Analysis of Strength and Microstructural Characteristics of Mine Backfills Containing Fly Ash and Desulfurized Gypsum
Abstract
1. Introduction
2. Materials and Methods
2.1. Materials
2.1.1. Characteristics of FA and DG
2.1.2. Binder and Water
2.2. Specimens Preparation and Curing Conditions
2.3. Uniaxial Compressive Tests
2.4. Principle of Energy Dissipation
2.5. Scanning Electron Microscopy Analysis
3. Results and Discussion
3.1. Effect of FA/DG Ratio on the UCS
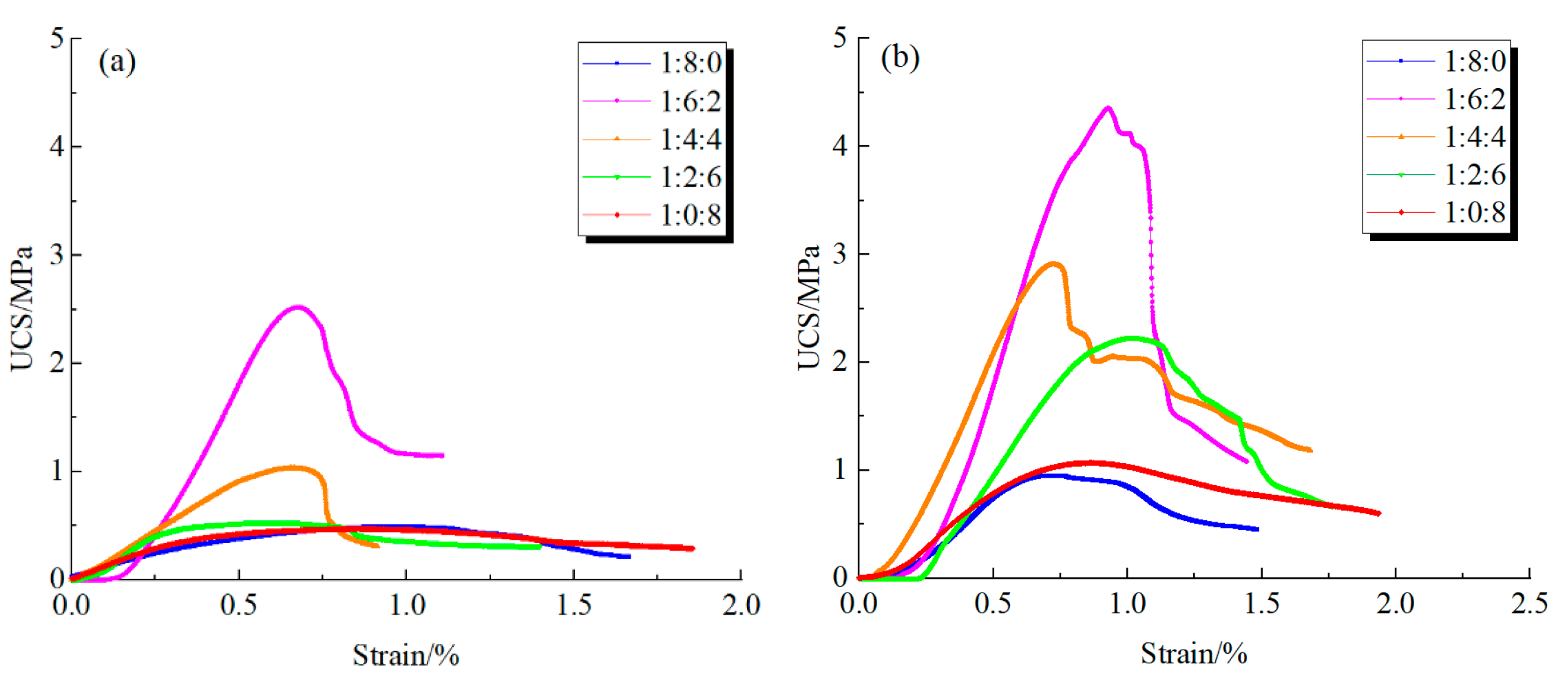
3.2. Effect of FA/DG Ratio on Stress–Strain Relation
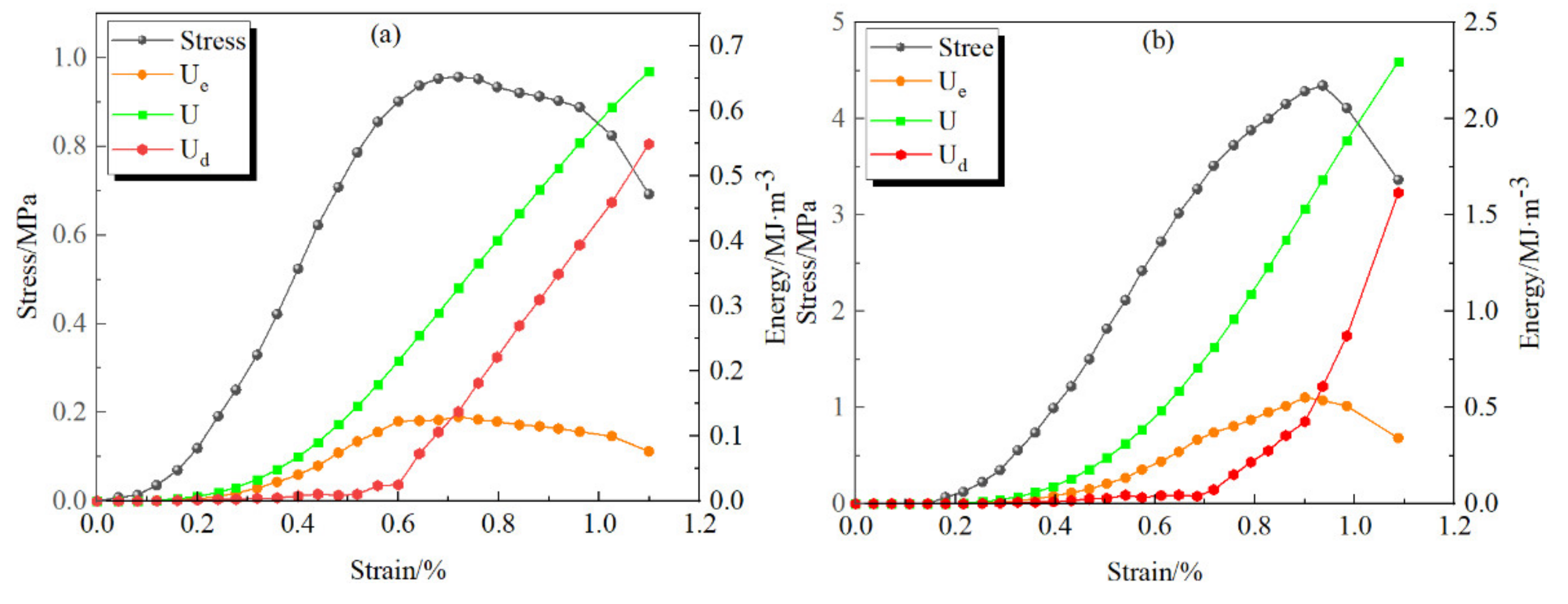
3.3. Energy Dissipation Analysis
3.4. The Failure Modes of BMs
3.5. Microstructural Characteristics Analysis
4. Conclusions
- (1)
- The UCS results shown that the ideal backfill mix (OPC:FA:DG/1:6:2) provided a strength gain of 2.49 and 4.20 MPa for a curing time of 7 and 14 days, respectively.
- (2)
- The mean strengths of mine fills steadily decreased with increasing DG content. The obtained strengths meet the criteria required for the cut and fill mining system.
- (3)
- The total input energy and elastic strain energy showed a nonlinear growth trend with increasing loads. The elastic strain energy increased first and then decreased.
- (4)
- The dissipative energy grew gradually before samples failed. The elastic energy values accumulated in samples were suddenly released and converted into dissipative energy when samples were closed to failure.
- (5)
- A typical backfill failure mode was tensile along the loading direction and shear cracks. Samples showed obvious brittleness corresponding to their stress–strain curves.
- (6)
- Hydration products including calcium silicate hydrate on the surface of the ideal backfill mix were denser and had less porosity, which verified the high UCS value.
