Analytic Solutions for Hilfer Type Fractional Langevin Equations with Variable Coefficients in a Weighted Space
Abstract
1. Introduction
- Using new techniques, we present an explicit representation of solutions to Problems (1) and (2).
- We obtain the existence and uniqueness of solutions for Problems (1) and (2) without a contractive assumption.
- We present a nonlinear mixed Fredholm–Volterra integral solution for nonlinear initial value Problem (22)–(23).
2. Preliminaries
- (i)
- is the space of functions x, which are continuous on and .
- (ii)
- The weighted space is defined by
- (iii)
- is the weighted space of functions x, which are continuously differentiable on up to order and have the derivative of order n on such that :with the norm .
- (iv)
- We denote the weighted spacewith the norm . When , is denoted by .
- (v)
- We denote the weighted spacewith the norm . When , is denoted by .
3. Equivalence with an Integral Equation
4. Nonlinear Case
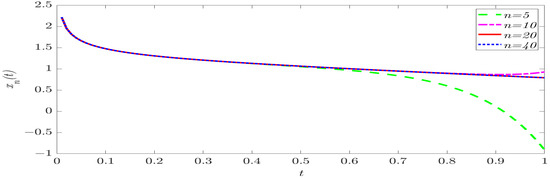
5. Applications
6. Conclusions
Author Contributions
Funding
Data Availability Statement
Acknowledgments
Conflicts of Interest
References
- Coffey, W.T.; Kalmykov, Y.P.; Waldron, J.T. The Langevin Equation: With Applications to Stochastic Problems in Physics, Chemistry and Electrical Engineering, 2nd ed.; World Scientific: Singapore, 2004. [Google Scholar]
- Podlubny, I. Fractional Differential Equations; Mathematics in Science and Engineering; Academic Press: San Diego, CA, USA, 1999; Volume 198. [Google Scholar]
- Miller, K.S.; Ross, B. An Introduction to The Fractional Calculus and Fractional Differential Equations; Wiley: New York, NY, USA, 1993. [Google Scholar]
- Samko, S.G.; Kilbas, A.A.; Marichev, O.I. Fractional Integrals and Derivatives: Theory and Applications; Gordon and Breach Science Publishers: Yverdon, Swizerland, 1993. [Google Scholar]
- Kilbas, A.A.; Srivastava, H.M.; Trujillo, J.J. Theory and Applications of Fractional Differential Equations; North-Holland Mathematics Studies, 204; Elsevier: Amsterdam, The Netherlands, 2006. [Google Scholar]
- Mainradi, F.; Pironi, P. The fractional Langevin equation: Brownian motion revisted. Extracta Math. 1996, 10, 140–154. [Google Scholar]
- Fazli, H.; Nieto, J.J. Fractional Langevin equation with anti-periodic boundary conditions. Chaos Solitons Fractals 2018, 114, 332–337. [Google Scholar] [CrossRef]
- Baghani, H.; Nieto, J.J. Some new properties of the Mittag-Leffler functions and their applications to solvability and stability of a class of fractional Langevin differential equations. Qual. Theor. Dyn. Syst. 2024, 23, 18. [Google Scholar] [CrossRef]
- Almaghamsi, L.; Salem, A. Fractional Langevin equations with infinite-point boundary condition: Application to fractional harmonic oscillator. J. Appl. Anal. Comput. 2023, 13, 3504–3523. [Google Scholar] [CrossRef]
- Salem, A.; Mshary, N. Coupled fixed point theorem for the generalized Langevin equation with four-point and Strip conditions. Adv. Math. Phys. 2022, 2022, 1724221. [Google Scholar] [CrossRef]
- Salem, A. Existence results of solutions for anti-periodic fractional Langevin equation. J. Appl. Anal. Comput. 2020, 10, 2557–2574. [Google Scholar] [CrossRef] [PubMed]
- Ahmad, B.; Alsaedi, A.; Ntouyas, S.K. Nonlinear Langevin equations and inclusions involving mixed fractional order derivatives and variable coefficient with fractional nonlocal-terminal conditions. AIMS Math. 2019, 4, 626–647. [Google Scholar] [CrossRef]
