A Class of Extended Fractional Derivative Operators and Associated Generating Relations Involving Hypergeometric Functions
Abstract
:1. Introduction, Definitions and Preliminaries
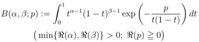
1.1. The Extended Beta, Gamma and Hypergeometric Functions
:
in the Definition (1.1) are motivated by the connection of the extended Beta function
with the Macdonald (or modified Bessel) function
(see, for details, [8,9]).
defined by (1.1), Chaudhry et al. [8] introduced the extended hypergeometric function as follows:
denotes the Pochhammer symbol or the shifted factorial, which is defined (for
and
by
.
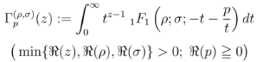
defined by (1.2), the following integral representation of the Pfaff–Kummer type was also given by Chaudhry et al. [8, p. 592, Equation (3.2)]:
, we have
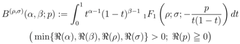
(see, for details [9]), the extended Beta function
and the extended Gauss hypergeometric function
were considered more recently by Özergin et al. [7]:
being the (Kummer’s) confluent hypergeometric function. The following integral representation of the Pfaff–Kummer type was also given by Özergin et al. [7]:
would immediately yield Equations (1.1), (1.2) and (1.4), respectively.
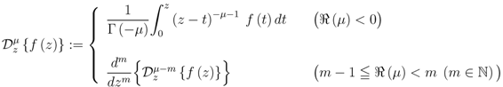
and various other lower (or denominator) parameters are not zero or negative integers (that is, no zeros appear in the denominators).1.2. The Riemann–Liouville Fractional Derivative Operator and Its Generalizations
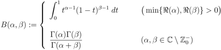
defined by (see, for example [10, p. 181] [11] and [12, p. 70 et seq.])
-plane from
to
.
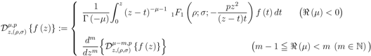
of the type which is involved in (for example) the Definitions (1.1) and (1.2), Özarslan and Özergin [1] defined the correspondingly extended Riemann–Liouville fractional derivative operator
by
. The path of integration in the Definition (1.13), which immediately yields the definition (1.10) when
, is also a line in the complex
-plane from
to
. The argument
in the Definition (1.13) and elsewhere in this paper is obviously necessitated by the applicability of the definition (1.1) of the extended Beta function
when we set
, we find from the second part of the Definition (1.13) (with
) that
when
. Thus, in general, the natural connection of the Riemann–Liouville fractional derivative operator
defined by (1.10) with ordinary derivatives when the order
is zero or a positive integer is lost by the extended fractional derivative operator in Definition (1.13) and its further generalizations which we have considered in our present investigation.1.3. Extended Appell Hypergeometric Functions in Two Variables
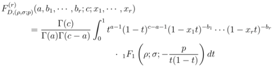
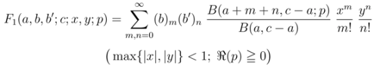
, Özarslan and Özergin [1] extended the familiar Appell hypergeometric functions
and
in two variables as follows:
, yield the familiar Appell hypergeometric functions
and
in two variables (see [13, p. 14]). For each of these extended Appell hypergeometric functions, such properties as their integral representations and relationships with the extended Riemann–Liouville fractional derivative operator
defined by (1.13) can also be found in the work of Özarslan and Özergin [1].
