Next Article in Journal
Semi-Hyers–Ulam–Rassias Stability of Some Volterra Integro-Differential Equations via Laplace Transform
Previous Article in Journal
New Arithmetic Operations of Non-Normal Fuzzy Sets Using Compatibility
 
 
Font Type:
Arial Georgia Verdana
Font Size:
Aa Aa Aa
Line Spacing:
Column Width:
Background:
Article

The Fourfold Way to Gaussianity: Physical Interactions, Distributional Models and Monadic Transformations

Dipartimento Ingegneria Chimica Materiali Ambiente, Sapienza Università di Roma, Via Eudossiana 18, 00184 Roma, Italy
*
Author to whom correspondence should be addressed.
Axioms 2023, 12(3), 278; https://doi.org/10.3390/axioms12030278
Submission received: 16 January 2023 / Revised: 24 February 2023 / Accepted: 4 March 2023 / Published: 7 March 2023

Abstract

The Central Limit Theorem stands as a milestone in probability theory and statistical physics, as the privileged, if not the unique, universal route to normal distributions. This article addresses and describes several other alternative routes to Gaussianity, stemming from physical interactions, related to particle-particle and radiative particle–photon elementary processes. The concept of conservative mixing transformations of random ensembles is addressed, as it represents the other main universal distributional route to Gaussianity in classical low-energy physics. Monadic ensemble transformations are introduced, accounting for radiative particle–photon interactions, and are intimately connected with the theory of random Iterated Function Systems. For Monadic transformations, possessing a thermodynamic constraint, Gaussianity represents the equilibrium condition in two limiting cases: in the low radiative-friction limit in any space dimension, and in the high radiative-friction limit, when the dimension of the physical space tends to infinity.

1. Introduction

The Central Limit Theorem (CLT) represents a fundamental mathematical result in probability theory, indicating a simple and universal route to Gaussian distributions. More than a mere technical result, the CLT constitutes a paradigm in probability theory that can be declined in a manifold of slightly different variants of increasing generality and mathematical subtlety [1,2]. The theory of classical CLTs involves the limit properties of sums of random variables, under two main conditions: (i) independence, and (ii) finite values of the first and second order moments of the random variables involved in the summation procedure. If the latter condition is removed, the work by Lévy on α -stable distributions, complements the classical CLT paradigm, and this extension is usually referred to as the generalized CLT [3,4].
What is remarkable in CLT is that it provides the natural bridge connecting probability theory and statistical physics, intimately linking one to the other in such a way that it is hard to define a sharp boundary separating the mathematical reasoning from the physical interpretation of the phenomenological reality. This sense of astounding associated with CLT and the emergence of Gaussian distributions has been precisely formulated by Marc Kac, “…to quote a statement of Poincaré, who said (partly in jest no doubt) that there must be something mysterious about the normal law since mathematicians think it is a law of nature whereas physicists are convinced that it is a mathematical theorem” (p. 52 in [5]).
In point of fact, the entire conceptual apparatus of classical statistical physics rests upon Gaussian distributions, and the CLT is often invoked as the mathematical route leading to it [6,7]. However, in some cases, the reference to CLT is not appropriate in order to support, on mathematical grounds, the emergence of normal distributions in physical problems, as the physical mechanism leading to normality is not based on the additivity of random contributions, but rather on distributional mechanisms as outlined in [8], and thoroughly addressed in the remainder.
While in the case of diffusion, possessing a long-term linear scaling of the mean square displacement with time (henceforth referred to as Einsteinian diffusion), CLT can be properly invoked to justify probabilistically the functional form of the resulting Green’s function, this is not the case of the Maxwellian velocity distribution of molecules and particles in diluted fluids at thermal equilibrium [9].
The aim of the present article is to introduce and discuss other physical routes to the emergence of Gaussian distributions, alternative to CLT, deriving from simple physical mechanisms of interaction between particles, and between particles and energy quanta. We believe that this analysis is not only interesting in a statistical physical perspective, but it could provide a stimulus for mathematicians to elaborate further the origin of normal distributions, and to use the physical routes to Gaussianity, deriving from physical principles, for extending and generalizing the stochastic mathematical apparatus with new structures and new theories.
For some scientists, mutuating and extending the Galilean approach to the role of mathematics in physics, the whole physical universe is a mathematical object [10]. For other scientists, the observation of the dynamics of natural phenomena is the principal source of intuition in the development of new mathematical stuctures. Independently of any personal epistemological conviction on the mutual relationships between physical interpretation of the reality and mathematical invention, we strongly believe that natural phenomena, in their incredible variety of dynamic manifestations, provide a invaluble hint in the construction of new mathematical structures and theories. In this framework, the analysis of the emergent origin of Gaussianity in physical problems falls in the latter category, and this article is aimed at presenting to mathematicians the physical evidence that other approaches to Gaussianity, alternative to CLT, are possible, stemming from elementary physical interaction processes. These routes possess a universal character, in the meaning that they apply to particle–photon interactions in the presence of equilibrium thermal radiation, the energy distribution of which is given by the Planck distribution. This represents a fundamental, non-strictly mechanical, example of emergence of Gaussianity deriving from quantum structure and interactions.
The article is organized as follows. Section 2 reviews briefly some prototypical physical problems in which Gaussian distributions arise (mostly in statistical physics [11]). Section 3 addresses the concept of unbounded additivity that characterizes one of the main requirements of CLT, representing a necessary condition for its application, as formalized by the Lyapunov condition [2,12]. Section 4 analyzes the distributional routes to normality, introduced in [8], physically corresponding to the momentum exchange in a particle–particle collision, assuming it to be elastic. Section 5 addresses the phenomenon of particle–photon radiative interaction, and its mathematical description. This mechanism leads to two other “physical” routes to Gaussianity, either in the limit of radiative friction tending to zero, and this could be viewed as a limit case conceptually analogous to CLT (Section 5) or in the limit of extremely high radiative friction. The first problem leads to the concept of monadic random transformations, and of thermodynamic monadic tranformations, which correspond to the physical counterpart of Iterated Function Systems (IFS) [13,14], generalized to allow a uncountable number of contractive transformations. The latter problem is addressed in Section 6, and it is conceptually worth of attention as it provides a “Gedankenexperiment” for determining the dimensionality of the physical space from the measurements of particle fluctuational properties, in which Gaussianity emerges for the number of dimensions tending to infinity.

