Particle Classification in the Enhanced Gravity Field Using the Knelson Concentrator
Abstract
:1. Introduction
2. Materials and Methods
2.1. Materials and Classification Apparatus
2.2. Classification Tests
2.3. Evaluation of Classification Performance
3. Results
3.1. Effect of Test Parameters on the Yield of Quartz Concentrate
3.2. Effect of Solid Mass Percentage on the Quartz Classification Performance
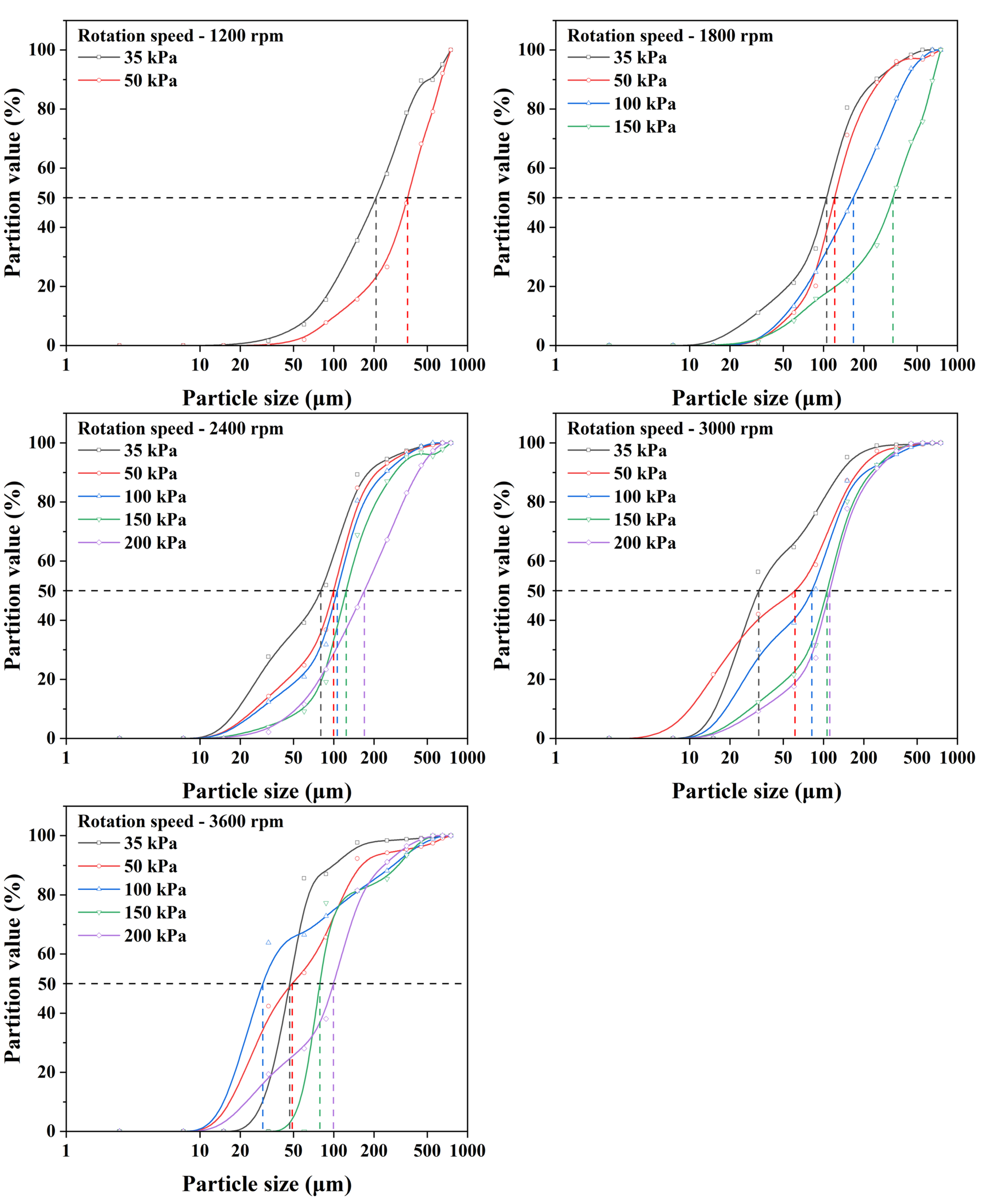
3.3. Effect of Rotation Speed on the Quartz Classification Performance
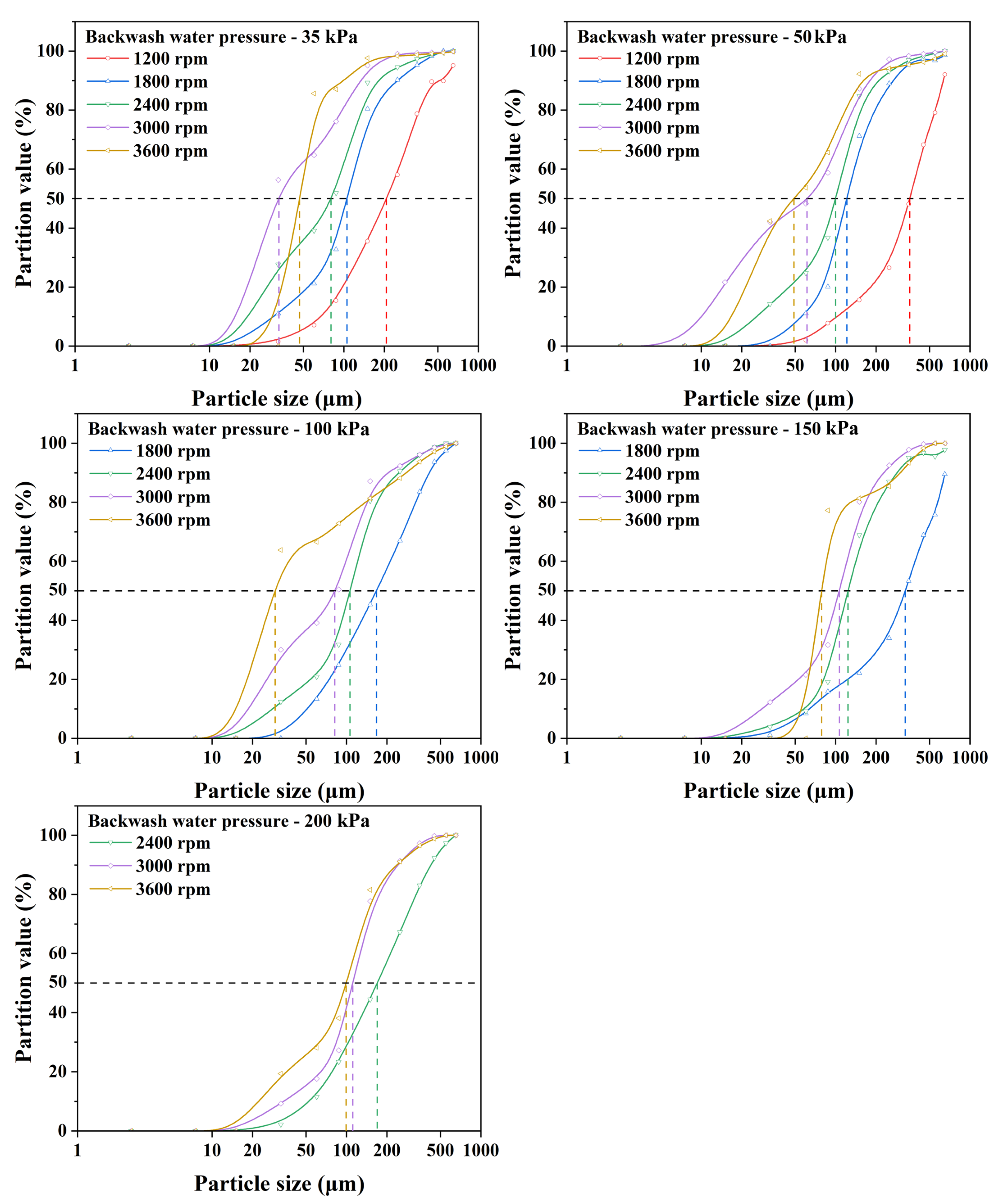
3.4. Effect of Backwash Water Pressure on the Quartz Classification Performance
3.5. The Evaluation of Quartz Classification Performance
3.6. The Classification Performance of Synthetic Ore
4. Conclusions
Author Contributions
Funding
Data Availability Statement
Conflicts of Interest
References
- Hennig, M.; Teipel, U. Grade efficiency for sieve classification processes. Can. J. Chem. Eng. 2018, 96, 259–264. [Google Scholar] [CrossRef]
- Patra, G.; Velpuri, B.; Chakraborty, S.; Meikap, B.C. Performance evaluation of a hydrocyclone with a spiral rib for separation of particles. Adv. Powder Technol. 2017, 28, 3222–3232. [Google Scholar] [CrossRef]
- Nunna, V.; Hapugoda, S.; Pownceby, M.I.; Sparrow, G.J. Application of a Floatex density separator for iron recovery from Pilbara iron ore plant rejects. Min. Proc. Ext. Met. Rev. 2022, 1–8. [Google Scholar] [CrossRef]
- Ozcan, O. Performance comparison of a hydrocyclone and crossflow separator-a plant study. Sep. Sci. Technol. 2020, 55, 799–810. [Google Scholar] [CrossRef]
- Zhekalov, N.N.; Bratchikov, V.G.; Ostrovskii, O.P.; Kalachnikova, T.A. Commercial use of hydraulic cyclones and spiral classifiers in systems for dewatering metallurgical sludges. Metallurgist 1987, 31, 236–237. [Google Scholar] [CrossRef]
- Mendoza Quiñonez, J.A.; Pinto, L.R.; Olenka Gómez, J. Rake classifier path as a function of the individual adjustment of its five calibration parameters. Univ. Cienc. Y Tecnol. 2016, 20, 148–165. [Google Scholar]
- Ye, J.; Xu, Y.; Song, X.; Yu, J. Novel conical section design for ultra-fine particles classification by a hydrocyclone. Chem. Eng. Res. Des. 2019, 144, 135–149. [Google Scholar] [CrossRef]
