for both RSS and SRS when ( α , β ) = ( 0.6 , 1 ) .
( m , k ) Par.Met.KEADERTADELTADEASLSOE
SRS RSS Eff SRS RSS Eff SRS RSS Eff SRS RSS Eff SRS RSS Eff
( 3 , 4 ) α AE0.68630.6676 0.62150.6067 0.66030.6474 0.64510.6325 0.69320.6764
Bias0.16270.1456 0.11770.1101 0.16010.1551 0.13370.1258 0.18260.1694
MSE0.05440.04391.24110.02420.02241.07820.06070.05101.18870.03540.03451.02720.08450.07081.1938
MRE0.27120.24261.11800.19620.18351.06930.26680.25841.03250.22280.20971.06270.30430.28241.0777
β AE1.04531.0161 1.04691.0205 1.07871.0384 1.02961.0008 0.98850.9594
Bias0.25230.1707 0.22310.1485 0.25690.1647 0.23420.1614 0.25620.1919
MSE0.11590.04792.42040.08670.03562.43350.22850.04804.76040.09320.04212.21190.11060.06151.7987
MRE0.25230.17071.47850.22310.14851.50250.25690.16471.55950.23420.16141.45160.25620.19191.3353
( 3 , 9 ) α AE0.63890.6276 0.61350.6030 0.62670.6165 0.62220.6104 0.63140.6213
Bias0.09820.0863 0.07930.0720 0.09810.0893 0.08550.0764 0.10550.1027
MSE0.01780.01281.39410.01060.00861.22630.01740.01401.23960.01250.01011.23660.02090.02011.0359
MRE0.16360.14381.13740.13220.11991.10260.16340.14881.09810.14250.12731.11980.17590.17121.0274
β AE1.00521.0059 1.00681.0082 1.01171.0132 1.00001.0018 0.98540.9870
Bias0.15370.1113 0.14370.1012 0.14780.1056 0.14870.1067 0.16750.1320
MSE0.03880.01981.96270.03340.01622.05600.03610.01792.01190.03580.01811.98400.04530.02791.6217
MRE0.15370.11131.38110.14370.10121.41980.14780.10561.40030.14870.10671.39320.16750.13201.2695
( 4 , 4 ) α AE0.66480.6348 0.61850.5955 0.64350.6143 0.63850.6159 0.67070.6451
Bias0.13360.1084 0.10110.0870 0.13030.1146 0.11750.0990 0.16100.1342
MSE0.03400.02131.59650.01790.01241.44260.03180.02311.37530.02750.01921.43310.06920.03711.8646
MRE0.22270.18061.23290.16850.14501.16170.21710.19101.13690.19590.16501.18730.26830.22371.1993
β AE1.00871.0067 1.01331.0121 1.02671.0214 0.99860.9961 0.96890.9641
Bias0.19760.1321 0.17820.1170 0.18960.1238 0.18970.1274 0.21740.1572
MSE0.07230.02732.64410.05360.02172.47350.06400.02572.48690.06090.02552.38460.07910.03971.9897
MRE0.19760.13211.49610.17820.11701.52270.18960.12381.53140.18970.12741.48940.21740.15721.3829
( 4 , 9 ) α AE0.62830.6201 0.60780.5995 0.61820.6075 0.61430.6065 0.61820.6060
Bias0.08420.0724 0.06720.0574 0.08360.0713 0.07110.0622 0.08870.0818
MSE0.01160.00861.34910.00750.00511.45820.01160.00841.37650.00880.00631.38970.01360.01091.2484
MRE0.14030.12061.16370.11210.09571.17140.13930.11891.17150.11850.10371.14290.14780.13641.0841
β AE1.00060.9983 1.00351.0035 1.00731.0063 0.99800.9979 0.98900.9943
Bias0.12460.0894 0.11760.0809 0.12070.0823 0.12120.0870 0.13980.1083
MSE0.02510.01291.93830.02210.01062.08120.02370.01112.13520.02360.01211.95230.03070.01861.6537
MRE0.12460.08941.39420.11760.08091.45470.12070.08231.46720.12120.08701.39390.13980.10831.2911
( 5 , 4 ) α AE0.64670.6287 0.61330.5957 0.63080.6061 0.62870.6119 0.65230.6331
Bias0.11230.0924 0.08970.0721 0.11260.0927 0.10030.0791 0.13170.1066
MSE0.02330.01641.41800.01410.00851.66270.02290.01621.41510.01910.01101.72610.03470.02111.6472
MRE0.18720.15401.21520.14950.12011.24520.18770.15451.21470.16710.13181.26760.21950.17761.2358
β AE0.99971.0003 1.00241.0086 1.01501.0132 0.98950.9952 0.96230.9697
Bias0.18090.1016 0.16430.0906 0.17530.0936 0.17480.0987 0.19800.1267
MSE0.05330.01623.29690.04360.01273.43410.05550.01403.95530.04840.01543.14460.06200.02612.3729
MRE0.18090.10161.78070.16430.09061.81280.17530.09361.87250.17480.09871.77190.19800.12671.5619
( 5 , 9 ) α AE0.61790.6096 0.60290.5979 0.60930.6042 0.60980.6036 0.60930.6050
Bias0.07250.0587 0.06070.0485 0.07190.0603 0.06560.0542 0.08040.0731
MSE0.00850.00551.53730.00560.00361.53490.00820.00591.39650.00700.00461.52800.01130.00881.2829
MRE0.12080.09791.23440.10110.08081.25180.11990.10041.19380.10930.09041.20930.13400.12191.0994
β AE1.00571.0029 1.00901.0045 1.01231.0067 1.00320.9998 0.99930.9952
Bias0.11620.0710 0.10930.0646 0.11130.0661 0.11480.0695 0.13120.0915
MSE0.02190.00772.82540.01900.00652.93820.02010.00682.93950.02110.00752.80950.02770.01332.0912
MRE0.11620.07101.63730.10930.06461.69260.11130.06611.68510.11480.06951.65190.13120.09151.4342
Table 7. Failure dataset.
Table 7. Failure dataset.
0.6020.6030.6030.6150.6520.6630.6880.705
0.7610.770.8680.8840.8980.9010.9110.918
0.9350.9530.9831.0091.041.0971.0971.148
1.2961.3431.4221.541.5551.6531.7521.885
2.0152.0152.032.042.1232.1752.4432.548
Table 8. Descriptive statistical analysis of the selected dataset.
Table 8. Descriptive statistical analysis of the selected dataset.
SizeMeanMedianSDMinMaxIQRSkewnessKurtosis
401.251.020.570.602.550.830.712.25
Table 9. Comparison of fitted models for the real dataset.
Table 9. Comparison of fitted models for the real dataset.
StatisticIPLDLindleyInverse LindleyInverse Weibull
W Statistic0.08260.17580.09720.0811
A Statistic0.66121.05750.68650.6430
K–S Statistic0.10240.34380.26190.1035
K–S p-value0.79590.000160.008280.7848
AIC61.354793.5443104.453460.9403
CAIC61.679093.6495104.558661.2646
BIC64.732495.2331106.142264.3181
HQIC62.575994.1549105.064062.1616
Table 10. Estimates and test statistics for each method under the two sampling schemes (SRS and RSS).
Table 10. Estimates and test statistics for each method under the two sampling schemes (SRS and RSS).
MethodSampling α ^ β ^ A * C * K * p-Value
MLESRS4.26082.123222.47761.19280.31460.0007
RSS2.72121.27201.17260.13320.11690.6454
OLSESRS2.94041.78296.39870.63000.22710.0323
RSS1.67131.25481.20610.13660.14150.3997
WLSESRS3.09481.84978.07360.73070.24510.0163
RSS1.84011.25670.82860.08620.12180.5936
CVMESRS3.62231.972613.45700.94120.27900.0039
RSS2.14601.25330.52480.05640.09180.8886
MPSESRS3.28351.89759.86020.81010.25850.0095
RSS1.93871.27150.68240.07030.11310.6856
ADESRS3.57431.950812.71880.91000.27400.0049
RSS1.98011.27750.63960.06640.10960.7224
RTADESRS3.45261.912911.21400.84980.26450.0074
RSS1.88571.26270.75300.07750.11760.6379
LTADESRS3.84191.957915.05620.95950.27970.0038
RSS2.16471.23690.52210.05700.08870.9115
MSADESRS3.30222.107813.41211.07250.29830.0016
RSS2.27081.12110.81760.11830.11840.6294
MSALDESRS3.36142.096313.62031.06050.29730.0017
RSS2.39071.19840.61810.08000.10430.7773
MSSDESRS2.80951.91367.68970.80650.25410.0114
RSS2.11061.09341.05170.15370.14020.4113
MSSLDESRS3.51981.902411.52580.84750.26340.0078
RSS2.06421.20570.60290.06510.09450.8670
MSLDESRS2.78971.91207.58920.80470.25340.0117
RSS2.10291.09551.04350.15150.13970.4158
KESRS3.47791.911511.36930.85170.26460.0074
RSS2.05491.38860.88550.11860.11450.6712
ADLSOESRS5.40971.939935.03141.25220.30600.0011
RSS2.93101.04232.03240.29090.17750.1605
Disclaimer/Publisher’s Note: The statements, opinions and data contained in all publications are solely those of the individual author(s) and contributor(s) and not of MDPI and/or the editor(s). MDPI and/or the editor(s) disclaim responsibility for any injury to people or property resulting from any ideas, methods, instructions or products referred to in the content.

