Next Article in Journal
The Synchronization of a Class of Time-Delayed Chaotic Systems Using Sliding Mode Control Based on a Fractional-Order Nonlinear PID Sliding Surface and Its Application in Secure Communication
Next Article in Special Issue
Statistical Inference of the Beta Binomial Exponential 2 Distribution with Application to Environmental Data
Previous Article in Journal
Approximation Theory and Related Applications
Previous Article in Special Issue
Projection Uniformity of Asymmetric Fractional Factorials
 
 
Font Type:
Arial Georgia Verdana
Font Size:
Aa Aa Aa
Line Spacing:
Column Width:
Background:
Article

Discrete Single-Factor Extension of the Exponential Distribution: Features and Modeling

by
Mahmoud El-Morshedy
1,2,*,
Hend S. Shahen
2,
Bader Almohaimeed
3 and
Mohamed S. Eliwa
2,4,5
1
Department of Mathematics, College of Science and Humanities in Al-Kharj, Prince Sattam Bin Abdulaziz University, Al-Kharj 11942, Saudi Arabia
2
Department of Mathematics, Faculty of Science, Mansoura University, Mansoura 35516, Egypt
3
Department of Mathematics, College of Science, Qassim University, Buraydah 51482, Saudi Arabia
4
Department of Statistics and Operation Research, College of Science, Qassim University, Buraydah 51482, Saudi Arabia
5
Department of Mathematics, International Telematic University Uninettuno, I-00186 Rome, Italy
*
Author to whom correspondence should be addressed.
Axioms 2022, 11(12), 737; https://doi.org/10.3390/axioms11120737
Submission received: 2 November 2022 / Revised: 9 December 2022 / Accepted: 10 December 2022 / Published: 16 December 2022
(This article belongs to the Special Issue Computational Statistics & Data Analysis)

Abstract

The importance of counting data modeling and its applications to real-world phenomena has been highlighted in several research studies. The present study focuses on a one-parameter discrete distribution that can be derived via the survival discretization approach. The proposed model has explicit forms for its statistical properties. It can be applied to discuss asymmetric “right skewed” data with long “heavy” tails. Its failure rate function can be used to discuss the phenomena with a monotonically decreasing or unimodal failure rate shape. Further, it can be utilized as a probability tool to model and discuss over- and under-dispersed data. Various estimation techniques are reported and discussed in detail. A simulation study is performed to test the property of the estimator. Finally, three real data sets are analyzed to prove the notability of the introduced model.

1. Introduction

The modeling of count data in recent years has been very complicated due to the huge number of data sets generated from various fields over time, particularly in ecology, renewable energy, engineering, and medicine. The main problem occurs when the data suffer from excessive scattering with different types of dispersion forms. To solve this problem, statisticians have introduced flexible probability models that have different types of dispersions to model such data. The moment exponential (MEx) distribution is one of the most popular models for this purpose, especially in the case of an over- or under-dispersed shape for the hydrological processes. The random variable (RV) X is said to follow the MEx distribution if its survival function (SF) is given by
S x ; λ = λ x + 1 e λ x ;   x > 0 ,
where λ > 0 is a scale parameter. The MEx model is flexible enough to accommodate monotonic failure rates. On account of the resilience of the MEx model, many statisticians have sought to derive many extension “modifications” from this distribution with its applications in diverse fields. Examples include: Burr XII-MEx (see Bhatti et al. [1]), generalized exponentiated MEx (see Iqbal et al. [2]), Poisson MEx (see, Ahsan-ul-Haq [3]), Topp-Leone MEx (see Abbas et al. [4]), order statistics of exponentiated MEx (see Akhter et al. [5]), Weibull-MEx (see Hashmi et al. [6]), statistical inference of the lower record values based on exponentiated MEx (see Kumar et al. [7]), slashed MEx (see Iriarte et al. [8]), and others.
In many cases, the data need to be recorded or listed on a discrete scale rather than on a continuous analog scale. Due to this reason, the discretization of continuous probability models has received much attention as the census data produced from various regions become more complex by the day. Therefore, to model these counting data, discrete probability models are required for analytical studies of these multidimensional “complex” phenomena. Discretization of a continuous probability model can be derived via different techniques. The most widely utilized approach is the survival discretization method in which the probability mass function (PMF) of the RV X can be formulated as
Pr X = x = S x S x + 1 ;   x = 0 , 1 , 2 , 3 , .
Based on Equation (2), several discrete models have been reported and discussed, i.e., the discrete analog of the Weibull-G class (see Ibrahim et al. [9]), the discrete exponential generalized-G family (see Eliwa et al. [10]), the discrete generalized Burr–Hatke (see Yousof et al. [11]), the discrete Bilal (see Altun [12]), the discrete generalized Lindley (see El-Morshedy [13]), the discrete alpha power inverse Lomax (see Almetwally [14]), the discrete Perks (see Tyagi et al. [15]), the discrete Lindley (see Bakouch et al. [16]), and others.
Although the statistical literature contains a lot of discrete models, more and more discrete probability distributions are needed to discuss complex phenomena with sparse observations. In this paper, we propose the discrete analog of Equation (1). In this paper, the discrete version of the MEx model is derived from the abbreviated version called DMEx. The great advantage of the DMEx model is that it stands with one parameter that has been listed to give a better alternative to some discrete distributions and reports another tribune for statisticians working in the field of data analysis. Other interesting features of the DMEx distribution can be reported as follows: Its distributive properties can be formulated in explicit forms. It can be applied to discuss asymmetric “positively skewed” count data. It can be utilized to discuss the dispersion of “over- and under-shaped” count data, and it can be used to analyze count data that have a monotonic unimodal or increased hazard rate shape.

