Chalcopyrite Leaching in Ferric Sulphate: The Effect of Fe3O4-CuFeS2 Galvanic Couple on the Cu Dissolution
Abstract
1. Introduction
2. Materials and Methods
2.1. Material
2.2. Chalcopyrite and Magnetite Sample Characterization
2.3. Leaching Media and Tests
3. Results
3.1. Cu Dissolution Curve and Recovery
3.2. Cu Dissolution Recovery at Free O.R.P.

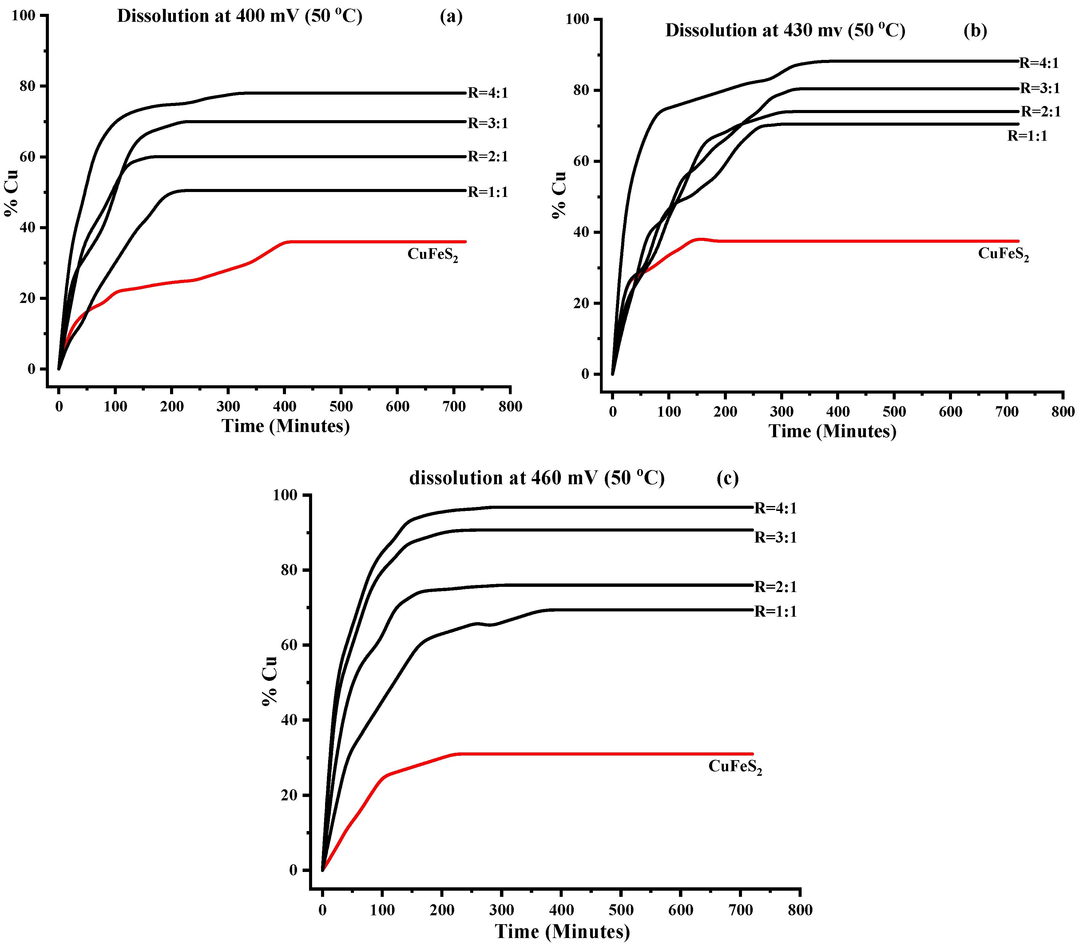
3.3. Effect of Solution Potential

3.4. Effect of Temperature
3.5. Solid Residue Analysis
4. Conclusions
5. Patents
Author Contributions
Funding
Data Availability Statement
Acknowledgments
Conflicts of Interest
References
- Seck, G.S.; Hache, E.; Bonnet, C.; Simoën, M.; Carcanague, S. Copper at the crossroads: Assessment of the interactions between low-carbon energy transition and supply limitations. Resour. Conserv. Recycl. 2020, 163, 105072. [Google Scholar] [CrossRef] [PubMed]
- Nyembwe, K.J.; Fosso-Kankeu, E.; Waanders, F.; Mkandawire, M. Iron-Speciation Control of Chalcopyrite Dissolution from a Carbonatite Derived Concentrate with Acidic Ferric Sulphate Media. Minerals 2021, 11, 963. [Google Scholar] [CrossRef]
- Shangguan, X.; Liu, Y.; Liu, R.; Wang, K.; Belqadi, W.; He, J.; Tong, Y.; Shen, L.; Zeng, W.; Wu, X.; et al. Enhanced Chalcopyrite Dissolution in Acidic Culture Medium: The Impact of Arsenopyrite Presence. Minerals 2024, 14, 50. [Google Scholar] [CrossRef]
- Zhong, S.; Li, Y. An improved understanding of chalcopyrite leaching kinetics and mechanisms in the presence of NaCl. J. Mater. Res. Technol. 2019, 8, 3487–3494. [Google Scholar] [CrossRef]
- Ruiz, M.C.; Montes, K.S.; Padilla, R. Galvanic effect of pyrite on chalcopyrite leaching in sulfate-chloride media. Miner. Process. Extr. Met. Rev. 2014, 36, 65–70. [Google Scholar] [CrossRef]
- Watling, H. Chalcopyrite hydrometallurgy at atmospheric pressure: 1. Review of acidic sulfate, sulfate–chloride and sulfate–nitrate process options. Hydrometallurgy 2013, 140, 163–180. [Google Scholar] [CrossRef]
- Xiong, X.; Hua, X.; Zheng, Y.; Lu, X.; Li, S.; Cheng, H.; Xu, Q. Oxidation mechanism of chalcopyrite revealed by X-ray photoelectron spectroscopy and first principles studies. Appl. Surf. Sci. 2018, 427, 233–241. [Google Scholar] [CrossRef]
- Tshilombo, A.F. Mechanism and Kinetics of Chalcopyrite Passivation and Depassivation during Ferric and Microbial Leaching. British Columbia. 2004. Available online: https://open.library.ubc.ca/collections/831/items/1.0078957 (accessed on 23 April 2018).
- Naderi, H.; Abdollahy, M.; Mostoufi, N.; Koleini, M.J.; Shojaosadati, S.A.; Manafi, Z. Kinetics of chemical leaching of chalcopyrite from low grade copper ore: Behavior of different size fractions. Int. J. Miner. Met. Mater. 2011, 18, 638–645. [Google Scholar] [CrossRef]