2. Gaussian Distributions in Physics

In this paragraph, the occurrence of Gaussian distributions in physics is briefly reviewed, mostly focusing on statistical physical problems. The prototypical example is represented by the phenomenology of molecular diffusion, corresponding in a Lagrangian perspective to the phenomenon of Brownian motion [15], described mathematically by a parabolic diffusion equation on the real line [16]
p ( x , t ) t = D 2 p ( x , t ) x 2
where x R is the spatial coordinate, t > 0 is the time variable, p ( x , t ) represents the concentration (density) of the diffusing species and D its diffusion coefficient.
Thanks to the fundamental contribution by Einstein on Brownian motion [15], it became clear that Equation (1) represents the long-term statistical description of the motion of particles subjected to a random stationary velocity field v ( t ) , the kinematics of which is expressed by
d x ( t ) d t = v ( t )
where v ( t ) is a stochastic process possessing zero mean for any t > 0 , i.e., v ( t ) = 0 (throughout this article we use the symbol · to indicate the expected value E [ · ] of a random variable, so that if ξ is a random variable, and f ( ξ ) a generic function of it, f ( ξ ) = E [ f ( ξ ) ] ). Therefore, if x ( 0 ) = x 0 ,
x ( t ) = x 0 + 0 t v ( τ ) d τ
and if v ( t ) possesses a correlation function C v ( t ) = v ( t ) v ( 0 ) decaying rapidly enough with time t for t (i.e., there exist constants a > 0 , and ζ > 1 , such that C v ( t ) a t ζ ), the statistical characterization of the Brownian motion Equation (2) satisfies asymptotically (in the long-time limit) the diffusion Equation (1), where D = 0 C v ( t ) d t , as follows from the Green–Kubo theory [17].
Brownian motion is the typical example of application of CLT to a physical problem due to the fact that the position x ( t ) at time t can be viewed as the superposition of “almost uncorrelated displacements”. More precisely, we can always express x ( t ) as a summation of discrete displacements Δ x ( τ h ) ,
x ( t ) = x 0 + h = 1 n ( t ) Δ x ( τ h )
where h = 1 n ( t ) τ h = t , τ h 1 , Δ x ( τ h ) = x ( t h + τ h ) x ( t h ) , t h = k = 1 h 1 τ k . Therefore, if one chooses the τ h ’s large enough such that subsequent displacements Δ x ( τ h ) and Δ x ( τ h + 1 ) are practically uncorrelated, CLT can be invoked, justifying the long-term mathematical structure of Brownian motion. In this case, probabilistic arguments based on the CLT support and explain the analytical properties associated with the solutions of Equation (1). The diffusional Green function G ( x x 0 , t ) , i.e., the solution of Equation (1) in the presence of an impulsive initial condition, G ( x x 0 , 0 ) = δ ( x x 0 ) , is a Gaussian distribution
G ( x x 0 , t ) = 1 4 π D t e ( x x 0 ) 2 / 4 D t
since x ( t ) = x 0 , and ( x ( t ) x 0 ) 2 = 2 D t . The fingerprint of CLT in the parabolic description of Brownian motion and diffusion emerges clearly from the fact that Equation (1) represents a long-term approximation of the phenomenon, deriving from a limit process (identical to the formulation of CLT), that fails at very short time scales, and, more importantly, that violates the fundamental principles of physics, namely the bounded propagation of any physical process [18]. Hyperbolic extensions of the parabolic diffusion model, respectful of the principles of relativity, have been proposed by Cattaneo [19], interpreted stochastically by Kac [20], see also [21,22,23,24]. Hyperbolic transport models are interesting as Gaussianity emerges in the limit of diverging velocities and transition rates, i.e., when the support of the probability measure becomes unbounded. This is usually referred to as the Kac limit [21,22,25,26]. In the presence of external potentials and forces the resulting probability densities may significantly differ from the corresponding parabolic models for finite velocities [27,28,29,30].
The other archetypal example of emergent Gaussianity in statistical physics arises in the study of the velocity distribution of gas particles at thermal equilibrium, corresponding to the Maxwellian distribution. Let v = ( v 1 , , v n ) be the velocity vector in R n , n = 1 , 2 , , and p v * ( v ) the equilibrium velocity probability density function at temperature T for particles of mass m. Equilibrium kinetic theory provides for p v * ( v ) the expression [31]
p v * ( v ) = h = 1 n g ( v h ) , g ( v h ) = m 2 π k B T e m v h 2 / 2 k B T
where k B = 1.38 × 10 23 J K 1 is the Boltzmann constant.
The Maxwellian velocity distribution plays an even more central role in statistical physical, as it represents the kinetic backbone of the equilibrium theory based on the Gibbs’ ensembles [32,33]. Considering a closed thermodynamic system at thermal equilibrium composed by N particles, the mechanics of which is specified by the Hamiltonian function H ( Q , P ) , where Q = ( q 1 , , q N ) represents the vector of the vector-valued generalized coordinates q h , h = 1 , , N of the particles, q h = ( q h , 1 , , q h , n ) , and P = ( p 1 , , p N ) the associated generalized momenta, p h = ( p h , 1 , , p h , n ) , the equilibrium phase-space distribution p * ( Q , P ) is given by the canonical distribution
p * ( Q , P ) = A e H ( Q , P ) / k B T
where A is a normalization constant. Specifically, if H ( Q , P ) = U ( Q ) + h = 1 N | p h | 2 2 m , where U ( Q ) is the potential energy, then
p * ( Q , P ) = A e U ( Q ) / k B T h = 1 N e | p h | 2 / 2 m k B T
(here we assume that e U ( Q ) / k B T d Q < , otherwise an equilibrium distribution does not exist). Consequently, it is a generic property of thermodynamic equilibrium systems to display a Gaussian distribution of the kinetic (momentum or velocity) degrees of freedom, and any violation of this property contradicts the purely mechanical foundation of classical statistical physics.
In the case of the Maxwellian distribution, CLT cannot be invoked as discussed in Section 4. In point of fact, the original derivation due to Maxwell of Equation (6) relies on purely symmetry arguments: (i) the isotropy of motion, and (ii) the mutual independence of the velocity entries v h , h = 1 , , n [34].
These two prototypical examples, namely the Einsteinian theory of Brownian motion, and the Maxwellian theory of velocity fluctuations at thermal equilibrium, opened up an era in mathematical and statistical physics that can be called “the Gaussian era”, leading to a manifold of fundamental contributions, and mathematical inventions:
  • the introduction of Wiener processes W ( t ) [35,36], often referred to as mathematical Brownian motion, mimicking the long-term proprerties of the kinematics of micrometric particles in quiescent fluids. In the definition of Wiener process, Gaussianity is built-in from the beginning, as the increments y ( t ) = w ( t + τ ) w ( t ) , with t > 0 , τ > 0 , are distributed in a Gaussian way with zero mean y = 0 and squared variance y 2 = τ (we use the convention of indicating with upper case letters the process, such as W ( t ) , and with lower-case letters, say w ( t ) , a realization of it);
  • the Ito formulation of stochastic calculus on Wiener processes, leading to the theory of stochastic integration, the definition of stochastic differential equations [37,38], i.e., to the theory of Langevin equations driven by the increments of Wiener processes [39], representing another fundamental chapter in modern statistical physics;
  • the Malliavin calculus on Wiener measures [40,41].
In this framework it is also important to mention the important contribution by Jona-Lasinio on the relationships between CLT and Renormalization Group theory in particle physics [42,43,44,45] (see also [46]), the connection between Wiener processes and scale-invariant transformations [47,48], and the fact that, even if the CLT applies, its distributional convergence does not ensure that higher-order moments (higher than the second one) may display anomalous properties [49].
The above analysis permits to appreciate the central role of Gaussianity, as the mathematical paradigmatic distribution emerging from CLT, and finding a ubiquitous application in equilibrium statistical physics, extensible in many cases to out-of-equilibrium conditions. The Onsager–Machlup theory of non-equilibrium thermodynamics is based on a Gaussian ansatz [50,51].
This is also the reason why, whenever deviations from Gaussianity occur in transport theory, they are referred to as anomalous diffusion (this case falls under the conceptual jurisdiction of α -stable distributions and of the generalized CLT) [52,53] or, in thermodynamics, as athermal systems [54,55].
It would be natural to conclude from this succinct review that the occurrence of Gaussianity in statistical physics in nothing but an emergent property in normal thermodynamic and/or transport conditions, where, here, “normal” means essentially that the basic assumptions of CLT are met, see also the next section). However, a more refined interpretation of the two basic examples discussed above (Einsteinian Brownian motion, and Maxwellian velocity distribution) suggests the possibility of a strictly physical route to Gaussianity (in the Maxwellian case). This is analyzed in Section 4. Before proceding in this analysis, it is convenient to focus on a simple but important property underlying the applicability of CLT.

