Stability of the Split-Step θ-Method for Stochastic Pantograph Systems with Markovian Switching and Jumps
Abstract
1. Introduction
2. Preliminaries
3. Almost Sure Exponential Stability of the Trivial Solution and the -Method
- (ii):
- For , Equation (23) becomes
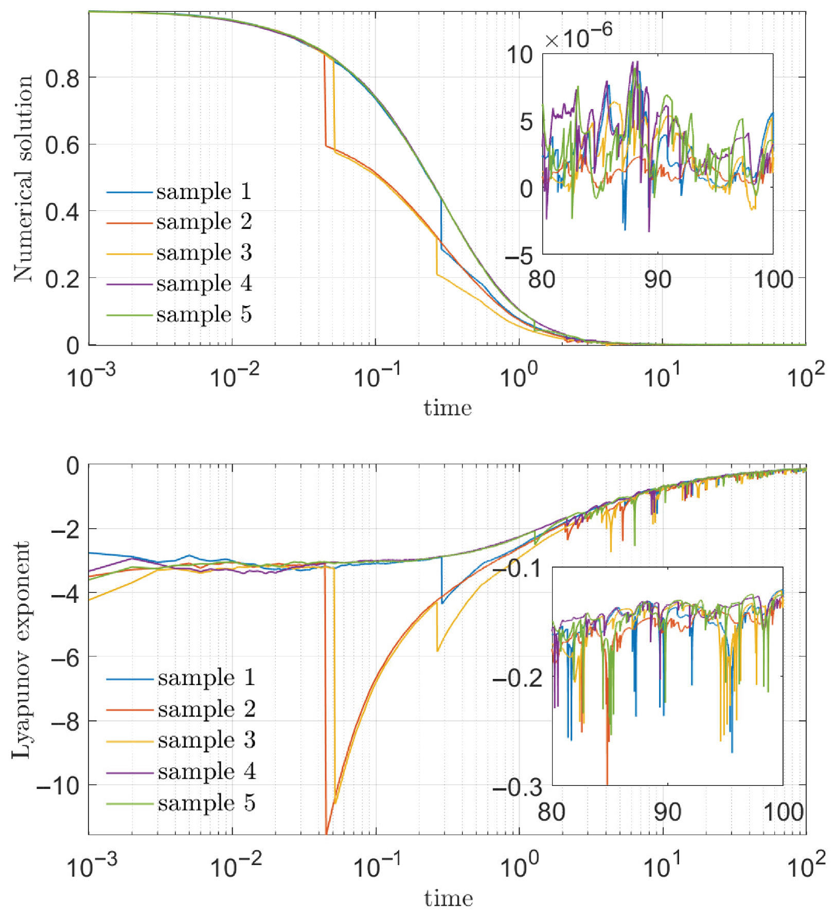
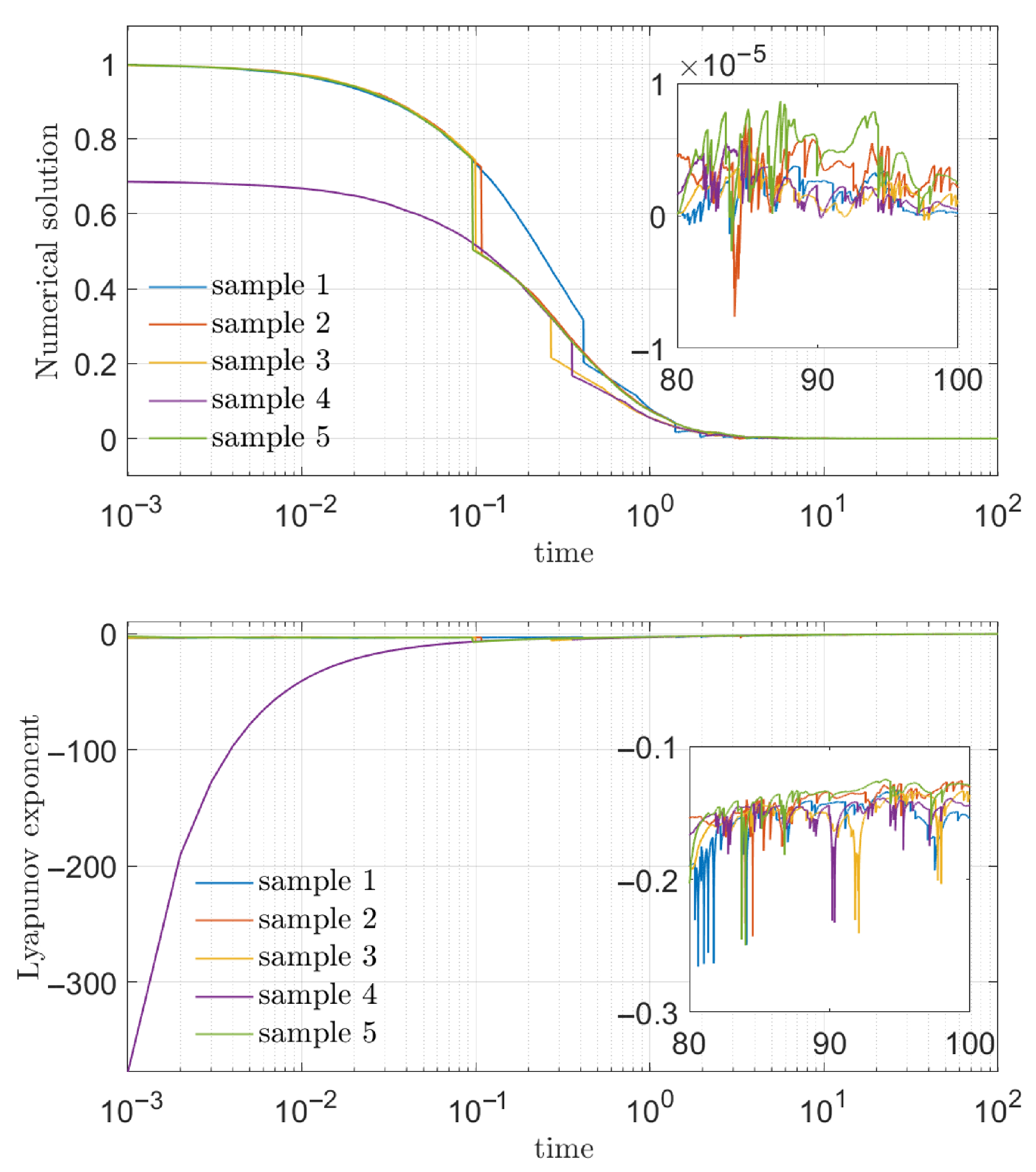
4. A Numerical Experiment
5. Conclusions
Author Contributions
Funding
Data Availability Statement
Conflicts of Interest
References
- Appleby, J.A.D. Decay and growth rates of solutions of scalar stochastic delay differential equations with unbounded delay and state dependent noise. Stoch. Dyn. 2005, 5, 133–147. [Google Scholar] [CrossRef]
- Zhang, Y.; Zhang, E.; Li, L. The improved stability analysis of numerical method for stochastic delay differential equations. Mathematics 2022, 10, 3366. [Google Scholar] [CrossRef]
- Minhós, F.; Raza, A.; Shafique, U.; Mohsin, M. Modeling, analysis, and transmission dynamics of cassava mosaic disease through stochastic fractional delay differential equations. Mathematics 2025, 13, 383. [Google Scholar] [CrossRef]
- Jiang, F.; Shen, Y.; Liu, L. Taylor approximation of the solutions of stochastic differential delay equations with Poisson jump. Commun. Nonlinear Sci. Numer. Simulat. 2011, 16, 798–804. [Google Scholar] [CrossRef]
- Li, H.; Zhu, Q. The pth moment exponential stability and almost surely exponential stability of stochastic differential delay equations with Poisson jump. J. Math. Anal. Appl. 2019, 471, 197–210. [Google Scholar] [CrossRef]
- Kang, Y.H.; Jeong, J.M. Time-Optimal Control for Semilinear Stochastic Functional Differential Equations with Delays. Mathematics 2021, 9, 1956. [Google Scholar] [CrossRef]
- Mao, X.; Yuan, C. Stochastic Differential Equations with Markovian Switching; Imperial College Press: London, UK, 2006. [Google Scholar]
- Mao, X.; Matasov, A.; Piunovskiy, A.B. Stochastic differential delay equations with Markovian switching. Bernoulli 2000, 6, 73–90. [Google Scholar] [CrossRef]
- Song, R.; Zhu, Q. Stability of linear stochastic delay differential equations with infinite Markovian switchings. Int. J. Robust Nonlinear Control 2018, 28, 825–837. [Google Scholar] [CrossRef]
- Zhang, T.; Chen, H. The stability with a general decay of stochastic delay differential equations with Markovian switching. Appl. Math. Comput. 2019, 359, 294–307. [Google Scholar] [CrossRef]