2. The Structure of the DMEx Model

Using Equations (1) and (2), the SF of the DMEx distribution can be expressed as
S x = x + 1 ln β + 1 β x + 1 ;   x N 0 ,
where 0 < β = e λ < 1 and N 0 = 0 , 1 , 2 , 3 , . The corresponding CDF and PMF to Equation (3) can be proposed as
F ( x ; β ) = 1 x + 1 ln β + 1 β x + 1 ;   x N 0 ,
and
Pr X = x ; β = x ln β + β ( x + 1 ) ln β β + 1 β x ;   x N 0 ,
respectively, where β controls the shape of the distribution. Figure 1 shows the PMF plots for various values of the parameter β .
As can be seen, the PMF is unimodally shaped, and it can be applied to discuss the positively skewed count data. The HRF can be proposed as
h x ; β = x ln β + β ( x + 1 ) ln β β + 1 x ln β + 1 ;   x N 0 .
The reversed hazard rate function (RHRF) is given by
r x ; β = β x x ln β + β ( x + 1 ) ln β β + 1 1 x + 1 ln β + 1 β x + 1 ;   x N 0 .
Figure 2 shows the HRF and RHRF plots for different values of the distribution parameter β .
Both the HRF and its reversed function can be used effectively to model decreasing or unimodal failure modes.

2.1. Moments of a Statistical Distribution

Assume X is a DMEx RV, the probability generating function (PGF), say Π X s , can be derived in a closed form as
Π X s = x = 0 s x Pr X = x ; β = x = 0 x ln β + β ( x + 1 ) ln β β + 1 ( s β ) x = β 1 + s ln β + 1 + β β s 1 β s 1 2 ,
where the power series converges at least for all complex numbers s with | s | 1 . Equation (8) can be derived utilizing the Maple software program. Thus, the first four moments of the DMEx distribution can be expressed as
E X = β β 1 + ln β 1 + β 2 ,
E X 2 = β 3 β + 1 ln β + β 2 1 1 + β 3 ,
E X 3 = β 7 β 2 + 10 β + 1 ln β + β 3 + 3 β 2 3 β 1 1 + β 4 ,
and
E X 4 = β 15 β 3 + 55 β 2 + 25 β + 1 ln β + β 4 + 10 β 3 10 β 1 1 + β 5 .
Using Equations (9)–(12), the V a r ( X ) , S k ( X ) , and K u ( X ) can be derived in closed forms where
V a r ( X ) = E ( X 2 ) E ( X ) 2 ,
S k ( X ) = E ( X 3 ) 3 E ( X 2 ) E ( X ) + 2 E ( X ) 3 V a r ( X ) 3 / 2 ,
and
K u ( X ) = E ( X 4 ) 4 E ( X ) E ( X 3 ) + 6 E ( X 2 ) E ( X ) 2 3 E ( X ) 4 V a r ( X ) 2 .
The moment generating function (MGF) can be expressed as
Π X * s = x = 0 e x s Pr X = x ; β = x = 0 x ln β + β ( x + 1 ) ln β β + 1 ( e s β ) x = β 1 + e s ln β + 1 + β β e s 1 β e s 1 2 .
Table 1 lists some computational statistics (CS) of the DMEx model based on various values of the parameter β . All results given in Table 1 are reported in Figure 3.
As can be seen, both the E ( X ) and V a r ( X ) of the DMEx distribution increase when β grows to one. Further, the DMEx model is capable of modeling positively skewed count data under a leptokurtic shape.

2.2. Dispersion and Variation Measures

The index of dispersion, say D ( X ) , is related to the coefficient of variation, say C ( X ) . The D ( X ) is also referred to as the coefficient of dispersion, which can be utilized to decide the possible over “ D ( X ) > 1 ” or under “ D ( X ) < 1 ” dispersion in the used data set. The C ( X ) measure is generally applied for comparison with independent samples based on their variability. A higher C ( X ) value indicates a higher variability. Let X be a DMEx RV. Then, the D ( X ) and C ( X ) can be formulated as
D ( X ) = 3 β + 1 ln ( β ) β 2 + 1 ( 1 + β ) ln β + β 1 ] β ln β + β 1 1 + β 2 ,
and
C ( X ) = 3 β + 1 ln ( β ) + β 2 1 ( 1 + β ) β ln β + β 1 2 1 ,
respectively, where D ( X ) = V a r ( X ) | E ( X ) | and C ( X ) = 1 | E ( X ) | V a r ( X ) . Table 2 shows some numerical calculations for D ( X ) and C ( X ) of the DMEx model based on the different values of the parameter β . All results given in Table 2 are reported in Figure 4.
As can be seen, for β 1 , the D ( X ) of the DMEx distribution increases whereas the C ( X ) decreases. Moreover, the DMEx model is appropriate for modeling over- and under-dispersed count data.

2.3. L-Moment Statistics

Suppose that n random variables X 1 , X 2 , , X n are ordered in non-decreasing magnitude and written as X 1 : n X 2 : n X n : n . In the definition of order statistics (OS), there is no restriction on whether X i s are independent or identically distributed (IID); however, many well-known results about OS are under the classical assumption that X i s are IID. Let the RV X have the DMEx distribution. Then, the CDF of the ith OS can be expressed as
F i : n x ; β = k = i n n k F i x ; β k 1 F i x ; β n k = k = i n j = 0 n k Φ m ( n , k ) F i x ; β k + j ,
where Φ m ( n , k ) = 1 j n k n k j . Furthermore, the corresponding PMF of the ith OS can be proposed as
f i : n x ; β = F i : n x ; β F i : n x 1 ; β = k = i n j = 0 n k Φ m ( n , k ) f i x ; β k + j .
Thus, the rth moments of X i : n , say E X i : n r , can be expressed as
E X i : n r = x = 0 k = i n j = 0 n k Ψ m ( n , k ) x r f i x ; β k + j .
The L-moments (L-M), say ϑ τ , are summary statistics for probability models. They are analogous to ordinary moments but are computed from linear functions of the ordered data values. The L-M of the RV X can be proposed as
ϑ τ = 1 τ i 0 τ 1 1 i τ 1 i E X τ i : τ .
Using Equation (19), some statistical measures based on the L-M statistics can be computed, such as E ( X ) = ϑ 1 , C ( X ) = ϑ 2 ϑ 1 , S k ( X ) = ϑ 3 ϑ 2 , and K u ( X ) = ϑ 4 ϑ 2 .