3. Unbounded Additivity

For most physical applications CLT can be formulated in one of its simplest versions (the Lindenberg-Lévy theorem) for independent and identically distributed (iid) random variables [1,2].
Given a sequence { X h } h = 1 of iid random variables possessing bounded first and second order moments x h = a < , ( x h a ) 2 = σ 2 < , the random variable Z N ,
Z N = h = 1 N ( X h a ) N σ
converges, in a distributional sense, to a normal random variable (i.e., to a Gaussian random variable with zero mean and unit variance). In this case, σ Z N 2 = z N 2 = N σ 2 , and consequently σ Z N diverges for N .
In order to analyze more deeply the mathematical-physical origin of the emergent Gaussianity in sums of independent random variables it is useful to remove the assumption of identical distribution. For generic, i.e., not identically distributed, but still independent random variables { X h } h = 1 , with x h = a h , ( x h a h ) 2 = σ h 2 , where both a h and σ h 2 are finite for any h = 1 , 2 , , the Lyapunov version of CLT states that Z N converges to a normally distributed random variable provided that, setting S N 2 = h = 1 N σ h 2 , there exists δ > 0 such that the relation
lim N 1 S N 2 + δ h = 1 N | x h a h | 2 + δ = 0
is fulfilled [1,2]. Equation (10), usually referred to as the Lyapunov condition, necessarily implies that
lim N S N 2 = lim N h = 1 N σ h 2 =
i.e., that the additive process Equation (9) in the definition of Z N should be characterized by an unbounded variance for h = 1 N X h in the limit for N . This condition is trivially satisfied in the case of iid random variables. Equation (11), that is a necessary consequence of the Lyapunov condition, can be referred to as the condition of unbounded additivity. In order to observe an emergent Gaussian behavior, the sum of the variances of the random contributions should be unbounded. Physically, this corresponds to the fact that the random perturbations should provide an “infinite energy” to the system. Conversely, if S N attains for N a limit value, the statistical properties of Z N cannot achieve an emergent universal behavior and the asymptotic statistics (for N ) of Z N depends on the fine statistical properties of the random variables { X h } h = 1 . In order to make a simple example, consider the case where
X h = R h h α
with α > 0 , and { R h } are iid random variables uniformly distributed in the interval [ 1 , 1 ] . It follows from Equation (11) that unbounded additivity is verified if α 1 / 2 . Conversely, if α > 1 , S N approaches, for N , a limit value and the Lyapunov condition is not fulfilled. Let p ( z ; N ) the probability density function (pdf) for Z N , parametrized with respect to N. Figure 1, panels (a) to (c), depicts the pdf p ( z ; N ) for α = 1 / 2 panel (a), at which unbounded additivity is satisfied, and for α = 1 , 2 , panels (b) and (c), at which S N attains a constant limit value. The simulations are performed by considering 10 8 realizations.
The concept of “infinite energy” underlying unbounded additivity is physically significant in the case the variable Z N correspond to a velocity variable and the summation process is a consequence of the momentum exchange with other particles or with a heat bath. In a physical perspective, this condition is not realistic, and this indicates further that the occurrence of a Maxwellian velocity distribution cannot be attributed to any superposition of independent random perturbations, but should be interpreted within a completely different physical mechanism and probabilistic route.

4. The Distributional Route to Gaussianity

Unbounded additivity is the necessarity requisite for the route to Gaussianity, as an emergent property, expressed by the CLT. Physically, it finds a direct application in the asymptotics of random walks and Brownian motion, but it cannot be invoked to recover the Maxwellian velocity distribution in a particle gas. It is certainly true that the statistics of molecular and particle velocities in a fluid is the superposition of arbitrarily many elementary events (binary particle–particle collisions), but in each collision the squared norm of the velocity is conserved (for a gas of identical molecules). Since the mean velocity is vanishing, the squared variances of the velocity do not fulfil an additive summation process of independent increments, but are simply conserved at each collisional event.
Therefore, the probabilistic mechanism underlying the emergence of a Gaussian velocity distribution is altogether different from the additive CLT route. This leads to introduce the concept of Mixing Transformations and Conservative Mixing Transformations in an ensemble of random variables, which formalizes the dynamics of binary collisional events [8].
Consider an ensemble E = { z h } h = 1 N of vector-valued random variables z h = ( z 1 , h , z n , h ) R n , where n > 1 is the dimensionality. A Mixing Transformation (MT, for short) M of the ensemble E , is a mapping E = M ( E ) , transforming the ensemble E into a new ensemble E according to the following rules:
  • two elements, say z i * and z j * , with j * i * ar randomly selected from E ;
  • two random functions φ ( z , w ; r ) , ψ ( z , w ; r ) , z , w R n are defined, such that the mapping M transforms z i * and z j * into the new values z i * , z j * , according to the random laws
    z i * = φ ( z i * , z j * ; r ) z j * = ψ ( z i * , z j * ; r )
    depending on the unit n-dimensional random vector r , | r | = 1 , defined statistically by the density function p r ( r ) .
  • the values of all the other z h of the ensemble with h i * , j * are left unchanged.
A Conservative Mixing Transformation (CMT) is a MT of an ensemble E in which N c functions h α : R n R , α = 1 , , N c are defined, such that the random functions φ and ψ satisfy the N c constraints
h α ( z i * ) + h α ( z j * ) = h α ( φ ( z i * , z j * ; r ) ) + h α ( ψ ( z i * , z j * ; r ) )
MT’s of vector-valued ensembles correspond to the stochastic representation of elementary binary collisional events. CMTs describe collisional events satisfying physical conservation principles, in particular the conservation of momentum and energy (in elastic collisions). In the latter case, N c = n + 1 , and if z = ( z 1 , , z n ) we have
h α ( z ) = z α , α = 1 , , n
and
h n + 1 ( z ) = | z | 2
Specifically, a CMT on a random ensemble corresponds to the mathematical description of elementary collisional events in a low-velocity (non-relativistic) gas of identical particles. As discussed in [8], CMTs represent the simplest and most generic distributive route to Gaussianity, in the meaning that for almost all the distributions of the elements of the initial ensemble E , and for almost all the choices of the random transformations φ and ψ , satisfying Equations (15) and (16), an asymptotic Gaussian ensemble distribution for the entries of the elements z h of E m = M m ( E ) occurs in the limit for m and N .
For instance, the transformations φ and ψ can be chosen as follows
φ ( z 1 , z 2 ; r ) = z 1 ( z 1 z 2 ) · r r ψ ( z 1 , z 2 ; r ) = z 2 + ( z 1 z 2 ) · r r
where z · r = i = 1 n z i r i indicates the Euclidean scalar product. In this case, for almost all the distributions p r ( r ) , a limit ensemble Gaussian distribution for the entries of z h is observed for m and N .
Consider n = 2 , so that r can be expressed as r = cos ϕ , sin ϕ , where ϕ [ 0 , 2 π ) is characterized by the density p ϕ ( ϕ ) . The isotropic case corresponds to the uniform angular density p ϕ ( ϕ ) = 1 / 2 π , for which r = 0 . In point of fact, the random variable r does not need neither to be uniformly distributed nor to be isotropic in order to observe a limit Gaussian behavior for the elements of M m ( E ) , as the linear constraints of Equation (15) ensure for any random distribution, that, if the initial ensemble is unbiased, i.e., if z = lim N 1 N h = 1 N z h = 0 , then the images of the ensemble under a CMT possess the same property. In this sense, the emergence of Gaussianity lies entirely on the quadratic nature of the energy constraint Equation (16).
To make an example, consider a highly biased and anisotropic distribution of the angular variable ϕ defining r , expressed by the atomic and dichotomic distribution
p ϕ ( ϕ ) = 1 2 δ ( ϕ ϕ 1 ) + 1 2 δ ( ϕ ϕ 2 )
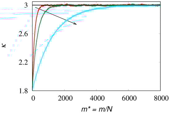
where the values ϕ 1 and ϕ 2 are chosen arbitrarily, say ϕ 1 = 0.017345 p , and ϕ 2 = π / 2 + 0.037345 p , with p = 1 , 2 , . The initial ensemble E , assuming N = 10 8 , is characterized by independent z h , the entries of which are randomly chosen from a uniform distribution in [ 3 , 3 ] , thus possessing zero mean and unit variance. Figure 2 depicts the evolution of the kurtosis κ associated with the distribution of the first entry z h , 1 of the ensemble variables as a function of the normalized operational time m * = m / N , where m is the overall number of CMT performed in the ensemble, considering the transformations Equation (17), with the random variable r defined statistically by Equation (18) with p = 1 , 2 , 3 . In all the cases, the CMT determines a limit Gaussian ensemble distribution for the entries of z h , corresponding to the asymptotic value of the kurtosis κ = 3 , as depicted in Figure 2 and Figure 3.
It is also interesting to observe that the CMT defined by Equation (17) determines a progressive decorrelation in the entries of z h . Still considering n = 2 , the latter property can be appreciated by considering the evolution of the covariance of the entries z = ( z 1 , z 2 )
σ 12 = ( z 1 z 1 ) ( z 2 z 2 )
starting from the highly correlated initial conditions
z h , 1 = z h , 2 = 1 Prob . 1 2 1 Prob . 1 2
so that initially σ 12 = 1 . The decay of correlations amongst the two entries of the variables z h is depicted in Figure 4, using for r = ( cos ϕ , sin ϕ ) a uniform angular distribution. The dynamics of σ 12 ( m * ) parametrized with respect to the normalized number of CMT operations m * , smoothly relaxes to zero, following an exponential decorrelation decay.
As discussed in [8], the emergence of Gaussian distributions in CMT enforcing the constraints Equations (15) and (16), for almost all the choices of the functions φ and ϕ , is a consequence of the conservation laws assumed. If the linear conservation laws Equation (15) are assumed, physically corresponding to momentum conservation, the functional nature of the remaining conservation law, namely Equation (16), is crucial in assessing the emergence of Gaussian distributions. For this reason, it is convenient to consider a subclass of CMT, referred to as Strongly Unbiased CMT (SUCMT).
A SUCMT is a CMT, characterized by the existence of n + 1 conservation laws, the first n of which are expressed by Equation (15), while the ( n + 1 ) -th constraint, referred to as the energy conservation, takes the form
h n + 1 ( z ) = e ( | z | )
where e ( | z | ) is a function solely of the norm | z | of the ensemble variable z . The emergent Gaussian nature of the ensemble variables in a SUCMT stems exclusively from a quadratic choice for the energy conservation, i.e., from Equation (16). As shown in [8], if e ( | z | ) is chosen otherwise, e.g., from relativistic principles (in this case the variable z does not represent a velocity, but the spatial entries of the 4-momentum of a molecule), deviations from Gaussianity occur, determining the emergence of other classes of statistical distributions (specifically, the Jüttner distributions [56]). In this sense, the occurrence of Gaussianity in SUCMT, is the result of physical assumptions/approximations (approximating relativistic mechanics with low-velocity Newtonian models), and not of mathematical principles.

