Study on the Effect and Mechanism of Impurity Aluminum on the Solvent Extraction of Rare Earth Elements (Nd, Pr, La) by P204-P350 in Chloride Solution
Abstract
:1. Introduction
2. Experiment
2.1. Experimental Instruments and Reagents
2.2. Experimental Methods
2.3. Experimental Calculation
3. Results and Discussion
3.1. Form of Aluminum Ion and Lanthanum Ion in Aqueous Solution
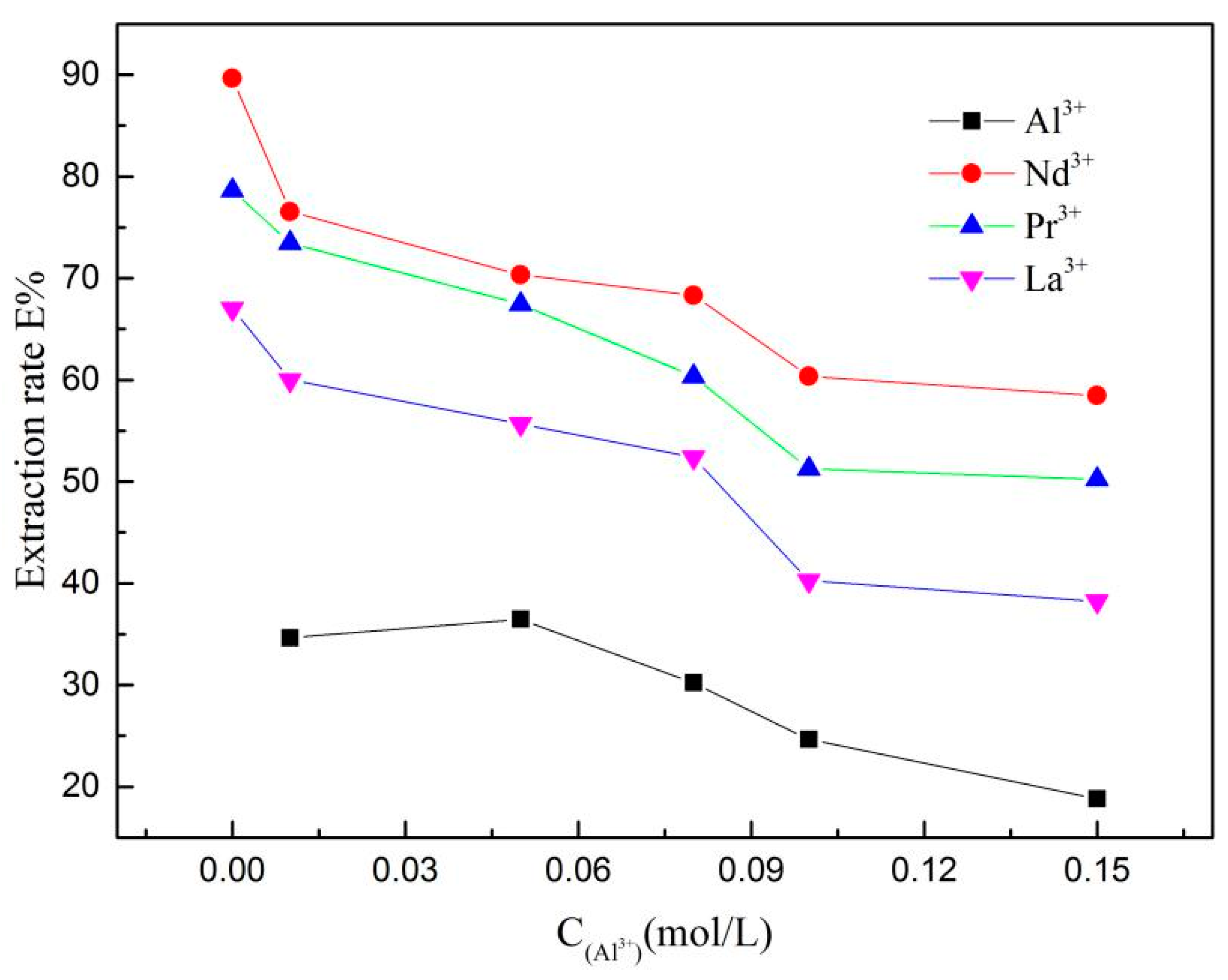
3.2. Effect of Aluminum Ion Concentration
3.3. Stripping of Aluminum Ion in the Loaded Organic Phase