3. Different Estimation Techniques

3.1. Maximum Likelihood Estimation (MLE)

In this subsection, estimation of the DMEx parameter is discussed using the method of maximum likelihood based on a complete sample. Let X 1 , X 2 , , X n be a random sample (RS) from a DMEx distribution. Then, the log-likelihood, say L, a function of the DMEx may be expressed as
L = ln β i = 1 n x i + i = 1 n ln x i ln β + β x i + 1 ln β β + 1 .
Differentiating Equation (20) with respect to the parameter β and setting the result equal to 0, we obtain
L β = 1 β i = 1 n x i + i = 1 n x i β + x i + 1 ln β + 1 1 x i ln β + β x i + 1 ln β β + 1 .
Since Equation (21) cannot be derived in the closed form as a function of only the data “ x i ; i = 1 , 2 , 3 , , n ”, a numerical iterative procedure is required to solve it numerically “Newton-Raphson as an example”.

3.2. Moment Estimation (ME)

Using the moment approach to estimate β , we must first equate the population moment to the corresponding sample moment and then solve the non-linear equation
1 n i = 1 n x i = β ln β + β 1 1 + β 2 ,
with respect to β .

3.3. Proportion Estimation (PE)

Let X 1 , X 2 , …, X n be an RS from the DMEx distribution. Since we have one unknown parameter, one indicator function is defined as follows
T x i = 1 ;       if x i = 0 0 ;         if x i 0 .
Assume Z = i = 1 n T x i denotes the number of zeroes in the sample. Using Equations (4) and (23), we obtain P X 0 = Z n . Hence, we obtain the estimation of the parameter β by solving the following equation
β ^ ln β ^ β ^ + 1 Z n = 0 .
Since Z n is an unbiased and consistent empirical estimator of probability P X 0 , the β ^ is also an unbiased and consistent estimator of β .

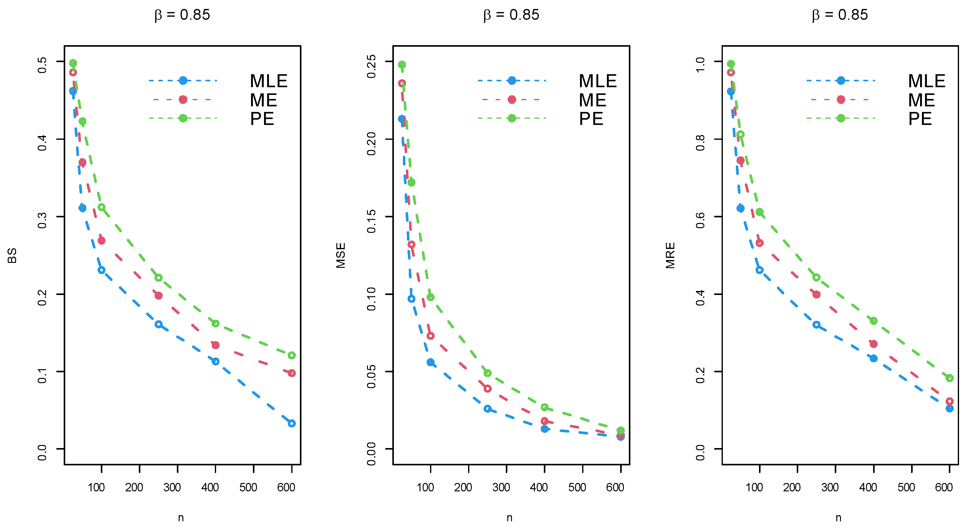
4. Comparing Different Estimators (CDEs): A Simulation Study

In this segment, we assess the performance of the MLE, ME, and PE with respect to the sample size n utilizing R software. For CDEs, MCMC simulations are performed according to different schemes. The assessment is according to a simulation study:
1.
Generate N = 10,000 samples of various sizes “ n i ; i = 1 , 2 , 3 , 4 ” from the DMEx model as follows
  • Scheme I: β = 0.15 | n 1 = 25 ,   n 2 = 50 ,   n 3 = 100 ,   n 4 = 250 ,   n 5 = 400 ,   n 6 = 600 .
  • Scheme II: β = 0.35 | n 1 = 25 ,   n 2 = 50 ,   n 3 = 100 ,   n 4 = 250 ,   n 5 = 400 ,   n 6 = 600 .
  • Scheme III: β = 0.85 | n 1 = 25 ,   n 2 = 50 ,   n 3 = 100 ,   n 4 = 250 ,   n 5 = 400 ,   n 6 = 600 .
2.
Compute the MLE, ME, and PE for the 10,000 samples, say β ^ k for k = 1 , 2 , , 10,000.
3.
Calculate the bias “BS”, mean squared errors (MSE), and mean relative errors (MRE) for N = 10,000 samples as
BS ( β ) = 1 N k = 1 N β k ^ β k ,     MSE ( β ) = 1 N k = 1 N ( β k ^ β k ) 2 ,   MRE ( β ) = 1 N k = 1 N β k ^ β k β k   .
4.
The empirical results of the simulations are reported in Table 3, Table 4 and Table 5 and provided via Figure 5, Figure 6 and Figure 7.
As can be seen, the BS of the parameter β approaches 0 when the sample size n grows. Similarly, both the MSE and MRE of the DMEx parameter approach 0 when the sample size n increases. These results reveal the consistency property of the derived estimators. Thus, we can conclude that all estimation methods work quite well under various sizes of samples.