Author Contributions
Funding
Data Availability Statement
Conflicts of Interest
References
- Zhang, W.; Zhang, Y.; Gong, J.; Yang, B.; Zhang, Z.; Wang, B.; Zhu, C.; Shi, J.; Yue, K. Comparison of the suitability of plant species for greenbelt construction based on particulate matter capture capacity, air pollution tolerance index, and antioxidant system. Environ. Pollut. 2020, 263, 114615. [Google Scholar] [CrossRef]
- Pattanaik, A.; Mukherjee, M.; Mishra, S.; Mukharjee, M. Influence of curing condition on thermo-mechanical properties of fly ash reinforced epoxy composite. Compos. Part B Eng. 2019, 176. [Google Scholar] [CrossRef]
- Xue, G.; Yilmaz, E.; Song, W.; Cao, S. Analysis of internal structure behavior of fiber reinforced cement-tailings matrix composites through X-ray computed tomography. Compos. Part B Eng. 2019, 175, 107091. [Google Scholar] [CrossRef]
- Wang, D.-L.; Zhang, Q.-L.; Chen, Q.-S.; Qi, C.-C.; Feng, Y.; Xiao, C.-C. Temperature variation characteristics in flocculation settlement of tailings and its mechanism. Int. J. Miner. Met. Mater. 2020, 27, 1438–1448. [Google Scholar] [CrossRef]
- Zhao, Y.; Taheri, A.; Karakus, M.; Chen, Z.; Deng, A. Effects of water content, water type and temperature on the rheological behaviour of slag-cement and fly ash-cement paste backfill. Int. J. Min. Sci. Technol. 2020, 30, 271–278. [Google Scholar] [CrossRef]
- Cao, S.; Yilmaz, E.; Yin, Z.; Xue, G.; Song, W.; Sun, L. CT scanning of internal crack mechanism and strength behavior of cement-fiber-tailings matrix composites. Cem. Concr. Compos. 2021, 116, 103865. [Google Scholar] [CrossRef]
- Wang, X.L.; Li, Q.Y.; Chen, S.C.; Yue, G.B. Application research and prospect of industrial waste in new building materials. Bull. Chin. Ceram. Soc. 2019, 38, 3456–3464. [Google Scholar]
- Yilmaz, E.; Belem, T.; Benzaazoua, M.; Kesimal, A.; Ercikdi, B.; Cihangir, F. Use of high-density paste backfill for safe disposal of copper/zinc mine tailings. Miner. Resour. Manag. 2011, 27, 81–94. [Google Scholar]
- Glosser, D.; Suraneni, P.; Isgor, O.B.; Weiss, W.J. Using glass content to determine the reactivity of fly ash for thermodynamic calculations. Cem. Concr. Compos. 2021, 115, 103849. [Google Scholar] [CrossRef]
- Hansen, S.; Sadeghian, P. Recycled gypsum powder from waste drywalls combined with fly ash for partial cement replacement in concrete. J. Clean. Prod. 2020, 274, 122785. [Google Scholar] [CrossRef]
- Jia, R.; Wang, Q.; Feng, P. A comprehensive overview of fibre-reinforced gypsum-based composites (FRGCs) in the construction field. Compos. Part B Eng. 2021, 205, 108540. [Google Scholar] [CrossRef]
- Thymotie, A.; Chang, T.-P.; Nguyen, H.-A. Improving properties of high-volume fly ash cement paste blended with β-hemihydrate from flue gas desulfurization gypsum. Constr. Build. Mater. 2020, 261, 120494. [Google Scholar] [CrossRef]
- Li, Y.; Liu, X.; Li, Z.; Ren, Y.; Wang, Y.; Zhang, W. Preparation, characterization and application of red mud, fly ash and desulfurized gypsum based eco-friendly road base materials. J. Clean. Prod. 2021, 284, 124777. [Google Scholar] [CrossRef]