- Olvera, O.; Rebolledo, M.; Asselin, E. Atmospheric ferric sulfate leaching of chalcopyrite: Thermodynamics, kinetics and electrochemistry. Hydrometallurgy 2016, 165, 148–158. [Google Scholar] [CrossRef]
- Klauber, C. A critical review of the surface chemistry of acidic ferric sulphate dissolution of chalcopyrite with regards to hindered dissolution. Int. J. Miner. Process. 2008, 86, 1–17. [Google Scholar] [CrossRef]
- Koleini, S.J.; Aghazadeh, V.; Sandström, Å. Acidic sulphate leaching of chalcopyrite concentrates in presence of pyrite. Miner. Eng. 2011, 24, 381–386. [Google Scholar] [CrossRef]
- Dixon, D.; Mayne, D.; Baxter, K. GalvanoxTM-A novel galvanically-assisted atmospheric leaching technology for copper concentrates. Can. Met. Q. 2008, 47, 327–336. [Google Scholar] [CrossRef]
- Koleini, S.M.J.; Jafarian, M.; Abdollahy, M.; Aghazadeh, V. Galvanic leaching of chalcopyrite in atmospheric pressure and sulfate media: Kinetic and surface studies. Ind. Eng. Chem. Res. 2010, 49, 5997–6002. [Google Scholar] [CrossRef]
- Majuste, D.; Ciminelli, V.; Osseo-Asare, K.; Dantas, M. Quantitative assessment of the effect of pyrite inclusions on chalcopyrite electrochemistry under oxidizing conditions. Hydrometallurgy 2012, 113-114, 167–176. [Google Scholar] [CrossRef]
- Payant, R.; Rosenblum, F.; Nesset, J.; Finch, J. The self-heating of sulfides: Galvanic effects. Miner. Eng. 2012, 26, 57–63. [Google Scholar] [CrossRef]
- Salehi, S.; Noaparast, M.; Shafaie, S.Z. Kinetics of chalcopyrite galvanic leaching using sulfate medium at low temperature in the Galvanox TM process. Int. J. Min. Geo-Eng. 2016, 50, 157–161. [Google Scholar] [CrossRef]
- Makvandi, S.; Beaudoin, G.; McClenaghan, B.M.; Layton-Matthews, D. The surface texture and morphology of magnetite from the Izok Lake volcanogenic massive sulfide deposit and local glacial sediments, Nunavut, Canada: Application to mineral exploration. J. Geochem. Explor. 2015, 150, 84–103. [Google Scholar] [CrossRef]
- Nyembwe, K.J.; Fosso-Kankeu, E.; Waanders, F.; Nyembwe, K.D. Structural, compositional and mineralogical characterization of carbonatitic copper sulfide: Run of mine, concentrate and tailings. Int. J. Miner. Met. Mater. 2019, 26, 143–151. [Google Scholar] [CrossRef]
- Saavedra, A.; García-Meza, J.V.; Cortón, E.; González, I. Understanding galvanic interactions between chalcopyrite and magnetite in acid medium to improve copper (Bio)Leaching. Electrochim. Acta 2018, 265, 569–576. [Google Scholar] [CrossRef]
- Simons, K. Soil Sampling; U.S. Environmental Protection Agency Laboratory Services & Applied Science Division: Athens, GA, USA, 2014. [Google Scholar]