3.4. Effect of Aluminum Ion on Rare Earth Extraction
3.5. Effect of Aluminum Ion on Rare Earth Stripping
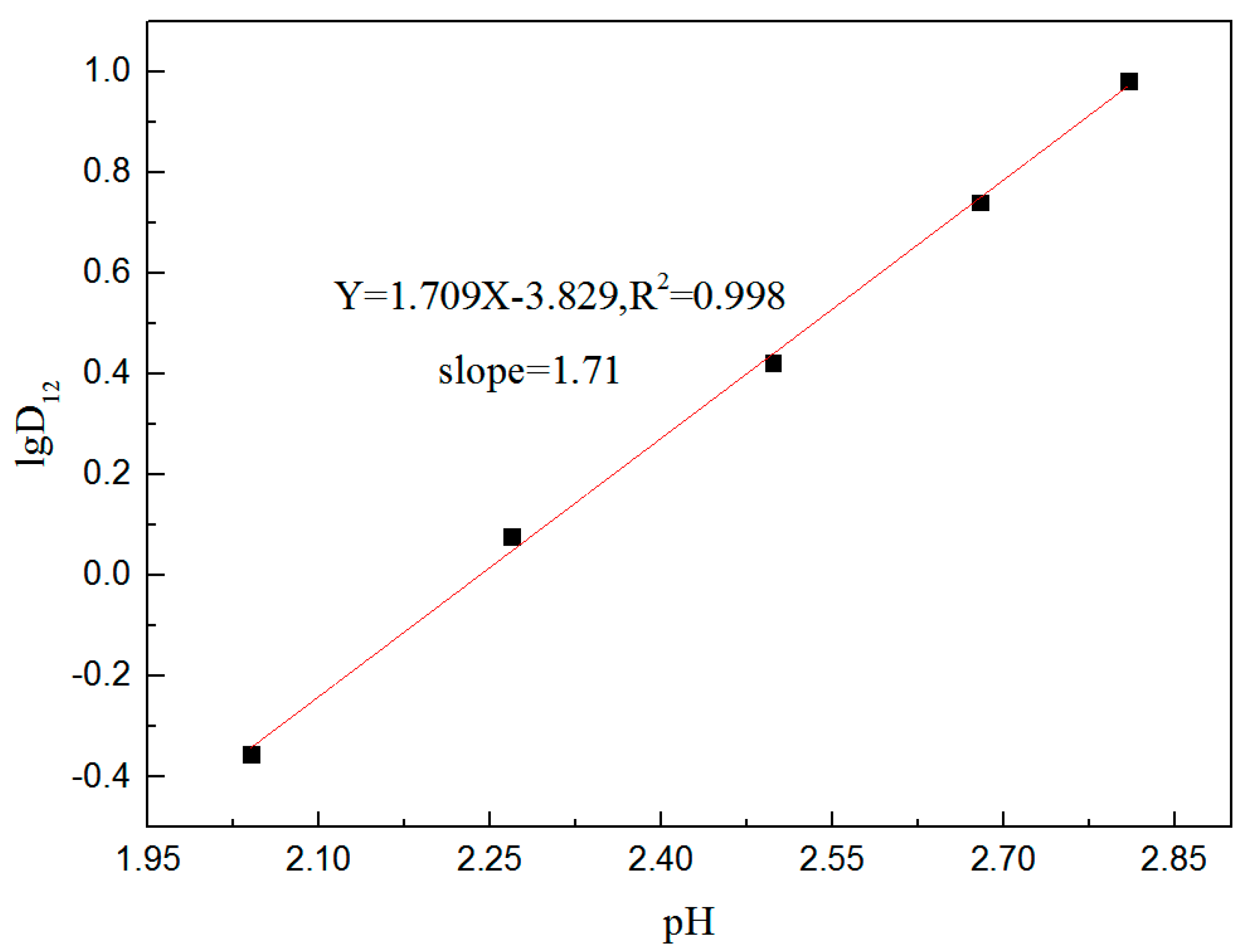
3.6. Aluminum Ion Extraction Mechanism
3.7. Infrared Spectrum Analysis
3.8. Structure Formula of Extraction Compound
4. Conclusions
- Aluminum ions in the feed liquid will compete with light rare earths, and with the increased concentration of aluminum ions, the greater the inhibition of the rare earth extraction rate.
