Abstract
Weathering of soil minerals provides base cations that buffer against acidity, and nutrients that support plant growth. In general, direct observations of soil minerals are rare; however, their abundance can be determined indirectly through soil geochemistry using normative-calculation procedures. This study compiled a data set of major oxide content from published and archived soil geochemical observations for 1170 sites across Canada (averaged over the soil profile [A, B, and C horizons], weighted by depth and bulk density to a maximum depth of 50 cm). Quantitative soil mineralogy (wt%) was systematically determined at each site using the normative method, ‘Analysis to Mineralogy’ (A2M); the efficacy of the approach was evaluated by comparison to X-ray Diffraction (XRD) mineralogy available for a subset of the study sites. At these sites, predicted A2M mineralogy was significantly related to estimated XRD, showing a strong linear relationship for plagioclase, quartz, and K-feldspar, and a moderate linear relationship for chlorite and muscovite. Further, the predicted A2M plagioclase content was almost identical to the estimated XRD soil mineralogy, showing no statistical difference. The Canada-wide predicted quantitative soil mineralogy was consistent with the underlying bedrock geology, such as in north-western Saskatchewan and north-eastern Alberta, which had high amounts of quartz due to the Western Canadian Sedimentary Basin. Other soil minerals (plagioclase, potassium feldspar, chlorite, and muscovite) varied greatly in response to changing bedrock geology across Canada. Normative approaches, such as A2M, provide a reliable approach for national-scale determination of quantitative soil mineralogy, which is essential for the assessment of soil weathering rates.
1. Introduction
Soil weathering results in the breakdown and release of nutrients such as base cations, i.e., calcium (Ca2+), magnesium (Mg2+), and potassium (K+), from primary and secondary minerals. In general, primary minerals are formed during the solidification and crystallization of magma or during metamorphism under high temperature and pressure. In contrast, secondary minerals (e.g., clay minerals) are formed when pre-existing primary minerals undergo chemical weathering, e.g., muscovite weathers to illite. The determination of soil weathering is crucial in the assessment of anthropogenic impacts on the environment, e.g., the buffering capacity of soils under acidic deposition [1,2], or the ability of soil minerals to replenish (base cation) nutrients under sustainable forest management, e.g., [3,4]. Direct determination of base cation weathering is difficult; as a result, various indirect methods have been used, such as the calculation of mass balances, immobile element depletion, watershed budgets [5,6,7], or the application of soil chemical models, e.g., PROFILE [8,9]. The most reliable and robust methods for determination of base cation weathering are based on soil mineralogy; however, wide-scale regional application of these methods is limited by the availability of quantitative soil mineralogy, which is a challenge in using PROFILE [10]. X-ray Diffraction (XRD), which is based on the crystallographic structure of minerals, is typically used to estimate quantitative soil mineralogy in conjunction with Reitveld fitting [11]. However, it can be a time-consuming procedure, especially if a large number of samples require analysis; furthermore, detection limits can hinder the identification of minerals that are low in abundance, or abundant minerals with low crystallinity and nearly amorphous minerals such as iron or aluminum oxyhydroxides.
Normative procedures, which incorporate bulk soil geochemical composition from total chemical analysis (major oxide content), are indirect techniques used to estimate (idealized) soil mineralogy based on the principles of geochemistry [12]. They are generally amenable to regional applications owing to their cost effectiveness and the wide availability of total chemical analysis data [13]. Originally developed to calculate mineral percentages of igneous rocks with the CIPW (Cross, Iddings, Pirsson, and Washington) method [14], normative procedures have expanded to include different rock types. For example, SEDNORM was developed to calculate normative mineralogy for clastic sedimentary rocks and coal ash [15]. Similarly, other programs used to determine mineralogy include MINLITH [16], an experience-based algorithm for predicting the likely mineral composition of sedimentary rocks from bulk chemical analyses, MINSQ [17], a least-squares spreadsheet method for quantitatively estimating the mineral proportions from whole rock analyses, and MODAN [18,19], which uses linear regression to estimate mineral quantities from bulk composition.
Analysis to Mineralogy (A2M) is a normative solver program developed to estimate all possible mineral modes from a given total chemical analysis and a pre-specified mineral stoichiometry list [20]. In general, there is no unique mineral-compositional solution for a given total chemical analysis, therefore A2M determines all extreme mineral modes, which form the corners of a finite convex polyhedron that defines all possible solutions, i.e., all mineral combinations that have the given total chemical analysis. Analysis to Mineralogy has been widely used to estimate quantitative soil minerals at a regional scale, and in particular to provide data for weathering models such as PROFILE [3,4,10,21,22,23,24]. However, few studies have evaluated the accuracy of the resultant mineralogical data despite its importance to weathering estimates. The objectives of this study were to evaluate the performance of A2M using sites with paired soil total chemical analyses (major oxide content) and quantitative XRD mineralogy data (n = 85) and ultimately to determine quantitative soil mineralogy for 1170 sites across Canada. It is important to note that our study focused on predicting bulk or major soil mineralogy specifically focusing on minerals that contribute to soil base cation weathering.
2. Materials and Methods
2.1. Study Area and Study Sites
This study primarily focused on provincial Canada (British Columbia, Alberta, Saskatchewan, Manitoba, Ontario, Quebec, New Brunswick, Nova Scotia, Prince Edward Island, and Newfoundland and Labrador; Figure 1). Study sites only included locations with observations of soil geochemistry (major oxide content), with an emphasis on sites with consistent (or comparable) soil sampling and analysis. All sites generally had multiple observations per soil profile, either measured by natural soil horizon or at a fixed depth representing A, upper and lower B, and C horizons. Data for this study were primarily obtained from two sources, the North American Soil Geochemical Landscapes Project (NASGLP) and Trent University’s Soil Archive (TUSA), housed within the School of the Environment.
Figure 1.
Location of study sites across Canada (n = 1170) with soil major oxide content data from the North American Soil Geochemical Landscape Project (NASGLP) and Trent University Soil Archive (TUSA). Inset shows NASGLP sites (n = 85) with paired major oxide data and X-ray Diffraction (XRD) mineralogy data (Map projection: Lambert Conformal Conic).
The NASGLP was a tri-national survey coordinated by the United States Geological Survey (USGS), the Geological Survey of Canada (GSC), and the Mexican Geological Survey to systematically sample soils for geochemistry and mineralogy from 13,487 sites across North America [25]. An initial pilot project was conducted during 2004 that comprised two transects, north–south and east–west across North America with 29 sites located in Manitoba [26]. The USGS finished sampling and analysis in 2010, while the GSC sampled 577 sites (out of their planned 6018 Canadian sites) between 2007 and 2009, and released physical and geochemical data for 541 sites but did not continue with the survey thereafter [27]. Additional mineralogical analyses were carried out in the Maritime Provinces (New Brunswick, Nova Scotia, and Prince Edward Island) of Canada [28], where 85 sites (Figure 1) had quantitative XRD mineralogy on the A and C soil horizons (data obtained from the USGS).