5. Data Modeling: Competitive Models and Statistical Criteria

In this segment, the importance of the DMEx distribution is discussed utilizing data sets from various areas. We shall compare the fits of the DMEx model with diverse competitive distributions, such as the Poisson (Poi), the discrete Pareto (DPa), the discrete Burr-XII (DBXII), the discrete Rayleigh (DR), the discrete Burr–Hatke (DBH), and the discrete inverse Rayleigh (DIR) models. The tested distributions are compared to some criteria, such as L , the Hannan–Quinn information criterion (HQIC), the Akaike information criterion (AIC), the Bayesian information criterion (BIC), the corrected AIC (CAIC), and the Kolmogorov–Smirnov (KS) test with its p-value.

5.1. Data Set I: Electronic Components

The first set of data represents the failure times for a sample of 15 electronic components (EC) in an accelerated life test (see, Johnston [17]). The observed descriptive statistics (ODS) include: mean = 27.533, variance = 631.980, skewness = 1.534, and kurtosis = 6.924. Non-parametric plots for the EC data are sketched in Figure 8.
The MLE with their SE, the CI for the parameter(s), and the goodness of fit (GOF) test for these data are reported in Table 6 and Table 7.
As can be noted, based on a significance level of 0.05 , both the DMEx and DR models work quite well for modeling the EC data, but the DMEx distribution is the best. Figure 9 and Figure 10 show the empirical CDFs as well as the probability-probability (P-P) plots, or “parametric plots”, for the EC data, which prove the empirical results mentioned in Table 7.
Table 8 lists various estimators for the EC data, and it is noted that the MLE and ME techniques work quite well for modeling these data.
Table 9 reports some numerical accounts of the empirical descriptive statistics (EDS).
Both theoretical and empirical “MLE and ME” scales are approximately equal. Thus, the ME approach works quite well beside the MLE method for estimating the unknown parameter. The performance of the PE approach is inferior compared to other techniques for some measures. The EC data are suffering from over-dispersed phenomena. Moreover, the EC data are skewed to the right and leptokurtic.

5.2. Data Set II: Leukemia Remission

These data involve leukemia remission (LR) times (in weeks) for 20 patients (see Damien and Walker [18]) according to the discretization concept. For these data, the ODS equals 19.55 , 216.05 , 0.637 , and 0.739 . Non-parametric plots for the LR data are displayed in Figure 11.
The MLE with their SE, the CI for the parameter(s), and the GOF test for the LR data are listed in Table 10 and Table 11.
Based on a significance level of 0.05 , both the DMEx and DR distributions work quite well for analyzing the LR data, but the DMEx model is the best. Figure 12 and Figure 13 show the empirical CDFs as well as the P-P plots for the LR data, which prove the empirical results reported in Table 11.
Table 12 reports different estimators for the LR data, and it is noted that the MLE and ME methods work quite well for modeling these data.
Table 13 lists some numerical accounts of the EDS for the LR data.
The ME approach works quite well beside the MLE technique for estimating the unknown parameter. The LR data are suffering from over-dispersed phenomena. Further, the LR data are skewed to the right and leptokurtic.

5.3. Data Set III: Coronavirus in Punjab

The third set of data represents the number of deaths due to coronavirus in Punjab (COV-P) during the period from 24 March 2020 to 30 April 2020. The data are as follows: 1, 2, 3, 5, 5, 6, 9, 9, 11, 11, 11, 12, 15, 15, 16, 17, 18, 19, 21, 23, 24, 28, 34, 36, 37, 41, 42, 45, 51, 58, 65, 73, 81, 83, 91, 100, 103, 106. Non-parametric plots for the COV-P data are listed in Figure 14.
The MLE with their SE, the CI for the parameter(s), and the GOF test for the COV-P data are proposed in Table 14 and Table 15.
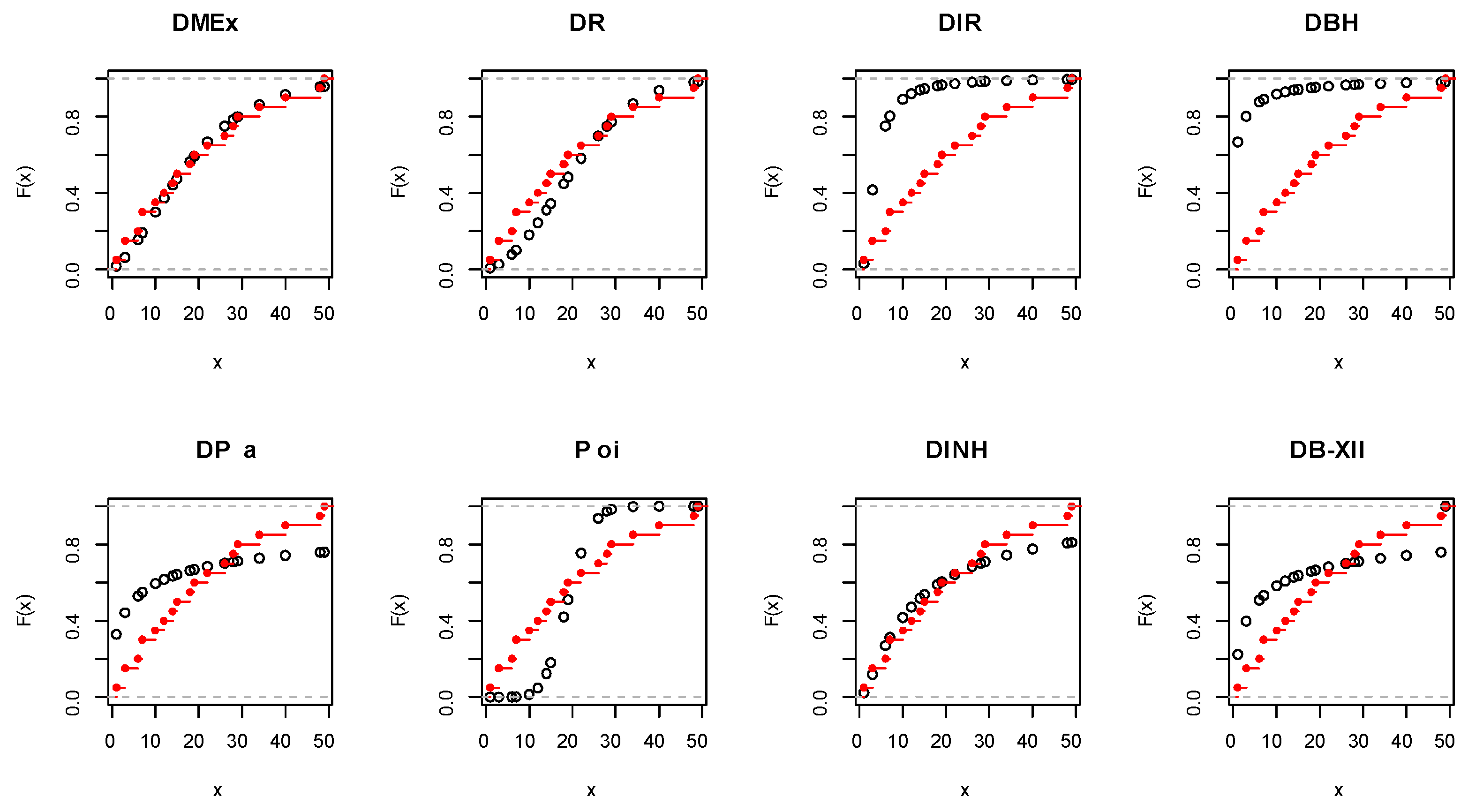
Based on a significance level of 0.05 , the DMEx distribution is the best among all tested models. Figure 15 and Figure 16 show the empirical CDFs as well as the P-P plots for the COV-P data, which prove the empirical results listed in Table 15.
Table 16 reports various estimators for the COV-P data, and it is noted that the MLE and ME techniques work quite well for discussing these data.
Table 17 introduces some numerical accounts of the EDS for the COV-P data.
The ME approach works quite well beside the MLE technique for estimating the unknown parameter. The COV-P data are suffering from over-dispersed phenomena. Moreover, the COV-P data are skewed to the right and leptokurtic. The profiles of the L functions for data sets I, II, and III are displayed in Figure 17, and it is noted that the estimator is a unique “unimodal function”. Figure 18 shows the empirical CDFs for the different estimation approaches.

