Abstract
Both the suddenness and seriousness of COVID-19 have caused a variety of public opinions on social media, which becomes the focus of social attention. This paper aims to analyze the strategies regarding the prevention and guidance of public opinion spread under COVID-19 in social networks from the perspective of the emotional characteristics of user texts. Firstly, a model is established to mine text-based emotional tendency based on the Susceptible-Infectious-Susceptible (SIS) model. In addition, a mathematical and simulation analysis of the model is presented. Finally, an empirical study based on the data of microblog contents regarding COVID-19 public opinion in the Sina Weibo platform from January to March 2020 is conducted to analyze the factors that boost and hinder COVID-19 public opinion. The results show that when positive emotion is higher than 0.8, the spread of negative public opinion can be blocked. When the negative emotion and neutral emotion are both below 0.2, the spread of COVID-19 public opinion would be weakened. To accurately guide public opinion on COVID-19, the government authorities should establish a public opinion risk evaluation and an early warning mechanism. Platforms should strengthen public opinion supervision and users should improve their media literacy. The media organizations should insist on positive reporting, improve social cohesion, and guide the trend of public opinion.
MSC:
49K20; 93C10
1. Introduction
With the rapid development of social media technology, information dissemination is characterized by diversification, timeliness, and decentralization. Weibo is an important news platform for sharing information and discussing social news [1]. COVID-19 is a new human pathogen caused by a coronavirus of the respiratory syndrome, which was identified in Wuhan, Hubei province [2]. The World Health Organization (WHO) classified COVID-19 as a novel Coronavirus on 18 January 2020 [3]. It is a public health emergency with a huge impact on the world. The suddenness and seriousness of COVID-19 have caused a variety of public opinions on social media. For example, on 6 February 2020, the news of the death of Dr. Li Wenliang triggered an expression of public opinion, which lead to a sharp drop in positive emotions and to negative public opinion flooding the public opinion field. In the process of gradually recognizing COVID-19, various hot topics related to COVID-19 on Weibo remain high, and a variety of voices appear in the public opinion field. The particularities of the public health emergency have created a lot of negative public opinion (e.g., rumors, false news, and negative emotion). Therefore, it is an important and interesting topic to focus on how to prevent and guide COVID-19 public opinion.
In recent years, COVID-19 public opinion analysis and guidance have attracted growing attention. First, the existing literature focuses on content analysis [4,5,6,7,8,9,10,11,12,13], emotional analysis [14,15], and the combination of content and emotional analysis [16,17,18,19,20,21,22,23]. The neutral emotions are often ignored in emotional analysis. The combination of content analysis and emotion analysis (positive emotions, negative emotions, and neutral emotions) with dynamic data can make up for the limitation of research horizons. Second, most of the suggestions (e.g., information disclosure and platform supervision) are directed to government authorities, except for Tang and Cai [8] as well as Stieglitz and Dang-Xuan [16]. However, these suggestions ignore several factors (e.g., algorithmic technology, user literacy, and media ethics) that influence the current media environment. Third, the empirical method [5,6,10,14,16], Latent Dirichlet Allocation (LDA) model [4,15,19], SIS model [11,24,25], and Susceptible-Infective-Recovered (SIR) model [12] are popularly used to obtain guidance strategies for public opinion in the previous studies. The network analysis method is ignored. The method combining mathematical models, empirical study, and network analysis is insufficient in the existing literature. Thus, addressing these research gaps inspired us to study COVID-19 public opinion using an approach combining a mathematical model, textual sentiment, empirical study, and a network analysis method (The detailed information can be found in Table 1).
To address these research gaps, this study focuses on the spread of COVID-19 public opinion and its guidance strategy in social media. Based on the SIS model, a model is established to mine text-based emotional tendency, and then the mathematical and simulation analysis of the model is presented. Next, an empirical study is conducted to analyze the factors that boost and hinder COVID-19 public opinion. In addition, strategies and suggestions that can help the government improve the guidance of public opinion are proposed.
The contributions of this work include the following three points. (1) The optimized SIS model is used to establish a public opinion dissemination mechanism. The mechanism not only fully considers the actual situation of public opinion dissemination but also examines the influence of text-based sentiment on model simulation. (2) For COVID-19 public opinion, content analysis and network analyses are combined for an analysis from the perspective of text-based sentiment and network centrality. (3) Then, some interesting conclusions are drawn in this work. The simulation results show that a neutral emotion level is positively correlated with the number of negative information communicators. That is to say, neutral emotions are more likely to turn into negative emotions if they are not guided. Thus, neutral emotion is the focus of public opinion guidance. The results also show that the number of communicators will first reach the maximum value and then stabilize. In other words, negative emotions will not spread endlessly. Moreover, the mainstream media is the main body for spreading positive emotions. The guidance strategies are combined with algorithm supervision, sentiment analysis, and media professional ethics.
The rest of this study is organized as follows: Section 2 reviews the existing literature, which concerns three major directions of current research (e.g., COVID-19 public opinions emotional research, subjects research, and dissemination model research). In Section 3, the COVID-19 public opinion dissemination model is established and analyzed. In Section 4, an empirical study is implemented, which introduces the data sample, emotion analysis, and network analysis. Section 5 draws conclusions from the research, including COVID-19 public opinion guidance strategies and future directions.
2. Literature Review
In line with the title and structure of this paper, the related work is reviewed from the aspects of the emotional characteristics of COVID-19 public opinions, public opinion subjects research, and the public opinion dissemination model.
First, the emotional characteristics of COVID-19 public opinion are the main focus of this paper. According to Myburgh [26], netizens refer to people who use the Internet and participate in the establishment of networks. From the perspective of network information dissemination, netizens refer to the users who publish and disseminate information through a social network. In previous studies, Tu and Liu pointed out that positive emotions generally dominate, although public opinion shows a variety of emotions during COVID-19, and mainstream media should pay close attention to the harm of rumors and gossip [14]. Zhuang et al. discovered that Wuhan netizens were under greater emotional pressure, whereas netizens in the rest of the country were more positive and optimistic towards the assistance of the government and NGOs [15]. Stieglitz et al. confirmed that users’ emotions in the social environment are positively correlated with information dissemination [16]. Hung et al. identified five prevalent themes of COVID-19 discussion with sentiments ranging from positive to negative and found that positive emotions dominated during the pandemic [17]. Pan et al. found that positive emotions play a dominant role, and the emotional changes of netizens follow the development process of events using the self-built emotional classification model to analyze the microblog comments of People’s Daily [18]. Han et al. found that users are extremely sensitive to events related to the COVID-19 pandemic, and that government authorities should pay close attention to the emotional trends in the public opinion field [19]. Zhao et al. pointed out that the main emotions of users change from negative to neutral, and the positive emotions gradually increase [20].