The second set of data was primarily obtained from Trent University’s School of Environment, where soil oxide data were available from research projects conducted within several Canadian provinces [1,6,10,29,30,31]. These sites were sampled between 2005 and 2016 and analyzed for soil major oxide content; XRD mineralogical analyses were also carried out at a subset of sites (i.e., n = 66; 10 sites each in Ontario and Alberta, and 46 in Saskatchewan). In addition, published soil oxide data for the B horizon from 21 sites in Quebec [32] were included.
The total number of sites from NASGLP was 570, including (west to east) 10 sites from British Columbia, 32 from Alberta, 65 from Saskatchewan, 49 from Manitoba, 110 from Ontario, 39 from Quebec, 115 from New Brunswick, 69 from Nova Scotia, 9 from Prince Edward Island, and 72 from Newfoundland (Figure 1). The total number of sites from TUSA was 600, with 80 sites from British Columbia, 141 from Alberta, 22 from Northwest Territories, 192 from Saskatchewan, 139 from Ontario, 21 from Quebec, and 5 from Nova Scotia. The study sites (n = 1170) from the two sources covered all 10 provinces and 1 territory.
2.2. Sampling and Analysis
Harmonized field sampling as well as chemical and physical laboratory protocols were established for the NASGLP [27,33]. In Canada, site selection was based on a spatially balanced and consistent sample site density using a 40 km × 40 km grid system [34]; as previously noted, of the proposed 6018 sites, only 577 were sampled from 2007 to 2009 [33]. At each site, a pit of 60 cm × 70 cm was excavated, and soil samples were collected from topsoil (0–5 cm), termed the Public Health layer, 0–30 cm (2009 field season only), and the A, B, and C horizons [27]; in addition, soil bulk density was sampled (for details see [27,33]). In the laboratory, soils were air dried prior to a 4-acid digestion on two different size fractions (<2 mm and <63 µm). The 4-acid digestion method consisted of a mixed ratio of 2:2:1:1 using HCl, HNO3, HClO4, and HF; this ‘near-total’ digestion helped to break down most insoluble elements, with the exception of Ca2+ and Mg2+ [27]. Inductively coupled plasma-mass spectrometry (ICP-MS) was used to determine 58 major and trace elements. Total carbon content (in %) was analyzed by combustion with a Leco CR-412 Carbon Analyser and organic matter was estimated by loss on ignition (LOI) at 500 °C [27]. Further details on field sampling procedures and laboratory methods are described by GSC [27,33] and the USGS [26].
Region-specific research methods for TUSA were used for soil sampling, which included sampling of excavated soil pits at the approximate depths of the A, B, and C horizons or at fixed depths of 0–10, 25–35, and 40–50 cm (representing A, and upper and lower B horizons); in addition, sites were sampled for soil bulk density using a volumetric sampling ring and hammer corer. All samples underwent consistent laboratory methods, i.e., air drying and sieving to a <2 mm size fraction prior to X-ray Fluorescence (XRF) for the determination of major oxide content [1,29,30]. Additional laboratory analyses included the determination of organic matter content by LOI at 375 °C for 16 h in a muffle furnace.
In general, the two data sets (NASGLP and TUSA) had similar field sampling and laboratory protocols, i.e., samples were collected from multiple soil horizons, and the laboratory procedures included air drying prior to sieving at <2 mm (the 63 µm fraction from NASGLP was not used in this study). The significant difference between the two data sets was the analytical method for element detection; the NASGLP used ICP-MS to determine major and trace elements (converted to oxides in this study), whereas the TUSA soils were analyzed by XRF to determine major oxide content.
2.3. Soil Major Oxide Content
Major oxides (i.e., SiO2, Al2O3, Fe2O3, MnO, CaO, MgO, Na2O, and K2O) represent the dominant elements that make up (most) soil minerals. Reporting of major oxide content by weight percent (wt%) is widely used, and the TUSA data were already reported as soil oxide content. However, the NASGLP data were reported as major elements (wt%) and had to be converted to oxides (wt%) using the ratio of the molecular weight of the elements to the oxides. In addition, NASGLP did not include data for silicon; as such, it was calculated as the difference in the sum of the major oxides plus LOI from 100%. The calculated silicon is a simplified estimate as it also includes the sum of unmeasured elements (other than Si) and analytical errors.
Observations (by horizon or fixed depth) from 1170 sites were summarized into a consistent database representing average oxide content in the top 50 cm (at most) of mineral soil for each profile. The database included soil horizon depth (cm), weighted bulk density (g/m3), and weighted average soil oxide content. Average soil oxide data were weighted by depth (to a maximum of 50 cm) and bulk density for both the NASGLP and TUSA data sets (bulk density was only weighted by depth). For example, the NASGLP weighted average soil oxide content was calculated from the soil horizons for each site (n = 570) as follows:
where the sum runs over the soil horizons in a 50 cm profile. A number of survey sites (n = 262) did not have soil horizon depth information and thus average soil horizon depths for A, B, and C horizons (0–15, 15–40, and 40–75 cm, respectively) were derived from the study sites (n = 908) that had soil horizon depth information. Furthermore, for sites with missing bulk densities (n = 80), a predictive relationship based on observed bulk density and LOI (%) was developed following [35]:
where the coefficients were derived from the best fit to observations (R2 = 0.72).
A comparison of soil oxide data between NASGLP and TUSA (based on opportunistic proximal location of sampling sites) was carried out to evaluate whether the data sets were statistically different. Soil oxide data from 12 paired sites in Ontario (NASGLP = 12 and TUSA = 12) were selected for analysis based on proximity (<20 km) and consistent bedrock geology. The results indicated that there were no statistical differences between the two data sets of soil oxide content (n = 12, paired t-test, p > 0.05) suggesting that they could be unified into one database (see Supplementary Materials Table S1, Figures S1 and S2).
2.4. Analysis to Mineralogy
Analysis to Mineralogy (A2M) is a solver program used to predict quantitative soil minerals from soil geochemical data [20]. For a given total analysis (major oxide content) and a prescribed list of minerals, A2M determines all possible mineral combinations that result in the given total analysis. Mathematically, they form a finite solution space in the shape of a convex polyhedron, characterized by the so-called extreme modes, i.e., the vertices (corners) of the polyhedron. The dimension of the polyhedron is the number of minerals minus the number of oxides. Every possible solution (i.e., valid mineral combination) is a linear combination (with the sum of coefficients equal to 1) of these extreme modes, a special case of which is the arithmetic mean. A2M is meaningfully applied when the number of minerals is greater than the number of oxides (which is a typical constraint of other normative procedures). Inputs required for A2M are the weight percentages of soil oxides (i.e., SiO2, CaO, etc.) and the stoichiometry of the potential minerals. In general, minerals such as quartz and feldspars (e.g., plagioclase or K-feldspar) are common in soil compositions, whereas minor amounts of other minerals (e.g., calcite or muscovite) may also be present, depending on the soil parent material. Minerals have a fixed stoichiometry based on their chemical formula (e.g., SiO2); nonetheless, some minerals have numerous stoichiometric possibilities, e.g., clay minerals (such as vermiculite, montmorillonite, and illite) have multiple endmembers due to the compositional variation of elements that form in solid solution.