- Sandström, A.; Shchukarev, A.; Paul, J. XPS characterisation of chalcopyrite chemically and bio-leached at high and low redox potential. Miner. Eng. 2005, 18, 505–515. [Google Scholar] [CrossRef]
- Debernardi, G.; Carlesi, C. Chemical-electrochemical approaches to the study passivation of chalcopyrite. Miner. Process. Extr. Met. Rev. 2013, 34, 10–41. [Google Scholar] [CrossRef]
- Crundwell, F. The dissolution and leaching of minerals: Mechanisms, myths and misunderstandings. Hydrometallurgy 2013, 139, 132–148. [Google Scholar] [CrossRef]
- Acero, P.; Cama, J.; Ayora, C.; Asta, M.P. Chalcopyrite dissolution rate law from pH 1 to 3. Geol. Acta 2009, 7, 389–397. [Google Scholar] [CrossRef]
- Dutrizac, J.E.; Chen, T.T.; Jambor, J.L. Mineralogical changes occurring during the ferric lon leaching of bornite. Met. Trans. B 1985, 16, 679–693. [Google Scholar] [CrossRef]
- Zhao, H.-B.; Hu, M.-H.; Li, Y.-N.; Zhu, S.; Qin, W.-Q.; Qiu, G.-Z.; Wang, J. Comparison of electrochemical dissolution of chalcopyrite and bornite in acid culture medium. Trans. Nonferrous Met. Soc. China 2015, 25, 303–313. [Google Scholar] [CrossRef]




Disclaimer/Publisher’s Note: The statements, opinions and data contained in all publications are solely those of the individual author(s) and contributor(s) and not of MDPI and/or the editor(s). MDPI and/or the editor(s) disclaim responsibility for any injury to people or property resulting from any ideas, methods, instructions or products referred to in the content. |
© 2024 by the authors. Licensee MDPI, Basel, Switzerland. This article is an open access article distributed under the terms and conditions of the Creative Commons Attribution (CC BY) license (https://creativecommons.org/licenses/by/4.0/).
Share and Cite
Nyembwe, K.J.; Fosso-Kankeu, E.; Waanders, F.; Mamba, B.B.; Mkandawire, M. Chalcopyrite Leaching in Ferric Sulphate: The Effect of Fe3O4-CuFeS2 Galvanic Couple on the Cu Dissolution. Minerals 2024, 14, 162. https://doi.org/10.3390/min14020162
Nyembwe KJ, Fosso-Kankeu E, Waanders F, Mamba BB, Mkandawire M. Chalcopyrite Leaching in Ferric Sulphate: The Effect of Fe3O4-CuFeS2 Galvanic Couple on the Cu Dissolution. Minerals. 2024; 14(2):162. https://doi.org/10.3390/min14020162
Chicago/Turabian StyleNyembwe, Kolela J., Elvis Fosso-Kankeu, Frans Waanders, Bhekie B. Mamba, and Martin Mkandawire. 2024. "Chalcopyrite Leaching in Ferric Sulphate: The Effect of Fe3O4-CuFeS2 Galvanic Couple on the Cu Dissolution" Minerals 14, no. 2: 162. https://doi.org/10.3390/min14020162
APA StyleNyembwe, K. J., Fosso-Kankeu, E., Waanders, F., Mamba, B. B., & Mkandawire, M. (2024). Chalcopyrite Leaching in Ferric Sulphate: The Effect of Fe3O4-CuFeS2 Galvanic Couple on the Cu Dissolution. Minerals, 14(2), 162. https://doi.org/10.3390/min14020162