5. Particle–Photon Radiative Processes and Limit Gaussianity

At the molecular level, another physical mechanism, related to photon–particle radiative processes, controls the velocity distribution of the massive entities [57,58,59]. Electromagnetic radiation carries momentum [60], and this is responsible from the radiative pressure determining the possibility for electromagnetic radiation to perform mechanical work. This is a well known result, and the development of optical tweezers and of other electromagnetic micromanipulation procedures is based on this property [61,62].
This problem has been considered at a molecular level by Einstein in 1916 [57], in connection with the statistical characterization of equilibrium thermal radiation, and its interaction with matter (molecules) via absorption and emission of energy quanta. The occurrence of emission and absorption events determines a modification of the molecular momentum, inducing the emergence of friction (dissipation) in particle dynamics: if v is the velocity of a molecule, the friction term is proportional to v with a reverse sign, corresponding to a dissipative contribution. Specifically, if the radiation is in equilibrium at temperature T, the average of the squared velocity norm of a molecule deriving from the dynamics of purely radiative events is given by [57],
| v | 2 = 3 k B T m
where m is the mass of the molecule, consistenty with the Maxwellian theory of equilibrium velocity fluctuations. This fundamental quantum mechanism leads to other routes to Gaussianity, and for this reason it is addressed below.
The dynamics of emission/absorption processes has been analyzed in [59]. With respect to the operational time k, corresponding to the number of radiative events occurred, the evolution of the velocity v k R n of a generic molecule can be written as
v k + 1 = α v k + β r k + 1
k = 0 , 1 , , where α ( 0 , 1 ) accounts for this discrete-time setting of the radiative friction, and β = h ν / c m is the ratio of the photon momentum h ν / c (h: the Planck constant, ν : the resonant frequency of the radiative process, and c: the light velocity in vacuo) to the particle mass m. In Equation (23) r k , is a system of independent vector-valued n-dimensional unit random variables, | r k | = 1 , uniformly distributed on the surface of the n-dimensional unit sphere S n . This hypothesis is fulfilled by thermal radiation, but not necessarily in non-equilibrium conditions, e.g., in the presence of a laser source. If the velocity entries are rescaled to unit variance, i.e., | v | 2 = n , the relation between α and β in this nondimensional setting becomes is
β = n 1 α 2