Second, public opinion subjects research is another important stream in this paper. Zhang et al. found that the status and content of social media can promote the spread of public opinion, and the development of public opinion is closely related to the image of the government [4]. Li et al. found that the gradual transparency of information leads to different psychological characteristics of users, and the media fully plays the role of an information bridge [5]. Liu et al. indicated that government authorities should strengthen public opinion management, platforms should actively refute rumors, and users should improve their media literacy [6]. Yang and Su studied the impact of public voices on public opinion dissemination, and suggested that the government and policy makers incorporate public opinions into policy formulation [7]. Tang and Gai analyzed the public opinion emergency in the preprint and suggested that the platform should pay attention to three aspects: content review, subject awareness, and access threshold [8]. Ning et al. reviewed the characteristics of rumor spread in China during the epidemic and suggested that the government can strengthen their cooperation with experts and broaden the official channels for refuting rumors [9]. Alkhawaldeh analyzed the corpus of the policies announced by the Jordanian government and found that the categories of government information announcements were fixed and focused primarily on persuasion [10]. Chen et al. believed that the government should focus on personalized information dissemination, communication and interaction, and emotional guidance in the face of emergencies [21]. Xu et al. pointed out that opinion leaders have a strong ability to influence information dissemination, and community managers should encourage them to disseminate positive information [22]. Wang et al. found that the spread of rumors affects the emotional tendencies of netizens and suggested that governments should stop the spread of rumors in a timely manner [23].
Third, this study also contributes to the literature on public opinion dissemination model research. In recent years, the SIS and SIR models have been widely used in the field of public opinion dissemination. For instance, Wang and Cai provided an improved SIS model for public opinion dissemination in social networks, and found that social activity and network average are positively correlated with information dissemination [11]. Li et al. found that the relationship between netizens and the government affects the direction of development of public opinion sentiment based on the SIR model [12]. Li and Ma discovered that the government’s punishment measures and users’ sensitivity to rumors were negatively correlated with rumor diffusion through the SIS model [13]. Suo and Guo found that the old nodes propagate faster than the new nodes, and that the initial node only affects the initial stage of propagation, not the entire propagation stage [24]. Kandhway and Kuri introduced susceptible individuals based on the SIS model, which provides a new strategy for improving the effectiveness of policy publicity and product marketing [25]. Gong et al. found that the super network is more in line with the online information dissemination process, and that the dissemination rate and recovery rate affect the early and late stages of information dissemination [27].
Table 1.
The summary of recent studies.
Table 1.
The summary of recent studies.
| Literature | Year | Content Analysis or Emotional Analysis a | Emotional Types b | Static/Dynamic Data c | Stakeholders d | Model e |
|---|---|---|---|---|---|---|
| Reference [4] | 2021 | 1 | - | 1 | 1,2,3 | 3 |
| Reference [5] | 2020 | 1 | - | 2 | 1 | - |
| Reference [6] | 2022 | 1 | - | 2 | 1 | 4 |
| Reference [7] | 2020 | 1 | - | 1 | 1 | 4 |
| Reference [8] | 2021 | 1 | - | 1 | 2 | - |
| Reference [9] | 2022 | 1 | - | 2 | 1 | - |
| Reference [10] | 2021 | 1 | - | 1 | 1 | - |
| Reference [11] | 2015 | 1 | - | 2 | 1 | 1 |
| Reference [12] | 2020 | 1 | - | 2 | 1 | 2 |
| Reference [13] | 2017 | 1 | - | 2 | 1 | 1,2 |
| Reference [14] | 2020 | 2 | 1,2,3 | 1 | 1,2 | - |
| Reference [15] | 2021 | 2 | 1,2 | 2 | 1 | 3 |
| Reference [16] | 2013 | 1,2 | 1,2 | 1 | 3 | - |
| Reference [17] | 2020 | 1,2 | 1,2,3 | 1 | 1,3 | - |
| Reference [18] | 2021 | 1,2 | 1,2 | 2 | 1 | 4 |
| Reference [19] | 2020 | 1,2 | 1,2,3 | 2 | - | 3 |
| Reference [20] | 2020 | 1,2 | 1,2,3 | 2 | 1,2 | - |
| Reference [21] | 2020 | 1,2 | - | 1 | 1 | - |
| Reference [22] | 2021 | 1,2 | 1,2,3 | 2 | - | - |
| Reference [23] | 2021 | 1,2 | 1,2,3 | 2 | 1,3 | 4 |
| Reference [24] | 2017 | - | - | 2 | - | 1 |
| Reference [25] | 2014 | - | - | 2 | - | 1 |
| Reference [27] | 2021 | - | - | 2 | - | 1,4 |
| This paper | 2022 | 1,2 | 1,2,3 | 2 | 1,2,3 | 1 |
a Content analysis or emotional analysis includes: 1. content analysis; 2. emotional analysis. b Emotional types include: 1. positive; 2. negative; 3. neutral. c Static/dynamic data include: 1. static; 2. dynamic. d Stakeholders include: 1. government authorities; 2. platform; 3. users. e Public opinion dissemination model includes: 1. SIS model; 2. SIR model; 3. LDA model; 4. other mathematical model.
According to Table 1, although the aforementioned literatures discussed COVID-19 public opinion from different perspectives, there are still limitations that need to be addressed. The following conclusions can be summarized:
- (1)
- The majority of the extant literature on emotion analysis focuses on content analysis [4,5,6,7,8,9,10,11,12,13], emotional analysis [14,15], and the combination of content and emotional analysis [16,17,18,19,20,21,22,23]. In these literatures, neutral emotion analysis is often ignored. Positive, negative, and neutral emotion analysis is the focus of this paper compared with sources [15,16,18]. Meanwhile, dynamic data is analyzed by the combination of content analysis and emotional analysis in this work, which is different from Tu and Liu [14] and Hung et al. [17].
- (2)
- Government authorities are prevalent in the existing literature as targets for policy delivery except for Tang and Cai [8] and Stieglitz and Dang-Xuan [16]. The strategic direction ignores the combined role of the media platforms and users in guiding public opinion. At the same time, factors such as media technology and user literacy have not been considered. Media technology refers to communication technology, which is the technical means adopted by people for information dissemination, for example, the algorithm used in the Sina Weibo platform. Media literacy refers to a capacity for information selection, questioning, comprehension, evaluation, creation and production, and critical reaction abilities displayed by people in the face of media information. In this paper, suggestions for the government, media, and users are studied combining factors such as current media technology and user literacy.