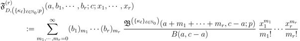
defined by (1.13) and apply the generalized operator to derive generating relations for hypergeometric functions in one, two and more variables. We first introduce, in Section 2, the following further generalizations of the extended Appell’s hypergeometric functions:
variables
are defined and their integral representations are obtained. In Section 3, we introduce and study the properties and relationships associated with the above-mentioned further generalization of the extended fractional derivative operator
defined by Definition (1.13) and apply the generalized operator in order to obtain various generating relations in terms of the generalized extended Appell and Lauricella hypergeometric functions in two and more variables. Section 4 contains some results related to the Mellin transforms and the extended fractional derivative operator. In Section 5, some generating relations for generalized extended hypergeometric functions are obtained via the above-mentioned further generalized fractional derivative operator by following the lines which are detailed in the monograph by Srivastava and Manocha [14]. Finally, in Section 6, we conclude this paper by presenting a number of remarks and observations pertaining to our investigation here.2. The Generalized Extended Appell and Lauricella Functions
be analytic within the disk
and let its Taylor–Maclaurin coefficients be explicitly denoted (for convenience) by the sequence
. Suppose also that the function
can be continued analytically in the right half-plane
with the asymptotic property given as follows:
and
depending essentially upon the sequence
. Here, and in what follows, we assume that the series in the first part of the Definition (2.1) converges absolutely when
for some
and represents the function
which is assumed to be analytic within the disk
and which can be appropriately continued analytically elsewhere in the complex
-plane with the order estimate provided in the second part of the Definition (2.1). For example, if we choose the sequence
to be a suitable quotient of several
-products with arguments linear in
so that the function
becomes identifiable with the familiar Fox–Wright
-function, we can easily determine the radius
of the above-mentioned disk and, moreover, we can then appropriately continue the resulting function
analytically by means of a suitable Mellin–Barnes contour integral (see, for details [12, p. 56 et seq.]). Such functions as
can indeed be specified on an ad hoc basis.
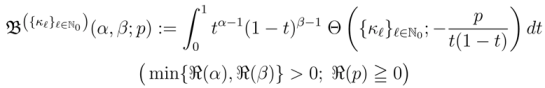
defined by (2.1), we now introduce a natural further generalization of the extended Gamma function
, the extended Beta function
and the extended hypergeometric function
by
, the definitions in (2.2–2.4) would reduce to (known or new) extensions of the Gamma, Beta and hypergeometric functions. In particular, if we set
, the extended Beta function
and the extended hypergeometric function
, respectively.
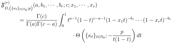
defined by definition (2.1), it is not difficult to generalize the integral representation definition (1.8) to the following form:
and
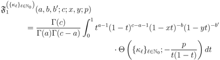
, we propose these further generalizations of the extended Appell’s hypergeometric functions:
variables
, which are defined by
is given by Definition (1.6). Clearly, the Definition (2.7) corresponds to the special case of the Definition (2.9) when
. Moreover, in view of the relationship Definition (1.9), the Definitions (2.7) and (2.8) immediately yield the definitions in (1.14) and (1.15) when
. More generally, in terms of the sequence
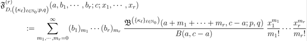
defined involved in (2.1), we have the following definitions:
is given by Definition (2.3).
and
the following integral representations hold true:
and assume that
. Then, upon expressing
above in (2.13) exists under the constraints which are listed already with (2.13).
and
respectively, the following integral representations hold true:
and
respectively, the following integral representations hold true:
. We, therefore, omit the details involved.3. Applications of the Generalized Extended Riemann–Liouville Fractional Derivative Operator
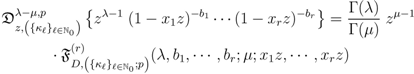
defined by (1.13):
and the path of integration in each of the Definitions (3.1) and (3.2) is a line in the complex
-plane from
to
.
as in (2.5). Moreover, by using the specialization indicated in (1.9), the Definition (3.1) reduces immediately to (1.13). For
, the Definitions (1.13), (3.1) and (3.2) would obviously reduce at once to the familiar Riemann–Liouville Definition (1.10). Each of these and the aforementioned other specializations are fairly straightforward. Henceforth, therefore, we choose to state our results in their general forms only and leave the specializations as an exercise for the interested reader.
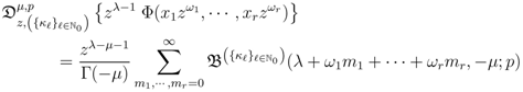
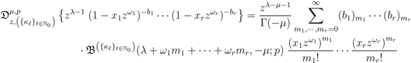
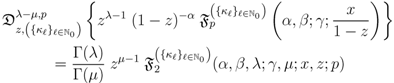
let the multivariable function
be defined by
exists.
as follows:
exists.
in the Definition (2.1), in its further special case when
defined by (2.12), as follows:
or (alternatively) for
) case of the Definition (3.4), we set
) to
times the
-function given by (3.9), we are led to the following result:
.