6. Concluding Remarks and Future Work

This article focuses on a one-parameter discrete distribution created based on the survival discretization approach and called the DMEx distribution. The statistical properties of the DMEx model have been derived and expressed in closed forms. It was found that the DMEx model is proper for modeling right-skewed data sets of a leptokurtic shape. The presented discrete distribution can be used as a statistical tool to model different types of HRFs, including those that are decreasing and unimodally shaped. The DMEx parameter has been estimated utilizing various estimation approaches, i.e., MLE, ME, and PE. Simulation studies have been performed based on various sample sizes, and it was found that the MLE and ME techniques work quite effectively for estimating the DMEx parameter. Finally, three real data sets have been analyzed and discussed to illustrate the notability of the DMEx distribution, and it was found that DMEx outperforms all other competitive distributions in all aspects of the current study. In the future, the bivariate extension of the DMEx models will be proposed and discussed in detail. Furthermore, a regression model and INAR(1) process will be discussed alongside their applications.

Author Contributions

Conceptualization, M.S.E.; data curation, M.E.-M. and H.S.S.; formal analysis, M.S.E. and B.A.; investigation, M.E.-M. and H.S.S.; methodology, M.E.-M. and M.S.E.; resources, H.S.S. and B.A.; software, M.E.-M., H.S.S. and M.S.E.; validation, M.S.E. and B.A.; writing— review and editing, M.S.E. All authors have read and agreed to the published version of the manuscript.

Funding

Project number (IF-PSAU-2022/01/22553).

Data Availability Statement

All data sets have been listed within the paper.

Acknowledgments

The authors extend their appreciation to the Deputyship for Research & Innovation of the Ministry of Education in Saudi Arabia for funding this research work through project number (IF-PSAU-2022/01/22553).

Conflicts of Interest

The authors declare no conflict of interest.

