An Extended Complex Method to Solve the Predator–Prey Model
Abstract
1. Introduction
2. Preliminaries
3. Main Results
4. Proof of Theorem 1
4.1. Painlevé Test and Fuchs Indexes
4.2. Entire Function Solutions
4.2.1.
4.2.2.
4.2.3.
4.2.4.
4.3. Meromorphic Solutions with Poles
4.3.1. Building the Laurent Series and the Check the Weak Condition
4.3.2. Rational Solutions
4.3.3. Exponential Function Solutions
4.3.4. Hyperbolic Function Solution
4.3.5. Elliptic Function Solutions
5. Discussion and Limitations
5.1. Discussion
- (1)
- (2)
- Taking the Painlevé test to compute the Fuchs indexes, the results show that Equation (21) has a non-negative integer Fuchs index . This phenomenon causes Equation (21) not to meet the condition. Therefore, we cannot be sure whether all non-constant meromorphic solutions of Equation (21) belong to class W. In Remark 1, we found that Equation (21) may have rational function solutions and transcendental meromorphic function solutions with infinitely many poles, but definitely does not have transcendental meromorphic function solutions with finite many poles because Equation (21) does not satisfy the finiteness property due to Equation (21) having a non-negative integer Fuchs index . In conclusion, it fails to judge whether all meromorphic solutions of Equation (21) belong to class . This characteristic is determined by Equation (21) itself.
- (3)
- From (2), we know that Equation (21) does not satisfy the conditions of Lemma 1. Another reason is . But we can still find out the solutions of Equation (21) through the forms of elliptic functions, rational functions, and rational functions of in Lemma 1; see Section 4.3.
- (4)
- In Section 4.2, we prove that if , Equation (3) does not have non-constant solutions where are both polynomials, or both transcendental entire functions with the same order, or one is a non-constant polynomial and another is a transcendental entire function, or one is a ploynomial and another is a transcendental meromorphic functions with at least one pole, or one is a transcendental entire function and another is a transcendental meromorphic functions with at least one pole. Nevertheless, if , two infinite order transcendental entire function solutions in (32) and in (34) have been found. The two solutions respond to the fact that Equation (21) has a non-negative integer Fuchs index and not all the solutions of Equation (21) belong to class . Further, if , from Section 4.2.2, Section 4.2.3 and Section 4.2.4, we know Equation (3) does not have any non-constant solutions where are both transcendental meromorphic functions with at least one pole.
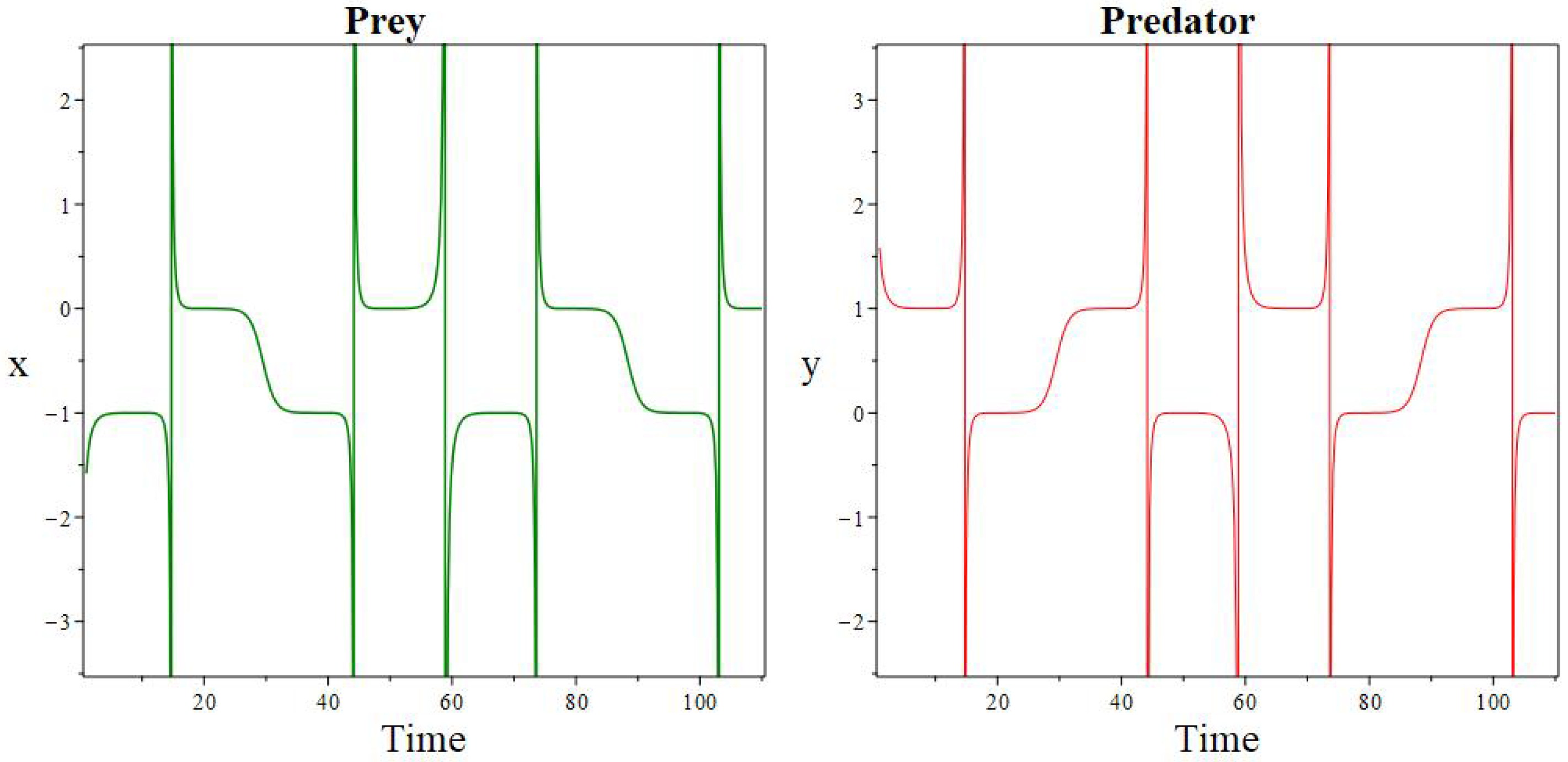
5.1.1. Plots
5.1.2. Comparing
5.2. Limitations
6. Conclusions and Future Research Directions
Author Contributions
Funding
Data Availability Statement
Acknowledgments
Conflicts of Interest
References
- Eremenko, A. Meromorphic traveling wave solutions of the Kuramoto-Sivashinsky equation. arXiv 2005, arXiv:nlin/0504053. [Google Scholar] [CrossRef]
- Eremenko, A. Meromorphic solutions of equations of Briot-Bouquet type. Teor. Funktsii Funk. Anal. i Prilozh. 1982, 38, 48–56, English translation: Am. Math. Soc. Transl. 1986, 133, 15–23. [Google Scholar]