- Hu, Z.; Wang, B.; Bai, Z.; Lu, Z.; Hu, X.; Zhao, S.; Luo, H. Centrifugal classification of pseudo-boehmite by mini-hydrocyclone in continuous-carbonation preparation process. Chem. Eng. Res. Des. 2020, 154, 203–211. [Google Scholar] [CrossRef]
- Mehmet, E.C.; Irfan, K.; Atakan, A.; Ali, S. An experimental investigation into the particle classification capability of a novel cyclone separator. Sep. Purif. Technol. 2019, 209, 908–913. [Google Scholar]
- Neesse, T.; Dueck, J.; Minkov, L. Separation of finest particles in hydrocyclones. Miner. Eng. 2004, 17, 689–696. [Google Scholar] [CrossRef]
- Endres, E.; Dueck, J.; Neesse, T. Hydrocyclone classification of particles in the micron range. Miner. Eng. 2012, 31, 42–45. [Google Scholar] [CrossRef]
- Konrath, M.; Brenner, A.K.; Dillner, E.; Nirschl, H. Centrifugal classification of ultrafine particles: Influence of suspension properties and operating parameters on classification sharpness. Sep. Purif. Technol. 2015, 156, 61–70. [Google Scholar] [CrossRef]
- Vakamalla, T.R.; Koruprolu, K.B.R.; Arugonda, R.; Narasimha, M. Development of novel hydrocyclone designs for improved fines classification using multiphase CFD model. Sep. Purif. Technol. 2017, 175, 481–497. [Google Scholar] [CrossRef]
- Wills, B.A.; Finch, J.A. Wills’ Mineral Processing Technology: An Introduction to the Practical Aspects of Ore Treatment and Mineral Recovery, 8th ed.; Butterworth-Heinemann: Amsterdam, Netherlands, 2015; pp. 199–220. [Google Scholar]
- Nayak, A.; Jena, M.S.; Mandre, N.R. Application of Enhanced Gravity Separators for Fine Particle Processing: An Overview. J. Sustain. Metall. 2021, 7, 315–339. [Google Scholar] [CrossRef]
- Zhang, L.; Yang, F.; Tao, Y. Removal of unburned carbon from fly ash using enhanced gravity separation and the comparison with froth flotation. Fuel 2020, 259, 116282. [Google Scholar] [CrossRef]
- Zhu, X.; Tao, Y.; Sun, Q. Separation of flocculated ultrafine coal by enhanced gravity separator. Particul. Sci. Technol. 2017, 35, 393–399. [Google Scholar] [CrossRef]
- Chen, Q.; Yang, H.; Tong, L.; Niu, H.; Chen, G. Research and application of a knelson concentrator: A review. Miner. Eng. 2020, 152, 106339. [Google Scholar] [CrossRef]