- (3)
- An empirical approach [5,6,10,14,16], or quantitative research such as the LDA model [4,15,19], SIS model [11,24,25], and SIR model [12], are popularly used to investigate the emotional characteristics of COVID-19 public opinion dissemination in the existing literature. In the aforementioned studies, Wang and Cai [11], Suo and Guo [24], and Kandhway and Kuri [25] do not carry out an empirical analysis or case study. Moreover, the network analysis method used to study the COVID-19 public opinions is ignored. In this paper, we combine the optimized SIS model, an empirical study, and a network analysis method to study the emotional evolution characteristics of COVID-19 public opinion.
3. COVID-19 Public Opinion Dissemination Model
3.1. Model Assumptions and Parameter Setting
The Sina Weibo platform is the main gathering place for online public opinion in China. Users can not only comment on events or people, but also disseminate information with other users through strong and weak relationships. Different neighboring users can promote the secondary dissemination of public opinion through forwarding and comments, thus continuously expanding the participants of public opinion dissemination. Meanwhile, the dissemination of information is affected by the communicator’s group environment, social environment, or other factors [28]. In the process of dissemination, the presentation form and the content of public opinion information will be changed. In the era of “iterative journalism”, as information is continuously updated, new and old opinions are constantly generated. When the communicator is affected by social or psychological factors, they will transform into a non-communicator. Similarly, when individuals are influenced by a new public opinion, they are likely to become communicators again. In other words, users are not “immune” to the process of public opinion dissemination. However, the SI model has no self-healing and reinfection process. The SIS model is based on random graphs for which global characteristics can be estimated statistically and can obtain analytical solutions based on the global parameters compared with the SIR model [29]. Therefore, the mechanism of COVID-19 public opinion dissemination is basically consistent with the SIS model.
During the COVID-19 pandemic, the comments of users gradually formed public opinion. The text-based sentiment in the comments reflects the judgment and event expectation of users of the government sector, medical staff, and other staff. User emotion has an important impact on the process of public opinion dissemination. Thus, we establish a public opinion dissemination model regarding COVID-19 based on the SIS model and make the following assumptions for the model.
Assumption 1.
Since the text content from January to March is selected for analysis and the time range is short, the total number of users is N, which is constant. The scale of the users within the influence range of public opinion dissemination is basically unchanged. In the SIS model, when the event is in its initial state, the individual is the recipient of the information in a single channel due to the unclear disclosure of the information. The state of a non-communicator is S, who is not informed or unwilling to transmit. The state of a communicator is I. At time t, the number of non-communicators is S(t), and the number of communicators is I(t). The ratio of the number of non-communicators to the total number of users is s(t), and the ratio of the number of communicators to the total number of users is i(t).
Assumption 2.
The spread rate is β, which refers to the probability that each user spreads information at a certain speed to turn other users into communicators with respect to the spread of COVID-19 public opinion. Similarly, the recovery rate is γ, which means the communicator will no longer conduct further public opinion dissemination due to the influence of the social environment and personal psychological factors.
Assumption 3.
Text-based sentiment analysis is an analysis method to classify and identify discourse orientation in the subjective text [30]. Text-based emotion can be divided into positive emotion, negative emotion, and neutral emotion. Since negative emotions are the triggering factors for bad public opinion, negative emotions are the diffusion factors of public opinion in user texts. The “positive emotion” is p, which means that the content reflects positive emotions, such as “happy”, “excited”, “come on”, “safe”, “thank you”, “success”, etc. The text of positive emotion represents that users have a positive attitude towards the event and a willingness to promote the dissemination of positive information.
Assumption 4.
The “negative emotion” is x, which refers to the content that involves emotions such as “criticism”, “fear”, “loss”, ”sad”, ”heartbreak”, ”worry”, etc. When users have negative emotions towards people or things, their negative emotions are highly contagious and easily cause bad public opinion factors. Therefore, they are the main objects of public opinion control, and users with negative emotions would be the “communicator” of public opinion.
Assumption 5.
The “neutral emotion” is o, which means that the user’s text content emotion is not clear, such as “uncertain”, ”possible”, “wait”, “unknown”, etc. They are between communicators and non-communicators and show a “wait-and-see” attitude towards public opinion dissemination. According to Vosoughi et al. [31], people are more likely to spread negative emotional information. People classified under the neutral emotion category are more likely to be influenced by negative emotions. Thus, although “neutral emotion” does not have a clear tendency to spread, can be easily influenced by others’ opinions to become a “communicator” of negative public opinion. Hence, “neutral emotion” is also an important factor affecting the spread of COVID-19 public opinion.
3.2. Model Formulation
Among the three types of emotions, negative emotions and neutral emotions can become the promoting factors in the spread of COVID-19 public opinion. Positive emotions can become negative obstacles to the dissemination of public opinion. In the process of COVID-19 public opinion dissemination, the communicator and non-communicator can transform each other in a certain condition (as shown in Figure 1).
Figure 1.
User SIS Transition Diagram.
In Figure 1, the communicator I is transformed into a non-communicator under the action of the inhibitory factors γ*p. Similarly, the non-communicator S is affected by the promoting factor β*x*o and turns from a non-communicator into a communicator.
Due to the short time range, the total number N of users is constant. At time t, S(t) represents the number of non-communicators, and I(t) represents the number of communicators in the total number of users. Then, there is S(t) + I(t) = N. The ratio of the number of non-communicators and the number of communicators to the total number N in the public opinion is s(t) = S(t)/N and i(t) = I(t)/N, respectively. Thus, it can be obtained the following equation: s(t) + i(t) = 1.
Through the combination of the COVID-19 public opinion transmission mechanism and the SIS model, we establish the optimized SIS model for the spread of COVID-19 public opinion. It is expressed by the following equation:
where expresses the rate of change of infected person at time , and represents the daily number of new communicators. Similarly, represents the daily number of new non-communicators. represents the number of communicators in the initial stage of dissemination.
By simplification, Equation (2) is obtained as follows:
As a result, both communicators and non-communicators can convert to each other. In addition, communicators are the main driving force for the spread of public opinion on the COVID-19, so the problem will be studied and analyzed from the perspective of the communicators. According to Equation (2), it can be concluded that the communicator satisfies the following equation:
3.3. Model Analysis
Let , and then Equation (3) can be simplified as the following equation:
We solve Equation (4) to obtain the following equations:
Let , and then ; it can be obtained the following equation:
Integrating both sides of Equation (9) can obtain Equation (10):
where , solving Equation (10) to obtain the following equation:
From the further derivation of Equation (12), the related changing diagram of the function can be deduced (as shown in Figure 2).
Figure 2.
Motion trajectory of .
In Figure 2, the size of determines the trend of the function change of . The three situations are discussed as follows:
Situation 1.
When, the exponential function decrement with negative growth, it indicates that the trend of COVID-19 public opinion will gradually die out over the time.
Situation 2.