- Eremenko, A.; Liao, L.; Ng, T. Meromorphic solutions of higher order Briot–Bouquet differential equations. Math. Proc. Camb. Philos. Soc. 2009, 146, 197–206. [Google Scholar] [CrossRef]
- Yuan, W.J.; Li, Y.Z.; Lin, J.M. Meromorphic solutions of an auxiliary ordinary differential equation using complex method. Math. Methods Appl. Sci. 2013, 36, 1776–1782. [Google Scholar] [CrossRef]
- Demina, M.V.; Kudryashov, N.A. From Laurent series to exact meromorphic solutions: The Kawahara equation. Phys. Lett. A 2010, 374, 4023–4029. [Google Scholar] [CrossRef]
- Dang, G. New exact solutions of the sixth-order thin-film equation with complex method. Partial Differ. Equations Appl. Math. 2021, 4, 100116. [Google Scholar] [CrossRef]
- Dang, G. Meromorphic solutions of the (2+1)- and the (3+1)-dimensional BLMP equations and the (2+1)-dimensional KMN equation. Demonstratio Math. 2021, 54, 129–139. [Google Scholar] [CrossRef]
- Dang, G. Meromorphic solutions of the seventh-order KdV equation by using an extended complex method and Painlevé analysis. ScienceAsia 2023, 49, 108–115. [Google Scholar] [CrossRef]
- Dang, G. Elliptic and multiple-valued solutions of some higher order ordinary differential equations. Electron. Res. Arch. 2023, 31, 5946–5958. [Google Scholar] [CrossRef]
- Dang, G. On the equation fn + (f″)m ≡ 1. Demonstratio Math. 2023, 56, 20230103. [Google Scholar] [CrossRef]
- Lotka, A.J. Undamped oscillations derived from the law of mass action. J. Am. Chem. Soc. 1920, 42, 1595–1599. [Google Scholar] [CrossRef]
- Volterra, V. Variation and fluctuations of the number of individuals of animal species living together. In Animal Ecology; Chapman, R.N., Ed.; McGraw-Hill: Columbus, OH, USA, 1926; pp. 31–113. [Google Scholar]
- Frame, J.S. Explicit solutions in two species Volterra systems. J. Theor. Biol. 1974, 43, 73–81. [Google Scholar] [CrossRef]
- Evans, C.; Findley, G. A new transformation for the Lotka–Volterra problem. J. Math. Chem. 1999, 25, 105–110. [Google Scholar] [CrossRef]
- Rothe, F. The periods of the Volterra-Lotka system. J. Die Reine Angew. Math. 1985, 355, 129–138. [Google Scholar] [CrossRef]
- Nonlaopon, K.; Mehdizadeh Khalsaraei, M.; Shokri, A.; Molayi, M. Approximate solutions for a class of Predator-Prey systems with nonstandard finite difference schemes. Symmetry 2021, 14, 1660. [Google Scholar] [CrossRef]
- López-Gómez, J.; Muñoz-Hernández, E.; Zanolin, F. Subharmonic solutions for a class of predator-prey models with degenerate weights in periodic environments. Open Math. 2023, 21, 20220593. [Google Scholar] [CrossRef]
- Wang, M.; Liu, N. Qualitative analysis and traveling wave solutions of a predator-prey model with time delay and stage structure. Electron. Res. Arch. 2024, 32, 2665–2698. [Google Scholar] [CrossRef]
- Diz-Pita, É. Global dynamics of a predator-prey system with immigration in both species. Electron. Res. Arch. 2024, 32, 762–778. [Google Scholar] [CrossRef]
- Yang, J.; Zhao, Z.; Kong, Y.; Xu, J. Spatiotemporal dynamics of a predator-prey model with harvest and disease in prey. Mathematics 2025, 13, 2474. [Google Scholar] [CrossRef]
- Li, X.; Dong, S. Bifurcation analysis of a predator-prey model with coefficient-dependent dual time delays. Mathematics 2025, 13, 2170. [Google Scholar] [CrossRef]