or (alternatively) for
defined (for
) by
as follows (see, for example, [14, p. 26, Equation 1.1(48)]):
in (3.3), (3.5) and (3.7), and
in (3.8) and (3.10), can be dropped fairly easily by applying both cases of the definition in (3.2).4. Mellin Transforms of the Generalized Extended Fractional Derivatives
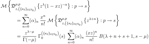
with index
is defined, as usual, by
defined by
the Mellin transforms of the following generalized extended fractional derivatives defined by
are given by
and
in the inner
-integral. Upon interchanging the order of integration in (4.5), which can easily be justified by absolute convergence of the integrals involved under the constraints state with (4.2), we get
-integral. We now interpret the
-integral and the
-integral in (4.6) by means of the Definitions (2.2) (with
) and (3.12), respectively. This evidently completes our derivation of the Mellin transform Formula (4.2) asserted by Theorem 5.
-series in the last member of (4.7) as a Gauss hypergeometric function
.
-series is to be replaced by the multiple
-series, the demonstration of the third Assertion (4.4) of Theorem 5 would run parallel to that of the second Assertion (4.3). The details involved may thus be omitted here.
of the general Result (4.4). Moreover, in its special case when
(or when
), (4.3) would reduce at once to the Mellin transform Formula (4.2).
of
variables (see, for details, [14, p. 60, Equation 1.7(4)], the special case of the assertion (4.4) of Theorem 5 when
yields the following Mellin transform formula:
), we obtain
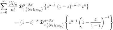
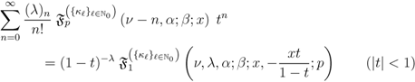
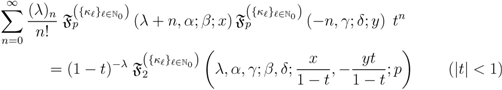
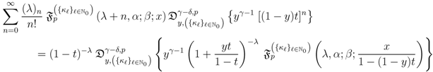
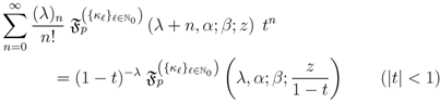
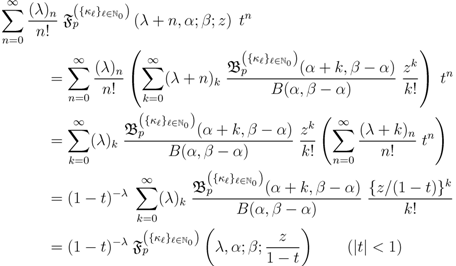
5. A Set of Generating Functions
to
exists.
defined by (3.2). We first rewrite the elementary identity:
, if we apply the generalized extended fractional derivative operator
on each member of the resulting equation, we find that
defined by (3.2), can be given along the following lines:
defined by (3.2) together with the following elementary identity:
and
in (5.1), if we multiply the resulting equation by
and then apply the generalized extended fractional derivative operator
together with the elementary Identity (5.11), we find that
in (5.4) can be assumed instead by any of the other arguments
.6. Concluding Remarks and Observations
(with
. Thus, in terms of the
-function given by (2.1), we can introduce a further extension of the generalized extended Beta function in (2.3) as follows:
defined by (3.2) can be further extended as follows:
and, as also in (1.10), (1.13), (3.1) and (3.2), the path of integration in the Definition (6.6) is a line in the complex
-plane from
to
.