- Marion, C.; Langlois, R.; Kokkilic, O.; Zhou, M.; Williams, H.; Awais, M.; Rowson, N.A.; Waters, K.E. A design of experiments investigation into the processing of fine low specific gravity minerals using a laboratory Knelson Concentrator. Miner. Eng. 2019, 135, 139–155. [Google Scholar] [CrossRef]
- Oediyani, S.; Triana, T.; Ifzan, I.; Mamby, H.E. Centrifugal Concentration of Mandailing Natal North Sumatera Gold Ores Using Knelson Concentrator. World Chem. Eng. J. 2021, 5, 44–49. [Google Scholar] [CrossRef]
- Katwika, C.N.; Kime, M.B.; Kalenga, P.N.M.; Mbuya, B.I.; Mwilen, T.R. Application of Knelson concentrator for beneficiation of copper-cobalt ore tailings. Min. Proc. Ext. Met. Rev. 2019, 40, 35–45. [Google Scholar] [CrossRef]
- Angadi, S.I.; Eswaraiah, C.; Jeon, H.S.; Mishra, B.K.; Miller, J.D. Selection of gravity separators for the beneficiation of the Uljin tin ore. Min. Proc. Ext. Met. Rev. 2017, 38, 54–61. [Google Scholar] [CrossRef]
- Dominy, S.C. Effects of sample mass on gravity recoverable gold test results in low-grade ores. Appl. Earth Sci. 2014, 123, 234–242. [Google Scholar] [CrossRef]
- Gul, A.; Kangal, O.; Ayhan, A.; Guven, S.; Onal, G. Beneficiation of the gold bearing ore by gravity and flotation. Int. J. Min. Met. Mater. 2012, 19, 106–110. [Google Scholar] [CrossRef]
- Ghaffari, A.; Farzanegan, A. An investigation on laboratory Knelson Concentrator separation performance: Part 1: Retained mass modelling. Miner. Eng. 2017, 112, 57–67. [Google Scholar] [CrossRef]
- Ghaffari, A.; Farzanegan, A. An investigation on laboratory Knelson Concentrator separation performance: Part 2: Two-component feed separation modelling. Miner. Eng. 2017, 112, 114–124. [Google Scholar] [CrossRef]
- Özgen, S.; Arsoy, Z.; Ersoy, B.; Çiftçi, H. Coal recovery from coal washing plant tailings with Knelson concentrator. Int. J. Coal Prep. Util. 2022, 42, 820–830. [Google Scholar] [CrossRef]
- Basnayaka, L.; Albijanic, B.; Subasinghe, N. Performance evaluation of processing clay-containing ore in Knelson concentrator. Miner. Eng. 2020, 152, 106372. [Google Scholar] [CrossRef]
- Burat, F.; Baştürkcü, H.; Özer, M. Gold and silver recovery from jewelry waste with combination of physical and physicochemical methods. Waste Manag. 2019, 89, 10–20. [Google Scholar] [CrossRef]
- Xiao, Z.; Laplante, A.R.; Finch, J.A. Quantifying the content of gravity recoverable platinum group minerals in ore samples. Miner. Eng. 2009, 22, 304–310. [Google Scholar] [CrossRef]