Monadic Transformations, Thermodynamic Constraints and IFS

The physics of momentum exchange between matter and radiation at the molecular level leads to the concept of Monadic Transformations of random ensembles. Consider an ensemble E = { z h } h = 1 N of vector-valued random variables. A Monadic Transformation (MoT, for short) T of the ensemble E , is a mapping E = T ( E ) , transforming the ensemble E into a new ensemble E according to the following rules:
  • an element, say z i * is randomly selected from E ;
  • a random function ϕ ( z ; r ) is defined such that the mapping T transforms z i * into the new value z i * according to the random law
    z i * = ξ ( z i * ; r )
    where r is a random n-dimensional unit vector uniformly distributed on S n ;
  • the values of all the other z h of the ensemble with h i * are left unchanged.
MT’s for which the asymptotic moments of the random map ξ are bounded, are referred to as Thermodynamic Monadic Transformations (acronym TMoT). Therefore a TMoT is a MoT, for which a a constant C > 0 can be defined, such that
lim m | ξ m ( z ; r ) | 2 = C
for almost all z , where ξ m = ξ ξ m t i m e s , represents the m-th iterates of the random map ξ . This means that the iterations of the transformation ξ possess asymptotically bounded squared norm, once statistically averaged over the probability measures of r . Without loss of generality, we can always rescale the z -variables so that C = 1 .
With reference to the radiative interactions discussed above, we can consider the class of linear transformations,
ξ ( z ; r ) = α z + β r = ξ r ( z )
where α ( 0 , 1 ) , and r is uniformly distributed in S n , where p r ( r ) represents its probability density function, S n p r ( r ) d Ω n ( r ) = 1 , and d Ω n ( r ) is the infinitesimal n-dimensional solid angle. The thermodynamic behavior of Equation (27) is ensured by the bounds 0 < α < 1 , physically associated with dissipative character of the interaction.
Equation (27) corresponds to a linear Iterated Function System (IFS), defined, in the general case, by an uncountable number of contractive transformations. Correspondingly, its limit measure μ z * is defined by the relation [13,14]
μ z * = S n p r ( r ) μ z * ξ r 1 d Ω n ( r )
where ξ r 1 is the inverse of ξ r . Expressed in terms of the invariant density p z * ( z ) , d μ z * ( z ) = p z * ( z ) d z , if it exists, Equation (29) implies
p z * ( z ) = 1 α n S n p z * z β r α p r ( r ) d Ω n ( r )
The emergence of Gaussianity from TMoT occurs in two limit cases: (i) if α 1 , and (ii) if α 0 , but n . The first case corresponds to the limit for negligigle dissipation, so that the TMoT acts as the summation of independent random variables, and thus it approaches the additive route defined by CLT, see [59]. The second case is analyzed in full length in the next section.
It is interesting to stress further the connection of TMoT with IFS theory, and the emergence of fractal structures and measures. To this end, consider the simple but mathematically interesting case n = 1 , i.e., the one-dimensional spatial case, setting r = r as this is scalar quantity. Since | r | = 1 , it follows that r = ± 1 , and from the uniformity condition r = 0 , the density function p r ( r ) should take the atomic form
p r ( r ) = 1 2 δ ( r + 1 ) + 1 2 δ ( r 1 )
In this case, the TMoT reduces to a 2-map IFS over the real line, parametrized by α
z = α z + 1 α 2 Prob . 1 2 α z 1 α 2 Prob . 1 2
For α < 1 / 2 , this IFS is non-overlapping, and it gives rise to a limit set A * , support of the invariant measure μ z * , that is, a Cantor dust possessing Hausdorff dimension d H given by [14,47]
d H = log 2 log 1 α
At α = 1 / 2 , the IFS is just-touching, and A * corresponds to the interval [ 3 , 3 ] , equipped with a uniform invariant density. This is depicted in Figure 5 and Figure 6.
For α > 1 / 2 the IFS is overlapping, and an approximation for its limit density p z * ( z ) , using a discretization of the support into 10 4 equal boxes and considering 10 10 realizations of the process, is depicted in Figure 5b–d and Figure 6a,b. The transition towards Gaussianity, occurring in the limit for α 1 , resembles a phase transition, using α as the parameter, and any quantification of the fractality of the support and of the measure as the order parameter. Increasing α one passes from Cantor-dust supports to invariant measures defined on an interval and possessing multifractal character (albeit this property should be checked and mathematically proved), to smooth Lebesgue measures close to α = 1 , where the limit density is Gaussian. This transition is depicted in Figure 5 and Figure 6. Whether a critical value α c < 1 – associated with the multifractal/Lebesgue-absolutely continuous transition in the properties of the invariant measure – exists is an interesting question left open to further mathematical investigation.
In any case, the above analysis has shown that the theory of IFS is not only a beautiful mathematical invention, used in signal processing for data compression of images [14], as it finds an important physical counterpart in the study of photon–particle momentum exchange.

6. The High-Friction Limit and the Dimension of the Physical Space

The analysis of Brownian motion due to Einstein, and the measurement of the Avogadro number from the pure random thermal motion of a micrometric colloidal particle in a quiescent fluid has shown, beside its specific physical relevance, that it is possible to infer the macroscopic and emerging features of the physical reality from the analysis of fluctuational properties of simple physical systems.
In connection with the TMoT’s introduced in the preceding section, we discuss below a “Gedankenexperiment” for estimating the dimension of the physical space, as it corresponds to another route to Gaussianity. First of all, we have to agree on a suitable definition of the physical space. The geometric physical space (excluding the time coordinate) is the space in which inertial particles travel in the absence of interactions at constant speed. The classical probe for constant-velocity motion is given by a ray of light (photons, if viewed as particles) and therefore, a suitable definition for the physical space is the space in which photons travel.
Let us consider a photon gas at thermal equilibrium and its interaction with a probe molecule as discussed in Section 5. Let us assume that the temperature T is so low that the velocity of the molecule after any photon kick can be approximated with sufficient accuracy by Equation (23) with α = 0 , corresponding to the condition in which the momentum dynamics of the molecule has no memory of its past history, resetting its momentum, after any radiative kick, to that of the incoming photon. This physically corresponds to the low temperature limit, order of a microKelvin (cold-matter conditions). Consider the random vector r k + 1 in Equation (23), henceforth indicated with r , that is unformly distributed in S n . In two dimensions, S 2 is parametrized by an angle ϕ 1 [ 0 , 2 π ) possessing a uniform distribution p ( 2 ) ( ϕ 1 ) d ϕ 1 = d ϕ 1 / 2 π , and its entries are given by
r 1 = cos ϕ 1 r 2 = sin ϕ 1
For n = 3 , S 3 is parametrized by the angles ϕ 1 [ 0 , π ) , ϕ 2 [ 0 , 2 π ) , and the uniform distribution in S 3 is given by p ( 3 ) ( ϕ 1 , ϕ 2 ) d ϕ 1 d ϕ 2 = A 3 sin ϕ 1 d ϕ 1 d ϕ 2 , where A 3 is the reciprocal of the area of S 3 that equals 4 π , and
r 1 = cos ϕ 1 r 2 = sin ϕ 1 cos ϕ 2 r 3 = sin ϕ 1 sin ϕ 2
In n = 4 , three angles are needed, ϕ 1 and ϕ 2 ranging in [ 0 , π ) and the last one, ϕ 3 in [ 0 , 2 π ) . The uniform density in S 4 is p ( 4 ) ( ϕ 1 , ϕ 2 , ϕ 3 ) = A 4 sin 2 ϕ 1 sin ϕ 2 d ϕ 1 d ϕ 2 d ϕ 3 , where A 4 is the normalization constant, and a generic vector in S 4 can be expressed in terms of these angles as
r 1 = cos ϕ 1 r 2 = sin ϕ 1 cos ϕ 2 r 3 = sin ϕ 1 sin ϕ 2 cos ϕ 3 r 4 = sin ϕ 1 sin ϕ 2 sin ϕ 3
Inductively, in the n-dimensional case, n 1 angles are needed with ϕ 1 , , ϕ n 2 ranging in [ 0 , π ) , and the last one, ϕ n 1 in [ 0 , 2 π ) . The uniform density in S n is given by
p ( n ) ( ϕ 1 , , ϕ n 1 ) = A n sin n 2 ϕ 1 sin n 3 ϕ 2 sin ϕ n 2 d ϕ 1 d ϕ n 1
where A n is the normalization constant, and a generic unit vector belonging to S n can be represented as
r 1 = cos ϕ 1 r 2 = sin ϕ 1 cos ϕ 2 r n 1 = sin ϕ 1 sin ϕ 2 sin ϕ n 2 cos ϕ n 1 r n = sin ϕ 1 sin ϕ 2 sin ϕ n 2 sin ϕ n 1
In order to calculate p * ( v ) , any entry of r can be considered, owing to isotropy. It is therefore more convenient to choose the first one, i.e., v = v 1 = n r 1 . While the generation of r 1 as a random variable defined by the density Equation (36) is not trivial, the density p * ( v ) can be calculated enforcing a Monte Carlo approach, since its distribution function F * ( v ) is expressed by
F * ( v ) = { cos θ < v / n } sin n 2 θ d θ 0 π sin n 2 θ d θ
The Monte Carlo approach to F * ( v ) reads as follows: (i) consider an ensemble of independent random variables { θ i } i = 1 N p uniformly distributed in [ 0 , π ) , (ii) the distribution function F * ( v ) is the limit, for N p , of the sum
F * ( v ) = i = 1 N p sin n 2 θ i η v n cos θ i i = 1 N p sin n 2 θ i
where η ( ξ ) is the Heaviside step function, η = 1 for ξ > 0 , and η = 0 otherwise. Given F * ( v ) , the density p * ( v ) follows by differentiation, p * ( v ) = d F * ( v ) / d v . Figure 7 depicts the shape of p * ( v ) vs. v for dimensions ranging from n = 2 to n = 5 , obtained via the Monte Carlo algorithm described above, using N p = 10 7 . A qualitatively different shape is obtained as n varies, and this support the original observation, that the pure random motion associated with the recoil effect in quantum transition permits to have a direct indication of n (in the low temperature limit), just by measuring the statistics of a generic Cartesian entry of the particle velocity vector.
The interesting part of this analysis, as regards the emergence of Gaussianity, involves the behaviour of p * ( v ) for large n. This is depicted in Figure 8. As n , p * ( v ) approaches a normal distribution. The rigorous proof of this results is left to mathematicians.
This provides another intriguing definition of the normal distribution, as it corresponds to the distribution of any entries of a unit random vector, uniformly distributed in S n in the limit for n . Therefore, Gaussianity is “simply” the emergent statistical feature of uniform random fluctuations of normalized vectors in an infinite dimensional (countable) space.