References

  1. Bhatti, F.A.; Hamedani, G.G.; Korkmaz, M.Ç.; Sheng, W.; Ali, A. On the Burr XII-moment exponential distribution. PLoS ONE 2021, 16, e0246935. [Google Scholar] [CrossRef] [PubMed]
  2. Iqbal, Z.; Hasnain, S.A.; Salman, M.; Ahmad, M.; Hamedani, G. Generalized exponentiated moment exponential distribution. Pak. J. Stat. 2014, 30, 537–554. [Google Scholar]
  3. Ahsan-ul-Haq, M. On Poisson moment exponential distribution with applications. Ann. Data Sci. 2022, 1–22. [Google Scholar] [CrossRef]
  4. Abbas, S.; Jahngeer, A.; Shahbaz, S.H.; Afify, A.Z. Topp-Leone moment exponential distribution: Properties and applications. 2020. J. Natl. Sci. Found. Sri Lanka 2020, 48, 265–274. [Google Scholar] [CrossRef]
  5. Akhter, Z.; MirMostafaee, S.M.T.K.; Ormoz, E. On the order statistics of exponentiated moment exponential distribution and associated inference. J. Stat. Comput. Simul. 2022, 92, 1322–1346. [Google Scholar] [CrossRef]
  6. Hashmi, S.; Haq, M.A.U.; Usman, R.M.; Ozel, G. The Weibull-moment exponential distribution: Properties, characterizations and applications. J. Reliab. Stat. Stud. 2019, 12, 1–22. [Google Scholar]
  7. Kumar, D.; Dey, T.; Dey, S. Statistical inference of exponentiated moment exponential distribution based on lower record values. Commun. Math. Stat. 2017, 5, 231–260. [Google Scholar] [CrossRef]
  8. Iriarte, Y.A.; Astorga, J.M.; Venegas, O.; Gómez, H.W. Slashed moment exponential distribution. J. Stat. Appl. 2017, 16, 354–365. [Google Scholar] [CrossRef]
  9. Ibrahim, M.; Ali, M.M.; Yousof, H.M. The discrete analogue of the Weibull-G family: Properties, different applications, Bayesian and non-Bayesian estimation methods. Ann. Data Sci. 2021, 1–38. [Google Scholar] [CrossRef]
  10. Eliwa, M.S.; El-Morshedy, M.; Yousof, H.M. A discrete exponential generalized-G family of distributions: Properties with Bayesian and non-Bayesian estimators to model medical, engineering and agriculture data. Mathematics 2022, 10, 3348. [Google Scholar] [CrossRef]
  11. Yousof, H.M.; Chesneau, C.; Hamedani, G.; Ibrahim, M. A new discrete distribution: Properties, characterizations, modeling real count data, Bayesian and non-Bayesian estimations. Statistica 2021, 81, 135–162. [Google Scholar] [CrossRef]
  12. Altun, E.; El-Morshedy, M.; Eliwa, M.S. A study on discrete Bilal distribution with properties and applications on integervalued autoregressive process. Revstat-Stat. J. 2022, 20, 501–528. [Google Scholar]
  13. El-Morshedy, M.; Altun, E.; Eliwa, M.S. A new statistical approach to model the counts of novel coronavirus cases. Math. Sci. 2022, 16, 37–50. [Google Scholar] [CrossRef] [PubMed]
  14. Almetwally, E.M.; Ibrahim, G.M. Discrete alpha power inverse Lomax distribution with application of COVID-19 data. J. Appl. Math. 2020, 9, 11–22. [Google Scholar]
  15. Tyagi, A.; Choudhary, N.; Singh, B. A new discrete distribution: Theory and applications to discrete failure lifetime and count data. J. Appl. Probab. Stat. 2020, 15, 117–143. [Google Scholar]
  16. Bakouch, H.S.; Jazi, M.A.; Nadarajah, S. A new discrete distribution. Statistics 2014, 48, 200–240. [Google Scholar] [CrossRef]
  17. Johnston, G. Statistical Models and Methods for Lifetime Data; Wiley: New York, NY, USA, 2003. [Google Scholar]
  18. Damien, P.; Walker, S. A Bayesian non-parametric comparison of two treatments. Scand. J. Stat. 2002, 29, 51–56. [Google Scholar] [CrossRef]
Figure 1. PMF visualization plots for the DMEx model.
Figure 1. PMF visualization plots for the DMEx model.
Axioms 11 00737 g001
Figure 2. HRF and RHRF visualization plots for the DMEx model.
Figure 2. HRF and RHRF visualization plots for the DMEx model.
Axioms 11 00737 g002
Figure 3. The plots of descriptive measures of the DMEx distribution.
Figure 3. The plots of descriptive measures of the DMEx distribution.
Axioms 11 00737 g003
Figure 4. Plots of the D ( X ) and C ( X ) statistics of the DMEx distribution.
Figure 4. Plots of the D ( X ) and C ( X ) statistics of the DMEx distribution.
Axioms 11 00737 g004
Figure 5. Simulation visualization   plots for β = 0.15 .
Figure 5. Simulation visualization   plots for β = 0.15 .
Axioms 11 00737 g005
Figure 6. Simulation visualization   plots for β = 0.35 .
Figure 6. Simulation visualization   plots for β = 0.35 .
Axioms 11 00737 g006
Figure 7. Simulation visualization   plots   for β = 0.85 .
Figure 7. Simulation visualization   plots   for β = 0.85 .
Axioms 11 00737 g007
Figure 8. Non-parametric visualization plots for EC data.
Figure 8. Non-parametric visualization plots for EC data.
Axioms 11 00737 g008
Figure 9. Empirical CDF visualization plots for EC data.
Figure 9. Empirical CDF visualization plots for EC data.
Axioms 11 00737 g009
Figure 10. P-P visualization plots for EC data.
Figure 10. P-P visualization plots for EC data.
Axioms 11 00737 g010
Figure 11. Non-parametric visualization plots for LR data.
Figure 11. Non-parametric visualization plots for LR data.
Axioms 11 00737 g011
Figure 12. Empirical CDF visualization plots for LR data.
Figure 12. Empirical CDF visualization plots for LR data.
Axioms 11 00737 g012
Figure 13. P-P visualization plots for LR data.
Figure 13. P-P visualization plots for LR data.
Axioms 11 00737 g013
Figure 14. Non-parametric visualization plots for COV-P data.
Figure 14. Non-parametric visualization plots for COV-P data.
Axioms 11 00737 g014
Figure 15. Empirical CDF visualization plots for COV-P data.
Figure 15. Empirical CDF visualization plots for COV-P data.
Axioms 11 00737 g015
Figure 16. P-P visualization plots for COV-P data.
Figure 16. P-P visualization plots for COV-P data.
Axioms 11 00737 g016
Figure 17. The profiles plots of L for data sets.
Figure 17. The profiles plots of L for data sets.
Axioms 11 00737 g017
Figure 18. Empirical CDF visualization plots for different estimation methods.
Figure 18. Empirical CDF visualization plots for different estimation methods.
Axioms 11 00737 g018
Table 1. Some CS of the DMEx distribution.
Table 1. Some CS of the DMEx distribution.
β Measure   0.1 0.2 0.3 0.4 0.5 0.6 0.7 0.8 0.9
E ( X ) 0.3954 0.7529 1.1657 1.6848 2.3863 3.4156 5.1075 8.4629 18.4824
V a r ( X ) 0.3901 0.8139 1.4378 2.4502 4.2371 7.7429 15.802 40.249 180.2500
S k ( X ) 1.6228 1.4038 1.3664 1.3697 1.3821 1.3943 1.4037 1.4099 1.4132
K u ( X ) 9.8387 14.3813 19.6580 25.0539 30.3715 35.5222 40.4667 40.4667 49.7002
Table 2. The D ( X ) and C ( X ) statistics of the DMEx distribution.
Table 2. The D ( X ) and C ( X ) statistics of the DMEx distribution.
β Measure   0.1 0.2 0.3 0.4 0.5 0.6 0.7 0.8 0.9
D ( X ) 0.9866 1.0810 1.2335 1.4543 1.7756 2.2669 3.0939 4.7559 9.7525