- Ghaffari, A.; Farzanegan, A. An investigation on laboratory Knelson Concentrator separation performance: Part 3: Multi-component feed separation modelling. Miner. Eng. 2018, 122, 185–194. [Google Scholar] [CrossRef]
- Chen, Q.; Yang, H.; Tong, L.; Lin, Y.; Ali, A. Ring-by-ring analysis and models of retained mass of quartz in a laboratory Knelson Concentrator. Miner. Eng. 2020, 149, 106236. [Google Scholar] [CrossRef]
- Doroodchi, E.; Zhou, J.; Fletcher, D.F.; Galvin, K.P. Particle size classification in a fluidized bed containing parallel inclined plates. Miner. Eng. 2006, 19, 162–171. [Google Scholar] [CrossRef]
- Frachon, M.; Cilliers, J.J. A general model for hydrocyclone partition curves. Chem. Eng. J. 1999, 73, 53–59. [Google Scholar] [CrossRef]
- Nguyentranlam, G.; Galvin, K.P. Particle classification in the reflux classifier. Miner. Eng. 2001, 14, 1081–1091. [Google Scholar] [CrossRef]
- Hou, D.; Zhao, Q.; Cui, B.; Wei, D.; Song, Z.; Feng, Y. Geometrical configuration of hydrocyclone for improving the separation performance. Adv. Powder Technol. 2022, 33, 103419. [Google Scholar] [CrossRef]
- Rasyid, M.A.; Jokovic, V.; Morrison, R. Classification performance of semi-inverted hydrocyclones. Miner. Eng. 2019, 142, 105889. [Google Scholar] [CrossRef]
- Kim, B.H.; Klima, M.S. Development and application of a dynamic model for hindered-settling column separations. Miner. Eng. 2004, 17, 403–410. [Google Scholar] [CrossRef]












| Size Range (μm) | Mass Proportion in Size Class (%) | |||
|---|---|---|---|---|
| Quartz | Magnetite | |||
| Individual | Cumulative | Individual | Cumulative | |
| −5 | 0 | 0 | 0 | 0 |
| −10 + 5 | 0 | 0 | 1.03 | 1.03 |
| −20 + 10 | 0.20 | 0.20 | 4.26 | 5.29 |
| −45 + 20 | 2.50 | 2.7 | 12.60 | 17.89 |
| −75 + 45 | 4.45 | 7.15 | 19.62 | 37.51 |
| −100 + 75 | 4.05 | 11.2 | 17.18 | 54.69 |
| −200 + 100 | 32.61 | 43.81 | 38.24 | 92.93 |
| −300 + 200 | 32.21 | 76.02 | 5.88 | 98.81 |
| −400 + 300 | 13.96 | 89.98 | 1.04 | 99.85 |
| −500 + 400 | 6.73 | 96.71 | 0.15 | 100 |
| +500 | 3.29 | 100 | 0 | 100 |
| Test Parameters | Value |
|---|---|
| Solid mass percentage/% | 9.09, 16.67, 23.08 |
| Rotation speed/rpm | 600, 1200, 1800, 2400, 3000, 3600 |
| Backwash water pressure/kPa | 35, 50, 100, 150, 200 |