In the current study, A2M was applied using a single list of minerals that focused on major soil minerals (i.e., quartz, plagioclase [albite and anorthite], K-feldspar, chlorite, muscovite, and illite) assumed to be common to all study sites (Table 1). Minerals with similar structures or multiple endmembers were either summarized as the weighted average of the stoichiometries involved (e.g., muscovite and illite) or the weighted average of the specific endmembers (e.g., albite and anorthite minerals of the plagioclase group). In instances where A2M was not able to obtain a solution for a specific site, additional minerals were added to the list. Knowledge of the site location and underlying bedrock geology influenced the selection of these additional minerals. In general, the additional minerals were primarily hornblende, kaolinite, calcite, and biotite. The arithmetic average of all possible mineral combinations (solutions) from A2M was assumed to best represent site-specific mineralogy.
Table 1.
List of minerals used in Analysis to Mineralogy (A2M), the mineral group, its endmembers (where relevant), and their stoichiometry.
The list of minerals and their associated stoichiometries were limited to major or dominant soil minerals and their idealized stoichiometry (Table 1); trace minerals were excluded. For the purpose of this study, the list of minerals and their stoichiometries were intended to be broad enough to accommodate the large study area and its varied bedrock geology or parent material. As noted, A2M was used to predict site-specific major soil mineralogy, specifically focusing on minerals that contribute to soil base cation weathering. Trace amounts of phosphorous and titanium oxides were reported for all soil samples from NASGLP and TUSA; however, they were not included in the A2M analysis as the associated minerals would either be minor (e.g., apatite) or not contribute to base cation weathering (e.g., rutile).
2.5. Evaluation of A2M Mineralogy
Sites with observations of both quantitative XRD and major oxide content were used to compare the predicted A2M mineralogies (average of all solutions for each mineral) against estimated XRD mineralogies (hereafter referred to as the ‘primary evaluation’). In total, 85 NASGLP sites had both quantitative estimates of the major minerals and observations of major oxides for the soil C horizon, with 52 sites in New Brunswick, 28 in Nova Scotia, and 5 in Prince Edward Island (see inset in Figure 1). The estimated XRD minerals (wt%) were compared to A2M mineralogies (average solution) predicted from soil oxide data (using the common mineral list across all 85 sites; see Table 1). Ultimately, the success of this analysis depended on the consistency between the A2M mineral list and the XRD mineralogy. While major minerals were present in both, the A2M mineral list did not contain trace minerals as these minerals need to be determined at an individual site level. The soil oxide data suggested that trace minerals were present at a number of sites, but they were not reported in the XRD results, most likely as levels were below detection for XRD or the minerals were not quantified, e.g., phosphorous and titanium oxides were observed at all sites, but apatite or rutile were not reported in the XRD analysis. As such, the evaluation of predicted mineralogy from A2M focused primarily on major minerals, which were compared to re-scaled XRD mineralogy (i.e., with trace elements removed). In reality this was an iterative ‘calibration’ step that allowed the ‘common’ list of minerals and their stoichiometry (Table 1) to be refined. It is important to note that XRD is not the ‘true’ mineralogy but rather, similar to A2M, an estimate of the potential mineralogy. As such, our goal was not to match XRD mineralogy but to show a correspondence between the two methods (A2M and XRD). We assumed that a strong correspondence suggested that the A2M solutions provided reliable estimates of mineralogy.
Following determination of quantitative mineralogy by A2M using the common mineral list (Table 1) across all study sites (n = 1170), a second evaluation (post-analysis) of the A2M predictions was carried out using an independent data set (hereafter referred to as the ‘secondary evaluation’). Estimated XRD mineralogy and predicted A2M mineralogy (average solution) were also available for 66 soil profiles from the TUSA data, with 10 sites in Ontario, 46 in Saskatchewan, and 10 in Alberta.
The comparison of A2M with XRD mineralogies included statistical summaries, e.g., mean, maximum, minimum, and relative standard deviation (RSD; percent of the standard deviation normalized by the mean). Further, data distributions were visualized as boxplots, the association between the two sets of mineralogy were evaluated using correlation (Pearson Product-Moment Correlation, r), and the linear relationship between predicted A2M and estimated XRD mineralogies was assessed using scatter plots (total least-square regression line fit [36]), with goodness-of-fit evaluated by the coefficient of determination (R2). A paired t-test (p < 0.05) was used to determine if there was a statistical difference between predicted A2M mineralogy (average solution) compared with XRD estimates.
3. Results and Discussion
3.1. Distribution of Observed Soil Oxides, Soil Depth, Loss on Ignition, and Bulk Density
The spatial distribution of sites covered the entirety of the Maritime Provinces (Nova Scotia, New Brunswick, Prince Edward Island; n = 270), whereas sites in Ontario and Quebec were primarily confined to the southern areas of the provinces (Figure 1). Alberta, Saskatchewan, and Manitoba had moderate site coverage across their provinces, but British Columbia and Northwest Territories only had coverage in select areas, generally associated with regional projects (i.e., Kitimat in western British Columbia and the southeast corner region, and 22 sites in southern Northwest Territories).
Average SiO2 content by province was highest (>80 wt%) in Saskatchewan and Alberta, whereas British Columbia had the lowest content (<60 wt%; Table 2). The higher contents in the central to north-western part of Saskatchewan and into Alberta (Figure 2) are associated with the Athabasca basin, which is a dominantly quartzose, Paleoproterozoic siliciclastic repository [37]. In general, calcium oxide was less than 0.62 wt% in the Maritime Provinces and the Athabasca basin and greater than 1.70 wt% in the southern regions of Ontario, Quebec, Manitoba, and Saskatchewan. Potassium oxide content was less than 1.09 wt% in northern Saskatchewan and Alberta (associated with the Athabasca basin) and greater than 2.40 wt% in Ontario, Quebec, and southern Nova Scotia (Figure 2). Higher concentrations of CaO and K2O indicate sites where the base cations of Ca and K have the greatest potential to be released through mineral weathering. Average oxide content across study sites (n = 1170) was ranked in the order (highest to lowest) SiO2 >> Al2O3 > Fe2O3 > CaO > K2O > Na2O > MgO >> MnO. Despite the wide range in content (Table 2), many oxides were significantly correlated (see Supplementary Material Figure S3), with the strongest associations for Al3O2 and Fe2O3 (r = 0.84), Al3O2 and K2O (r = 0.76), and CaO and MgO (r = 0.74) suggesting common source mineralogies. The spatial variation (RSD) in oxide content across the study sites was >100% for CaO (144%) and MgO (108%) compared with 20% for SiO2 (Table 2). In general, oxide data that had strongly right-skewed distributions (positive skewness; Table 2 and Supplementary Material Figure S4), showed the greatest spatial variation as they were primarily dominated by low content, but with regional ‘hot spots’. Furthermore, all oxide data were not normally distributed (Shapiro–Wilk, p < 0.05).