7. Concluding Remarks

We have tried in this article to stress another view of Gaussianity, emerging from physical principles, and different from CLT, with the hope of furnishing hints and suggestions for new mathematical formulations and theories.
The main message is that there are several generic routes to Gaussian distributions emerging from the dynamics in ensembles of independent random variables, and these routes can be grouped in three major classes, as summarized in Table 1, namely: (i) Additive, (ii) Distributional, and (iii) Thermodynamic routes.
The additive route is just the summation procedure, formalized mathematically by CLT. The fundamental requisite for its occurrence is unbounded additivity coupled with the Lyapunov condition, as addressed in Section 3. The convergence to the normal distribution. is generic for arbitrary distributions of independent random variables. The other principal physical route to Gaussianity is a distributional dynamics within a stochastic ensemble, and it is described by the Conservative Mixing Transformations (CMT), the basic properties of which have been addressed in [8]. In the strongly unbiased case, the only condition to Gaussianity is the nature of the energy condition, and specifically its quadratic nature. Physically, this corresponds to the classical definition of the kinetic energy that is a quadratic function of the velocity norm (or of the momentum norm). Energy constraints different from the quadratic one, determine emergent properties deviating from the normal distribution.
It is important to stress, that the emergence of Gaussianity in CMT is “supergeneric” in the meaning that it is independent of the initial ensemble distribution, and independent of the nature of the random transformations ϕ and ψ [8]. This is also another important point left to a more scrupoulous mathematical investigation.
Finally, the last mechanism is represented by Thermodynamic Monadic Transformations (TMoT) of a random ensemble. Physically TMoT’s arises in the description of the interaction of a physical system with an external environment, represented by a photon bath. TMoT can be viewed as Iterated Function Systems in R n , possibly defined by an uncountable system of contractive transformations. The route to Gaussianity in TMoT is “thermodynamic”, in the meaning that the basic requirement is their dissipative nature, corresponding mathematically to the contractivity of the transformations.
The emergence of Gaussian distributions from TMoT is “less generic” than in the case of CLT and CMT, as it requires the interaction of a molecular system with equilibrium radiation, and it occurs in two limit cases: (a) for α 1 , i.e., when the dissipation tends to zero, and (b) for α = 0 , if the dimensions of the physical space are unbounded (technically n ). The first case is substantially a limit process approaching the additive route of CLT. The second one occurs in even more specific conditions, assuming isotropic properties of the TMoT transformations. What is intriguing in the last result, is that, conceptually, the analysis of fluctuations permits to derive general and fundamental qualitative properties of the physical reality.
In a mathematical perspective, there are several interesting suggestions emerging from this analysis, that are left to further formal investigation. Monadic and Mixing transformations are just the first two elementary interaction mechanisms with constraints (conservation laws), involving monadic and binary processes, that can be defined in random ensembles. This can be generalized to m-ary mixing transformations with m > 2 , and this could be a way, for m , to model interactions in the liquid state. Also more specific mathematical problems are left open, such as the occurrence of a phase-transition in linear TMoT’s as regards the Lebesgue absolute continuity of the resulting invariant measures. This is strictly related to the properties of overlapping IFS’s [63,64,65], the statistical (measure-theoretical) characterization of which is still to be fully developed.

Author Contributions

The authors have contributed to the ideation, formulation, simulation and writing on equal footing. All authors have read and agreed to the published version of the manuscript.

Funding

This research received no external funding.

Data Availability Statement

The data are available upon request to the corresponding author.

Conflicts of Interest

The authors declare no conflict of interest.