| Solid Mass Percentage/% | d25 /μm | d50 /μm | d75 /μm | d90 /μm | I | SI | CE /% |
|---|---|---|---|---|---|---|---|
| 9.09 | 35 | 93 | 218 | 343 | 0.98 | 0.16 | 73.04 |
| 16.67 | 68 | 106 | 158 | 246 | 0.40 | 0.44 | 81.26 |
| 23.08 | 86 | 225 | 333 | 417 | 0.55 | 0.26 | 75.38 |
| Rotation Speed /rpm | d25 /μm | d50 /μm | d75 /μm | d90 /μm | I | SI | CE /% |
|---|---|---|---|---|---|---|---|
| 1200 | 220 | 355 | 509 | 633 | 0.41 | 0.43 | 81.30 |
| 1800 | 87 | 121 | 176 | 269 | 0.37 | 0.50 | 89.59 |
| 2400 | 57 | 100 | 141 | 210 | 0.42 | 0.41 | 78.54 |
| 3000 | 17 | 61 | 120 | 180 | 0.84 | 0.14 | 61.45 |
| 3600 | 24 | 49 | 105 | 161 | 0.84 | 0.22 | 76.84 |
| Backwash Water Pressure/kPa | d25 /μm | d50 /μm | d75 /μm | d90 /μm | I | SI | CE /% |
|---|---|---|---|---|---|---|---|
| 35 | 66 | 105 | 152 | 251 | 0.41 | 0.44 | 81.25 |
| 50 | 87 | 121 | 176 | 269 | 0.37 | 0.50 | 89.59 |
| 100 | 86 | 167 | 295 | 413 | 0.62 | 0.29 | 80.49 |
| 150 | 166 | 330 | 528 | 652 | 0.55 | 0.31 | 71.74 |
| Mineral Type | Device | Size Composition (Size Range, Yield) | Test Parameters | Cut Size d50 | Reference |
|---|---|---|---|---|---|
| Quartz | KC | −0.5 mm, 96.71% | Solid mass percentage, 16.67% Rotation speed, 1200 rpm Backwash water pressure, 50 kPa | 49 μm | This study |
| Quartz | Hydrocyclone | +0.15 mm, 6.52%−0.15 mm, 93.48% | CC type CB type CCC type MS type C type | 62 μm 95 μm 75 μm 76 μm 120 μm | Hou et al. [36] |
| Quartz | Hydrocyclone | −0.096 mm, 80% | Position/° and pressure/kPa 0 and 100135 and 120 | 57 ± 33 μm 94 ± 27 μm | Rasyid et al. [37] |
| Backwash Water Pressure/kPa | Rotation Speed /rpm | Mineral | d25 /μm | d50 /μm | d75 /μm | d90 /μm | I | SI | CE /% |
|---|---|---|---|---|---|---|---|---|---|
| 100 | 2400 | Quartz | 67 | 106 | 152 | 246 | 0.40 | 0.44 | 80.50 |
| Quartz in the synthetic ore | 32 | 54 | 370 | 582 | 3.11 | 0.09 | 60.44 | ||
| 150 | Quartz | 89 | 123 | 184 | 286 | 0.38 | 0.48 | 73.72 | |
| Quartz in the synthetic ore | 58 | 203 | 481 | 597 | 1.04 | 0.41 | 57.48 | ||
| 200 | Quartz | 90 | 169 | 295 | 424 | 0.61 | 0.31 | 64.34 | |
| Quartz in the synthetic ore | 102 | 264 | 461 | 540 | 0.68 | 0.30 | 62.50 |
| Backwash Water Pressure /kPa | Rotation Speed /rpm | d25 /μm | d50 /μm | d75 /μm | d90 /μm | I | SI | CE /% |