- At an aluminum ion concentration in the solution of 0.15 mol/L, the extraction rates of the light rare earths were ENd3+ = 58%, EPr3+ = 50%, and ELa3+ = 40%.
- The effect of Al3+ in the P204-P350 system on the stripping by HCl, HNO3, and H2SO4 was also investigated, and the stripping effect was in a decreasing order of HCl, then HNO3, followed by H2SO4. At a concentration of hydrochloric acid of 2 mol/L, the back-extraction rate of Al reached the maximum value of 58%. The presence of impurity aluminum also has a significant impact on the back-extraction of light rare earths.
- Al3+ combined with P-O-H in the extractant P204 and P=O in P350 to form a complex, and finally entered the organic phase with the structure of AlCl[(HA)2]2P350(o).
Author Contributions
Funding
Institutional Review Board Statement
Informed Consent Statement
Data Availability Statement
Conflicts of Interest
References
- Linda, O.; Satu, P.; Esa-Matti, T.; Paula, S.; Kati, O.; Riitta, L.K. Recycling and substitution of light rare earth elements, cerium, lanthanum, neodymium, and praseodymium from end-of-life applications-A review. J. Clean. Prod. 2018, 236, 117573. [Google Scholar]
- Jia, S.; Guo, X.G.; Gao, Y.; Wu, S.; Xu, R.G.; Sun, X.Q. Recovery of thorium and rare earths from leachate of ion-absorbed rare earth radioactive residues with N1923 and Cyanex572. J. Rare Earths 2020, 9, 13. [Google Scholar]
- Zhao, H.Y.; Xia, J.L.; Yin, D.D.; Luo, M.; Yan, C.H.; Du, Y.P. Rare earth incorporated electrode materials for advanced energy storage. Coordin. Chem. Rev. 2019, 390, 32. [Google Scholar] [CrossRef]
- Liu, J.; Wu, X.H.; Huang, K.; Liu, W.Q.; Zhao, Z.M.; Liu, H.Z. Instability behavior of bubble supported organic liquid membrane in extraction of low-concentration rare earths from in-situ leaching solutions of ion-adsorption ores. Miner. Eng. 2020, 159, 106645. [Google Scholar] [CrossRef]
- Vipin, K.S.; Vinod, K.; Ravinder, S.J. Investigation of rare earth particulate on tribological and mechanical properties of Al-6061 alloy composites for aerospace application. J. Mater. Res. Technol. 2019, 8, 3504. [Google Scholar]
- Ni, S.N.; Chen, Q.W.; Gao, Y.; Guo, X.G.; Sun, X.Q. Recovery of rare earths from industrial wastewater using extraction-precipitation strategy for resource and environmental concerns. Miner. Eng. 2020, 151, 106315. [Google Scholar] [CrossRef]
- Nagaphani, K.B.; Zheng, L.; Bram, V.; Koen, B. Structural effects of neutral organophosphorus extractants on solvent extraction of rare-earth elements from aqueous and non-aqueous nitrate solutions. Sep. Purif. Technol. 2021, 225, 117711. [Google Scholar]
- Chen, L.; Li, H.L.; Chen, J.; Li, D.Q.; Liu, T.C. Separation of heavy rare earths by di-(2-ethylhexyl) phosphinic acid: From fundamentals to cascade extraction simulation. Miner. Eng. 2020, 149, 106232. [Google Scholar] [CrossRef]