C ( X ) 1.5797 1.1982 1.0287 0.9291 0.8626 0.8147 0.7783 0.7497 0.7264
Table 3. Simulation results for β = 0.15.
Table 3. Simulation results for β = 0.15.
nCriteriaMLEMEPE
25 BS 0.71072536 0.68736626 1.01333569
MSE 0.50610243 0.48899665 0.62541235
MRE 0.47496366 0.46614520 0.67532023
50 BS 0.39401774 0.38114550 0.59444182
MSE 0.10203639 0.09469954 0.17296732
MRE 0.26463284 0.25413209 0.39819026
100 BS 0.27723665 0.25923302 0.39711141
MSE 0.07412203 0.06774263 0.15838302
MRE 0.18212052 0.17334963 0.26733503
250 BS 0.18533699 0.18241249 0.29293434
MSE 0.03441458 0.03211288 0.08771857
MRE 0.12229566 0.12014121 0.1964149
400 BS 0.13130521 0.11796928 0.19905126
MSE 0.01796344 0.01441778 0.03983039
MRE 0.08722563 0.07803269 0.1327154
600 BS 0.04210295 0.03471560 0.09222016
MSE 0.00429679 0.00413072 0.01223098
MRE 0.00831602 0.00726341 0.02431204
Table 4. Simulation results for β = 0.35.
Table 4. Simulation results for β = 0.35.
nCriteriaMLEMEPE
25 BS 0.46033471 0.45230219 0.49111028
MSE 0.21236964 0.20903288 0.24800326
MRE 0.93014126 0.91314177 0.99711412
50 BS 0.31830325 0.31130925 0.41790345
MSE 0.10344125 0.09841329 0.17471516
MRE 0.63899659 0.62332954 0.82130958
100 BS 0.23141239 0.22213412 0.31815142
MSE 0.05210236 0.04930287 0.10274589
MRE 0.46266369 0.44310965 0.63937195
250 BS 0.16141257 0.15810236 0.24730864
MSE 0.02695256 0.02596985 0.05886243
MRE 0.32242856 0.31519732 0.48810236
400 BS 0.11463142 0.09866367 0.17199896
MSE 0.01386537 0.00980015 0.02914120
MRE 0.22720103 0.19710414 0.33409875
600 BS 0.08795636 0.07296985 0.12110286
MSE 0.00877157 0.00627420 0.00923698
MRE 0.11209537 0.09830987 0.21008025
Table 5. Simulation results for β = 0.85.
Table 5. Simulation results for β = 0.85.
nCriteriaMLEMEPE
25 BS 0.46296336 0.48641129 0.49813368
MSE 0.21374125 0.23632653 0.24841515
MRE 0.92396326 0.97291764 0.99433695
50 BS 0.31103258 0.37031526 0.42356964
MSE 0.09774623 0.13274859 0.17233696
MRE 0.62174120 0.74533626 0.81241852
100 BS 0.23163949 0.26933026 0.31233635
MSE 0.05208856 0.07341259 0.09810221
MRE 0.46241203 0.53233636 0.61233982
250 BS 0.16196336 0.19810775 0.22185236
MSE 0.02641205 0.03901486 0.04941212
MRE 0.32163955 0.39910213 0.44330352
400 BS 0.11300125 0.13433636 0.16241252
MSE 0.01322585 0.01841021 0.02744125
MRE 0.23474694 0.27117655 0.33139625
600 BS 0.03332357 0.09811494 0.12141254
MSE 0.00894112 0.00903661 0.01230225
MRE 0.10541453 0.12322396 0.18338552
Table 6. The MLE, SE, and CI for EC data.
Table 6. The MLE, SE, and CI for EC data.
Model β α
MLESECIMLESECI
DMEx 0.931 0.012 [ 0.910 , 0.956 ]
DR 0.999 2.6 × 10 4 [ 0.998 , 0.999 ]
DIR 1.8 × 10 7 0.055 [ 0 , 0.107 ]
DBH 0.999 0.008 [ 0.984 , 1.014 ]
DPa 0.720 0.061 [ 0.600 , 0.839 ]
Poi 27.533 1.355 [ 24.878 , 30.189 ]
DINH 0.578 0.193 [ 0.199 , 0.957 ] 29.072 20.384 [ 0 , 69.024 ]
DB-XII 0.975 0.051 [ 0.874 , 1 ] 13.367 27.785 [ 0 , 67.824 ]
Table 7. The GOF test for EC data.
Table 7. The GOF test for EC data.
StatisticDMExDRDIRDBHDPaPoiDINHDB-XII
L 64.7898 66.394 89.096 91.368 77.402 151.206 67.879 75.724
AIC 131.5796 134.788 180.192 184.737 156.805 304.413 139.758 155.448
CAIC 131.8873 135.096 180.499 185.045 157.112 304.721 140.758 156.448
BIC 132.2877 135.496 180.899 185.445 157.513 305.121 141.174 156.864
HQIC 131.5721 134.781 180.184 184.729 156.797 304.405 139.743 155.433
KS 0.1144 0.216 0.698 0.791 0.405 0.381 0.207 0.388
p-value 0.9766 0.433 < 0.0001 < 0.0001 0.009 0.025 0.481 0.015
Table 8. Different estimators for EC data.
Table 8. Different estimators for EC data.
Technique β KSp-Value
ME 0.931 0.114 0.989
PE 0.811 0.588 0.627 × 10 4
Table 9. The EDS for EC data.
Table 9. The EDS for EC data.
Approach E ( X ) Var ( X ) D ( X ) Sk ( X ) Ku ( X )
MLE 27.536 393.082 14.275 1.414 5.999
PE 9.0508 45.6912 5.048 1.410 5.989
ME 27.533 393.017 14.274 1.414 5.999
Table 10. The MLE, SE, and CI for LR data.
Table 10. The MLE, SE, and CI for LR data.
Model β α
MLESECIMLESECI
DMEx 0.905 0.014 [ 0.877 , 0.933 ]
DR 0.998 0.0004 [ 0.998 , 0.999 ]
DIR 7.82 × 10 7
DBH 0.998 0.009 [ 0.981 , 1.017 ]
DPa 0.696 0.056 [ 0.585 , 0.806 ]
Poi 19.550 0.989 [ 17.612 , 21.493 ]
DINH 0.737 0.268 [ 0.212 , 1.262 ] 14.798 9.997 [ 0 , 34.392 ]
DB-XII 0.998 0.004 [ 0.99 , 1 ] 182.367 94.801 [ 0 , 277.7 . 001 ]
Table 11. The GOF test for LR data.
Table 11. The GOF test for LR data.
StatisticDMExDRDIRDBHDPaPoiDINHDB-XII
L 79.071 81.175 101.987 110.283 95.448 152.718 82.818 92.602
AIC 160.141 164.351 205.975 222.565 192.896 307.436 169.635 189.203
CAIC 160.364 164.572 206.197 222.787 193.118 307.658 170.341 189.909
BIC 161.137 165.346 206.973 223.561 193.892 308.432 171.627 191.195
HQIC 160.336 164.544 206.169 222.759 193.090 307.630 170.024 189.592
KS 0.109 0.199 0.751 0.392 0.352 0.189 0.369
p-value 0.970 0.401 <0.001 0.004 0.014 0.467 0.008
Table 12. Different estimators for LR data.
Table 12. Different estimators for LR data.
Technique β KSp-Value
ME 0.905 0.100 0.841
PE 0.837 0.350 0.0147
Table 13. The EDS for LR data.
Table 13. The EDS for LR data.
Approach E ( X ) Var ( X ) D ( X ) Sk ( X ) Ku ( X )
MLE 19.551 201.109 10.286 1.413 5.998
PE 10.756 63.433 5.897 1.411 5.992
ME 19.550 201.084 10.286 1.413 5.998
Table 14. The MLE, SE, and CI for COV-P data.
Table 14. The MLE, SE, and CI for COV-P data.
Model β α
MLESECIMLESECI
DMEx 0.9451 0.006 [ 0.93 , 0.957 ]
DR 0.9996 0.00008 [ 0.9994 , 0.999 ]
DIR 1.634 × 10 10
DBH 0.999 0.004 [ 0.993 , 1.006 ]
DPa 0.729 0.037 [ 0.658 , 0.803 ]
Poi 34.921 0.959 [ 33.04 , 36.8 ]
DINH 0.615 0.144 [ 0.333 , 0.896 ] 29.319 13.995 [ 1.889 , 56.748 ]
DB-XII 0.996 0.004 [ 0.989 , 1.003 ] 79.588 82.339 [ 0 , 215.023 ]
Table 15. The GOF test for COV-P data.
Table 15. The GOF test for COV-P data.
StatisticDMExDRDIRDBHDPaPoiDINHDB-XII
L 176.621 186.7 226.355 241.306 202.578 594.751 177.779 198.727
AIC 355.242 375.4 454.709 486.612 407.155 1191.5 359.558 401.454
CAIC 355.353 375.511 454.82 486.955 407.267 1191.61 359.901 401.797
BIC 356.879 377.038 456.347 489.888 408.793 1193.14 362.833 404.729
HQIC 355.824 375.983 455.292 487.778 407.738 1192.09 360.723 402.619
KS 0.1620 0.309 0.644 0.779 0.379 0.519 0.171 0.367
p-value 0.271 0.001 <0.001<0.001<0.001<0.0010.245<0.001
Table 16. Different estimators for COV-P data.
Table 16. Different estimators for COV-P data.
Technique β KSp-Value
ME 0.945 0.162 0.271
PE 0.883 0.353 0.0002
Table 17. The EDS for COV-P data.
Table 17. The EDS for COV-P data.
Approach E ( X ) Var ( X ) D ( X ) Sk ( X ) Ku ( X )
MLE 34.923 627.491 17.968 1.414 5.999
PE 15.561 129.054 8.2937 1.413 5.996
ME 34.921 627.409 17.967 1.414 5.999
Publisher’s Note: MDPI stays neutral with regard to jurisdictional claims in published maps and institutional affiliations.