Whenand, the scale of public opinion and the number of communicators will gradually increase, but the number of communicators will gradually stabilize. Whenand, it means that the diffusion power of public opinion will be gradually weakened, and the number of communicators will gradually decrease with the increase of time but will become stable.
Situation 3.
In piecewise function, the steady statetends to. From the premise of, it can be concluded thatis the dividing line of the piecewise function of, which is divided into two parts: increasing and decreasing.
According to the analysis of the three situations, proposition 1 is obtained as follows.
Proposition1.
The COVID-19 public opinion dissemination activities are determined by. The smaller the value ofis, the fewer the number of communicators involved, and the more favorable the supervision and control.
Based on the analysis mentioned onwards, the different threshold will have different effects on the scale of communicators and public opinion diffusion activities. When , the driving factor will increase the communicators and expand the scale of the public opinion, but the hindering factor is the opposite of it. Therefore, the management and control of COVID-19 public opinion dissemination activities can be considered from the following proposition.
Proposition2.
In order to achieve a good state of prevention, the value ofshould be decreased, so that the value of spread rateshould be reduced and the value of recovery rateshould be increased, the value of “negative emotion”as well as “neutral emotion”should be reduced, and the value of“positive emotion”should be increased.
ProofofProposition2.
Since , , , , and are all greater than 0, and . Thus, , , , , . □
Therefore, at this point, the value of is positively correlated with , , and , and negatively correlated with and . Proposition 2 is thus proven.
Weibo is a social platform for information exchange based on user network nodes. Information dissemination has the characteristics of a circle and popularization. As the media technologies advance by leaps and bounds, new media are gradually empowering people. Today, users have more communication rights, and the task of public opinion supervision is more important than ever. From the perspective of the current media environment, it is inappropriate to raise the entry threshold to restrict users from disseminating information through social media. Thus, it is not practical to reduce the spread rate . At the same time, information that users are interested in is pushed by the Weibo’s algorithm to improve user stickiness. Meanwhile, information on the hot search list is ranked by a certain formula and can be influenced by people, which will easily affect the cognitive behavior of users. From this point of view, it is also difficult to improve the user’s recovery rate .
According to the above analysis, when β and γ cannot be changed, the inhibitory factors p and the promoting factor x*o should be controled to prevent the spread of COVID-19 public opinion. Therefore, measures should be taken from the emotional characteristics of users’ texts to prevent the spread of negative public opinion. In detail, signs of the accumulation of negative emotions should be promptly detected and an active intervention should be made to prevent the further spread of negative emotions; the positive guidance of neutral emotions should be improved; the number of users with neutral emotions should be prevented from tilting towards negative emotions; the number of positive reports should be increased.
3.4. Simulation Analysis
To further validate the proposed model, a simulation analysis was conducted. The simulation analysis was carried out in following two aspects: (i) the simulation analysis of the non-intervention state; (ii) the simulation analysis of the intervention state.
The non-interventional state refers to the actual state in which the government or the media has information lag and inaccurate information and does not respond to the fermentation and initial dissemination of public opinion. In the initial stage of the COVID-19, the source and the specific information of the virus were unclear. However, users urgently needed transparent information to deal with unknown aspects. When the public’s cognitive needs are not met, the public will deduce the “information” by themselves. The risky information will be replaced by conspiracy theories and rumors that the public infers from the limited information given by the government as a supplement. Under the powerful dissemination of Weibo, the information disseminated by individual users is gradually expanded into a group of a certain size. At this time, the group is divided into further communicators and non-communicators.
This paper refers to the data of China’s COVID-19 public opinion from 1 January to 31 March 2020 to set the interval range of each parameter. The total number of microblogs we obtained was 37,998, where the number of negative and neutral emotion microblogs is 803. Thus, the number of Weibo users and the initial number of negative information communicators both scaled down by 1/4 are set to 10,000 and 200, respectively. Meanwhile, according to Kandhway and Kuri [25], the spread rate β and the recovery rate γ is set to [0, 0.4], where β > γ. Since the threshold range of users’ text emotional feature factors is [0, 1], the levels of positive emotion, negative emotion, and neutral emotion are set to [0, 1]. In the non-interventional state, due to the strong diffusion ability and transmission intensity of COVID-19 public opinion, the threshold is larger than 1, so we set = 2.
The proposed SIS model and simulation analysis are embedded and coded by MATLAB (2016b). The detailed steps are shown in Table 2.
Table 2.
The detailed steps of the simulation analysis using MATLAB.
Figure 3 shows the influence of the spread rate and the recovery rate on the speed of public opinion spread in the non-interventional state. In Figure 3, we can see that the number of communicators continues to rise in the non-interventional state. This indicates that the proportion of non-communicators converted to communicators will increase, and the spread of public opinion will also increase. However, the trend will not grow endlessly, it will reach a saturation point in the number of spreaders over time, and then gradually flatten out to half the size of the total number of users. The time span for communicator growth to plateau is very short. It can be inferred that during the early stage of public opinion, the spread of public opinion is extremely fast, rising with an increasing exponential function, but it will gradually level off after reaching the maximum saturation point.
Figure 3.
COVID-19 public opinion spread in non-interventional state.
In Figure 4, due to the positive emotion p ∈ [0, 1], the positive emotion p is set to 0.2, 0.4, 0.6, and 0.8 according to the sequence of equal differences. Figure 4 shows the influence of different positive emotion thresholds on the speed of the public opinion spread. It can be inferred that the increase in the level of positive emotion will inhibit the spread of negative public opinion and reduce the number of negative information communicators. The greater the number of positive emotions, the less vigorous the spread of COVID-19 public opinion. This means that public opinion is gradually attenuated, and the scope of diffusion is gradually shrinking. Simultaneously, when the positive emotion level p is higher than 0.8, the number of negative information communicators is more moderate than other levels. This shows that the intensity of public opinion dissemination activities is weak, and the positive emotions is negatively correlated with the scale of public opinion dissemination.
Figure 4.
The spread of COVID-19 public opinion under positive emotional tendencies.
In Figure 5, the negative emotion x is set to 0.2, 0.4, 0.6, and 0.8 according to the sequence of equal differences. This trend shows the influence of different negative emotion thresholds on the speed of public opinion. In Figure 5, it can be inferred that the higher the negative emotion is, the higher the growth rate of the number of negative information communicators will be. However, no matter how large the level is, it will reach the upper limit, and thus it will enter a stable period. After that, it will turn into a stable period, which means that the spread of COVID-19 public opinion will reach a stable state in a short period of time. In Figure 5, when the negative emotion level is above 0.2, the number of negative information communicators is positively correlated with the level value. As the negative emotion x increases, the amount of negative information communicators along with the speed and intensity of public opinion diffusion will be increased. When the negative emotion level is below 0.2, the base of communicators will be small. This means that at this level, the activity of COVID-19 public opinion dissemination continues to weaken, and the movement of public opinion dissemination gradually stops over the time. Consequently, the supervision of negative emotions plays a crucial role in the prevention of public opinion. Through a variety of measures, the level of negative emotions and users’ information anxiety should be reduced. Only in this way can public opinion avoid being aggregated and evolved into a high-risk diffusion stage.