- He, Y.; Guo, S.H.; Chen, K.H.; Zhang, L.B.; Li, S.W.; Yin, S.H. Application of microchemical technology in mass transfer behavior contrastive research of rare earth extraction. Microchem. J. 2019, 150, 104180. [Google Scholar] [CrossRef]
- Wei, H.Q.; Li, Y.L.; Zhang, Z.F.; Liao, W.P. Synergistic solvent extraction of heavy rare earths from chloride media using mixture of HEHHAP and Cyanex272. Hydrometallurgy 2020, 191, 105240. [Google Scholar] [CrossRef]
- Na, S.; Kun, H. Separation of rare earths using solvent extraction consisting of three phases. Hydrometallurgy 2019, 188, 112. [Google Scholar]
- Wei, H.Q.; Li, Y.L.; Kuang, S.T.; Zhang, Z.F.; Liao, W.P. Separation of trivalent rare earths from chloride medium using solvent extraction with heptylaminomethyl phosphonic acid 2-ethylhexyl ester (HEHHAP). Hydrometallurgy 2019, 188, 14. [Google Scholar] [CrossRef]
- Judgea, W.D.; Azimi, G. Recent progress in impurity removal during rare earth element processing: A review. Hydrometallurgy 2020, 196, 105435. [Google Scholar] [CrossRef]
- Liu, T.C.; Chen, J.; Li, H.L.; Li, K.; Li, D.Q. Further improvement for separation of heavy rare earths by mixtures of acidic organophosphorus extractants. Hydrometallurgy 2019, 188, 73. [Google Scholar] [CrossRef]
- Lou, Z.; Xiao, X.; Huang, M.; Wang, Y.; Xing, Z.; Xiong, Y. Acrylic acid functionalized metal-organic frameworks (MOFs) for Sc(III) selective adsorption. ACS Appl. Mater. Interfaces 2019, 11. [Google Scholar] [CrossRef]
- Wang, Y.; Zhang, Y.M.; Huang, J.; Liu, T.; Li, W.; Zhang, G.B. Cause of Emulsion during Vanadium Extraction with P204 from Stone Coal Acid Leaching Solution. Nonferr. Metals (Extr. Metall.) 2013, 11, 25. [Google Scholar]
- Shinozaki, T.; Ogata, T.; Kakinuma, R.; Narita, H.; Tokoro, C.; Tanaka, M. Preparation of polymeric adsorbents bearing diglycolamic acid ligands for rare earth elements. Ind. Eng. Chem. Res. 2018, 57, 11424. [Google Scholar] [CrossRef]
- Ye, Q.; Li, G.; Deng, B.; Luo, J.; Rao, M.; Peng, Z.; Zhang, Y.; Jiang, T. Solvent extraction behavior of metal ions and selective separation Sc3+ in phosphoric acid medium using P204. Sep. Purif. Technol. 2019, 209, 175. [Google Scholar] [CrossRef]
- Ruberlan, G.S.; Carlos, A.M.; Leandro, V.T.; Éder, D.O. Selective removal of impurities from rare earth sulphuric liquor using different reagents. Miner. Eng. 2018, 127, 238. [Google Scholar]
- Wang, Y.D.; Li, J.H.; Gao, Y.; Yang, Y.; Xu, Z.F. Removal of aluminum from rare-earth leaching solutions via a complexation-precipitation process. Hydrometallurgy 2020, 191, 105220. [Google Scholar] [CrossRef]
- Peng, F.Z.; Liu, Z.F.; Zhang, S.L.; Liu, Y.; Chen, S.L.; Li, M.L. Emulsion during Rare Earth Extraction-Separation ProcessⅠ-Emulsion Caused by Accumulation of Inorganic Impurities. Chin. J. Rare Metals 2007, 4, 547. [Google Scholar]
- Cánovas, C.R.; Chapron, S.; Arrachart, G.; Rostaing, P.S. Leaching of rare earth elements (REEs) and impurities from phosphogypsum: A preliminary insight for further recovery of critical raw materials. J. Clean. Prod. 2019, 219, 225. [Google Scholar] [CrossRef]