- Yan, B.; Lai, X.; Jia, H.; Yilmaz, E.; Hou, C. A Solution to the Time-Dependent Stress Distribution in Suborbicular Backfilled Stope Interaction with Creeping Rock. Adv. Civ. Eng. 2021, 2021, 5533980. [Google Scholar] [CrossRef]
- Fořt, J.; Šál, J.; Ševčík, R.; Doleželováa, M.; Keppert, M.; Jerman, M.; Záleská, M.; Stehel, V.; Černýa, R. Biomass fly ash as an alternative to coal fly ash in blended cements: Functional aspects. Constr. Build. Mater. 2020, 271, 121544. [Google Scholar] [CrossRef]
- Gu, K.; Chen, B. Research on the incorporation of untreated flue gas desulfurization gypsum into magnesium oxysulfate cement. J. Clean. Prod. 2020, 271, 122497. [Google Scholar] [CrossRef]
- Fu, B.; Liu, G.; Mian, M.; Sun, M.; Wu, D. Characteristics and speciation of heavy metals in fly ash and FGD gypsum from Chinese coal-fired power plants. Fuel 2019, 251, 593–602. [Google Scholar] [CrossRef]
- Cavusoglu, I.; Yilmaz, E.; Yilmaz, A.O. Sodium silicate effect on setting properties, strength behavior and microstructure of cemented coal fly ash backfill. Powder Technol. 2021, 384, 17–28. [Google Scholar] [CrossRef]
- Wang, T.; Wu, K.; Wu, M. Development of green binder systems based on flue gas desulfurization gypsum and fly ash incorporating slag or steel slag powders. Constr. Build. Mater. 2020, 265, 120275. [Google Scholar] [CrossRef]
- Yang, L.; Jing, M.; Lu, L.; Zhu, X.; Zhao, P.; Chen, M.; Li, L.; Liu, J. Effects of modified materials prepared from wastes on the performance of flue gas desulfurization gypsum-based composite wall materials. Constr. Build. Mater. 2020, 257, 119519. [Google Scholar] [CrossRef]
- Neto, H.F.D.S.; Pereira, W.V.D.S.; Dias, Y.N.; de Souza, E.S.; Teixeira, R.A.; de Lima, M.W.; Ramos, S.J.; Amarante, C.B.D.; Fernandes, A.R. Environmental and human health risks of arsenic in gold mining areas in the eastern Amazon. Environ. Pollut. 2020, 265, 114969. [Google Scholar] [CrossRef]
- Li, J.; Yilmaz, E.; Cao, S. Influence of Solid Content, Cement/Tailings Ratio, and Curing Time on Rheology and Strength of Cemented Tailings Backfill. Minerals 2020, 10, 922. [Google Scholar] [CrossRef]
- Gao, S.; Cui, X.; Kang, S.; Ding, Y. Sustainable applications for utilizing molybdenum tailings in concrete. J. Clean. Prod. 2020, 266, 122020. [Google Scholar] [CrossRef]
- Cao, S.; Xue, G.; Song, W.; Teng, Q. Strain rate effect on dynamic mechanical properties and microstructure of cemented tailings composites. Constr. Build. Mater. 2020, 247, 118537. [Google Scholar] [CrossRef]
- Cao, S.; Xue, G.; Yilmaz, E.; Yin, Z.; Yang, F. Utilizing concrete pillars as an environmental mining practice in underground mines. J. Clean. Prod. 2021, 278, 123433. [Google Scholar] [CrossRef]
- Xue, G.; Yilmaz, E.; Feng, G.; Cao, S.; Sun, L. Reinforcement effect of polypropylene fiber on dynamic properties of cemented tailings backfill under SHPB impact loading. Constr. Build. Mater. 2021, 279, 122417. [Google Scholar] [CrossRef]
- Xue, G.; Yilmaz, E.; Song, W.; Cao, S. Fiber length effect on strength properties of polypropylene fiber reinforced cemented tailings backfill specimens with different sizes. Constr. Build. Mater. 2020, 241, 118113. [Google Scholar] [CrossRef]