Figure 5.
The spread of COVID-19 public opinion under negative emotional tendencies.
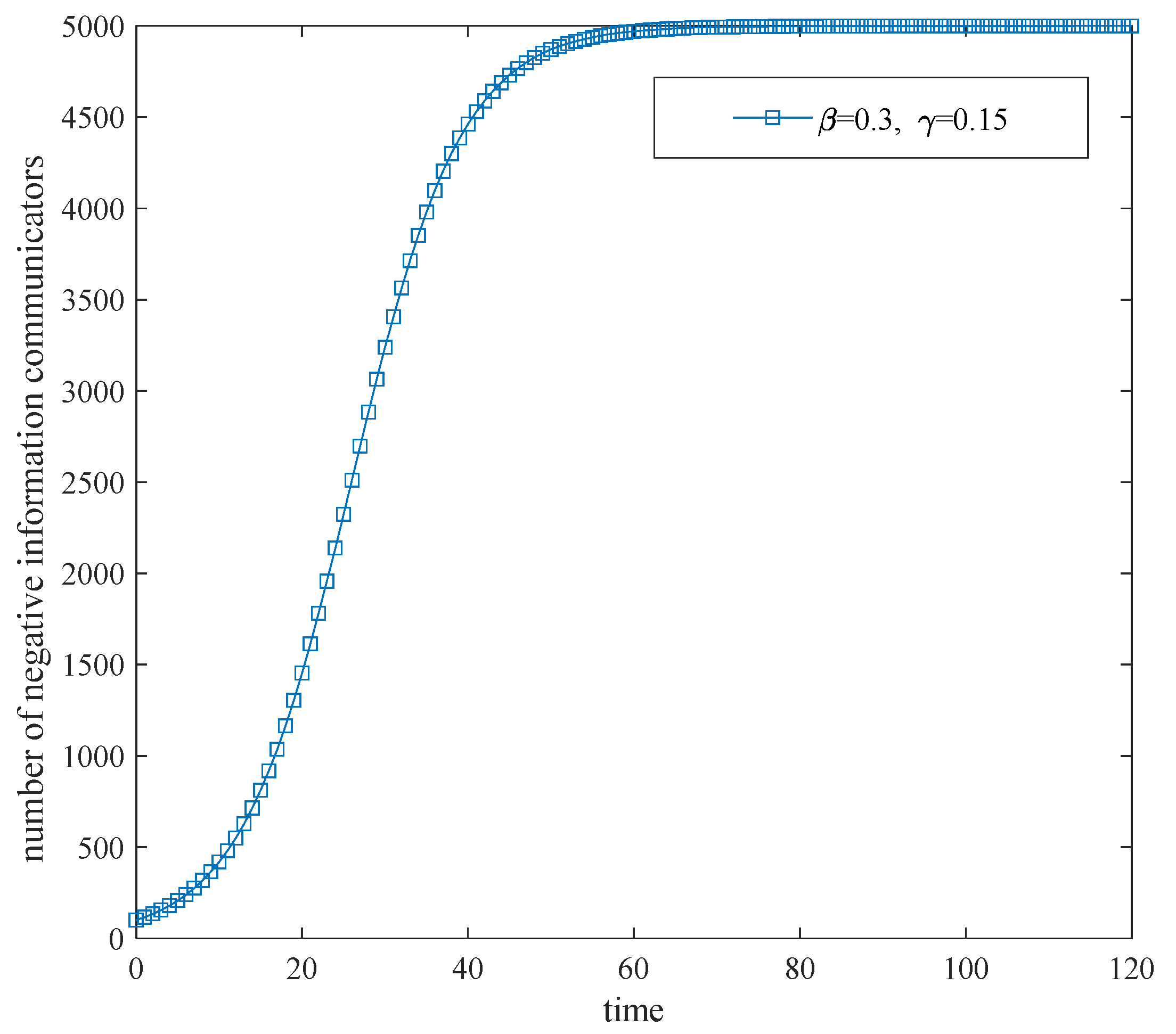
In Figure 6, the neutral emotion o is set to 0.2, 0.4, 0.6, and 0.8 according to the sequence of equal differences. The figure shows the influence of different neutral emotion thresholds on the speed of public opinion spread. Figure 6 indicates that the neutral emotion can possess a susceptibility tendency, and this is consistent with the mechanism of negative emotion. In detail, the higher the neutral emotion is, the higher the growth rate of the number of negative information communicators will be. When the neutral emotion level is above 0.4, the number of negative information communicators is positively correlated with the level value. As the neutral emotion o increases, the amount of negative information communicators along with the speed and intensity of public opinion diffusion will be increased. When the neutral emotion level is below 0.2, the base of communicators will be small, and gradually decreases to 0. According to the analysis of Figure 4 and Figure 6, it is evident that the thresholds for positive and neutral emotion are 0.8 and 0.2, respectively. That is to say, we should try our best to guide neutral emotions, and to change the negative emotions to positive emotions. When the ratio of positive emotions to neutral emotions is higher than 4:1, the spread of COVID-19 public opinion can be controled. Only in this way will users change from facilitators of bad public opinion to promoters of the inhibitory factor. Thus, the goal of reducing the threshold and the number of communicators can be achieved, thereby effectively preventing and controlling the spread of COVID-19 public opinion.
Figure 6.
The spread of COVID-19 public opinion in neutral emotion tendencies.
4. Empirical Study
4.1. Data Sample
To confirm the fit of the SIS model with public opinion during COVID-19, an empirical study was conducted. Since Sina Weibo is the most popular social network platform in China, and the COVID-19 public opinion first appeared on the Weibo platform, the data of microblog contents regarding COVID-19 public opinion on the Sina Weibo platform was chosen as the data sample of this study. In Figure 7, this paper uses a combination of Python crawling technology and manual leak detection to search for keywords on the Weibo platform. The massive amounts of data are crawled using computer crawling technology, and the data is filtered through manual leak detection. The time range of the crawled data is from 1 January to 31 March 2020. The data can fully reflect the periodicity of COVID-19 public opinion evolution, which includes the public opinion incubation period, the outbreak period, and the stable period. Therefore, this study can be supported by the data in the time dimension.
Figure 7.
The process of data collection of microblog contents on the Sina Weibo platform.