References

  1. Gnedenko, B.V.; Kolmogorov, A.N. Limit Distributions for Sums of Independent Random Variables; Addison-Wesley: Reading, MA, USA, 1954. [Google Scholar]
  2. Petrov, V.V. Sums of Independent Random Variables; Springer: New York, NY, USA, 1975. [Google Scholar]
  3. Lévy, P. Calcul dés Probabilités; Gautier-Villars: Paris, France, 1925. [Google Scholar]
  4. Zolotarev, V.M. One-Dimensional Stable Distributions; American Mathematical Society: Providence, RI, USA, 1986. [Google Scholar]
  5. Kac, M. Statistical Independence in Probability, Analysis & Number Theory; Dover Publications: Mineola, NY, USA, 2018. [Google Scholar]
  6. Green, M.S. Markoff Random processes and the Statistical Mechanics of Time-Dependent Phenomena. J. Chem. Phys. 1952, 20, 1281–1295. [Google Scholar] [CrossRef]
  7. Kirkwood, J.G. Selected Topics in Statistical Mechanics; Gordon and Breach: New York, NY, USA, 1967. [Google Scholar]
  8. Giona, M.; Pezzotti, C.; Procopio, G. Another normality is possible: Distributive transformations and emergent Gaussianity. arXiv 2023, arXiv:2301.03925. [Google Scholar]
  9. Krapivsky, P.L.; Redner, S.; Ben-Naim, E. A Kinetic View to Statistical Physics; Cambridge University Press: Cambridge, UK, 2010. [Google Scholar]
  10. Tegmark, M. Our Mathematical Universe; Penguin: London, UK, 2015. [Google Scholar]
  11. Fox, R.F. Gaussian Stochastic Processes in Physics. Phys. Rep. 1978, 48, 179–283. [Google Scholar] [CrossRef]
  12. Billingsley, P. Probability and Measure; John Wiley & Sons: New York, NY, USA, 1995. [Google Scholar]
  13. Hutchinson, J. Fractals and Self-similarity. Indiana Univ. J. Appl. Math. 1981, 30, 713–747. [Google Scholar] [CrossRef]
  14. Barnsley, M. Fractals Everywhere; Academic Press: Boston, MA, USA, 1988. [Google Scholar]
  15. Einstein, A. Investigations on the Theory of Brownian Movement; Dover Publications: Mineola, NY, USA, 1956. [Google Scholar]
  16. Venerus, D.C.; Öttinger, H.C. A Modern Course in Transport Phenomena; Cambridge University Press: Cambridge, UK, 2018. [Google Scholar]
  17. Kubo, R.; Toda, M.; Hashitsume, N. Statistical Physics II—Nonequilibrium Statistical Mechanics; Springer: Berlin/Heidelberg, Germany, 1991. [Google Scholar]
  18. Pauli, W. Theory of Relativity; Dover Publication: Mineola, NY, USA, 1981. [Google Scholar]
  19. Cattaneo, C. Sulla conduzione del calore. Atti Sem. Mat. Fis. Univ. Modena 1948, 3, 83–101. [Google Scholar]
  20. Kac, M. A stochastic model related to the telegrapher’s equation. Rocky Mt. J. Math. 1974, 4, 497–509. [Google Scholar] [CrossRef]
  21. Bena, I. Dichotomous Markov noise: Exact results for out-of-equilibrium systems. Int. J. Mod. Phys. B 2006, 20, 2825–2888. [Google Scholar] [CrossRef]
  22. Giona, M.; Brasiello, A.; Crescitelli, S. Stochastic foundations of undulatory transport phenomena: Generalized Poisson–Kac processes—Part I basic theory. J. Phys. A 2017, 50, 335002. [Google Scholar] [CrossRef]
  23. Giona, M.; Brasiello, A.; Crescitelli, S. Stochastic foundations of undulatory transport phenomena: Generalized Poisson–Kac processes—Part III extensions and applications to kinetic theory and transport. J. Phys. A 2017, 50, 335004. [Google Scholar] [CrossRef]
  24. Giona, M. Covariance and spinorial statistical description of simple relativistic stochastic kinematics. Fluct. Noise Lett. 2020, 19, 2050042. [Google Scholar] [CrossRef]
  25. Caceres, M.O. Computing a non-Maxwellian velocity distribution from first principles. Phys. Rev. E 2003, 67, 016102. [Google Scholar] [CrossRef]
  26. Giona, M.; Cairoli, A.; Klages, R. Extended Poisson-Kac theory: A unifying framework for stochastic processes with finite propagation velocity. Phys. Rev. X 2022, 12, 021004. [Google Scholar] [CrossRef]
  27. Kitahara, K.; Horsthemke, W.; Lefever, R. Coloured-noise-induced transitions: Exact results for external dichotomous Markovian noise. Phys. Lett. A 1979, 70, 377–380. [Google Scholar] [CrossRef]
  28. Horsthemke, W.; Lefever, R. Noise-Induced Transitions; Springer: Berlin, Germany, 2006. [Google Scholar]
  29. Giona, M.; Brasiello, A.; Crescitelli, S. Ergodicity-breaking bifurcations and tunneling in hyperbolic transport models. Europhys. Lett. 2015, 112, 30001. [Google Scholar] [CrossRef]
  30. Caceres, M.O. Finite-velocity diffusion in the presence of a force. J. Phys. A 2021, 54, 115002. [Google Scholar] [CrossRef]
  31. Livi, R.; Politi, P. Nonequilibrium Statistical Physics—A Modern Perspective; Cambridge University Press: Cambridge, UK, 2017. [Google Scholar]
  32. Gibbs, J.W. Elementary Principles in Statistical Mechanics; Dover Publication: Mineola, NY, USA, 2014. [Google Scholar]
  33. Ehrenfest, P.; Ehrenfest, T. The Conceptual Foundations of the Statistical Approach in Mechanics; Dover Publication: Mineola, NY, USA, 2014. [Google Scholar]
  34. Maxwell, J.C. Illustrations of the Dynamical Theory of Gases. Phil. Mag. 1860, 19, 19–32. [Google Scholar] [CrossRef]
  35. van Kampen, N.G. Stochastic Processes in Physics and Chemistry; North-Holland: Amsterdam, The Netherlands, 1981. [Google Scholar]
  36. Gardiner, C. Handbook of Stochastic Processes; Springer: Berlin, Germany, 1990. [Google Scholar]
  37. Ito, K. On stochastic processes. Jpn. J. Math 1942, 18, 261–301. [Google Scholar]
  38. Ito, K.; McKean, H.P., Jr. Diffusion Processes and Their Sample Paths; Springer: Berlin, Germany, 1996. [Google Scholar]
  39. Kloeden, P.E.; Platen, E. Numerical Solution of Stochatsic Differential Equations; Springer: Berlin, Germany, 1992. [Google Scholar]
  40. Bell, D.R. The Malliavin Calculus; Dover Publication: Mineola, NY, USA, 2006. [Google Scholar]
  41. Nualart, D. The Malliavin Calculus and Related Topics; Springer: Berlin, Germany, 2006. [Google Scholar]
  42. Jona-Lasinio, G. The Renormalization Group: A Probabilistie View. Nuovo C. B 1975, 26, 99–119. [Google Scholar] [CrossRef]
  43. Cassandro, M.; Jona-Lasinio, G. Critical point behavior and probability theory. Adv. Phys. 1978, 27, 913–941. [Google Scholar] [CrossRef]
  44. Jona-Lasinio, G. Renormalization group and probability theory. Phys. Rep. 2001, 352, 439–458. [Google Scholar] [CrossRef]
  45. Calvo, I.; Cuchi, J.C.; Esteve, J.G.; Falceto, F. Generalized central limit theorem and renormalization group. J. Stat. Phys. 2010, 141, 409–421. [Google Scholar] [CrossRef]
  46. Kline, A.G.; Palmer, S.E. Gaussian information bottleneck and the non-perturbative renormalization group. New J. Phys. 2022, 24, 033007. [Google Scholar] [CrossRef] [PubMed]
  47. Falconer, K. Fractal Geometry—Mathematical Foundations and Applications; John Wiley & Sons: New York, NY, USA, 1990. [Google Scholar]
  48. Sornette, D. Discrete-scale invariance and complex dimensions. Phys. Rep. 1998, 297, 239–270. [Google Scholar] [CrossRef]
  49. Giona, M.; Cairoli, A.; Klages, R. In the folds of the central limit theorem: Lévy walks, large deviations and higher-order anomalous diffusion. J. Phys. A 2022, 55, 475002. [Google Scholar] [CrossRef]
  50. Onsager, L.; Machlup, S. Fluctuations and Irreversible Processes. Phys. Rev. 1953, 91, 1505–1512. [Google Scholar] [CrossRef]
  51. Onsager, L.; Machlup, S. Fluctuations and Irreversible Processes. II. Systems with Kinetic Energy. Phys. Rev. 1953, 91, 1512–1515. [Google Scholar] [CrossRef]
  52. Klafter, J.; Blumen, A.; Shlesinger, M.F. Stochastic pathway to anomalous diffusion. Phys. Rev. A 1987, 35, 3081–3085. [Google Scholar] [CrossRef]
  53. Sokolov, I.M.; Klafter, J. From diffusion to anomalous diffusion: A century after Einstein’s Brownian motion. Chaos 2005, 15, 026103. [Google Scholar] [CrossRef]
  54. Kanazawa, K.; Sano, T.G.; Sagawa, T.; Hayakawa, H. Minimal model of stochastic athermal systems: Origin of non-Gaussian noise. Phys. Rev. Lett. 2015, 114, 090601. [Google Scholar] [CrossRef]
  55. Kanazawa, K. Statistical Mechanics for Athermal Fluctuation: Non-Gaussian Noise in Physics; Springer: Berlin, Germany, 2017. [Google Scholar]