- Cao, S.; Zheng, D.; Yilmaz, E.; Yin, Z.; Xue, G.; Yang, F. Strength development and microstructure characteristics of artificial concrete pillar considering fiber type and content effects. Constr. Build. Mater. 2020, 256, 119408. [Google Scholar] [CrossRef]
- Chen, Q.; Sun, S.; Liu, Y.; Qi, C.; Zhou, H.; Zhang, Q. Experimental and numerical study on immobilization and leaching characteristics of fluoride from phosphogypsum based cemented paste backfill. Int. J. Miner. Metall. Mater. 2021, in press. [Google Scholar] [CrossRef]
- Jiang, H.; Yi, H.; Yilmaz, E.; Liu, S.; Qiu, J. Ultrasonic evaluation of strength properties of cemented paste backfill: Effects of mineral admixture and curing temperature. Ultrasonics 2020, 100, 105983. [Google Scholar] [CrossRef]
- Marieta, C.; Guerrero, A.; Leon, I. Municipal solid waste incineration fly ash to produce eco-friendly binders for sustainable building construction. Waste Manag. 2021, 120, 114–124. [Google Scholar] [CrossRef]
- Cao, S.; Xue, G.; Yilmaz, E. Flexural Behavior of Fiber Reinforced Cemented Tailings Backfill under Three-Point Bending. IEEE Access 2019, 7, 139317–139328. [Google Scholar] [CrossRef]
- Wansom, S.; Chintasongkro, P.; Srijampan, W. Water resistant blended cements containing flue-gas desulfurization gypsum, Portland cement and fly ash for structural applications. Cem. Concr. Compos. 2019, 103, 134–148. [Google Scholar] [CrossRef]
- Navarrete, I.; Vargas, F.; Martinez, P.; Paul, A.; Lopez, M. Flue gas desulfurization (FGD) fly ash as a sustainable, safe alternative for cement-based materials. J. Clean. Prod. 2021, 283, 124646. [Google Scholar] [CrossRef]
- Li, J.; Zhang, S.; Wang, Q.; Ni, W.; Li, K.; Fu, P.; Hu, W.; Li, Z. Feasibility of using fly ash–slag-based binder for mine backfilling and its associated leaching risks. J. Hazard. Mater. 2020, 400, 123191. [Google Scholar] [CrossRef] [PubMed]
- Liu, C.; Wang, F.; Zhang, M. Modelling of 3D microstructure and effective diffusivity of fly ash blended cement paste. Cem. Concr. Compos. 2020, 110, 103586. [Google Scholar] [CrossRef]
- Yilmaz, E.; Belem, T.; Benzaazoua, M. Specimen size effect on strength behavior of cemented paste backfills subjected to different placement conditions. Eng. Geol. 2015, 185, 52–62. [Google Scholar] [CrossRef]
- Li, P.; Cai, M.F.; Wang, P.T.; Guo, Q.F.; Miao, S.J.; Ren, F.H. Mechanical properties and energy evolution of jointed rock specimens containing an opening under uniaxial loading. Int. J. Miner. Metall. Mater. 2020. [Google Scholar] [CrossRef]
- Cao, S.; Yilmaz, E.; Song, W.; Xue, G. Assessment of Acoustic Emission and Triaxial Mechanical Properties of Rock-Cemented Tailings Matrix Composites. Adv. Mater. Sci. Eng. 2019, 2019, 6742392. [Google Scholar] [CrossRef]
- Han, Z.Y.; Li, D.Y.; Zhu, Q.Q.; Liu, M.; Li, X.B. Uniaxial compression failure and energy dissipation of marble specimens with flaws at the end surface. Chin. J. Eng. 2020, 12, 1–10. [Google Scholar]
- Hefni, M.; Hassani, F. Experimental development of a novel mine backfill material: Foam mine fill. Minerals 2020, 10, 564. [Google Scholar] [CrossRef]