- Baghani, H.; Nieto, J.J. On fractional Langevin equation involving two fractional orders in different intervals. Nonlinear Anal.-Model 2019, 24, 884–897. [Google Scholar] [CrossRef]
- Hilfer, R. Applications of Fractional Calculus in Physics; World Scientific: Singapore, 2000. [Google Scholar]
- Hilfer, R.; Luchko, Y.; Tomovski, Z. Operational method for the solution of fractional differential equations with generalized Riemann-Liouville fractional derivatives. Fract. Calc. Appl. Anal. 2009, 12, 299–318. [Google Scholar]
- Hilfer, R. Experimental evidence for fractional time evolution in glass forming materials. Chem. Phys. 2002, 284, 399–408. [Google Scholar] [CrossRef]
- Radhakrishnan, B.; Sathya, T. Controllability of Hilfer fractional Langevin dynamical system with impulse in an abstract weighted space. J. Optim. Theory Appl. 2022, 195, 265–281. [Google Scholar] [CrossRef]
- Hilal, K.; Kajouni, A.; Lmou, H. Existence and stability results for a coupled system of Hilfer fractional Langevin equation with non local integral boundary value conditions. arXiv 2022, arXiv:2206.07457. [Google Scholar] [CrossRef]
- Rivero, M.; Rodríguez-Germá, L.; Trujillo, J.J. Linear fractional differential equations with variable coefficients. Appl. Math. Lett. 2008, 21, 892–897. [Google Scholar] [CrossRef][Green Version]
- Restrepo, J.E.; Suragan, D. Hilfer-type fractional differential equations with variable coefficients. Chaos Solitons Fractals 2021, 150, 111146. [Google Scholar] [CrossRef]
- Pak, S.; Choi, H.; Sin, K.; Ri, K. Analytical solutions of linear inhomogeneous fractional differential equation with continuous variable coefficients. Adv. Differ. Equ. 2019, 2019, 256. [Google Scholar] [CrossRef]
- Oliveira, D.S.; Capelas de Oliveira, E. Hilfer-Katugampola fractional derivative. Comput. Appl. Math. 2018, 37, 3672–3690. [Google Scholar] [CrossRef]
- Gorenflo, R.; Kilbas, A.A.; Mainardi, F.; Rogosin, S.V. Mittag-Leffler Functions, Related Topics and Applications; Springer: Berlin, Germany, 2020. [Google Scholar]

Disclaimer/Publisher’s Note: The statements, opinions and data contained in all publications are solely those of the individual author(s) and contributor(s) and not of MDPI and/or the editor(s). MDPI and/or the editor(s) disclaim responsibility for any injury to people or property resulting from any ideas, methods, instructions or products referred to in the content. |
© 2024 by the authors. Licensee MDPI, Basel, Switzerland. This article is an open access article distributed under the terms and conditions of the Creative Commons Attribution (CC BY) license (https://creativecommons.org/licenses/by/4.0/).
Share and Cite
Li, F.; Yang, L.; Wang, H. Analytic Solutions for Hilfer Type Fractional Langevin Equations with Variable Coefficients in a Weighted Space. Axioms 2024, 13, 284. https://doi.org/10.3390/axioms13050284
Li F, Yang L, Wang H. Analytic Solutions for Hilfer Type Fractional Langevin Equations with Variable Coefficients in a Weighted Space. Axioms. 2024; 13(5):284. https://doi.org/10.3390/axioms13050284
Chicago/Turabian StyleLi, Fang, Ling Yang, and Huiwen Wang. 2024. "Analytic Solutions for Hilfer Type Fractional Langevin Equations with Variable Coefficients in a Weighted Space" Axioms 13, no. 5: 284. https://doi.org/10.3390/axioms13050284
APA StyleLi, F., Yang, L., & Wang, H. (2024). Analytic Solutions for Hilfer Type Fractional Langevin Equations with Variable Coefficients in a Weighted Space. Axioms, 13(5), 284. https://doi.org/10.3390/axioms13050284