. Most (if not all) of the properties and results, which we have investigated in this paper in the
case, can indeed be considered analogously for the
case in a rather simple and straightforward manner. The details involved may, therefore, be left as an exercise for the interested reader.References
- Özarslan, M.A.; Özergin, E. Some generating relations for extended hypergeometric function via generalized fractional derivative operator. Math. Comput. Model. 2010, 52, 1825–1833. [Google Scholar] [CrossRef]
- Chaudhry, M.A.; Temme, N.M.; Veling, E.J.M. Asymptotic and closed form of a generalized incomplete gamma function. J. Comput. Appl. Math. 1996, 67, 371–379. [Google Scholar] [CrossRef]
- Chaudhry, M.A.; Qadir, A.; Rafique, M.; Zubair, S.M. Extension of Euler’s beta function. J. Comput. Appl. Math. 1997, 78, 19–32. [Google Scholar] [CrossRef]
- Chaudhry, M.A.; Zubair, S.M. Generalized incomplete gamma functions with applications. J. Comput. Appl. Math. 1994, 55, 99–124. [Google Scholar] [CrossRef]
- Chaudhry, M.A.; Zubair, S.M. On the decomposition of generalized incomplete gamma functions with applications of Fourier transforms. J. Comput. Appl. Math. 1995, 59, 253–284. [Google Scholar] [CrossRef]
- Miller, A.R. Reduction of a generalized incomplete gamma function, related Kampé de Fériet functions, and incomplete Weber integrals. Rocky Mountain J. Math. 2000, 30, 703–714. [Google Scholar] [CrossRef]
- Özergin, E.; Özarslan, M.A.; Altn, A. Extension of gamma, beta and hypergeometric functions. J. Comput. Appl. Math. 2011, 235, 4601–4610. [Google Scholar] [CrossRef]
- Chaudhry, M.A.; Qadir, A.; Srivastava, H.M.; Paris, R.B. Extended hypergeometric and confluent hypergeometric functions. Appl. Math. Comput. 2004, 159, 589–602. [Google Scholar] [CrossRef]
- Chaudhry, M.A.; Zubair, S.M. On a Class of Incomplete Gamma Functions with Applications; CRC Press (Chapman and Hall): Boca Raton, FL, USA, 2002. [Google Scholar]
- Erdélyi, A.; Magnus, W.; Oberhettinger, F.; Tricomi, F.G. Tables of Integral Transforms, Volume II; McGraw-Hill Book Company: New York, NY, USA, 1954. [Google Scholar]
- Samko, S.G.; Kilbas, A.A.; Marichev, O.I. Fractional Integrals and Derivatives: Theory and Applications, Translated from the Russian: Integrals and Derivatives of Fractional Order and Some of Their Applications (“Nauka i Tekhnika", Minsk, 1987); Gordon and Breach Science Publishers: Reading, UK, 1993. [Google Scholar]
- Kilbas, A.A.; Srivastava, H.M.; Trujillo, J.J. Theory and Applications of Fractional Differential Equations. North-Holland Mathematical Studies; Elsevier (North-Holland) Science Publishers: Amsterdam, The Netherlands, 2006; Volume 204. [Google Scholar]
- Appell, P.; Kampé de Fériet, J. Fonctions Hypergéométriques et Hypersphériques: Polynômes d’Hermite; Gauthier-Villars: Paris, France, 1926. [Google Scholar]
- Srivastava, H.M.; Manocha, H.L. A Treatise on Generating Functions; Halsted Press (Ellis Horwood Limited, Chichester), John Wiley and Sons: New York, NY, USA, 1984. [Google Scholar]
- Srivastava, H.M.; Saxena, R.K. Operators of fractional integration and their applications. Appl. Math. Comput. 2001, 118, 1–52. [Google Scholar] [CrossRef]
© 2012 by the authors; licensee MDPI, Basel, Switzerland. This article is an open-access article distributed under the terms and conditions of the Creative Commons Attribution license (http://creativecommons.org/licenses/by/3.0/).
Share and Cite
Srivastava, H.M.; Parmar, R.K.; Chopra, P. A Class of Extended Fractional Derivative Operators and Associated Generating Relations Involving Hypergeometric Functions. Axioms 2012, 1, 238-258. https://doi.org/10.3390/axioms1030238
Srivastava HM, Parmar RK, Chopra P. A Class of Extended Fractional Derivative Operators and Associated Generating Relations Involving Hypergeometric Functions. Axioms. 2012; 1(3):238-258. https://doi.org/10.3390/axioms1030238
Chicago/Turabian StyleSrivastava, H. M., Rakesh K. Parmar, and Purnima Chopra. 2012. "A Class of Extended Fractional Derivative Operators and Associated Generating Relations Involving Hypergeometric Functions" Axioms 1, no. 3: 238-258. https://doi.org/10.3390/axioms1030238
APA StyleSrivastava, H. M., Parmar, R. K., & Chopra, P. (2012). A Class of Extended Fractional Derivative Operators and Associated Generating Relations Involving Hypergeometric Functions. Axioms, 1(3), 238-258. https://doi.org/10.3390/axioms1030238