The subject words of the microblog content regarding COVID-19 are “novel coronavirus pneumonia”, “corona virus disease 2019”, “COVID-19 in Wuhan”, and “new crown”. These words contain four types of search terms related to the COVID-19 pandemic in Sina Weibo. By crawling through the data of the subject words, we obtained 44,542 data points. Through manually deleting invalid, repeated, and irrelevance texts in this data, we finally obtained 37,998 data points.
4.2. Emotion Analysis
By extracting emotions from the Weibo content, the emotion change was analyzed. In Figure 8, it is obvious that the spread of COVID-19 public opinion can be roughly divided into three periods: first, the public opinion incubation period is from 1 January to 17 January; second, the public opinion outbreak period is from 18 January to 16 February; third, the stable period of public opinion recession is from 17 February to 31 March. In the incubation period, because various media organizations and governments did not promptly intervene in the field of public opinion, the public opinion field belongs to the “state of free development”. Simultaneously, the public opinion field reached its maximum value twice on 23 January and 27 January, and then fell and tended to ease. The results of this emotion analysis are in line with the results of simulation analysis in the non-intervention state.
Figure 8.
The daily textual sentiment change chart on the Sina Weibo platform.
In the intervention state, the simulation analysis of the positive emotions shows that positive emotions are negatively correlated with the prevention of negative public opinion. From 19 January to 17 February, the number of infections and deaths began to rise, the public began to panic, and the government took measures one after another, such as Wuhan’s announcement of the closure of the city and the collection of supplies, etc. At this time, the number of positive daily reports began to gradually increase, and the media began to play a positive propaganda and active guiding role in the public opinion field, providing the public with health knowledge to appease the public’s panic. Simultaneously, the media played the role of an information bridge, connecting the government with the public, actively conveying the prevention and control information of government authorities, promoting the openness and transparency of information, and restraining the growth of negative public opinion at the beginning of the incident. The event development process is consistent with the simulation’s conclusion that indicates the increase of positive emotions can inhibit the further diffusion of negative public opinion.
In the negative emotion simulation analysis, negative emotions are positively correlated with the diffusion of negative public opinion. In the development of the course of events, negative reports rose rapidly on 6 February and reached a maximum of 63. From the actual situation, Dr. Li Wenliang, the “whistleblower”, went into cardiac arrest at around 21:30 that day and died at 2:58 a.m. the next day. This information quickly attracted the attention of the public. The social emotions were dominated by negativity. The content of Weibo was dominated by negative emotion-words such as commemoration, mourning, and sadness. At the same time, public opinion also pointed to the local police station that criticized Dr. Li Wenliang. The content of Weibo was full of words such as accountability as well as dismissal. The public opinion of the day reflected the public’s anger and grief. The dominance of negative public opinion has aroused great concern from the government. On 7 February 2020, the State Supervision Commission rapidly dispatched an investigation team to Wuhan to investigate the incident of Dr. Li Wenliang, which gradually cooled the overheated negative emotions. After the investigation, accountability, and vindication carried out by Dr. Li Wenliang, the negative emotions were subsided and returned to a stable state. The event development process is consistent with the simulation analysis conclusion.
4.3. Network Analysis
By analyzing the distribution and influence of the communication subjects, the influence of the subject’s emotion can be detected, so as to confirm the simulation analysis results in the intervention state. We analyzed the centrality of the top 100 propagation nodes in forwarding volume. Centrality is used to measure the dissemination ability of a dissemination node as a disseminator. The size of the centrality is closely related to the size of the information influence. Figure 9 shows that the number of nodes associated with the event is small but the node correlation is strong. That is to say, during the COVID-19 pandemic, there are few nodes that are central in the network structure and publish initial information in Weibo, but these nodes are highly interconnected. In addition, the number from official media is the largest among all communication nodes, occupying a dominant position in the dissemination of information. It is an important subject for disseminating information to other nodes, and generally reflects good public opinion control and information dissemination capabilities.
Figure 9.
Analysis of the centrality of communication subjects.
The centrality of the dissemination of public opinion subjects is analyzed in Table 3; the top five dissemination subjects of the dissemination nodes are “People’s Daily”, “State-owned Assets Xiaoxin”, “Changjiang Daily”, “Weibo Government Affairs”, and “Healthy China”. The centrality of the “People’s Daily” is 888.333, indicating that “People’s Daily” has the strongest ability to guide information dissemination. This means that most subjects need to use it to spread public opinion. The media affiliation “People’s Daily” thus belongs to the core subject of information dissemination. In addition, official media such as “State-owned Assets Xiaoxin”, “Changjiang Daily”, “Weibo Government Affairs”, and “Healthy China” also have a high status as communication centers. Furthermore, from an overall point of view, only “Boss Hookup” and “Pear Video” belong to self-media. This shows that the official media generally disseminated information quickly to prevent an information “vacuum” during the COVID-19 pandemic, promoting the openness and transparency of incident information. They lead the overall public opinion to be positive, so that the positive public opinion occupies the mainstream position in the public opinion field of the whole event.
Table 3.
Propagation node centrality analysis table.
5. Conclusions and Recommendations
Based on the SIS model, we proposed a public opinion dissemination model, and we also conducted a simulation analysis of non-interventional and interventional public opinion during the COVID-19. In the intervention state, emotions are divided into three types: positive emotions, negative emotions, and neutral emotions, according to the emotional tendencies of Weibo texts. Based on a simulation analysis, we collected relevant public opinion data through data crawling technology, sorted out the events, and drew up a sentiment chart of Weibo text to detect the fit of the model. Then, we analyzed the network centrality from the perspective of the main body of Weibo to infer the intrinsic link between the nature of the subject and the sentiment of the Weibo texts. Through the centrality analysis, it was found that mainstream media is the main voice for positive emotions, and they maintain the mainstream position for positive emotions and inhibit the continuous spread of negative public opinion. The above steps were analyzed by a model simulation, and then through an empirical analysis and comparison, which verified the feasibility of the simulation results.
The following conclusions can be drawn as follows: (1) Positive emotion is negatively correlated with the spread of negative public opinion, which can hinder the spread of negative public opinion. Negative and neutral emotions are positively correlated with the diffusion of the public opinion, which is a boosting factor for the negative public opinion. (2) The tendency of the negative and neutral emotions are the facilitating factor in the formation of negative public opinion. Neutral emotion is the boosting factor for the diffusion of public opinion. It can change the user’s stance toward positive emotions through intentional guidance. In the non-intervention state, negative public opinion will not spread endlessly, and it will gradually stabilize when it reaches its peak. (3) Information disclosure by government authorities can effectively prevent further expansion of negative public opinion. During the COVID-19 pandemic, the mainstream media oriented itself with positive propaganda, boosted the morale of the fight against the epidemic, and allowed positive emotions occupy the mainstream position.