  56. Dunkel, J.; Hänggi, P. Relativistic brownian motion. Phys. Rep. 2009, 471, 1–73. [Google Scholar] [CrossRef]
  57. Einstein, A. On the quantum theory of radiation. In Sources of Quantum Mechanics; Van der Waerden, B.L., Ed.; Dover Publication: Mineola, NY, USA, 1968; pp. 63–77. [Google Scholar]
  58. Oxenius, J. Kinetic Theory of Particles and Photons; Springer: Berlin, Germany, 1986. [Google Scholar]
  59. Pezzotti, C.; Giona, M. Particle-photon radiative interactions and thermalization. arXiv 2023, arXiv:2301.03903. [Google Scholar]
  60. Wachter, A.; Hoeber, H. Compendium of Theoretical Physics; Springer: New York, NY, USA, 2006. [Google Scholar]
  61. Phillips, W.D. Laser cooling and trapping of neutral atoms. Rev. Mod. Phys. 1998, 70, 721–741. [Google Scholar] [CrossRef]
  62. Ashkin, A. Optical trapping and manipulation of neutral particles using lasers. Proc. Natl. Acad. Sci. USA 1997, 94, 4853–4860. [Google Scholar] [CrossRef] [PubMed]
  63. Ngai, S.M.; Wang, Y. Hausdorff dimension of self-similar sets with overlaps. J. Lond. Math. Soc. 2001, 63, 655–672. [Google Scholar] [CrossRef]
  64. Barnsley, M.; Igudesman, K.B. Overlapping iterated function systems on a segment. Russ. Math. 2012, 56, 1–12. [Google Scholar] [CrossRef]
  65. Shimomura, K. The Hausdorff dimension of the region of multiplicity one of overlapping iterated function systems on the interval. Osaka J. Math. 2021, 58, 331–350. [Google Scholar]
Figure 1. Probability density function p ( z ; N ) for Z N associated with the independent random variables defined by Equation (12). Solid line (a) represents the normal pdf g ( z ) = e z 2 / 2 / 2 π , symbols correspond to the results of Monte Carlo simulations: (□) N = 100 , (∘) N = 1000 . Panel (a) refers to α = 1 / 2 , panel (b) to α = 1 , panel (c) to α = 2 .
Figure 1. Probability density function p ( z ; N ) for Z N associated with the independent random variables defined by Equation (12). Solid line (a) represents the normal pdf g ( z ) = e z 2 / 2 / 2 π , symbols correspond to the results of Monte Carlo simulations: (□) N = 100 , (∘) N = 1000 . Panel (a) refers to α = 1 / 2 , panel (b) to α = 1 , panel (c) to α = 2 .
Axioms 12 00278 g001
Figure 2. Kurtosis κ vs. m * = m / N associated with the ensemble distribution of the first entry z h , 1 of z h iterating a CMT ( n = 2 ) with the dichotomic random perturbation Equations (17) and (18), discussed in the main text. The arrow indicates decreasing values of p = 3 , 2 , 1 .
Figure 2. Kurtosis κ vs. m * = m / N associated with the ensemble distribution of the first entry z h , 1 of z h iterating a CMT ( n = 2 ) with the dichotomic random perturbation Equations (17) and (18), discussed in the main text. The arrow indicates decreasing values of p = 3 , 2 , 1 .
Axioms 12 00278 g002
Figure 3. Stationary density p * ( z ) vs. z, where z = z h , 2 is the second entry of the ensemble elements obtained from Monte Carlo simulations of the CMT at n = 2 with the dichotomic random perturbation (17) and (18). Symbols ((□) refer to p = 3 , (∘) to p = 2 , (•) to p = 1 ) represent the stochastic simulation results of the asymptotic CMT dynamics, solid line represents the normal distribution.
Figure 3. Stationary density p * ( z ) vs. z, where z = z h , 2 is the second entry of the ensemble elements obtained from Monte Carlo simulations of the CMT at n = 2 with the dichotomic random perturbation (17) and (18). Symbols ((□) refer to p = 3 , (∘) to p = 2 , (•) to p = 1 ) represent the stochastic simulation results of the asymptotic CMT dynamics, solid line represents the normal distribution.
Axioms 12 00278 g003
Figure 4. σ 12 ( m * ) vs. m * = m / N for a two-dimensional CMT, with uniformly distributed random perturbations, starting from highly correlated initial conditions Equation (20). Symbols are the results of stochastic simulations, the solid line represents the curve σ 12 ( m * ) = e m * .
Figure 4. σ 12 ( m * ) vs. m * = m / N for a two-dimensional CMT, with uniformly distributed random perturbations, starting from highly correlated initial conditions Equation (20). Symbols are the results of stochastic simulations, the solid line represents the curve σ 12 ( m * ) = e m * .
Axioms 12 00278 g004
Figure 5. p * ( z ) vs. z obtained from Monte Carlo simulations of the IFS Equation (31) at different values of α . Panel (a) refers to α = 0.3 , panel (b) to α = 0.6 , panel (c) to α = 0.7 , panel (d) to a zoom-in of the density at α = 0.7 , depicted in panel (c) close to z = 0 .
Figure 5. p * ( z ) vs. z obtained from Monte Carlo simulations of the IFS Equation (31) at different values of α . Panel (a) refers to α = 0.3 , panel (b) to α = 0.6 , panel (c) to α = 0.7 , panel (d) to a zoom-in of the density at α = 0.7 , depicted in panel (c) close to z = 0 .
Axioms 12 00278 g005
Figure 6. p * ( z ) vs. z obtained from Monte Carlo simulations of the IFS Equation (31) at different values of α . Panel (a): line (a) refers to α = 1 / 2 , line (b) to α = 0.8 , line (c) to α = 0.9 . Panel (b): symbols (∘) to α = 0.99 . The solid line represents the normal distribution.
Figure 6. p * ( z ) vs. z obtained from Monte Carlo simulations of the IFS Equation (31) at different values of α . Panel (a): line (a) refers to α = 1 / 2 , line (b) to α = 0.8 , line (c) to α = 0.9 . Panel (b): symbols (∘) to α = 0.99 . The solid line represents the normal distribution.
Axioms 12 00278 g006
Figure 7. p * ( v ) vs. v at different values of n obtained from Monte Carlo simulations. Panel (a): n = 2 , panel (b): n = 3 , panel (c): n = 4 , panel (d) n = 5 .
Figure 7. p * ( v ) vs. v at different values of n obtained from Monte Carlo simulations. Panel (a): n = 2 , panel (b): n = 3 , panel (c): n = 4 , panel (d) n = 5 .
Axioms 12 00278 g007
Figure 8. p * ( v ) vs. v obtained from Monte Carlo simulations for large n. The arrows indicate increasing values of n = 10 , 30 , 100 , 1000 . Symbols (•) represent the normal distribution (with zero mean and unit variance).
Figure 8. p * ( v ) vs. v obtained from Monte Carlo simulations for large n. The arrows indicate increasing values of n = 10 , 30 , 100 , 1000 . Symbols (•) represent the normal distribution (with zero mean and unit variance).
Axioms 12 00278 g008
Table 1. Reviews of the routes to Gaussianity, from physical principles.
Table 1. Reviews of the routes to Gaussianity, from physical principles.
RouteMechanismConditions
CLTAdditive Unbounded   additivity Lyapunov   condition
CMTDistributional Quadratic   nature   of the   energy   condition
TMoT Thermodynamic ( a ) α 1 , n = 1 , 2 , ( b ) α 0 , n
Disclaimer/Publisher’s Note: The statements, opinions and data contained in all publications are solely those of the individual author(s) and contributor(s) and not of MDPI and/or the editor(s). MDPI and/or the editor(s) disclaim responsibility for any injury to people or property resulting from any ideas, methods, instructions or products referred to in the content.

Share and Cite

MDPI and ACS Style

Giona, M.; Pezzotti, C.; Procopio, G. The Fourfold Way to Gaussianity: Physical Interactions, Distributional Models and Monadic Transformations. Axioms 2023, 12, 278. https://doi.org/10.3390/axioms12030278

AMA Style

Giona M, Pezzotti C, Procopio G. The Fourfold Way to Gaussianity: Physical Interactions, Distributional Models and Monadic Transformations. Axioms. 2023; 12(3):278. https://doi.org/10.3390/axioms12030278

Chicago/Turabian Style

Giona, Massimiliano, Chiara Pezzotti, and Giuseppe Procopio. 2023. "The Fourfold Way to Gaussianity: Physical Interactions, Distributional Models and Monadic Transformations" Axioms 12, no. 3: 278. https://doi.org/10.3390/axioms12030278

APA Style

Giona, M., Pezzotti, C., & Procopio, G. (2023). The Fourfold Way to Gaussianity: Physical Interactions, Distributional Models and Monadic Transformations. Axioms, 12(3), 278. https://doi.org/10.3390/axioms12030278

Note that from the first issue of 2016, this journal uses article numbers instead of page numbers. See further details here.

Article Metrics

Back to TopTop