Share and Cite

MDPI and ACS Style

El-Morshedy, M.; Shahen, H.S.; Almohaimeed, B.; Eliwa, M.S. Discrete Single-Factor Extension of the Exponential Distribution: Features and Modeling. Axioms 2022, 11, 737. https://doi.org/10.3390/axioms11120737

AMA Style

El-Morshedy M, Shahen HS, Almohaimeed B, Eliwa MS. Discrete Single-Factor Extension of the Exponential Distribution: Features and Modeling. Axioms. 2022; 11(12):737. https://doi.org/10.3390/axioms11120737

Chicago/Turabian Style

El-Morshedy, Mahmoud, Hend S. Shahen, Bader Almohaimeed, and Mohamed S. Eliwa. 2022. "Discrete Single-Factor Extension of the Exponential Distribution: Features and Modeling" Axioms 11, no. 12: 737. https://doi.org/10.3390/axioms11120737

APA Style

El-Morshedy, M., Shahen, H. S., Almohaimeed, B., & Eliwa, M. S. (2022). Discrete Single-Factor Extension of the Exponential Distribution: Features and Modeling. Axioms, 11(12), 737. https://doi.org/10.3390/axioms11120737

Note that from the first issue of 2016, this journal uses article numbers instead of page numbers. See further details here.

Article Metrics

Back to TopTop