Table 2.
Number of sites (n), mean soil oxide content (wt%), and loss on ignition (LOI in %) by province from the North American Soil Geochemical Landscapes Project and Trent University Soil Archive (n = 1170; see Supplementary Material Data S1). A summary across all sites is also provided (p05 is the 5th percentile, p95 the 95th percentile, and RSD the Relative Standard Deviation).
Figure 2.
Distribution of (a) silicon dioxide [SiO2], (b) calcium oxide [CaO], and (c) potassium oxide [K2O] across Canada (n = 1170) from the North American Soil Geochemical Landscapes Project and Trent University Soil Archive (see Figure 1). Average oxide content (wt%) for each profile was weighted by horizon depth and bulk density to a maximum soil depth of 50 cm. Legend boundaries were set to obtain an equal distribution of sites among five categories.
Soil sampling depth varied across the provinces, with a minimum pit depth of 4 cm in Saskatchewan and a maximum of 135 cm in Nova Scotia and Ontario (Supplementary Material Figure S5). Average sampling depth by province ranged from 48 cm (Alberta and Saskatchewan) to 74 cm (Prince Edward Island); however, weighted average oxide content per site was limited to a maximum depth of 50 cm. Average profile (50 cm) organic matter content (LOI) was less than 1.5% in northern Saskatchewan and Alberta (in the Athabasca basin), whereas in sites in New Brunswick and Newfoundland it was greater than 7.0%, with a maximum of 74.9% in Newfoundland; accordingly, LOI was highly spatially variable (101%; Table 2). Average LOI (%) across provinces was ranked in the order (highest to lowest) BC > NL > NB > NT > ON > NS > MB > QC > PE >AB > SK (Table 2 and Figure 3). Average soil bulk density for sites in British Columbia, New Brunswick, and Newfoundland was <0.8 g/cm3, whereas in Alberta and Saskatchewan it was >1.2 g/cm3 (Figure 3), as soils with lower organic matter content have higher bulk density [38,39,40].
Figure 3.
Boxplots showing the distribution of (a) soil loss on ignition (%), and (b) soil bulk density (g/cm3) by province for study sites (n = 1170) from the North American Soil Geochemical Landscapes Project and Trent University Soil Archive.
3.2. Evaluation of A2M Predicted Quantitative Soil Mineralogy
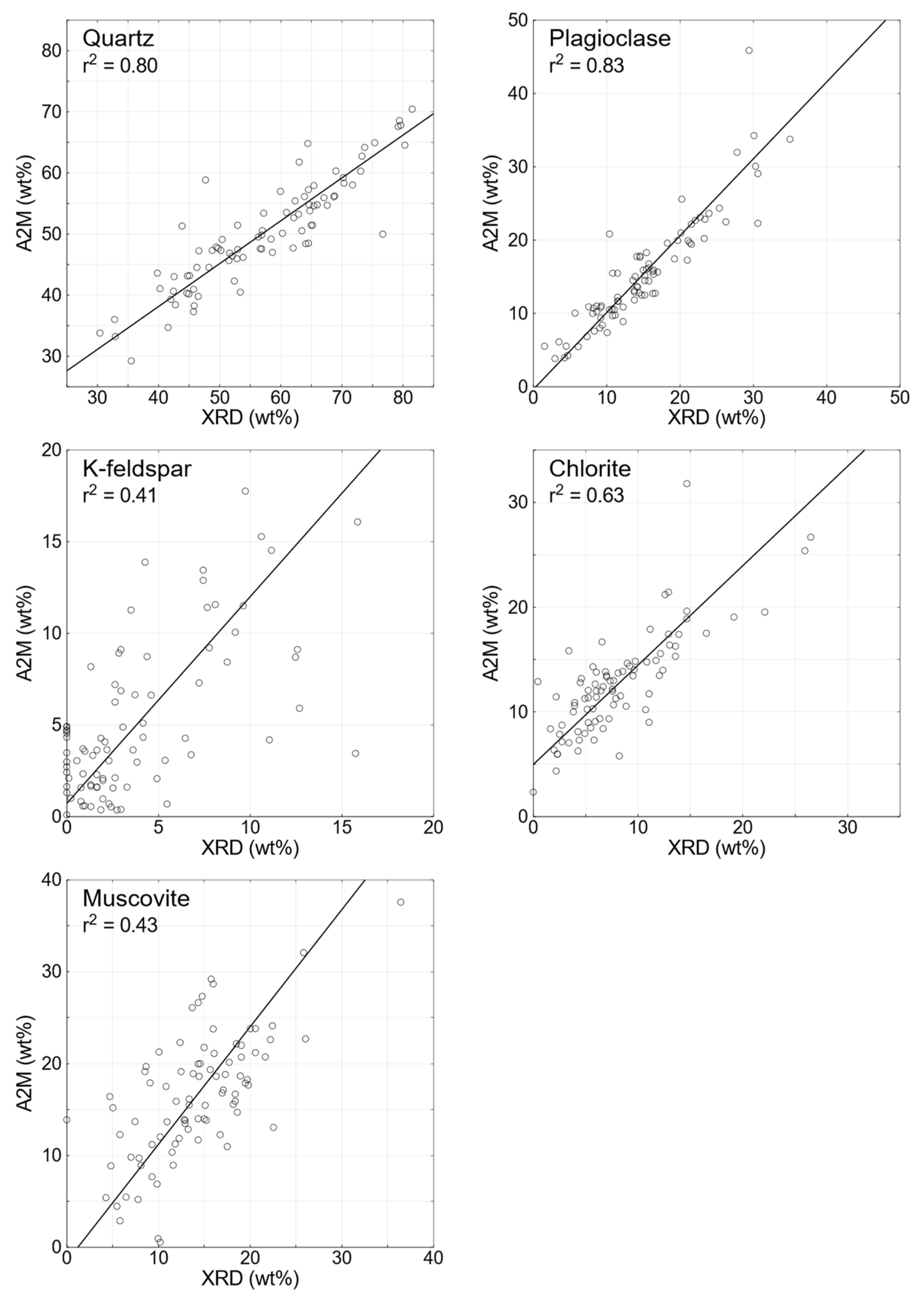
In general, the predicted mineralogy (average solution for quartz, plagioclase, K-feldspar, chlorite, and muscovite) using A2M and observed soil oxides at the 85 sites (across New Brunswick, Nova Scotia, and Prince Edward Island; Figure 1) compared well with estimated soil mineralogy from XRD under the primary evaluation (see Table 3, Figure 4, Supplementary Materials Figure S6). The A2M and XRD mineralogies were significantly correlated (p < 0.05) for each individual mineral comparison (Pearson r: Quartz 0.89; plagioclase 0.91, K-feldspar 0.64, chlorite 0.80, and muscovite 0.66). The average plagioclase content across the evaluation sites was similar for A2M and XRD (15.48 and 15.12 wt%, respectively); further, the average relative percent difference between the two data sets was very low (15%; Table 3). Similarly, the RPD between predicted A2M and XRD quartz was low (14%) despite the larger difference between average quartz content across the sites (50.19 and 57.18 wt%, respectively, with XRD > A2M). In contrast, the largest difference in average A2M and XRD content was observed for chlorite (12.68 and 8.12 wt%, respectively, with A2M > XRD), which was consistent with its high average RPD of 56% (Table 3). The highest average RPD was observed between predicted A2M and XRD K-feldspar (84%).