- Wang, L.; Xue, H. Convergence of numerical solutions to stochastic differential delay equations with Poisson jump and Markovian switching. Appl. Math. Comput. 2007, 188, 1161–1172. [Google Scholar] [CrossRef]
- Zhang, W.; Ye, J.; Li, H. Stability with general decay rates of stochastic differential delay equations with Poisson jumps and Markovian switching. Statist Probab. Lett. 2014, 92, 1–11. [Google Scholar] [CrossRef]
- Ockendon, J.R.; Tayler, A.B. The dynamics of a current collection system for an electric locomotive. Proc. R. Soc. Lond Ser. A 1971, 322, 447–468. [Google Scholar]
- Zhang, H.; Xiao, Y.; Guo, F. Convergence and stability of a numerical method for nonlinear stochastic pantograph equations. J. Franklin Inst. 2014, 351, 3089–3103. [Google Scholar] [CrossRef]
- Fan, Z.; Liu, M.; Cao, W. Existence and uniqueness of the solutions and convergence of semi-implicit Euler methods for stochastic pantograph equations. J. Math. Anal. Appl. 2007, 325, 1142–1159. [Google Scholar] [CrossRef]
- Fan, Z.; Song, M.; Liu, M. The αth moment stability for the stochastic pantograph equation. J. Comput. Appl. Math. 2009, 233, 109–120. [Google Scholar] [CrossRef]
- Jiang, F.; Yang, H.; Wang, S. Asymptotic stability of stochastic pantograph differential equations with Markovian switching. J. Nonlinear Anal. Optim. 2010, 1, 9–16. [Google Scholar]
- Milošević, M. Existence, uniqueness, almost sure polynomial stability of solution to a class of highly nonlinear pantograph stochastic differential equations and the Euler-Maruyama approximation. Appl. Math. Comput. 2014, 237, 672–685. [Google Scholar] [CrossRef]
- You, S.; Mao, W.; Mao, X.; Hu, L. Analysis on exponential stability of hybrid pantograph stochastic differential equations with highly nonlinear coefficients. Appl. Math. Comput. 2015, 263, 73–83. [Google Scholar] [CrossRef]
- Mao, W.; Hu, L.; Mao, X. Almost sure stability with general decay rate of neutral stochastic pantograph equations with Markovian switching. Electron. J. Qual. Theory 2019, 52, 1–17. [Google Scholar] [CrossRef]
- Xiao, Y.; Zhang, H.Y. A note on convergence of semi-implicit Euler methods for stochastic pantograph equations. Comput. Math. Appl. 2019, 59, 1419–1424. [Google Scholar] [CrossRef]