- Qiu, T.S.; Fang, X.H.; Wu, H.Q.; Zeng, Q.H.; Zhu, D.M. Leaching behaviors of iron and aluminum elements of ion-absorbed-rare-earth ore with a new impurity depressant. Trans. Nonferr. Metals Soc. China 2014, 24, 2986. [Google Scholar] [CrossRef]
- Abhishek, L.; Animesh, J. Selective separation of rare earths and impurities from ilmenite ore by addition of K+ and Al3+ ions. Hydrometallurgy 2009, 95, 254. [Google Scholar]
- Ning, Y.C. Structural Identification of Organic Compounds and Organic Spectroscopy; Science Press: Beijing, China, 2000; pp. 329–332. [Google Scholar]
- Maria, K.; Catherine, G.; Catherine, P.R. pH-specific synthesis, isolation, spectroscopic and structural charaterization of a new dimeric assmbly of binuclear vanadium(V)-citrate-peroxo species from aqueous solution. Inorg. Chim. Acta 2007, 11, 1–10. [Google Scholar]
- Zhou, H.Y.; Wang, Y.L.; Guo, X.G.; Dong, Y.M.; Su, X.; Sun, X.Q. The recovery of rare earth by a novel extraction and precipitation strategy using functional ionic liquids. J. Mol. Liq. 2018, 254, 414. [Google Scholar] [CrossRef]
- Lahiri, S.; Nayak, D.; Ramaswami, A.; Manohor, S.B. Separation of carrier-free ytterbium and thulium produced in 80 MeV 12C6+ irradiated gadolinium foil target by liquid–liquid extraction with HDEHP. Appl. Radiat. Isot. 2000, 52, 797–802. [Google Scholar] [CrossRef]










Publisher’s Note: MDPI stays neutral with regard to jurisdictional claims in published maps and institutional affiliations. |
© 2021 by the authors. Licensee MDPI, Basel, Switzerland. This article is an open access article distributed under the terms and conditions of the Creative Commons Attribution (CC BY) license (http://creativecommons.org/licenses/by/4.0/).
Share and Cite
Zhang, W.; Xie, X.; Tong, X.; Du, Y.; Song, Q.; Feng, D. Study on the Effect and Mechanism of Impurity Aluminum on the Solvent Extraction of Rare Earth Elements (Nd, Pr, La) by P204-P350 in Chloride Solution. Minerals 2021, 11, 61. https://doi.org/10.3390/min11010061
Zhang W, Xie X, Tong X, Du Y, Song Q, Feng D. Study on the Effect and Mechanism of Impurity Aluminum on the Solvent Extraction of Rare Earth Elements (Nd, Pr, La) by P204-P350 in Chloride Solution. Minerals. 2021; 11(1):61. https://doi.org/10.3390/min11010061
Chicago/Turabian StyleZhang, Wenjie, Xian Xie, Xiong Tong, Yunpeng Du, Qiang Song, and Dongxia Feng. 2021. "Study on the Effect and Mechanism of Impurity Aluminum on the Solvent Extraction of Rare Earth Elements (Nd, Pr, La) by P204-P350 in Chloride Solution" Minerals 11, no. 1: 61. https://doi.org/10.3390/min11010061
APA StyleZhang, W., Xie, X., Tong, X., Du, Y., Song, Q., & Feng, D. (2021). Study on the Effect and Mechanism of Impurity Aluminum on the Solvent Extraction of Rare Earth Elements (Nd, Pr, La) by P204-P350 in Chloride Solution. Minerals, 11(1), 61. https://doi.org/10.3390/min11010061