Table 3.
Statistical summary (p05 is the 5th percentile, p95 the 95th percentile, and RSD the Relative Standard Deviation) for predicted A2M (Analysis to Mineralogy) and estimated XRD (X-ray Diffraction) mineralogy (wt%) at 85 study sites across New Brunswick, Nova Scotia, and Prince Edward Island (primary evaluation). Statistical comparison of the two data sets using coefficient of determination (R2), Relative Percent Difference (RPD), and paired t-test (p-value) is also shown for each mineral.
Figure 4.
Scatter plots with total least-square regression line fit of estimated XRD versus predicted A2M quantitative mineralogy (for quartz, plagioclase, k-feldspar, chlorite, and muscovite) in soil (depth-weighted to a maximum of 50 cm) at 85 study sites across New Brunswick, Nova Scotia, and Prince Edward Island.
The distribution of minerals from A2M and XRD was visually similar for most minerals (Supplementary Materials Figure S6), if not identical for plagioclase; chlorite showed the largest difference with the XRD interquartile interval (50% of the data) below the A2M median (Supplementary Materials Figure S6). There was a significant linear relationship between predicted A2M and XRD mineralogy (Table 3; Figure 4); plagioclase A2M and XRD mineralogy were strongly related (R2 = 0.83), followed by quartz (R2 = 0.80), whereas K-feldspar had a moderate relationship (R2 = 0.41), which was likely driven by the high number of sites with zero content estimated by XRD (see Figure 4). In general, predicted A2M can be qualitatively ranked in terms of similarity to XRD based on absolute and relative mineralogies in the order of plagioclase > quartz > muscovite = chlorite > K-feldspar, with plagioclase almost identical for predicted A2M and estimated XRD, showing no statistical difference (Table 3). All other minerals were significantly related, with a strong linear relationship for quartz (XRD > A2M) and strong to moderate linear relationships for chlorite, muscovite, and K-feldspar (A2M > XRD).
3.3. Canada-Wide Predicted Soil Mineralogy
Average predicted major mineralogy (w%) for all soil profiles (n = 1170; depth-weighted to 50 cm) ranked in the order of quartz > plagioclase > chlorite ≈ muscovite> potassium feldspar (Table 4), which is the typical order of abundance for these minerals in Canadian soils [41]. However, the ranking order varied slightly by province (Table 4), e.g., plagioclase was the dominant mineral across sites in British Columbia, and muscovite was the second dominant mineral in New Brunswick, Prince Edward Island, and Nova Scotia (13.67–18.17 wt%; Table 4, Supplementary Material Figure S7), which may be due to elevated weathering and the breakdown of muscovite into illite (clay minerals). Study sites in all provinces, with the exception of Prince Edward Island, required additional minerals in their prescribed mineral list (Table 1) for A2M to generate a solution. These minerals included hornblende (~30% of the sites), calcite (~21% of the sites), and kaolinite (~7% of the sites). The mineral data were not normally distributed (Shapiro–Wilk, p < 0.05); most minerals had right-skewed distributions (positive skewness) as sites were primarily dominated by low content, except quartz and plagioclase (Table 4 and Supplementary Material Figure S8). A number of the predicted minerals were significantly correlated (see Supplementary Material Figure S9), with the strongest associations for plagioclase and quartz (r = −0.81), calcite and hornblende (r = 0.77), and chlorite and kaolinite (r = 0.76) suggesting common parent material. Predicted quartz mineralogy had the lowest variation across the study sites (RSD = 42%), with the spatial variation for the other major minerals ranging from 65 to 79%, and K-feldspar (78%) and muscovite (79%) being the most variable (Table 4). The sites with lower quartz content, typically less than 40 wt%, were in regions with variable bedrock geology (Table 4), such as the Precambrian Shield in Ontario and Quebec, and therefore these sites had higher amounts of other minerals (e.g., plagioclase, K-feldspar) in their soil (Supplementary Material Figure S10 and Figure 5). Saskatchewan and Alberta had high quantities of quartz in the soil, due in part, to the Western Canadian Sedimentary Basin bedrock geology [42] and the high weathering resistance of quartz (Supplementary Material Figure S10).
Table 4.
Statistical summary of predicted mineralogy (n = 1170; see Supplementary Material Data S2) from A2M (average solution) by province and territory (wt%). A summary across all study sites is also provided (p05 is the 5th percentile, p95 the 95th percentile, and RSD the Relative Standard Deviation).
Figure 5.
Predicted A2M (Analysis to Mineralogy) quantitative mineralogy (wt%) for (a) plagioclase and (b) muscovite in soils (depth-weighted to a maximum of 50 cm) for study sites across Canada from the North America Soil Geochemical Landscapes Project and Trent University Soil Archive (n = 1170). Legends were set to obtain an equal distribution of sites among five categories.
In general, predicted plagioclase was lowest in Prince Edward Island at <9 wt% and highest in British Columbia at 31 wt% (Table 4). Sites in north-eastern Saskatchewan, Ontario, and Quebec also had higher plagioclase amounts (>30 wt%) due to the bedrock geology of the underlying Precambrian Shield. The Precambrian Shield, which is composed of crystalline igneous and metamorphic rock types, is associated with the higher amounts of plagioclase in soil (see yellow-filled circles in Figure 5). These sites also had the highest K-feldspar content (Supplementary Material Figure S10), which was significantly correlated with plagioclase (r = 0.57, Supplementary Material Figure S9). Plagioclase stoichiometric endmembers, albite and anorthite, had varying ratios of sodium and calcium across Canada (Figure 6). Albite was the dominant endmember of plagioclase across the study sites, particularly in Prince Edward Island, where the average stoichiometric ratio for sodium was 0.92, followed by New Brunswick at 0.88 and Nova Scotia at 0.87, suggesting that these provinces have lower calcium weathering in soil. In contrast, anorthite was proportionally higher in several provinces, such as Alberta at 0.31, Northwest Territories at 0.30, and Ontario 0.26 (Figure 6).
Figure 6.
Distribution of the plagioclase stoichiometric ratio for sodium (Na) and calcium (Ca), from west to east by province across Canada from the North American Soil Geochemical Landscapes Project and Trent University Soil Archive (n = 1170).