- Baker, C.T.H.; Buckwar, E. Continuous θ-methods for the stochastic pantograph equation. Electron. Trans. Numer. Anal. 2000, 11, 131–151. [Google Scholar]
- Zhou, S.; Hu, Y. Numerical approximation for nonlinear stochastic pantograph equations with Markovian switching. Appl. Math. Comput. 2016, 286, 126–138. [Google Scholar] [CrossRef]
- Guo, P.; Li, C. Almost sure exponential stability of numerical solutions for stochastic pantograph differential equations. J. Math. Anal. Appl. 2018, 460, 411–424. [Google Scholar] [CrossRef]
- Cheng, M.; Zhang, W.; Li, R. Convergence and stability of the balanced Euler method for stochastic pantograph differential equations with Markovian switching. Int. J. Comput. Math. 2024, 101, 281–313. [Google Scholar] [CrossRef]
- Ding, X.; Ma, Q.; Zhang, L. Convergence and stability of the split-step theta-method for stochastic differential equations. Comput. Math. Appl. 2010, 60, 1310–1321. [Google Scholar] [CrossRef]
- Huang, C. Mean square stability and dissipativity of two classes of theta methods for systems of stochastic delay differential equations. J. Comput. Appl. Math. 2014, 259, 77–86. [Google Scholar] [CrossRef]
- Cao, W.; Hao, P.; Zhang, Z. Split-step θ-method for stochastic delay differential equations. Appl. Numer. Math. 2014, 76, 19–33. [Google Scholar]
- Mo, H.; Deng, F.; Zhang, C. Exponential stability of the split-step θ-method for neutral stochastic delay differential equations with jumps. Appl. Math. Comput. 2017, 315, 85–95. [Google Scholar] [CrossRef]
- Yuan, H.; Shen, J.; Song, C. Mean square stability and dissipativity of split-step theta method for nonlinear neutral stochastic delay differential equations with poisson jumps. J. Comput. Appl. Math. 2017, 35, 766–779. [Google Scholar]
- Xiao, Y.; Eissa, M.A.; Tian, B. Convergence and stability of split-step theta methods with variable step-size for stochastic pantograph differential equations. Int. J. Comput. Math. 2018, 95, 939–960. [Google Scholar] [CrossRef]
- Guo, P.; Li, C. Almost sure stability with general decay rate of exact and numerical solutions for stochastic pantograph differential equations. Numer. Algorithms 2019, 80, 1391–1411. [Google Scholar] [CrossRef]
- Hanson, F.B. Applied Stochastic Processes and Control for Jump-Diffusion; SIAM: Philadelphia, PA, USA, 2007. [Google Scholar]