According to the abovementioned conclusions, the public opinion guidance strategies are proposed as follows.
- (1)
- The government authorities should establish a public opinion risk evaluation and an early warning mechanism. In the face of COVID-19 public opinion, emotional value judgment should be made, and the questions and concerns of the hot search list should be actively addressed. It is necessary to actively guide negative public opinion, reduce its spreading speed, and prevent its outbreak. At the same time, the public opinion should be monitored, and the high-spreading nodes should be prevented to master the dominance of the public opinion prevention through a risk-based early warning mechanism. In addition, the government authorities should also pay attention to the rationality of public opinion research and judgment mechanisms. A one-size-fits-all approach to negative public opinion should be prevented. The relationship between public opinion supervision and citizens’ right to free speech should be balanced. The research and judgment mechanism should adopt the form of “algorithmic + artificial”. The normal emotional expression of the netizens and the criticism and suggestion of government measures should not be included. Such an approach is conducive to making decisions to reflect democracy, shaping the image of a democratic and service-oriented government and improving the cohesion of the “official and public” fight against COVID-19.
- (2)
- Platforms should strengthen public opinion supervision and users should improve their media literacy. Platforms can guide the public opinion by setting a hot search list through reasonable monitoring. Based on the characteristics of the Weibo platform, we should strengthen the monitoring of the COVID-19 public opinion on the Weibo platform and establish a microblog text-based sentiment analysis mechanism to forecast users’ emotional tendencies. The monitoring data should be fed back to government authorities in a timely manner to improve the response speed of government authorities. The government authorities can play a “cleaning” or “mitigating” role in the early stage of the negative public opinion by actively responding to the questions and concerns of the hot search list. In addition, the platforms should use algorithms reasonably to prevent the emergence of “algorithmic black boxes” and “algorithmic audiences” [32]. The platforms should focus on the public interest and shape it into a bridge that connects the government and the public. In addition, users should strengthen their media literacy. They should avoid getting caught up by the spread of the emotions of others and becoming boosters of the spreading of negative emotions. The ability to distinguish and criticize information should be improved, and rumors should not be easily believed or spread.
- (3)
- The media organizations should insist on positive reporting, improve social cohesion, and guide the trend of the public opinion. During the COVID-19 pandemic, mainstream media at all levels reported actively on the anti-epidemic spirit, medical workers, and other staff who adhered to the anti-epidemic posts. The mainstream media should gather the forces of all parties in the society to strengthen the appeal of positive publicity, and to guide the transformation of the negative public opinion. The content of information that is released by media organizations is authoritative, authentic, and spread widely. When negative public opinion prevails, media organizations should use their unique advantages to guide the influence of public opinion. Media organizations or government authorities should open channels to refute rumors and form a joint government–media guidance force from among the government, the media, and the public. For example, the Dongguan Internet Rumors Refusal Alliance was established by Nanfang Daily, Yangcheng Evening News, Dongguan Daily, Guangzhou Daily, Nanfang Metropolis Daily, and other mainstream newspapers, together with the Dongguan Internet Culture Association and related units. Regarding the news reports about COVID-19, the alliance gave timely and correct guidance concerning rumors and prevented public opinion from entering a stage of high-risk spread.
The limitations and future directions of this research are concluded as follows: Firstly, although it is found that user emotion will have an impact on the results of public opinion, the transformation process of different emotions (e.g., positive emotion, negative emotion, and neutral emotion) has not been deeply analyzed. The valuable direction for future research is suggested to explore the emotional transformation of COVID-19 public opinions. Secondly, in this paper, the simulation analysis and the empirical study were implemented without considering policy factors. It is recommended for future research to distinguish policies in the development process of events and consider policy factors along with the impact on the public opinion. Thirdly, this paper only analyzed a centrality of the network. Network analysis regarding the spread of COVID-19 public opinion should be expanded in the future research (e.g., the network structure between forwarding relationships, and the main evolution network structure).
Author Contributions
G.Y. designed the model. S.G. conducted the empirical study, and co-drafted the manuscript. H.G. supervised the research and provided constructive suggestions to improve the research. A.A.D. proposed the research problem, involved in approach design. All authors have read and agreed to the published version of the manuscript.
Funding
The research was supported by the Scientific Research of Nanfang College Guangzhou (2020XK02), the Guangdong-Hong Kong-Macao Greater Bay Area Vocational Education Development Research Project (GBAZYJY-ZD202001), and the “14th Five-Year Plan” of Guangdong Higher Education Association, the 2021 Higher Education Research Youth Project (21GQN56), and General Education Reform Project of Nanfang College Guangzhou (XJJG2119).
Data Availability Statement
The data used to support this research article are available from the first author upon request.
Acknowledgments
The authors thank the anonymous reviewers for their insightful comments and suggestions.
Conflicts of Interest
The authors declare no conflict of interest.
References
- Zhao, J.; Wu, W.; Zhang, X.; Qiang, Y.; Liu, T.; Wu, L. A short-term trend prediction model of topic over Sina Weibo dataset. J. Comb. Optim. 2014, 12, 613–625. [Google Scholar] [CrossRef]
- Zu, Z.; Jiang, M.; Xu, P.; Chen, W.; Ni, Q.; Lu, G. Coronavirus Disease 2019 (COVID-19): A Perspective from China. Radiology 2020, 296, 200490. [Google Scholar] [CrossRef] [PubMed] [Green Version]
- WHO. Director-General’s remarks at the 2019 Novel Coronavirus Media Briefing on 11 February 2020. Available online: https://www.who.int/zh/dg/speeches/detail/who-director-general-s-remarks-at-the-media-briefing-on-2019-ncov-on-11-february-2020 (accessed on 4 March 2022).