3.4. Evaluation of Canada-Wide Predicted Soil Mineralogy
Under the secondary evaluation, predicted A2M mineralogy compared well with estimated XRD mineralogy at the subset of sites (n = 66; post-analysis evaluation) with paired data sets in Alberta, Saskatchewan, and Ontario (Table 5, Supplementary Material Table S2). The A2M and XRD mineralogies were significantly (p < 0.05) correlated for each individual mineral comparison (Pearson r: Quartz 0.99; plagioclase 0.98, K-feldspar 0.84, chlorite 0.52, and muscovite 0.48), with stronger correlations in Saskatchewan (n = 46: Quartz 0.99; plagioclase 0.98, K-feldspar 0.91, chlorite 0.66, and muscovite 0.60). The average A2M and XRD contents across the 66 sites was similar for plagioclase (14.60 and 14.18 wt%, respectively) and quartz (71.51 and 68.46 wt%, respectively); further, the average RPD between the two data sets was low (39 and 8%, respectively; Table 5). The largest difference in A2M and XRD content was observed for chlorite (0.65 and 4.40 wt%, respectively) and muscovite (2.32and 4.78 wt%, respectively), which was consistent with their high RPD (chlorite 157% and muscovite 120%; Table 5). In general, all minerals were significantly related, with strong linear relationships for quartz, plagioclase, and K-feldspar (Table 5). Further, plagioclase was again almost identical for predicted A2M and estimated XRD, showing no statistical difference (Table 5), and similarities between predicted A2M and estimated XRD for quartz and K-feldspar were stronger compared to the initial evaluation (see Table 3 and Table 5).
Table 5.
Statistical summary (p05 is the 5th percentile, p95 the 95th percentile, and RSD is Relative Standard Deviation) for predicted A2M (Analysis to Mineralogy) and estimated XRD (X-ray Diffraction) mineralogy (wt%) at 66 study sites in Alberta, Saskatchewan, and Ontario (secondary evaluation). Statistical comparison of the two data sets using coefficient of determination (R2), Relative Percent Difference (RPD), and paired t-test (p-value) is also shown for each mineral.
3.5. Previous Studies That Evaluated Predicted A2M Mineralogy
The few studies that evaluated predicted A2M soil mineralogy primarily focused on the determination of weathering rates, i.e., the prediction of quantitative mineralogy for the PROFILE weathering model [8]. Further, these studies were regional scale, i.e., 1 study used A2M at 41 sites in southern Ontario [10], and another used A2M at 8 sites in 2 different regions of Sweden [3]. Similar to the current study, A2M was used in conjunction with XRD mineralogy (n = 10) to develop and optimize a common A2M mineral list for all sites [10]. This study found that the A2M mineral list provided reliable estimates of soil mineral compositions in southern Ontario for the determination of weathering rates [10]. The predicted mineralogy from A2M was in general agreement with the XRD observations, with absolute differences < 10% despite statistically significant differences between A2M and XRD. Similar to this study, plagioclase (albite and anorthite) was well predicted; however, predicted A2M mineralogy was lower than estimated XRD mineralogy for quartz, plagioclase, and K-feldspar [10], unlike the current study (Table 5).
A study in Sweden [3] evaluated two approaches to predict A2M mineralogy; a regional investigation that used a mineral list based on common soil minerals and knowledge of the local geology, versus site-specific A2M mineralogy, which used mineral lists that were tailored based on XRD and electron microprobe data. In general, the site-specific approach resulted in lower bias between predicted A2M and estimated XRD mineralogy. The regional approach had greater differences between predicted A2M and estimated XRD for K-feldspar and dioctahedral mica (muscovite in this study). This is consistent with the current study; predicted A2M > XRD for K-feldspar (RPD = 70%) and < XRD for muscovite (RPD = 120%); nonetheless, A2M and XRD mineralogy were both significantly correlated (Table 5), albeit moderately for muscovite (r = 0.48). Further, by province there was stronger coherence, i.e., for Saskatchewan (n = 46) predicted A2M and estimated XRD were strongly correlated for K-feldspar (r = 0.91) and muscovite (r = 0.60).
4. Conclusions
Few studies have estimated soil mineralogy on a national scale. Here we used readily available soil oxide data from the North American Soil Geochemical Landscapes Project and Trent University Soil Archive with the Analysis to Mineralogy (A2M) normative solver program to determine quantitative soil mineralogy across Canada. Predicted A2M results were significantly related to estimated XRD mineralogy at sites with paired data sets (n = 85 and 66), showing a strong linear relationship for plagioclase, quartz, and K-feldspar, and a moderate linear relationship for chlorite and muscovite. Notably, plagioclase content (wt%) was almost identical for predicted A2M and estimated XRD soil mineralogy, showing no statistical difference. Predicted A2M soil mineralogy across Canada was strongly influenced by the underlying bedrock geology of igneous, metamorphic, or sedimentary origins, such as the Precambrian Shield, the Athabasca basin, and the Western Canadian Sedimentary Basin. This study suggests that quantitative soil bulk mineralogy can be determined successfully using normative approaches, such as A2M, at the Canada-wide scale, providing data for the determination of soil weathering rates.
Supplementary Materials
The following supporting information can be downloaded at: https://www.mdpi.com/article/10.3390/min13040544/s1, Data S1: Sampling depth, bulk density, major oxide content, and loss on ignition in soil (depth and bulk density-weighted to a maximum of 50 cm) for study sites across Canada (n = 1170), Data S2: Predicted A2M major mineralogy in soil (depth and bulk density-weighted to a maximum of 50 cm) for study sites across Canada (n = 1170), Figure S1: Location of the 12 ‘paired’ TUSA (white) and NASGLP (orange) sampling sites in Ontario where major oxide content in soil was compared, Figure S2: Boxplots of major oxide content in soil from the 12 ‘paired’ TUSA (orange) and NASGLP (green) sites in Ontario, Figure S3: Correlation matrix of major oxide content (wt%) and organic matter content (%LOI) in soil for study sites across Canada (n = 1170) from the Trent University Soil Archive and North American Soil Geochemical Landscape Project, Figure S4: Histograms of major oxide content (wt%) and organic matter content (%LOI) in soil for study sites across Canada (n = 1170) from the Trent University Soil Archive and North American Soil Geochemical Landscape Project, Figure S5 Boxplots showing the distribution of soil sampling depth (cm) by province for study sites across Canada (n = 1170) from the Trent University Soil Archive and North American Soil Geochemical Landscape Project, Figure S6: Boxplots showing the distribution of predicted A2M against estimated XRD mineralogy (wt%) at 85 study sites across New Brunswick, Nova Scotia, and Prince Edward Island. See Table 3 for statistical comparison of each data set, Figure S7: Predicted A2M (Analysis to Mineralogy) mineralogy (wt%) in soil for study sites across Canada (n = 1170) from the Trent University Soil Archive and North American Soil Geochemical Landscape Project, Figure S8: Histograms of A2M (Analysis to Mineralogy) predicted major mineralogical content (wt%) in soil for study sites across Canada (n = 1170) from the Trent University Soil Archive and North American Soil Geochemical Landscape Project, Figure S9: Correlation matrix of A2M (Analysis to Mineralogy) predicted major mineralogical content (wt%) in soil for study sites across Canada (n = 1170) from the Trent University Soil Archive and North American Soil Geochemical Landscape Project, Figure S10: Predicted A2M quantitative mineralogy (wt%) in soil for (a) quartz, (b) K-feldspar, and (c) chlorite across Canada from the Trent University Soil Archive and North America Soil Geochemical Landscapes Project (n = 1170), Table S1: Statistical comparison (paired t-test) of major oxide content in soil from the 12 ‘paired’ TUSA (T) and NASGLP (N) sites in Ontario, Table S2: Study sites in Ontario (n = 10), Saskatchewan (n = 46), and Alberta (n = 10) with predicted A2M and estimated XRD mineralogy.