| Sample 1 | Sample 2 | Sample 3 | Sample 4 | Sample 5 | |
|---|---|---|---|---|---|
| 0.0 | −0.13672 | −0.13897 | −0.13034 | −0.18784 | −0.12176 |
| 0.1 | −0.12984 | −0.13489 | −0.12816 | −0.13406 | −0.12738 |
| 0.2 | −0.14278 | −0.14453 | −0.14883 | −0.15272 | −0.14469 |
| 0.3 | −0.1361 | −0.15363 | −0.16493 | −0.16144 | −0.1369 |
| 0.4 | −0.12721 | −0.13012 | −0.12988 | −0.12638 | −0.12565 |
| 0.5 | −0.13342 | −0.12176 | −0.12739 | −0.13461 | −0.14543 |
| 0.6 | −0.15233 | −0.13627 | −0.13078 | −0.14636 | −0.14031 |
| 0.7 | −0.12412 | −0.12947 | −0.1177 | −0.12865 | −0.12469 |
| 0.8 | −0.15403 | −0.13062 | −0.13635 | −0.14418 | −0.12927 |
| 0.9 | −0.12944 | −0.13174 | −0.12968 | −0.14019 | −0.13093 |
| 1.0 | −0.13241 | −0.12314 | −0.12265 | −0.12548 | −0.14104 |
Disclaimer/Publisher’s Note: The statements, opinions and data contained in all publications are solely those of the individual author(s) and contributor(s) and not of MDPI and/or the editor(s). MDPI and/or the editor(s) disclaim responsibility for any injury to people or property resulting from any ideas, methods, instructions or products referred to in the content. |
© 2025 by the authors. Licensee MDPI, Basel, Switzerland. This article is an open access article distributed under the terms and conditions of the Creative Commons Attribution (CC BY) license (https://creativecommons.org/licenses/by/4.0/).
Share and Cite
Li, G.; Hu, Z.; Xu, B.; Chen, Z.; Deng, F. Stability of the Split-Step θ-Method for Stochastic Pantograph Systems with Markovian Switching and Jumps. Axioms 2025, 14, 718. https://doi.org/10.3390/axioms14100718
Li G, Hu Z, Xu B, Chen Z, Deng F. Stability of the Split-Step θ-Method for Stochastic Pantograph Systems with Markovian Switching and Jumps. Axioms. 2025; 14(10):718. https://doi.org/10.3390/axioms14100718
Chicago/Turabian StyleLi, Guangjie, Zhipei Hu, Baishu Xu, Zilong Chen, and Feiqi Deng. 2025. "Stability of the Split-Step θ-Method for Stochastic Pantograph Systems with Markovian Switching and Jumps" Axioms 14, no. 10: 718. https://doi.org/10.3390/axioms14100718
APA StyleLi, G., Hu, Z., Xu, B., Chen, Z., & Deng, F. (2025). Stability of the Split-Step θ-Method for Stochastic Pantograph Systems with Markovian Switching and Jumps. Axioms, 14(10), 718. https://doi.org/10.3390/axioms14100718