- Zhang, M.; Su, H.; Wen, J. Analysis and Mining of Internet Public Opinion Based on LDA Subject Classification. J. Web Eng. 2021, 20, 2457–2472. [Google Scholar] [CrossRef]
- Li, J.; Xu, Q.; Cuomo, R.; Purushothaman, V.; Mackey, T. Data Mining and Content Analysis of the Chinese Social Media Platform Weibo During the Early COVID-19 Outbreak: Retrospective Observational Infoveillance Study. JMIR Public Health Surveill. 2020, 6, e18700. [Google Scholar] [CrossRef] [PubMed] [Green Version]
- Liu, J.; Liu, L.; Tu, Y.; Li, S.; Li, Z. Multi-stage Internet public opinion risk grading analysis of public health emergencies: An empirical study on Microblog in COVID-19. Inform. Process Manag. 2022, 59, 102796. [Google Scholar] [CrossRef]
- Yang, Y.; Su, Y. Public Voice via Social Media: Role in Cooperative Governance during Public Health Emergency. Int. J. Environ. Res. Pub. Health 2020, 17, 6840. [Google Scholar] [CrossRef]
- Tang, G.; Cai, H. Public opinion governance dilemma faced by preprint platforms and corresponding countermeasures: Reflection on the COVID-19. Stud. Sci. Sci. 2021, 39, 587–593. [Google Scholar]
- Ning, P.; Cheng, P.; Li, J.; Zheng, M.; Schwebel, D.; Yang, Y.; Lu, P.; Mengdi, L.; Zhang, Z.; Hu, G. COVID-19-Related Rumor Content, Transmission, and Clarification Strategies in China: Descriptive Study. J. Med. Internet Res. 2022, 23, e27339. [Google Scholar] [CrossRef]
- Alkhawaldeh, A. Persuasive Strategies of Jordanian Government in Fighting COVID-19. GEMA Online J. Lang. Stud. 2021, 21, 247–293. [Google Scholar] [CrossRef]
- Wang, Y.; Cai, W. Epidemic Spreading Model Based on Social Active Degree in Social Networks. China Commun. 2015, 12, 101–108. [Google Scholar] [CrossRef]
- Li, S.; Liu, Z.; Li, Y. Temporal and spatial evolution of online public sentiment on emergencies. Inform. Process Manag. 2020, 57, 102177. [Google Scholar] [CrossRef] [PubMed]
- Li, D.; Ma, J. How the government’s punishment and individual’s sensitivity affect the rumor spreading in online social networks. Phys. A Stat. Mech. Its Appl. 2017, 469, 284–292. [Google Scholar] [CrossRef]
- Tu, B.; Liu, D. The Visualization Analysis of China Civil Public Opinions in the Early Period of COVICD-19 Epidemic: Based on Gooseeker Data Mining of Weibo. J. China Stud. 2020, 23, 71–84. [Google Scholar] [CrossRef]
- Zhuang, M.; Li, Y.; Tan, X.; Xing, L.; Lu, X. Analysis of public opinion evolution of COVID-19 based on LDA-ARMA hybrid model. Complex Intell. Syst. 2021, 7, 3165–3178. [Google Scholar] [CrossRef]
- Stieglitz, S.; Dang-Xuan, L. Emotions and Information Diffusion in Social Media-Sentiment of Microblogs and Sharing Behavior. J. Manag. Inform. Syst. 2013, 29, 217–247. [Google Scholar] [CrossRef]
- Hung, M.; Lauren, E.; Hon, E.; Birmingham, W.; Xu, J.; Su, S.; Hon, S.; Park, J.; Dang, P.; Lipsky, M. Social Network Analysis of COVID-19 Sentiments: Application of Artificial Intelligence. J. Med. Internet. Res. 2020, 22, e22590. [Google Scholar] [CrossRef]
- Pan, W.; Wang, R.; Dai, W.Q.; Huang, G.; Hu, C.; Pan, W.L.; Liao, S.J. China Public Psychology Analysis about COVID-19 under Considering Sina Weibo Data. Front. Psychol. 2021, 12, 713597. [Google Scholar] [CrossRef]
- Han, X.; Wang, J.; Zhang, M.; Wang, X. Using Social Media to Mine and Analyze Public Opinion Related to COVID-19 in China. Int. J. Environ. Res. Pub. Health 2020, 17, 2788. [Google Scholar] [CrossRef] [Green Version]
- Zhao, Y.; Cheng, S.; Yu, X.; Xu, H. Chinese Public’s Attention to the COVID-19 Epidemic on Social Media: Observational Descriptive Study. J. Med. Internet Res. 2020, 22, e18825. [Google Scholar] [CrossRef]
- Chen, Q.; Min, C.; Zhang, W.; Wang, G.; Ma, X.; Evans, R. Unpacking the black box: How to promote citizen engagement through government social media during the COVID-19 crisis. Comput. Hum. Behav. 2020, 110, 106380. [Google Scholar] [CrossRef]
- Xu, X.; Li, Z.; Wang, R.; Zhao, L. Analysis of the Evolution of User Emotion and Opinion Leaders’ Information Dissemination Behavior in the Knowledge Q&A Community during COVID-19. Int. J. Environ. Res. Pub. Health 2021, 18, 12252. [Google Scholar]
- Wang, P.; Shi, H.; Wu, X.; Jiao, L. Sentiment Analysis of Rumor Spread Amid COVID-19: Based on Weibo Text. Healthcare 2021, 9, 1275. [Google Scholar] [CrossRef] [PubMed]
- Suo, Q.; Guo, J. Spreading model and simulation analysis of Internet public opinion in hypernetworks. Appl. Res. Comput. 2017, 34, 2629–2632. [Google Scholar]
- Kandhway, K.; Kuri, J. Accelerating Information Diffusion in Social Networks under the Susceptible-Infected-Susceptible Epidemic Model. In Proceedings of the 2014 International Conference on Advances in Computing, Communications and Informatics (ICACCI), Delhi, India, 24–27 September 2014; pp. 1515–1519. [Google Scholar]
- Myburgh, S. Netizens: On the history and impact of Usenet and the Internet. J. Am. Soc. Inf. Sci. 1998, 49, 1037–1038. [Google Scholar] [CrossRef]
- Gong, Y.; Li, F.; Zhou, L.; Hu, F. Global Dissemination of Information Based on Online Social Hypernetwork. J. Univ. Electron. Sci. Technol. China 2021, 50, 437–445. [Google Scholar]
- Lewin, K. Available online: https://www.bl.uk/people/kurt-lewin (accessed on 5 February 2022).
- Mei, W.; Mohagheghi, S.; Zampieri, S.; Bullo, F. On the dynamics of deterministic epidemic propagation over networks. Annu. Rev. Control 2017, 44, 116–128. [Google Scholar] [CrossRef] [Green Version]
- Liu, B. Opinion Mining and Sentiment Analysis; Springer: Berlin/Heidelberg, Germany, 2011. [Google Scholar]
- Vosoughi, S.; Roy, D.; Aral, S. The spread of true and false news online. Science 2018, 359, 1146. [Google Scholar] [CrossRef]
- Riemer, K.; Peter, S. Algorithmic audiencing: Why we need to rethink free speech on social media. J. Inf. Technol. 2021, 36, 409–426. [Google Scholar] [CrossRef]
Publisher’s Note: MDPI stays neutral with regard to jurisdictional claims in published maps and institutional affiliations. |
© 2022 by the authors. Licensee MDPI, Basel, Switzerland. This article is an open access article distributed under the terms and conditions of the Creative Commons Attribution (CC BY) license (https://creativecommons.org/licenses/by/4.0/).