|---|---|---|---|---|---|---|---|---|
| 100 | 1800 | 27 | 55 | 106 | 261 | 0.72 | 0.25 | 46.64 |
| 2400 | 26 | 46 | 37 | 54 | 0.12 | 0.71 | 61.61 | |
| 3000 | 14 | 23 | - | - | - | - | 64.36 | |
| 3600 | 10 | 17 | 30 | 46 | 0.57 | 0.34 | 62.16 | |
| 150 | 1800 | 62 | 92 | 148 | 245 | 0.47 | 0.42 | 77.04 |
| 2400 | 27 | 45 | 68 | 100 | 0.45 | 0.40 | 70.35 | |
| 3000 | 15 | 24 | 39 | 58 | 0.50 | 0.39 | 64.42 | |
| 3600 | 15 | 24 | 39 | 57 | 0.50 | 0.38 | 63.53 | |
| 200 | 1800 | 51 | 80 | 110 | 185 | 0.37 | 0.47 | 87.46 |
| 2400 | 45 | 72 | 111 | 140 | 0.46 | 0.40 | 75.27 | |
| 3000 | 19 | 36 | 87 | 151 | 0.95 | 0.21 | 58.97 | |
| 3600 | 17 | 29 | 47 | 67 | 0.51 | 0.37 | 63.97 |
Disclaimer/Publisher’s Note: The statements, opinions and data contained in all publications are solely those of the individual author(s) and contributor(s) and not of MDPI and/or the editor(s). MDPI and/or the editor(s) disclaim responsibility for any injury to people or property resulting from any ideas, methods, instructions or products referred to in the content. |
© 2023 by the authors. Licensee MDPI, Basel, Switzerland. This article is an open access article distributed under the terms and conditions of the Creative Commons Attribution (CC BY) license (https://creativecommons.org/licenses/by/4.0/).
Share and Cite
Zhang, L.; Yang, L.; Zhao, Y.; Hou, H.; Zhang, Z.; Lin, J.; Bu, C.; Zheng, X.; Fu, D. Particle Classification in the Enhanced Gravity Field Using the Knelson Concentrator. Minerals 2023, 13, 1295. https://doi.org/10.3390/min13101295
Zhang L, Yang L, Zhao Y, Hou H, Zhang Z, Lin J, Bu C, Zheng X, Fu D. Particle Classification in the Enhanced Gravity Field Using the Knelson Concentrator. Minerals. 2023; 13(10):1295. https://doi.org/10.3390/min13101295
Chicago/Turabian StyleZhang, Ling, Lu Yang, Yan Zhao, Haochun Hou, Zeliang Zhang, Jun Lin, Caiyun Bu, Xinran Zheng, and Dong Fu. 2023. "Particle Classification in the Enhanced Gravity Field Using the Knelson Concentrator" Minerals 13, no. 10: 1295. https://doi.org/10.3390/min13101295
APA StyleZhang, L., Yang, L., Zhao, Y., Hou, H., Zhang, Z., Lin, J., Bu, C., Zheng, X., & Fu, D. (2023). Particle Classification in the Enhanced Gravity Field Using the Knelson Concentrator. Minerals, 13(10), 1295. https://doi.org/10.3390/min13101295