- Chen, H.; Liu, M.; Xu, X. Dynamics of a prey-predator model with group defense for prey, cooperative hunting for predator, and Lévy jump. Axioms 2023, 12, 878. [Google Scholar] [CrossRef]
- Naeem, R.; Iqbal, M.S.; Ali, A.H.; Inc, M. Analysis and exact solutions for reaction-diffusion predator-prey system with prey-taxis by ϕ6 method. Nonlinear Anal. Model. Control 2025, 30, 732–746. [Google Scholar] [CrossRef]
- Areshi, M.; Seadawy, A.R.; Ali, A.; Alharbi, A.F.; AlJohani, A.F. Analytical solutions of the predator-prey model with fractional derivative order via applications of three modified mathematical methods. Fractal Fract. 2023, 7, 128. [Google Scholar] [CrossRef]
- Nikolova, E.V. On the extended simple equations method (SEsM) and its application for finding exact solutions of the time-fractional diffusive predator-prey system incorporating an Allee Effect. Mathematics 2025, 13, 330. [Google Scholar] [CrossRef]
- Kumar, A.; Bahuguna, D.; Kumar, S. Complex dynamic behaviour on fractional predator-prey model of mathematical ecology. J. Appl. Math. Comput. 2024, 70, 5319–5357. [Google Scholar] [CrossRef]
- Diz-Pita, É.; Otero-Espinar, M.V. Predator-prey Models: A review of some recent advances. Mathematics 2021, 9, 1783. [Google Scholar] [CrossRef]
- Allee, W.C. Animal Aggregations: A Study in General Sociology; University of Chicago Press: Chicago, IL, USA, 1931. [Google Scholar]
- Wang, X.; Zanette, L.; Zou, X. Modelling the fear effect in predator-prey interactions. J. Math. Biol. 2016, 73, 1179–1204. [Google Scholar] [CrossRef]
- Zanette, L.Y.; White, A.F.; Allen, M.C.; Clinchy, M. Perceived predation risk reduces the number of offspring songbirds produce per year. Science 2011, 334, 1398–1401. [Google Scholar] [CrossRef] [PubMed]
- Meng, X.; Chen, L.; Chen, F. Dynamics of a predator-prey system with asymmetric dispersal and fear effect. Symmetry 2025, 17, 329. [Google Scholar] [CrossRef]
- Kohlmeier, C.; Ebenhöh, W. The stabilizing role of cannibalism in a predator-prey system. Bull. Math. Biol. 1995, 57, 401–411. [Google Scholar] [CrossRef]
- Manna, K.; Volpert, V.; Banerjee, M. Dynamics of a diffusive two-prey-one-predator model with nonlocal intra-specific competition for both the prey species. Mathematics 2020, 8, 101. [Google Scholar] [CrossRef]
- Xiao, Y.; Jiao, J. Dynamics of an impulsive predator-prey model with a seasonally mass migrating prey population. Mathematics 2025, 13, 1550. [Google Scholar] [CrossRef]
- Hering, R.H. Oscillations in Lotka-Volterra systems of chemical reactions. J. Math. Chem. 1990, 5, 197–202. [Google Scholar] [CrossRef]
- Laval, G.; Pellat, R. Plasma Physics. In Proceedings of the Summer School of Theoretical Physics; Gordon and Breach: New York, NY, USA, 1975. [Google Scholar]
- Solomon, S.; Richmond, P. Stable power laws in variable economies; Lotka-Volterra implies Pareto-Zipf. Eur. Phys. J. B 2002, 27, 257–261. [Google Scholar] [CrossRef]
- Abdelkader, M.A. Exact solutions of Lotka-Volterra equations. Math. Biosci. 1974, 20, 293–297. [Google Scholar] [CrossRef]
- Varma, V.S. Exact solutions for a special prey-predator or competing species system. Bull. Math. Biol. 1977, 39, 619–622. [Google Scholar] [CrossRef]