- Cao, S.; Yilmaz, E.; Song, W. Evaluation of viscosity, strength and microstructural properties of cemented tailings backfill. Minerals 2018, 8, 352. [Google Scholar] [CrossRef]

















| Materials | D10 (μm) | D25 (μm) | D50 (μm) | D75 (μm) | D90 (μm) | Specific Surface Area (m2/kg) |
|---|---|---|---|---|---|---|
| FA | 2.766 | 8.067 | 46.324 | 163.687 | 499.833 | 737.135 |
| DG | 7.431 | 24.241 | 44.355 | 127.431 | 417.263 | 353.377 |
| Chemical Composition | SiO2 | Fe2O3 | Al2O3 | MgO | CaO | SO3 | K2O |
|---|---|---|---|---|---|---|---|
| content (%) | 20.1 | 2.91 | 5.11 | 1.57 | 61.8 | 1.98 | 0.37 |
| No. | OPC (wt. %) | FA (wt. %) | DG (wt. %) | Water (wt. %) |
|---|---|---|---|---|
| F-8-D-0 | 7.8 | 62.2 | 0.00 | 30 |
| F-6-D-2 | 7.8 | 46.7 | 15.5 | 30 |
| F-4-D-4 | 7.8 | 31.1 | 31.1 | 30 |
| F-2-D-6 | 7.8 | 15.5 | 46.7 | 30 |
| F-0-D-8 | 7.8 | 0.00 | 62.2 | 30 |
| Test No. | UCS (MPa) | Test No. | UCS (MPa) | Test No. | UCS (MPa) |
|---|---|---|---|---|---|
| Curing Times: 7 days | |||||
| F-8-D-0-1 | 0.50 | F-6-D-2-1 | 2.52 | F-4-D-4-1 | 1.03 |
| F-8-D-0-2 | 0.55 | F-6-D-2-2 | / | F-4-D-4-2 | 1.00 |
| F-8-D-0-3 | 0.54 | F-6-D-2-3 | 2.45 | F-4-D-4-3 | 1.02 |
| Average: | 0.53 | Average: | 2.49 | Average: | 1.02 |
| F-2-D-6-1 | 0.53 | F-0-D-8-1 | 0.47 | ||
| F-2-D-6-2 | 0.60 | F-0-D-8-2 | 0.38 | ||
| F-2-D-6-3 | 0.50 | F-0-D-8-3 | 0.44 | ||
| Average: | 0.54 | Average: | 0.43 | ||
| Curing Times: 14 days | |||||
| F-8-D-0-1 | 0.96 | F-6-D-2-1 | 4.35 | F-4-D-4-1 | 3.34 |
| F-8-D-0-2 | 0.83 | F-6-D-2-2 | / | F-4-D-4-2 | 3.04 |
| F-8-D-0-3 | 1.00 | F-6-D-2-3 | 4.06 | F-4-D-4-3 | 2.91 |
| Average: | 0.93 | Average: | 4.20 | Average: | 3.10 |
| F-2-D-6-1 | 2.23 | F-0-D-8-1 | 1.07 | ||
| F-2-D-6-2 | 2.18 | F-0-D-8-2 | 1.11 | ||
| F-2-D-6-3 | 2.34 | F-0-D-8-3 | 0.91 | ||
| Average: | 2.25 | Average: | 1.03 | ||
Publisher’s Note: MDPI stays neutral with regard to jurisdictional claims in published maps and institutional affiliations. |
© 2021 by the authors. Licensee MDPI, Basel, Switzerland. This article is an open access article distributed under the terms and conditions of the Creative Commons Attribution (CC BY) license (https://creativecommons.org/licenses/by/4.0/).
Share and Cite
Huang, Z.; Yilmaz, E.; Cao, S. Analysis of Strength and Microstructural Characteristics of Mine Backfills Containing Fly Ash and Desulfurized Gypsum. Minerals 2021, 11, 409. https://doi.org/10.3390/min11040409
Huang Z, Yilmaz E, Cao S. Analysis of Strength and Microstructural Characteristics of Mine Backfills Containing Fly Ash and Desulfurized Gypsum. Minerals. 2021; 11(4):409. https://doi.org/10.3390/min11040409
Chicago/Turabian StyleHuang, Zhiqiang, Erol Yilmaz, and Shuai Cao. 2021. "Analysis of Strength and Microstructural Characteristics of Mine Backfills Containing Fly Ash and Desulfurized Gypsum" Minerals 11, no. 4: 409. https://doi.org/10.3390/min11040409
APA StyleHuang, Z., Yilmaz, E., & Cao, S. (2021). Analysis of Strength and Microstructural Characteristics of Mine Backfills Containing Fly Ash and Desulfurized Gypsum. Minerals, 11(4), 409. https://doi.org/10.3390/min11040409