Author Contributions
Conceptualization, M.A. and J.A.; methodology, M.A. and J.A.; software, M.P.; formal analysis, M.A.; investigation, M.A., M.P. and J.A.; writing—original draft preparation, M.A. and J.A.; writing—review and editing, M.P. and J.A.; visualization, M.P. and J.A.; funding acquisition, J.A. All authors have read and agreed to the published version of the manuscript.
Funding
This project was carried out with financial support from Environment and Climate Change Canada (G&C GCXE15Z268 and GCXE19S022).
Institutional Review Board Statement
Not applicable.
Informed Consent Statement
Not applicable.
Data Availability Statement
The data used in this study are provided in the Supplementary Materials.
Acknowledgments
We thank Eric Grunsky for insightful comments and discussion during the development of this study, and gratefully acknowledge W.F. Cannon (USGS) and Rick McNeil (NRCan) for provision of XRD mineralogy data.
Conflicts of Interest
The authors declare no conflict of interest.
References
- Whitfield, C.; Watmough, S.; Aherne, J.; Dillon, P. A comparison of weathering rates for acid-sensitive catchments in Nova Scotia, Canada and their impact on critical load calculations. Geoderma 2006, 136, 899–911. [Google Scholar] [CrossRef]
- Phelan, J.; Belyazid, S.; Kurz, D.; Guthrie, S.; Cajka, J.; Sverdrup, H.; Waite, R. Estimation of Soil Base Cation Weathering Rates with the PROFILE Model to Determine Critical Loads of Acidity for Forested Ecosystems in Pennsylvania, USA: Pilot Application of a Potential National Methodology. Water Air Soil Pollut. 2014, 225, 2109. [Google Scholar] [CrossRef]
- Casetou-Gustafson, S.; Hillier, S.; Akselsson, C.; Simonsson, M.; Stendahl, J.; Olsson, B.A. Comparison of measured (XRPD) and modeled (A2M) soil mineralogies: A study of some Swedish forest soils in the context of weathering rate predictions. Geoderma 2018, 310, 77–88. [Google Scholar] [CrossRef]
- Casetou-Gustafson, S.; Akselsson, C.; Hillier, S.; Olsson, B.A. The importance of mineral determinations to PROFILE base cation weathering release rates: A case study. Biogeosciences 2019, 16, 1903–1920. [Google Scholar] [CrossRef]
- Ouimet, R.; Duchesne, L. Base cation mineral weathering and total release rates from soils in three calibrated forest watersheds on the Canadian Boreal Shield. Can. J. Soil Sci. 2005, 85, 245–260. [Google Scholar] [CrossRef]
- Whitfield, C.J.; Watmough, S.A.; Aherne, J. Evaluation of elemental depletion weathering rate estimation methods on acid-sensitive soils of north-eastern Alberta, Canada. Geoderma 2011, 166, 189–197. [Google Scholar] [CrossRef]
- Watmough, S.A.; Aherne, J.; Alewell, C.; Arp, P.; Bailey, S.; Clair, T.; Dillon, P.; Duchesne, L.; Eimers, C.; Fernandez, I.; et al. Sulphate, Nitrogen and Base Cation Budgets at 21 Forested Catchments in Canada, the United States and Europe. Environ. Monit. Assess. 2005, 109, 1–36. [Google Scholar] [CrossRef]
- Warfvinge, P.; Sverdrup, H. Calculating critical loads of acid deposition with PROFILE ? A steady-state soil chemistry model. Water Air Soil Pollut. 1992, 63, 119–143. [Google Scholar] [CrossRef]
- Sverdrup, H.; Warfvinge, P. Calculating field weathering rates using a mechanistic geochemical model PROFILE. Appl. Geochem. 1993, 8, 273–283. [Google Scholar] [CrossRef]
- Koseva, I.S.; Watmough, S.A.; Aherne, J. Estimating base cation weathering rates in Canadian forest soils using a simple texture-based model. Biogeochemistry 2010, 101, 183–196. [Google Scholar] [CrossRef]
- Bish, D.L.; Post, J.E. Quantitative mineralogical analysis using the Rietveld full-pattern fitting method. Am. Mineral. 1993, 78, 932–940. [Google Scholar]
- Wagner, H.W.; Jung, D.; Wagner, J.-F.; Wagner, M.P. Slatecalculation—A Practical Tool for Deriving Norm Minerals in the Lowest-Grade Metamorphic Pelites and Roof Slates. Minerals 2020, 10, 395. [Google Scholar] [CrossRef]
- Grunsky, E.C. The interpretation of geochemical survey data. Geochem. Explor. Environ. Anal. 2010, 10, 27–74. [Google Scholar] [CrossRef]
- Cross, W.; Iddings, J.P.; Pirsson, L.V.; Washington, H.S. A Quantitative Chemico-Mineralogical Classification and Nomenclature of Igneous Rocks. J. Geol. 1902, 10, 555–690. [Google Scholar] [CrossRef]
- Cohen, D.; Ward, C. SEDNORM—A program to calculate a normative mineralogy for sedimentary rocks based on chemical analyses. Comput. Geosci. 1991, 17, 1235–1253. [Google Scholar] [CrossRef]
- Rosen, O.M.; Abbyasov, A.; Tipper, J.C. MINLITH—An experience-based algorithm for estimating the likely mineralogical compositions of sedimentary rocks from bulk chemical analyses. Comput. Geosci. 2004, 30, 647–661. [Google Scholar] [CrossRef]
- Herrmann, W.; Berry, R.F. MINSQ—A least squares spreadsheet method for calculating mineral proportions from whole rock major element analyses. Geochem. Explor. Environ. Anal. 2002, 2, 361–368. [Google Scholar] [CrossRef]
- Paktunc, A. MODAN: An interactive computer program for estimating mineral quantities based on bulk composition. Comput. Geosci. 1998, 24, 425–431. [Google Scholar] [CrossRef]
- Paktunc, A.D. MODAN—A computer program for estimating mineral quantities based on bulk composition: Windows version. Comput. Geosci. 2001, 27, 883–886. [Google Scholar] [CrossRef]
- Posch, M.; Kurz, D. A2M—A program to compute all possible mineral modes from geochemical analyses. Comput. Geosci. 2007, 33, 563–572. [Google Scholar] [CrossRef]
- Phillips, T.; Watmough, S.A. A nutrient budget for a selection harvest: Implications for long-term sustainability. Can. J. For. Res. 2012, 42, 2064–2077. [Google Scholar] [CrossRef]