- Burnside, R.R. A note on exact solutions of two prey-predator equations. Bull. Math. Biol. 1982, 44, 893–897. [Google Scholar] [CrossRef]
- Waldvogel, J. The period in the Volterra-Lotka predator-prey model. SIAM J. Numer. Anal. 1983, 20, 1264–1272. [Google Scholar] [CrossRef]
- Waldvogel, J. The period in the Lotka-Volterra system is monotonic. J. Math. Anal. Appl. 1986, 114, 178–184. [Google Scholar] [CrossRef]
- Shih, S.-D. The period of a Lotka-Volterra system. Taiwan. J. Math. 1997, 1, 451–470. [Google Scholar] [CrossRef]
- Kudryashov, N.A.; Zakharchenko, A.S. Analytical properties and exact solutions of the Lotka–Volterra competition system. Appl. Math. Comput. 2015, 254, 219–228. [Google Scholar] [CrossRef]
- Yuan, W.J.; Wu, Y.H.; Chen, Q.H.; Huang, Y. All meromorphic solutions for two forms of odd order algebraic differential equations and its applications. Appl. Math. Comput. 2014, 240, 240–251. [Google Scholar] [CrossRef]
- Conte, R. The Painlevé approach to nonlinear ordinary differential equations. In The Painlevé Property: One Century Later; Conte, R., Ed.; Springer: New York, NY, USA, 1999. [Google Scholar]
- Huang, Z.F.; Zhang, L.M.; Cheng, Q.H.; Yuan, W.J. The representation of meromorphic solutions for a class of odd order algebraic differential equations and its applications. Math. Methods Appl. Sci. 2014, 37, 1553–1560. [Google Scholar] [CrossRef]
- Yuan, W.J.; Shang, Y.D.; Huang, Y.; Wang, H. The representation of meromorphic solutions of certain ordinary differential equations and its applications. Sci. Sin. Math. 2013, 43, 563–575. [Google Scholar] [CrossRef]
- Yang, C.C.; Yi, H.X. Uniqueness Theory of Meromorphic Functions; Science Press: Beijing, China, 2003. [Google Scholar]
- Laine, I. Nevanlinna Theory and Complex Differential Equations; Walter de Gruyter: Berlin, Germany, 1993. [Google Scholar]
- Steinmetz, N. Nevanlinna Theory, Normal Families, and Algebraic Differential Equations; Springer: Cham, Switzerland, 2017. [Google Scholar] [CrossRef]

Disclaimer/Publisher’s Note: The statements, opinions and data contained in all publications are solely those of the individual author(s) and contributor(s) and not of MDPI and/or the editor(s). MDPI and/or the editor(s) disclaim responsibility for any injury to people or property resulting from any ideas, methods, instructions or products referred to in the content. |
© 2025 by the authors. Licensee MDPI, Basel, Switzerland. This article is an open access article distributed under the terms and conditions of the Creative Commons Attribution (CC BY) license (https://creativecommons.org/licenses/by/4.0/).
Share and Cite
Tu, H.; Dang, G. An Extended Complex Method to Solve the Predator–Prey Model. Axioms 2025, 14, 758. https://doi.org/10.3390/axioms14100758
Tu H, Dang G. An Extended Complex Method to Solve the Predator–Prey Model. Axioms. 2025; 14(10):758. https://doi.org/10.3390/axioms14100758
Chicago/Turabian StyleTu, Hongqiang, and Guoqiang Dang. 2025. "An Extended Complex Method to Solve the Predator–Prey Model" Axioms 14, no. 10: 758. https://doi.org/10.3390/axioms14100758
APA StyleTu, H., & Dang, G. (2025). An Extended Complex Method to Solve the Predator–Prey Model. Axioms, 14(10), 758. https://doi.org/10.3390/axioms14100758