Share and Cite

MDPI and ACS Style

Alomani, G.; Benchiha, S.A.; Al-Omari, A.I. Estimation of the Inverse Power Lindley Distribution Parameters Using Ranked Set Sampling with an Application to Failure Time Data. Axioms 2025, 14, 801. https://doi.org/10.3390/axioms14110801

AMA Style

Alomani G, Benchiha SA, Al-Omari AI. Estimation of the Inverse Power Lindley Distribution Parameters Using Ranked Set Sampling with an Application to Failure Time Data. Axioms. 2025; 14(11):801. https://doi.org/10.3390/axioms14110801

Chicago/Turabian Style

Alomani, Ghadah, Sid Ahmed Benchiha, and Amer Ibrahim Al-Omari. 2025. "Estimation of the Inverse Power Lindley Distribution Parameters Using Ranked Set Sampling with an Application to Failure Time Data" Axioms 14, no. 11: 801. https://doi.org/10.3390/axioms14110801

APA Style

Alomani, G., Benchiha, S. A., & Al-Omari, A. I. (2025). Estimation of the Inverse Power Lindley Distribution Parameters Using Ranked Set Sampling with an Application to Failure Time Data. Axioms, 14(11), 801. https://doi.org/10.3390/axioms14110801

Note that from the first issue of 2016, this journal uses article numbers instead of page numbers. See further details here.

Article Metrics

Back to TopTop