- Stendahl, J.; Akselsson, C.; Melkerud, P.-A.; Belyazid, S. Pedon-scale silicate weathering: Comparison of the PROFILE model and the depletion method at 16 forest sites in Sweden. Geoderma 2013, 211–212, 65–74. [Google Scholar] [CrossRef]
- Yu, L.; Belyazid, S.; Akselsson, C.; van der Heijden, G.; Zanchi, G. Storm disturbances in a Swedish forest—A case study comparing monitoring and modelling. Ecol. Model. 2016, 320, 102–113. [Google Scholar] [CrossRef]
- Johnson, J.; Aherne, J.; Cummins, T. Base cation budgets under residue removal in temperate maritime plantation forests. For. Ecol. Manag. 2015, 343, 144–156. [Google Scholar] [CrossRef]
- Woodruff, L.G.; Cannon, W.F.; Eberl, D.D.; Smith, D.B.; Kilburn, J.E.; Horton, J.D.; Garrett, R.G.; Klassen, R.A. Continental-scale patterns in soil geochemistry and mineralogy: Results from two transects across the United States and Canada. Appl. Geochem. 2009, 24, 1369–1381. [Google Scholar] [CrossRef]
- Smith, D.B.; Cannon, W.F.; Woodruff, L.G.; Garrett, R.G.; Klassen, R.; Kilburn, J.E.; Horton, J.D.; King, H.D.; Goldhaber, M.B.; Morrison, J.M. Major- and Trace-Element Concentrations in Soils from Two Continental-Scale Transects of the United States and Canada; Open File 2005-1253; U.S Geological Survey: Reston, VA, USA, 2005. [CrossRef]
- Friske, P.W.B.; Ford, K.L.; McNeil, R.J.; Pronk, A.G.; Parkhill, M.A.; Goodwin, T.A. Soil Geochemical, Mineralogical, Radon and Gamma Ray Spectrometric Data from the 2007 North American Soil Geochemical Landscapes Project in New Brunswick, Nova Scotia and Prince Edward Island; Geological Survey of Canada, Open File 6433; Natural Resources Canada: Ottawa, ON, Canada, 2014. [CrossRef]
- Grunsky, E.C.; Drew, L.J.; Woodruff, L.G.; Friske, P.W.B.; Sutphin, D.M. Statistical variability of the geochemistry and mineralogy of soils in the Maritime Provinces of Canada and part of the Northeast United States. Geochem. Explor. Environ. Anal. 2013, 13, 249–266. [Google Scholar] [CrossRef]
- Whitfield, C.J.; Watmough, S.A. A regional approach for mineral soil weathering estimation and critical load assessment in boreal Saskatchewan, Canada. Sci. Total Environ. 2012, 437, 165–172. [Google Scholar] [CrossRef]
- Stott, G. A Regional Assessment of Soil Calcium Weathering Rates and the Factors that Influence Lake Calcium in the Muskoka River Catchment, Central Ontario. Master’s Thesis, Trent University, Peterborough, ON, Canada, 2015. [Google Scholar]
- ESSA Technologies Ltd. Sulphur Dioxide Technical Assessment Report in Support of the 2013 Application to Amend the P2-00001 Multimedia Permit for the Kitimat Modernization Project; Final Technical Report; Rio Tinto Alcan: Kitimat, BC, Canada, 2013; 450p. [Google Scholar]
- Houle, D.; Lamoureux, P.; Bélanger, N.; Bouchard, M.; Gagnon, C.; Couture, S.; Bouffard, A. Soil weathering rates in 21 catchments of the Canadian Shield. Hydrol. Earth Syst. Sci. 2012, 16, 685–697. [Google Scholar] [CrossRef]
- Friske, P.W.B.; Ford, K.L.; McNeil, R.J. Soil Geochemical, Radon and Gamma Ray Spectrometric Data from the 2008 and 2009 North American Soil Geochemical Landscapes Project Field Surveys; Geological Survey of Canada, Open File 7334; Natural Resources Canada: Ottawa, ON, Canada, 2013. [CrossRef]
- Garrett, R.; Kettles, I. North American Soil Geochemical Landscapes Project: Database of GRTS Sample Sites with Notes on the Sampling Design and Site Selection Procedure; Geological Survey of Canada, Open File 6300; Natural Resources Canada: Ottawa, ON, Canada, 2009. [CrossRef]
- De Vos, B.; Van Meirvenne, M.; Quataert, P.; Deckers, J.; Muys, B. Predictive Quality of Pedotransfer Functions for Estimating Bulk Density of Forest Soils. Soil Sci. Soc. Am. J. 2005, 69, 500–510. [Google Scholar] [CrossRef]
- Nievergelt, Y. Total Least Squares: State-of-the-Art Regression in Numerical Analysis. SIAM Rev. 1994, 36, 258–264. [Google Scholar] [CrossRef]
- Wright, D.M.; Potter, E.G. Regional Surface Rock Geochemistry, Athabasca Basin, Saskatchewan; Geological Survey of Canada, Open File 2014, 7614; Natural Resources Canada: Ottawa, ON, Canada, 2014; 33p. [CrossRef]
- Jeffrey, D.W. A Note on the use of Ignition Loss as a Means for the Approximate Estimation of Soil Bulk Density. J. Ecol. 1970, 58, 297. [Google Scholar] [CrossRef]
- Adams, W.A. The effect of organic matter on the bulk and true densities of some uncultivated podzolic soils. J. Soil Sci. 1973, 24, 10–17. [Google Scholar] [CrossRef]
- Harrison, A.F.; Bocock, K.L. Estimation of Soil Bulk-Density from Loss-on-Ignition Values. J. Appl. Ecol. 1981, 18, 919. [Google Scholar] [CrossRef]
- Warren, J.; Spiers, G. Soil Mineralogy. In Digging into Canadian Soils: An Introduction to Soil Science; Krzic, M., Walley, F.L., Diochon, A., Paré, M.C., Farrell, R.E., Eds.; Canadian Society of Soil Science: Pinawa, MB, Canada, 2021; pp. 463–517. Available online: https://openpress.usask.ca/soilscience/chapter/soil-health-and-management (accessed on 11 April 2023).
- Aldis, M.; Aherne, J. Exploratory Analysis of Geochemical Data and Inference of Soil Minerals at Sites Across Canada. Math. Geosci. 2021, 53, 1201–1221. [Google Scholar] [CrossRef]
Disclaimer/Publisher’s Note: The statements, opinions and data contained in all publications are solely those of the individual author(s) and contributor(s) and not of MDPI and/or the editor(s). MDPI and/or the editor(s) disclaim responsibility for any injury to people or property resulting from any ideas, methods, instructions or products referred to in the content. |
© 2023 by the authors. Licensee MDPI, Basel, Switzerland. This article is an open access article distributed under the terms and conditions of the Creative Commons Attribution (CC BY) license (https://creativecommons.org/licenses/by/4.0/).





